Abstract
When a Very-Low-Frequency (VLF) antenna is towed in a circular flightpath at a constant altitude, the spatial configuration of the antenna can become relatively stationary with the orbiting aircraft. Accordingly, a quasi-stationary model of the towed antenna is established based on the force balance, which can efficiently solve a large number of parameter optimization problems. This work studies the influence law of all relevant parameters, including the physical properties of the drogue and the towline, the flight conditions, the wind profile, and the phase of the flight. The results show that the towline verticality and towing force are highly sensitive to the flight conditions, wind profile, and the phase of the flight; followed by sensitivity to the towline itself, and slight sensitivity to the drogue. The flight conditions of the aircraft can change the verticality of the towline from 15% to 80% or more. In addition, as the maximum monthly average wind speed exceeds 7 m/s, the antenna system in hover will oscillate seriously, resulting in a range of up to 50% variation in towline verticality between different positions.
1. Introduction
An airborne VLF communication system is a critical communication relay approach for submarines, featuring anti-interference, maneuverability, and survivability [1]. Its radiation intensity is closely related to the verticality of the towline [2]. The verticality (the ratio of the height difference between the two ends of the antenna to the antenna length), of not less than 70%, is a critical factor in ensuring the normal and effective operation of the system [3,4,5,6]. Therefore, the research on the towline spatial configuration and mechanical characteristics of the towed antenna system can provide significant improvements in antenna verticality, rapid task execution, crew comfort, and fuel economy [7].
In the early 1960s, the U.S. Naval Aviation Development Center studied the Take Charge Additionally, Move Out (TACAMO) system. Huang S.L [7] established a steady-state mathematical model for an orbiting towline, and the full paper focused on vertical separation and special towlines for increasing verticality. Skop et al. [8] extended this work with a dimensionless towline model and proposed that increasing the mass of the drogue was beneficial in reducing the range of the multi-value region. Russell et al. [9] solved the towed cable system using the finite element method and showed that the number of multiple solutions was related to the rotational frequency and tow radius. Clifton et al. [10] established a continuous model for the towed cable dynamics, and the difference between the simulated and the E-6A TACAMO flight test measured verticality was approximately 8%. Zhu et al. [11] discretized a vibration equation using the Galerkin method for steady-state cable shape. They show multivalued steady-state solutions for high speed, large drogue mass, and small fluid drag. Then, the steady-state response and stability of ballooning string under the influence of air drag were studied theoretically and experimentally [12]. Lemon et al. [13] analyzed the bifurcation behavior of cable shapes as the air drag, circular path radius, and angular speed varied. They revealed that the unstable regions increased with the circular path radius but could be counteracted with sufficient air drag. However, the results of towlines’ spatial configuration and towing force have not been thoroughly studied in the above literature. Paul et al. [14,15,16,17,18,19,20] studied the pick-up and delivery of payloads by orbiting aircraft and observed that a more significant air drag on the payloads could reduce the orbit radii of the cable tip. Since the cable relaxation and tension waves caused by an aircraft turning too rapidly can be reduced by controlling the deployment/retrieval of the cable, evolutionary optimization methods were adopted to control the tether shape and string vibrations [21]. Han et al. [22] studied the effects of antenna characteristics and rotational speed on the transient tension of the antenna. They concluded that the deployment of the antenna during circular flight helps reduce antenna oscillation. Although the literature [14,15,16,17,18,19,20,22] has analyzed the multiple factors of the towed antenna system, the research on the influencing factors is not comprehensive. Furthermore, the calculation based on those transient dynamic models is time-consuming and still does not provide the best design point [19].
In this paper, a quasi-steady state model of the towed antenna system with high computational efficiency is established, and the model’s reliability is verified through a comparison with the literature. Then, the towed antenna system’s spatial configuration and towing force are analyzed as the drogue, towline, flight conditions, wind speed profile, and the phase of the flight vary.
2. The Quasi-Stationary Model
The solution for a circular towed antenna system was obtained through force equilibrium equations. The iteration commenced from the end of the towline. In line with the works of [3,4,5,7], the following assumptions are made:
- (1)
- The VLF antenna or towline is perfectly flexible but inextensible.
- (2)
- The towplane maintains a perfectly circular motion at a constant altitude.
- (3)
- There is no atmospheric convection in the environment, and only the relative wind speed generated by the circular motion of the antenna is considered. The wind speed profile is one of the variables to be investigated below.
- (4)
- The antenna is fully towed without deployment/retrieval operations.
Figure 1a shows the inertial coordinate system O-XYZ satisfying the right-hand rule. The origin point O is the circular path center, and the Z-axis direction is perpendicular to the sea level upwards. The flight-path plane XOY is determined by the flight altitude H of the tow aircraft, and the following formula provides the circular path radius R0:
where Vtrue is the true flight speed (km/h), g is the gravity acceleration (m/s2), and γ is the bank angle (deg).
Figure 1.
Hovering model of an airborne VLF antenna system: (a) the model of antenna spatial configuration; (b) the calculation of the model.
