Analysis of the Dynamics of Hydroclimatic Extremes in Urban Areas: The Case of Grand-Nokoué in Benin, West Africa
Abstract
1. Introduction
2. Materials and Methods
2.1. Study Area
2.2. Data Collection
2.3. Data Processing and Analysis
2.3.1. Mann–Kendall Test
2.3.2. Estimating Sen’s Slope
2.3.3. Extreme Event Identification and Analysis
2.3.4. Modeling of Extreme Values
Generalized Extreme Value (GEV) Model
Estimation of GEV Parameters Using the L-Moments Method
3. Results
3.1. Interannual Variability Trend Analysis
3.2. Analysis of the Frequency of Extreme Events
3.3. Determination of the Extreme Values for Different Return Periods
3.3.1. GEV Hydroclimatic Parameter Analysis: Stationary and Non-Stationary Models Based on L-Moments Method
3.3.2. Quality of Fit Analysis of the Generalized Extreme Value Distribution (GEV)
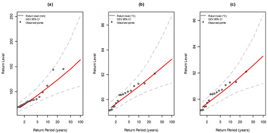
3.3.3. Magnitude of Extremes Associated with Return Periods
4. Discussion
5. Conclusions
Author Contributions
Funding
Institutional Review Board Statement
Informed Consent Statement
Data Availability Statement
Acknowledgments
Conflicts of Interest
References
- Nehlig, P. Que nous disent les archives géologiques du CO2 et du climat? Géosciences 2006, 7, 6–11. [Google Scholar]
- Malhi, Y.; Franklin, J.; Seddon, N.; Solan, M.; Turner, M.G.; Field, C.B.; Knowlton, N. Climate change and ecosystems: Threats, opportunities and solutions. Phil. Trans. R. Soc. B. 2020, 375, 20190104. [Google Scholar] [CrossRef] [PubMed]
- Lin, L.; Gao, T.; Luo, M.; Ge, E.; Yang, Y.; Liu, Z.; Zhao, Y.; Ning, G. Contribution of urbanization to the changes in extreme climate events in urban agglomerations across China. Sci. Total Environ. 2020, 744, 140264. [Google Scholar] [CrossRef] [PubMed]
- Patz, J.A.; Campbell-Lendrum, D.; Holloway, T.; Foley, J.A. Impact of regional climate change on human health. Nature 2005, 438, 310–317. [Google Scholar] [CrossRef]
- Pizzorni, M.; Innocenti, A.; Tollin, N. Droughts and floods in a changing climate and implications for multi-hazard urban planning: A review. City Environ. Interact. 2024, 24, 100169. [Google Scholar] [CrossRef]
- Omisore, A.G. Attaining Sustainable Development Goals in sub-Saharan Africa; The need to address environmental challenges. Environ. Dev. 2018, 25, 138–145. [Google Scholar] [CrossRef]
- Wallemacq, P.; UNISDR; CRED. Economic Losses, Poverty and Disasters 1998–2017. 2018. [CrossRef]
- Guerreiro, S.B.; Dawson, R.J.; Kilsby, C.; Lewis, E.; Alistair, F. Future heat-waves, droughts and floods in 571 European cities. Environ. Res. Lett. 2018, 13, 034009. [Google Scholar] [CrossRef]
- Huang, S.; Gan, Y.; Zhang, X.; Chen, N.; Wang, C.; Gu, X.; Ma, J.; Niyogi, D. Urbanization Amplified Asymmetrical Changes of Precipitation and Exacerbated Drought: Analysis Over Five Urban Agglomerations in the Yangtze River Basin, China. Earths Future 2023, 11, e2022EF003117. [Google Scholar] [CrossRef]
- Coronel, A.S.; Feldman, S.R.; Jozami, E.; Facundo, K.; Piacentini, R.D.; Dubbeling, M.; Escobedo, F.J. Effects of urban green areas on air temperature in a medium-sized Argentinian city. AIMS Environ. Sci. 2015, 2, 803–826. [Google Scholar] [CrossRef]
- C40Cities. Intégrer L’adaptation au Changement Climatique: Un Guide Pour Les Urbanistes et Les Professionnels de L’adaptation; Global Platform for Sustainable Cities: Washington, DC, USA, 2021; p. 66. [Google Scholar]
- Intergovernmental Panel On Climate Change (Ipcc), Climate Change 2022—Impacts, Adaptation and Vulnerability: Working Group II Contribution to the Sixth Assessment Report of the Intergovernmental Panel on Climate Change, 1st ed.; Cambridge University Press: Cambridge, UK, 2023. [CrossRef]
- Development W.B.W.U. 2023. Available online: https://www.worldbank.org/en/topic/urbandevelopment/overview (accessed on 27 October 2024).
- ONU. Commission de Statistique (CSNU). 2020. Rapport sur la Cinquante Et Unième Session (3–6 Mars 2020). Supplément n° 4 E/2020/24-E/CN.3/2020/37. New York: Conseil Economique et Social, Documents Officiels. Available online: https://www.un.org/fr/desa/world-urbanization-prospects#:~:text=Selon%20un%20rapport%20de%20l%27ONU%20sur%20l%27urbanisation%20dans,d%27accorder%20une%20plus%20grande%20attention%20aux%20petites%20vil (accessed on 22 October 2024).
