Time-of-Flight Measurements in the Jet of a High-Current Vacuum Arc Thruster
Abstract
:1. Introduction
2. Thruster and Experimental Setup
2.1. PJP Thruster
2.2. Vacuum Chamber
2.3. Time-of-Flight Technique
3. Ion Speed
3.1. Far Downstream
3.2. Influence of the Ejection Angle
3.3. Evolution along the Centerline
3.4. Fast Ions
4. Conclusions
Author Contributions
Funding
Data Availability Statement
Conflicts of Interest
References
- Anders, A. The evolution of ion charge states in cathodic vacuum arc plasmas: A review. Plasma Sources Sci. Technol. 2012, 21, 035014. [Google Scholar] [CrossRef]
- Chapelle, P.; Bellot, J.; Duval, H.; Jardy, A.; Ablitzer, D. Modelling of plasma generation and expansion in a vacuum arc: Application to the vacuum arc remelting process. J. Phys. D Appl. Phys. 2001, 35, 137. [Google Scholar] [CrossRef]
- Garrigues, L.; Sarrailh, P. Generation of multiply charged ions in the context of a vacuum arc thruster. In Proceedings of the 37th International Electric Propulsion Conference (IEPC 2022), Boston, MA, USA, 19–23 June 2022; p. 519. [Google Scholar]
- Delachaux, T.; Fritz, O.; Gentsch, D.; Schade, E.; Shmelev, D.L. Numerical simulation of a moving high-current vacuum arc driven by a transverse magnetic field (TMF). IEEE Trans. Plasma Sci. 2007, 35, 905–911. [Google Scholar] [CrossRef]
- Kühn, M.; Toursel, C.; Schein, J. Thrust Measurements on the High Efficient and Reliable Vacuum Arc Thruster (HERVAT). Appl. Sci. 2021, 11, 2274. [Google Scholar] [CrossRef]
- Blanchet, A.; Herrero, L.; Voisin, L.; Pilloy, B.; Courteville, D. Plasma Jet Pack Technology for Nano-Microsatellites. In Proceedings of the 36th International Electric Propulsion Conference, Vienna, Austria, 15–20 September 2019. [Google Scholar]
- Michaux, E.; Mazouffre, S.; Blanchet, A. Time evolution of plasma parameters in the jet of a low-power vacuum arc thruster. J. Electr. Propuls. 2022, 1, 7. [Google Scholar] [CrossRef]
- Mesyats, G. Ecton or electron avalanche from metal. Physics-Uspekhi 1995, 38, 567. [Google Scholar] [CrossRef]
- Alpert, D.; Lee, D.; Lyman, E.; Tomaschke, H. Initiation of electrical breakdown in ultrahigh vacuum. J. Vac. Sci. Technol. 1964, 1, 35–50. [Google Scholar] [CrossRef]
- Keidar, M.; Schein, J.; Wilson, K.; Gerhan, A.; Au, M.; Tang, B.; Idzkowski, L.; Krishnan, M.; Beilis, I. Magnetically enhanced vacuum arc thruster. Plasma Sources Sci. Technol. 2005, 14, 661. [Google Scholar] [CrossRef]
- Michaux, E.; Vinci, A.; Mazouffre, S. Fractal dimension of cathode spots in a high-current vacuum arc thruster. Vacuum 2023, 215, 112286. [Google Scholar] [CrossRef]
- Michaux, E.; Mazouffre, S.; Fritzsche, R. Spatial and temporal evolution of ion and electron parameters in the plasma jet of a 30W VAT. In Proceedings of the 37th International Electric Propulsion Conference, Boston, MA, USA, 19–23 June 2022. [Google Scholar]
- Siemroth, P.; Schulke, T.; Witke, T. Investigation of cathode spots and plasma formation of vacuum arcs by high speed microscopy and spectroscopy. IEEE Trans. Plasma Sci. 1997, 25, 571–579. [Google Scholar] [CrossRef]
- Anders, A.; Oks, E.; Yushkov, G. Production of neutrals and their effects on the ion charge states in cathodic vacuum arc plasmas. J. Appl. Phys. 2007, 102, 043303. [Google Scholar] [CrossRef]
- Yushkov, G.; Anders, A. Extractable, elevated ion charge states in the transition regime from vacuum sparks to high current vacuum arcs. Appl. Phys. Lett. 2008, 92, 041502. [Google Scholar] [CrossRef]
- Yushkov, G.; Anders, A.; Oks, E.; Brown, I. Ion velocities in vacuum arc plasmas. J. Appl. Phys. 2000, 88, 5618–5622. [Google Scholar] [CrossRef]
- Hohenbild, S.; Grübel, C.; Yushkov, G.; Oks, E.; Anders, A. A study of vacuum arc ion velocities using a linear set of probes. J. Phys. D Appl. Phys. 2008, 41, 205210. [Google Scholar] [CrossRef]
- Byon, E.; Anders, A. Ion energy distribution functions of vacuum arc plasmas. J. Appl. Phys. 2003, 93, 1899–1906. [Google Scholar] [CrossRef]
- Anders, A.; Yushkov, G.Y. Angularly resolved measurements of ion energy of vacuum arc plasmas. Appl. Phys. Lett. 2002, 80, 2457–2459. [Google Scholar] [CrossRef]
- Beilis, I. Plasma and Spot Phenomena in Electrical Arcs; Springer Nature: Berlin/Heidelberg, Germany, 2020; Volume 113. [Google Scholar] [CrossRef]