Figure 1b shows that the antenna system is discretized into fixed-length rigid rods connected end to end. In the O-XYZ coordinate system, an arbitrary point N below the flight altitude and within the circular path radius is selected as the drogue coordinate. The drogue radius Rn, the centrifugal force unit vector , and the aerodynamic force unit vector are obtained. Combining the centrifugal force, aerodynamic force, and gravity of the drogue, the tension and its direction vector of the segment at the end of the antenna are obtained according to Newton’s third law. The hinge coordinate N − 1 and its rotation radius Rn−1 are inversely derived from the vector . After incorporating the aerodynamic force of this section, the new tension is compared until it converges.
Similarly, the magnitude and direction of tension in other towline segments are obtained. Finally, the given flight conditions are compared with the radius and altitude of the first rod’s head coordinates (i.e., tow point) to obtain the residual errors, such as △R and △H. The residual errors, used to determine the new coordinate of the drogue, are then compared until they converge. The recurrence relation for the tension is as follows:
where mi, and represent the mass, centrifugal force and aerodynamic force of the i-th rod, respectively. is the aerodynamic force of the drogue. The solution formulas are as follows:
where ω is the rotational angular speed, which is constant. and represent the pressure drag and skin friction drag of the i-th rod. , , Cdro and A represent the air density, circling velocity, drag coefficient, and the area of the drogue, respectively. Those formulas for any rod may be derived as follows:
where , Ri, , d and l represent the velocity, radius, aerodynamic force unit vector, diameter, and length of the i-th rod, respectively. is the density at the altitude where the i-th rod is located. and are the normal and tangential velocities of the i-th rod. Cp and Cf are the pressure drag and skin friction drag coefficients of the rod, respectively, see Vassberg et al. [23].
The towline is of a twist shape composed of multiple strands of high-strength tensile-based material and a metal conductor. Its winding mode and the number of strands can change the aerodynamic characteristics of the towline, while the aerodynamic coefficient in the literature [23] is based on the cylindrical rod. Wind tunnel experiments show that under the same diameter and length, the skin friction drag coefficient of the tight twist cable is about 1.6 times that of the smooth cylindrical rod, and the pressure drag coefficient is about 0.8 times that of the cylindrical rod.
3. Model Validation
To verify the reliability of the quasi-stationary model, the spatial configuration of the towing cable was simulated when the tow aircraft moved in a perfectly circular path. According to reference [14], the cable material was Spectra, and the base system parameters were as follows: towline material density ρ = 970 kg/m3, length L = 3000 m, drogue mass mdro = 10 kg, drogue drag characteristic CdroA = 2.0 m2. Additionally, the optimal design parameters for the towed-circular system of the corresponding tow aircraft are shown in Table 1.
Table 1.
Parameters for towed-circular system.
Figure 2 shows the cable shapes for three types of towplane. The dashed lines were obtained from reference [14], and the solid lines are the simulation results under the corresponding conditions. The comparison shows that the cable shapes calculated by the quasi-stationary model are in good agreement with the references.
Figure 2.
Verification of towing cable spatial configuration. (a) Two-dimensional projection in horizontal plane. (b) Two-dimensional projection in vertical plane.
Figure 3 shows that the residuals () under the model converged below 10−3 within 15 iterative steps. This is much more efficient than the existing methods (lumped mass, finite element, etc.). These methods usually require several hours to obtain the results, which makes them time-consuming and they still cannot provide the best design point [19]. However, the proposed model only takes a few minutes to obtain a dozen results with any parameter change. It has the advantages of high computational efficiency and is suitable for a large number of parameter optimization problems.
Figure 3.
Residuals △R/R vs. iteration steps.
4. Results and Discussion
The towed antenna system presents a complex and nonlinear motion in a circular flight. Moreover, its spatial configuration and towing force are affected by many factors, such as the physical properties of the drogue and the towline, the flight conditions of the tow aircraft, and the wind profile. In order to obtain a comprehensive understanding and optimization of the towed antenna system, the parameters need to be analyzed individually.
The antenna is made up of a high-strength tensile base material and a metal conductor, and the parameters for the base towed antenna system are as follows: towline length L = 7000 m, diameter d = 4.5 mm, material density ρl = 0.1248 kg/m; and drogue mass mdro = 30 kg, and drogue drag characteristic CdroA = 0.5026 m2. The flight conditions of the tow aircraft are as follows: orbit altitude H = 6825 m, indicated airspeed V = 280 km/h, bank angle γ = 30°, and circular flight radius R0 = 2176 m.
4.1. Impact of Drogue Characteristics
4.1.1. Drogue Drag Characteristic
To investigate the impact of drogue drag on the towed antenna system, its drag coefficient and area are usually combined as what is called the drogue drag characteristic, recorded as Cdro·A. Based on the towed antenna system and flight condition, the product Cdro·A varies from 0.1 to 2.8.
Figure 4 shows the towline spatial configurations under the drogue drag characteristic. The spatial configurations of the towlines almost overlap, except for the towlines’ ends (close to the drogue). The results suggest that the drag on the drogue appears to be a slightly sensitive parameter for the towed antenna system, consistent with the conclusions of reference [14].
Figure 4.
Towline spatial configurations vs. drogue drag characteristic: (a) Two-dimensional projection in horizontal plane; (b) Two-dimensional projection in vertical plane.
Figure 5 shows the relationship between towline verticality, towing force, and drogue drag characteristic. The red curve presents the towline verticality, always maintained at about 70%. The blue curve indicates the towing force of the antenna at the towing point, which varies from 6510 N to 6560 N, about 74% of the weight of the base towed antenna system. The results reveal that drogue drag has little effect on the vertical and towing force of the VLF antenna system when flying around the target.
Figure 5.
Verticality and towing force vs. drogue drag characteristic.
4.1.2. Drogue Mass
To illustrate the effect of the drogue mass on the towing antenna system, the base towed antenna system parameters were kept the same, and only the drogue mass was varied. Figure 6 shows the towline spatial configurations under the drogue mass. It is clear that with the increase in the mass, the sinking of the drogue at the end of the towline is greater, and the verticality of the antenna is greater in Figure 6b. At the same time, the increase in the mass also leads to the increase in the centrifugal force and weight of the drogue; therefore, the towing force increases and the towline is straightened.
Figure 6.
Towline spatial configurations vs. drogue mass: (a) Two-dimensional projection in horizontal plane. (b) Two-dimensional projection in vertical plane.
Figure 7 shows that the towline verticality improved with the increase in the drogue mass, whereas it is also seen that the improvement range is limited to about 10%. On the other hand, the towing force increased significantly to 163%, and its relationship with the change of drogue mass is almost a first-order function. The tremendous towing force brings significant challenges to the load capacity of towing aircraft and the mechanical properties of towline materials. Therefore, the increase in towline verticality caused by the drogue mass may not outweigh the drawbacks of a sharp rise in towing force.
Figure 7.
Verticality and towing force vs. drogue mass.
4.2. Impact of Towline Characteristics
4.2.1. Towline Diameter
Figure 8 clearly shows the towline spatial configurations under the towline diameter. The smaller the diameter of the towline, the smaller the mass per unit length. Therefore, the towline is considerably lifted by the airflow during circulation when its diameter is d = 1 mm. On the contrary, the verticality of the towline increases as the diameter grows. This phenomenon is similar to the situation where the mass of the drogue is increased.
Figure 8.
Towline spatial configurations vs. towline diameter: (a) Two-dimensional projection in horizontal plane. (b) Two-dimensional projection in vertical plane.
Figure 9 shows the relationship between verticality, towing force, and towline diameter. The verticality curve shows that the influence of towline diameter on verticality is limited, at about 10%. For example, when the diameter exceeds 5 mm, the improvement of verticality is no longer noticeable. However, the towing force curve shows that it increases parabolically with the increase in diameter, about 16.8 times. This increment is mainly due to the antenna’s gravity increase. In conclusion, the towline’s spatial configuration and towing force are more sensitive to the antenna diameter than drogue drag.
Figure 9.
Verticality and towing force vs. towline diameter.
4.2.2. Towline Material Density
According to [14], the available materials of towline include Spectra (970 kg/m3), Nylon (1040 kg/m3), Aluminum (2750 kg/m3), and Steel (7850 kg/m3). Figure 10 clearly shows the towline spatial configurations under the towline material density. Similar to the case of towline diameter, the smaller the material density of the towline, the higher the towline lifted by wind. Therefore, a lower density of the towline material is not necessarily better.
Figure 10.
Towline spatial configurations vs. towline material density: (a) Two-dimensional projection in horizontal plane. (b) Two-dimensional projection in vertical plane.
Figure 11 suggests that the towline verticality is sensitive to the material density, and its increment can reach 40% when increasing the material density. However, the curve trend also demonstrates that there is an upper limit for the improvement of verticality by material density. On the contrary, the towing force increases with the material density without the upper limit. It grows mainly due to the rise in the centrifugal force and gravity of the towline. Towline verticality is more sensitive to the parameter of material density than the towline diameter, while the towing force is more sensitive to towline diameter.
Figure 11.
Verticality and towing force vs. towline material density.
4.2.3. Towline Length
As is known, the longer the wavelength of the electromagnetic wave, the deeper it can penetrate. This is critical to transmitting messages to submarines. Usually, the total length of the wire is about one-half of a wavelength [24]. Therefore, the length of the VLF antenna is another key parameter of the system.