- Barengolts, S.; Mesyats, G.; Shmelev, D. Mechanism of ion flow generation in vacuum arcs. J. Exp. Theor. Phys. 2001, 93, 1065–1073. [Google Scholar] [CrossRef]
- Astrakhantsev, N.; Krasov, V.; Paperny, V. Ion acceleration in a pulse vacuum discharge. J. Phys. D Appl. Phys. 1995, 28, 2514. [Google Scholar] [CrossRef]
- Hantzsche, E. Mysteries of the arc cathode spot: A retrospective glance. IEEE Trans. Plasma Sci. 2003, 31, 799–808. [Google Scholar] [CrossRef]
- Hantzsche, E. Two-dimensional models of expanding vacuum arc plasmas. IEEE Trans. Plasma Sci. 1995, 23, 893–898. [Google Scholar] [CrossRef]
- Yushkov, G.; Anders, A.; Frolova, V.; Nikolaev, A.; Oks, E.; Vodopyanov, A. Plasma of vacuum discharges: The pursuit of elevating metal Ion charge states, including a recent record of producing Bi13+. IEEE Trans. Plasma Sci. 2015, 43, 2310–2317. [Google Scholar] [CrossRef]
- Koshelev, K.; Pereira, N. Plasma points and radiative collapse in vacuum sparks. J. Appl. Phys. 1991, 69, R21–R44. [Google Scholar] [CrossRef]
- Yushkov, G.; Nikolaev, A.; Frolova, V.; Oks, E.; Rousskikh, A.; Zhigalin, A. Multiply charged metal ions in high current pulsed vacuum arcs. Phys. Plasmas 2017, 24, 123501. [Google Scholar] [CrossRef]
- Nikolaev, A.G.; Yushkov, G.Y.; Savkin, K.P.; Oks, E.M. Angular distribution of ions in a vacuum arc plasma with single-element and composite cathodes. IEEE Trans. Plasma Sci. 2013, 41, 1923–1928. [Google Scholar] [CrossRef]
- Romanov, I.; Tsygvintsev, I.; Paperny, V.; Kologrivov, A.; Korobkin, Y.V.; Krukovskiy, A.Y.; Rupasov, A. Influence of the laser plasma-expansion specific on a cathode jet formation and the current stability in a laser-ignited vacuum discharge. Phys. Plasmas 2018, 25, 083107. [Google Scholar] [CrossRef]
- Romanov, I.; Paperny, V.; Korobkin, Y.V.; Podviaznikov, V.; Rupasov, A.; Chevokin, V.; Shikanov, A. Observation of micropinch formation in cathode jet of a low-power laser-induced vacuum discharge. Phys. Plasmas 2016, 23, 023112. [Google Scholar] [CrossRef]
- Mazouffre, S. Electric propulsion for satellites and spacecraft: Established technologies and novel approaches. Plasma Sources Sci. Technol. 2016, 25, 033002. [Google Scholar] [CrossRef]











| Power | 0–30 | W |
| Thrust to power | 10 | |
| Average thrust at 30 | 300 | |
| Specific impulse | 2500 | |
| Total impulse | 400 | |
| Overall mass | 1 | |
| Overall volume | 1 | U |
| Distance [cm] | [km/s] | [km/s] | [km/s] |
|---|---|---|---|
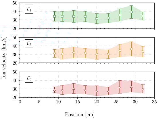
| 9 | 34.1 | 31.1 | 28.9 |
| 11 | 34.0 | 30.6 | 28.7 |
| 14 | 34.0 | 32.2 | 30.5 |
| 17 | 33.9 | 31.4 | 28.8 |
| 20 | 31.4 | 30.1 | 27.7 |
| 23 | 32.0 | 30.1 | 27.4 |
| 26 | 35.7 | 34.4 | 32.3 |
| 29 | 39.2 | 36.4 | 32.6 |
| 32 | 34.5 | 33.1 | 30.1 |
| Distance [cm] | [km/s] | [km/s] | [km/s] |
|---|---|---|---|
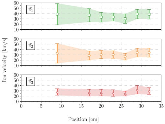
| 9 | 38.8 | 32.8 | 27.8 |
| 17 | 36.8 | 28.7 | 26.6 |
| 20 | 33.1 | 30.4 | 26.7 |
| 23 | 33.4 | 30.5 | 25.8 |
| 26 | 30.3 | 26.6 | 24.8 |
| 29 | 39.0 | 34.2 | 32.0 |
| 32 | 38.6 | 34.1 | 39.5 |
Disclaimer/Publisher’s Note: The statements, opinions and data contained in all publications are solely those of the individual author(s) and contributor(s) and not of MDPI and/or the editor(s). MDPI and/or the editor(s) disclaim responsibility for any injury to people or property resulting from any ideas, methods, instructions or products referred to in the content. |
© 2023 by the authors. Licensee MDPI, Basel, Switzerland. This article is an open access article distributed under the terms and conditions of the Creative Commons Attribution (CC BY) license (https://creativecommons.org/licenses/by/4.0/).
Share and Cite
Michaux, E.; Mazouffre, S. Time-of-Flight Measurements in the Jet of a High-Current Vacuum Arc Thruster. Aerospace 2023, 10, 1011. https://doi.org/10.3390/aerospace10121011
Michaux E, Mazouffre S. Time-of-Flight Measurements in the Jet of a High-Current Vacuum Arc Thruster. Aerospace. 2023; 10(12):1011. https://doi.org/10.3390/aerospace10121011
Chicago/Turabian StyleMichaux, Etienne, and Stéphane Mazouffre. 2023. "Time-of-Flight Measurements in the Jet of a High-Current Vacuum Arc Thruster" Aerospace 10, no. 12: 1011. https://doi.org/10.3390/aerospace10121011
APA StyleMichaux, E., & Mazouffre, S. (2023). Time-of-Flight Measurements in the Jet of a High-Current Vacuum Arc Thruster. Aerospace, 10(12), 1011. https://doi.org/10.3390/aerospace10121011