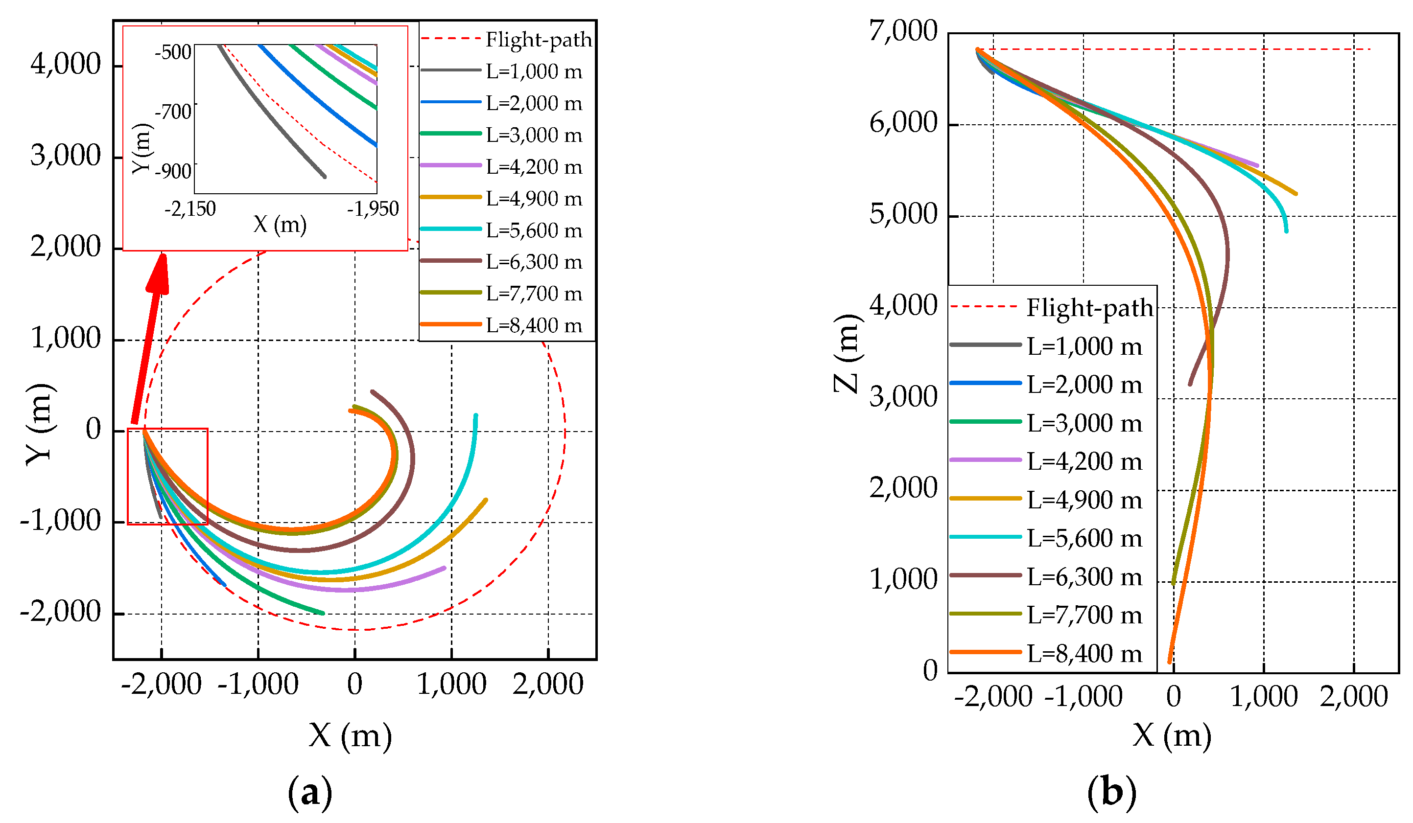
Figure 12 shows the towline configurations under the influence of towline length. In Figure 12a, the length is L = 1000 m, and the towline is centrifuged outside the circular flight-path. In contrast, when the length is longer than 2000 m, the towline spirals towards the centre of the circular flightpath. Figure 12b illustrates that the towline length exceeds 5600 m, and the end of the towline sinks rapidly.
Figure 12.
Towline spatial configurations vs. towline length: (a) Two-dimensional projection in horizontal plane. (b) Two-dimensional projection in vertical plane.
Figure 13 illustrates that the towline length greatly influences verticality and towing force, and inflection points appear on both curves. Initially, when the length varied from 1000 m to 5600 m, the verticality and towing force of the towline increased relatively gently. However, when the length varied from 5600 m to 8400 m, the verticality increased quickly from 35% to about 80%, accompanied by a linear increase in the towing force from 4377 N to 8557 N. When the length exceeds 8400 m, the drogue (i.e., the end of the towline) will touch the ground. More importantly, both towing force and verticality curves reveal that there is an inflection point in the influence of antenna length on the spatial configuration of the antenna system. Before the inflection point, it is difficult to meet the specified standard working requirements for antenna verticality; however, after the inflection point, the antenna verticality can be easily improved.
Figure 13.
Verticality and towing force vs. towline length.
4.3. Flight Condition
4.3.1. Orbit Altitude
It is known that when the indicated airspeed of an aircraft is fixed, its true airspeed increases with the orbit altitude, and the circling radius also increases according to Equation (1). Figure 14 shows the towline spatial configurations under the influence of orbit altitude. With the increase in the circling radii (semicircle with red dash lines), the centrifugal force of the antenna system also increases. The towline is then stretched. Therefore, the higher the orbital altitude is, the less conducive it is to the high-quality work of the antenna system. The optimum operating height is where the drogue at the end of the antenna is as close to sea level as possible.
Figure 14.
Towline spatial configurations vs. orbit altitude: (a) Two-dimensional projection in horizontal plane. (b) Two-dimensional projection in vertical plane.
Figure 15 suggests that the verticality continuously decreases with the rise in height, while the drag force decreases first and then increases. Similarly, there is an inflection point for the influence of the orbital altitude on the VLF antenna. Below 8125 m, the decreasing trend speeds up; above this height, the decreasing trend reduces. More obviously, the change of the towing force is opposite before and after the inflection point. In addition, when the orbit altitude is lower than 5500 m, the drogue will contact the ground. In conclusion, the controllable range of verticality is about 30–80%.
Figure 15.
Verticality and towing force vs. orbit altitude.
4.3.2. Bank Angle
Figure 16 shows the towline spatial configurations under the influence of bank angle. For the bank angle γ = 22°, the radius of the flight-path is the maximum, and the centrifugal force of the towline is considerable. On the contrary, the drogue end of the towline sinks quickly with a growing bank angle.
Figure 16.
Towline spatial configurations vs. bank angle: (a) Two-dimensional projection in horizontal plane. (b) Two-dimensional projection in vertical plane.
Figure 17 shows that the towing force decreases with the rise in the bank angle at first, but after 26°, the towing force increases with the bank angle. However, the verticality always increases with the bank angle. The difference is that the closer the bank angle is to 26°, the greater the change rate of verticality. There are inflection points under the influence of bank angle on the antenna configurations, and the changing trend of the curves before and after the inflection point is very different. In addition, the shaded part in the figure shows the angle range in which the tow aircraft can fly, indicating that the controllable degree of antenna verticality is about 23–85%.
Figure 17.
Verticality and towing force vs. bank angle.
4.3.3. Indicated Rotational Airspeed
Figure 18 shows the towline spatial configurations under the indicated rotational airspeeds. It can be seen in the figure that the orbiting radius of the towplane increases with the increase in the indicated speed. Correspondingly, the spatial configuration of the antenna has three stages, from slight change to significant change, to slight change. Especially between 280 km/h and 300 km/h, the spatial configuration of the antenna is completely different, which is crucial for planning flights that meet the requirements of high-quality work of the airborne VLF antenna system.
Figure 18.
Towline spatial configurations vs. indicated rotational airspeed: (a) Two-dimensional projection in horizontal plane. (b) Two-dimensional projection in vertical plane.
Figure 19 illustrates the relationship between indicated rotational airspeed, verticality, and towing force. The verticality decreases as the airspeed increases. In particular, from 280 km/h to 300 km/h, the verticality decreases in a cliff style, reducing to about 35%. On the other side, the towing force curve shows a conspicuous inflection point (300 km/h) that divides the curve into two parts. Before the point, the towing force decreases, but when the speed exceeds this value, the force shows the opposite trend and rapidly increases linearly. Generally, the speed envelope of the tow aircraft is not less than 260 km/h. While the speed exceeds 500 km/h, the mechanical properties of the towline material cannot bear enormous tension. Therefore, the speed range of the antenna system under safe operation is 260–500 km/h, as can be seen in the shaded part in the figure, and the corresponding controllable range of verticality is about 15–80% or more.
Figure 19.
Verticality and towing force vs. indicated rotational airspeed.
4.4. Wind Speed Profile and Phase of the Flight
Under the action of wind, the spatial configuration of the towed antenna system will vibrate intensely [5], so the verticality and towing force of the towline under the influence of wind speed must be considered. Figure 20 shows the typical average wind speed profiles in March, July, September, and December in the South China Sea (110E, 20N) [5] in 2009. The positive values in the Figure are westerly and southerly, respectively. With the wind speed profile as the background flow field, the speed of the i-ths rod in formula (4) can be rewritten as follows:
Figure 20.
Monthly average wind speed profile of South China Sea (110E, 20N) in 2009.
UHi and VHi are the westerly and southerly wind velocity components at height H, where the i-th rod is located.
Figure 21 and Figure 22 illustrate the towline spatial configurations for the base towed antenna system affected by various monthly average wind profiles and the phase of the flight.
Figure 21.
Vertical view of towline spatial configuration with different phase of the flight: (a) phase = 0°; (b) phase = −90°; (c) phase = −180°; (d) phase = −270°.

Figure 22.
Side view of towline spatial configuration with different phase of the flight: (a) phase = 0°; (b) phase = −90°; (c) phase = −180°; (d) phase = −270°.
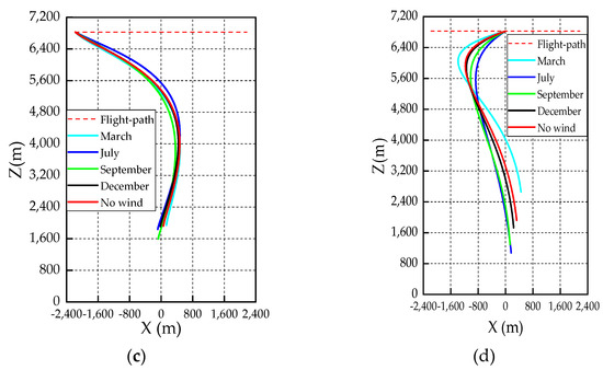
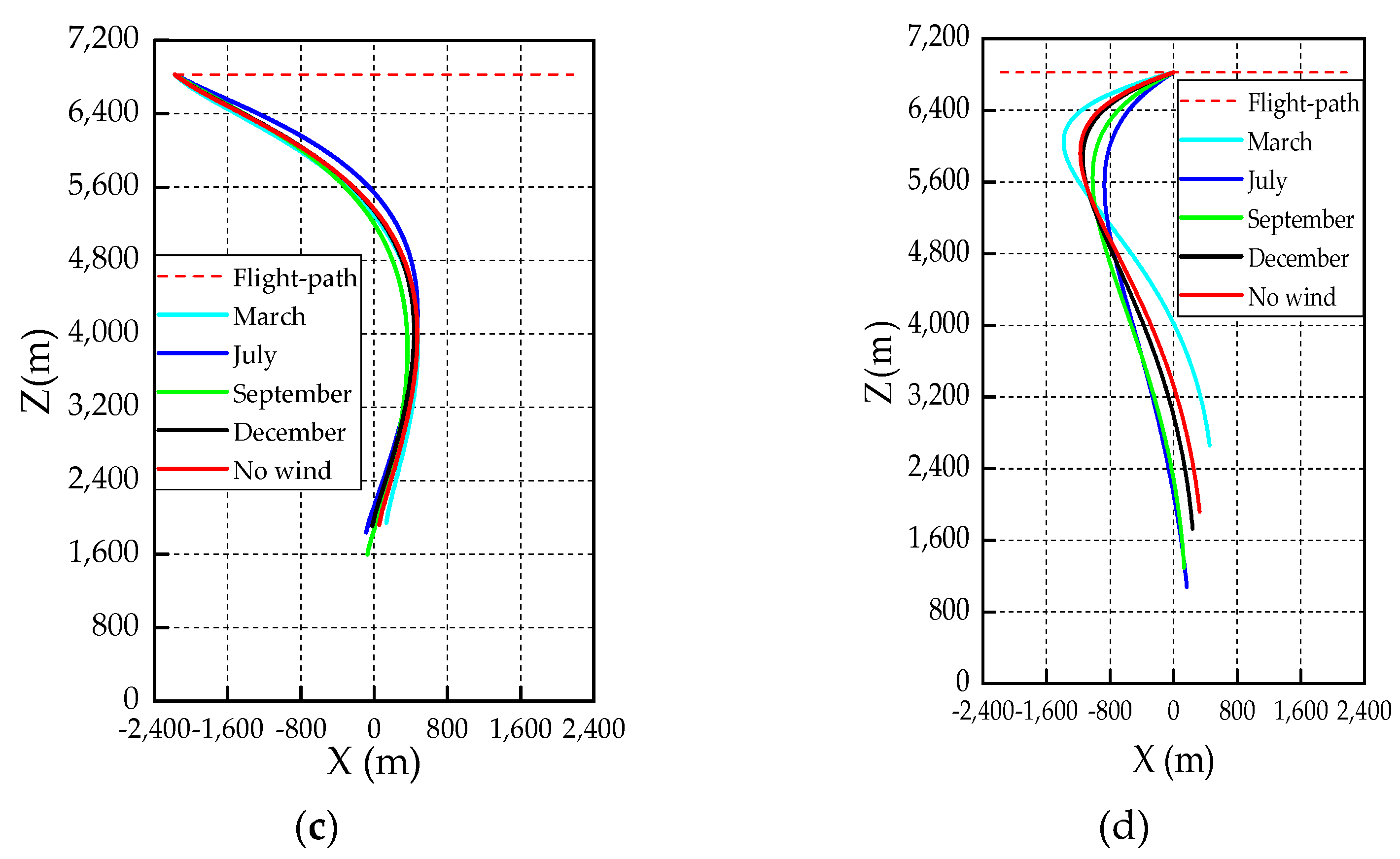
Figure 21 shows a vertical view of the towline spatial configurations for different flight phases. In Figure 21a,c, the towlines are relatively close to the redline (no wind case), but dispersed in Figure 21b,d.
Figure 21b shows that the towline moves against the wind in July and September when the towplane passes through the −90° phase. Under the effect of air resistance, the towline will be stretched downstream, so the end of the antenna is clearly far away from the center of the circular flight path. In contrast, Figure 21d shows that the antenna was compressed close to the redline when the towplane passed through −270° in July and September. In summary, Figure 21 demonstrates that different phases of flight take on various shapes of the airborne VLF antenna due to atmospheric turbulence and gusts.
Figure 22 shows the side view of the towline spatial configuration with a different phase of the flight. Similar to Figure 21, at 0° and −180° phases, the wind profile of March/July/September/December has little impact on the antenna, so the antenna spatial configurations are very close, even almost coincident. However, at the −90° phase, the antenna is stretched and lifted up under the action of the upwind in July and September, resulting in its verticality being far less than the minimum standard of 70% under normal operating conditions. In Figure 22d, when the aircraft moves to the 270° phase position, the antenna verticality in July and September increases significantly, even exceeding that in windless conditions.
To sum up, the wind profile has a great impact on the normal operation of the airborne VLF antenna system. Due to the presence of wind, different phases lead to alternation between the downwind and upwind flight of the antenna during the cycling flight, which will lead to structural vibration and unstable electromagnetic signal strength during the operation of the antenna system.
Figure 23 shows the verticality and towing force under the monthly average wind speed profile when the tow aircraft rotated clockwise. The red line represents the towline verticality, and the blue line represents the towing force. The verticality curves in July and September show that the position phases in the circular flight-path have a considerable impact. The verticality of the towline varies as much as 50% between different positions. In comparison, the towline verticality curve is nearly constant under the condition that the average wind speed profile in December is smaller than 7 m/s. Unlike the red curve, the blue curve indicates that the towing force is not particularly dependent on the wind speed profile and position phase.
Figure 23.
Relationship between verticality, towing force, and monthly average wind speed profiles (clockwise).
5. Conclusions
This paper established and verified the quasi-stationary model of the airborne VLF towed antenna system. Then, the influence factors of airborne VLF towed antenna systems were analyzed. The conclusions are as follows:
- (1)
- The antenna’s spatial configuration and towing force have a slight sensitivity to the drogue.
- (2)
- The towline diameter and material density appear to be moderately sensitive parameters for towline spatial configuration and towing force.
- (3)
- The towline length and flight condition (or rotational radius) are key sensitive parameters for towline spatial configuration and towing force. By adjusting these parameters, the towline spatial configuration and towing force can be controlled in the range of 15% to 80% or higher.
- (4)
- As the maximum monthly average wind speed exceeds 7 m/s, the antenna system in the circling will oscillate seriously, resulting in a variation range of the verticality of the towline between different positions of up to 50%.
- (5)
- Under the influence of the towplane’s flight conditions and the towline’s length, a critical inflection point of the towed antenna system is observed. Before and after the points, the trends of verticality and towing force curves are very different. According to the law of inflection point, the towed antenna system can be optimized for verticality, crew comfort, fuel economy, and time on station.
Deficiencies and future work: the quasi-stationary model in this paper is optimized only for the most critical operating state (circular flight around the target) of the airborne VLF antenna system, while it does not give dynamic results for the spatial configuration and towing force of the towing antenna for the entire maneuvering stages (e.g., level flight, transitional flight around the target, steady-state circular flight, transitional flight to enlarge the circle, and return to level flight). In the future, it is hoped that a dynamic model optimized for the full maneuvering stages and computationally efficient can be developed.
Author Contributions
Conceptualization, J.C. and X.L.; methodology, J.C.; software, J.C.; validation, J.C.; formal analysis, J.C. and F.D.; investigation, J.C., X.L. and F.D.; resources, X.L.; data curation, J.C.; writing—original draft preparation, J.C.; writing—review and editing, J.C. and F.D.; visualization, J.C.; supervision, X.L.; project administration, X.L.; funding acquisition, X.L. All authors have read and agreed to the published version of the manuscript.
Funding
This research was funded by the Priority Academic Program Development of Jiangsu Higher Education Institutions.
Data Availability Statement
The data presented in this study are available on request from the corresponding author. All the data were calculated by the author and have been included in this paper.
Acknowledgments
We warmly celebrate the 70th anniversary of NUAA.
Conflicts of Interest
The authors declare no conflict of interest.
References
- Wu, D. The research of the Dual Trailing Wire Antenna (DTWA) on the aircraft in application to the submarine communication. Ph.D. Thesis, Shanghai Jiao Tong University, Shanghai, China, 2009. [Google Scholar]
- Ma, T.L.; Wei, Z.H.; Chen, H.B.; Wang, X.S. Research on parameters of the trailing VLF antenna using lumped-mass method. In IOP Conference Series: Materials Science and Engineering; IOP Publishing: Bristol, UK, 2018. [Google Scholar]
- Zheng, X.H.; Hou, Z.Q.; Li, J.X. Calculation of the steady state of trailing antenna on an aircraft. J. Nav. Aeronaut. Astronaut. Univ. 2011, 06, 628–632. [Google Scholar]
- Zheng, X.H.; Hou, Z.Q.; Han, W.; Li, J.X. Research on the Steady Dynamic of VLF Trailing Antenna on an Aircraft. J. Mech. Eng. 2012, 48, 166–171. [Google Scholar] [CrossRef]
- Zheng, X.H.; Han, W.; Jia, Z.H. Modeling and simulation of trailing antenna on aircraft under wind. Acta Aeronaut. Astronaut. Sin. 2013, 34, 2565–2571. [Google Scholar]
- Zheng, X.H.; Han, W.; Jia, Z.H.; Gua, W.G.; Zhang, Y. Dynamic modeling and simulation of airborne trailing antenna. Flight Dyn. 2013, 031, 234–238. [Google Scholar]
- Huang, S.L. Mathematical Model for Long Cable Towed by Orbiting Aircraft; U.S. Naval Air Development Center: Warminster, PA, USA, 1969.
- Skop, R.A.; Choo, Y.I. The configuration of a cable towed in a circular path. J. Aircr. 1971, 8, 856–862. [Google Scholar] [CrossRef]
- Russell, J.J.; Anderson, W.J. Equilibrium and Stability of a Circularly Towed Cable Subject to Aerodynamic Drag. J. Aircraft. 1976, 14, 680–686. [Google Scholar] [CrossRef]
- Clifton, J.M.; Schmidt, L.V.; Stuart, T.D. Dynamic modeling of a trailing wire towed by an orbiting aircraft. J. Guid. Control Dyn. 1995, 18, 875–881. [Google Scholar] [CrossRef]
- Zhu, F.; Rahn, C.D. Stability analysis of a circularly towed cable-body system. J. Sound Vib. 1998, 217, 435–452. [Google Scholar] [CrossRef]
- Fang, Z.; Hall, K.; Rahn, C.D. Steady state response and stability of ballooning strings in air. Int. J. Nonlinear Mech. 1998, 33, 3–46. [Google Scholar]
- Lemon, G.; Fraser, W.B. Steady-state bifurcations and dynamical stability of a heavy whirling cable acted on by aerodynamic drag. Proc. Math. Phys. Eng. Sci. 2001, 457, 1021–1041. [Google Scholar] [CrossRef]
- Williams, P.; Trivailo, P. Stability and Equilibrium of a Circularly-Towed Aerial Cable System with an Attached Wind-Sock. In Proceedings of the AIAA Atmospheric Flight Mechanics Conference and Exhibit, San Francisco, CA, USA, 15–18 August 2005. [Google Scholar]
- Williams, P.; Trivailo, P. A Study on the Transitional Dynamics of a Towed-Circular Aerial Cable System. In Proceedings of the AIAA Atmospheric Flight Mechanics Conference and Exhibit, San Francisco, CA, USA, 15–18 August 2005. [Google Scholar]
- Williams, P.; Sgarioto, D.; Trivailo, P. Motion Planning for an Aerial-Towed Cable System. In Proceedings of the AIAA Guidance, Navigation, and Control Conference and Exhibit, San Francisco, CA, USA, 15–18 August 2005. [Google Scholar]
- Williams, P.; Trivailo, P. Periodic Solutions for Flexible Cable-Body Systems Towed in Circular and Elliptical Paths. In Proceedings of the AIAA Atmospheric Flight Mechanics Conference & Exhibit, Keystone, CO, USA, 21–24 August 2006. [Google Scholar]
- Williams, P.; Lapthorne, P.; Trivailo, P. Circularly-Towed Lumped Mass Cable Model Validation from Experimental Data. In Proceedings of the AIAA Modeling and Simulation Technologies Conference & Exhibit, Keystone, CO, USA, 21–24 August 2006. [Google Scholar]
- Williams, P.; Trivailo, P. Dynamics of Circularly Towed Aerial Cable Systems, Part 1: Optimal Configurations and Their Stability. J. Guid. Control Dyn. 2007, 30, 753–765. [Google Scholar] [CrossRef]
- Williams, P.; Trivailo, P. Dynamics of circulary towed cable systems. Part 2: Transactional flight and deployment control. J. Guid. Control Dyn. 2012, 30, 766–779. [Google Scholar] [CrossRef]
- Williams, P. Deployment/retrieval optimization for flexible tethered satellite systems. Nonlinear Dyn. 2008, 52, 159–179. [Google Scholar] [CrossRef]
- Han, Z.R.; Liu, Y.; Luo, Z.Q.; Han, X.Y.; Wu, J.H.; Zhou, C. Study on the Transient Dynamic and Safety Analysis of Double Aircraft-towed Cables. J. Mech. Eng. 2018, 54, 100–105. [Google Scholar] [CrossRef]
- Vassberg, J.; Yeh, D.; Blair, A.; Jacob, M.E. Numerical Simulations of KC-10 Wing-Mount Aerial Refueling Hose-Drogue Dynamics with a Reel Take-Up System. In Proceedings of the 21st AIAA Applied Aerodynamics Conference, Orlando, FL, USA, 23–26 June 2003. [Google Scholar]
- El-Arini, M.B.; Mitry, S.A.; Lee, R. TACAMO antenna analysis for the new high power transmit set (HPTS). In Proceedings of the Military Communications Conference, Monterey, CA, USA, 30 September–3 October 1990. [Google Scholar]
Disclaimer/Publisher’s Note: The statements, opinions and data contained in all publications are solely those of the individual author(s) and contributor(s) and not of MDPI and/or the editor(s). MDPI and/or the editor(s) disclaim responsibility for any injury to people or property resulting from any ideas, methods, instructions or products referred to in the content. |
© 2022 by the authors. Licensee MDPI, Basel, Switzerland. This article is an open access article distributed under the terms and conditions of the Creative Commons Attribution (CC BY) license (https://creativecommons.org/licenses/by/4.0/).