- Nations Unies. Commission Economique Pour l’Afrique. Urbanisation et Développement en Afrique: Le Rôle de la Commission Economique Pour l’Afrique. Available online: https://repository.uneca.org/handle/10855/47645 (accessed on 27 October 2024).
- Ritchie, H.; Samborska, V.; Roser, M. Urbanization. Published online at OurWorldinData.org. 2024. Available online: https://ourworldindata.org/urbanization (accessed on 25 October 2024).
- Tiepolo, M. Flood Risk Reduction and Climate Change in Large Cities South of the Sahara. In Climate Change Vulnerability in Southern African Cities; Macchi, S., Tiepolo, M., Eds.; Springer Climate; Springer International Publishing: Cham, Switzerland, 2014; pp. 19–36. [Google Scholar] [CrossRef]
- Agence Nationale de Protection (ANPC). Inondations de 2019 au Bénin Rapport D’évaluation des Besoins Post Catastrophe. Available online: https://docslib.org/doc/3458980/inondations-de-2019-au-benin-rapport-d-evaluation-des-besoins-post (accessed on 27 October 2024).
- Ministère du Cadre de Vie et du Développement Durable (MCVDD). Communication Relative à L’adaptation du Bénin au titre de la Convention-Cadre des Nations Unies sur les Changements Climatiques (CCNUCC). UNFCC. 2022. Available online: https://unfccc.int/sites/default/files/ACR/2022-12/COMMUNICATION%20SUR%20ADAPTATION_BENIN.pdf (accessed on 25 October 2024).
- Aghmiuni, S.; Kalantari, Z.; Egidi, G.; Gaburova, L.; Salvati, L. Urbanisation-driven land degradation and socioeconomic challenges in peri-urban areas: Insights from Southern Europe. Ambio 2022, 51, 1446–1458. [Google Scholar] [CrossRef]
- Peng, J.; Xie, P.; Liu, Y.; Ma, J. Urban thermal environment dynamics and associated landscape pattern factors: A case study in the Beijing metropolitan region. Remote Sens. Environ. 2016, 173, 145–155. [Google Scholar] [CrossRef]
- Oke, T.R. The energetic basis of the urban heat island. Quart. J. Royal Meteoro. Soc. 1982, 108, 1–24. [Google Scholar] [CrossRef]
- Chapman, S.; Watson, J.E.M.; Salazar, A.; Thatcher, M.; McAlpine, A. The impact of urbanization and climate change on urban temperatures: A systematic review. Landsc. Ecol. 2017, 32, 1921–1935. [Google Scholar] [CrossRef]
- Adegebo, B.O. Urban thermal perception and self-reported health effects in Ibadan, south west Nigeria. Int. J. Biometeorol. 2022, 66, 331–343. [Google Scholar] [CrossRef] [PubMed]
- Pasquini, L.; Van Aardenne, L.; Godsmark, C.N.; Lee, J.; Jack, C. Emerging climate change-related public health challenges in Africa: A case study of the heat-health vulnerability of informal settlement residents in Dar es Salaam, Tanzania. Sci. Total Environ. 2020, 747, 141355. [Google Scholar] [CrossRef] [PubMed]
- Dharmarathne, G.; Waduge, A.O.; Bogahawaththa, M.; Rathnayake, U.; Meddage, D.P.P. Adapting cities to the surge: A comprehensive review of climate-induced urban flooding. Results Eng. 2024, 22, 102123. [Google Scholar] [CrossRef]
- CEA. Section de L’Urbanisation et du Développement. 2024. Available online: https://www.uneca.org/fr/section-de-lurbanisation-et-du-d%C3%A9veloppement#:~:text=L%E2%80%99Afrique%20est%20l%E2%80%99%C3%A9picentre%20de%20l%E2%80%99urbanisation%20mondiale%20avec%20l%E2%80%99Asie.,et%20devrait%20atteindre%20environ%2050%20%25%20d%E2%80%99ici%202035 (accessed on 27 October 2024).
- Oyede, M.I.; Hounzime, S.; Agbokou, I.; Alhassane, A.; Yabi, I. Caracteristiques Spatio—Temporalles de la Variabilite Climatique au Benin (Afrique de L’ouest). ESJ 2022, 18, 240. [Google Scholar] [CrossRef]
- Ahokpossi, Y. Analysis of the precipitation variability and change in the Republic of Benin (West Africa). Hydrol. Sci. J. 2018, 63, 2097–2123. [Google Scholar] [CrossRef]
- Ogouwalé, E. Changement Climatique Dans le Bénin Méridionale et Central: Indicateurs, Scenarios et Perspectives de la Sécurité Alimentaire. Ph.D. Thesis, Université d’Abomey-Calavi, Cotonou, Benin, 2006. [Google Scholar]
- World Bank Group. Bénin—Rapport National Sur le Climat et le Développement. 2023. Available online: https://openknowledge.worldbank.org/handle/10986/40688 (accessed on 8 December 2023).
- Akponikpe, I.; Tovihoudji, P.G.; Lokonon, B.O.K.; Kpadonou, G.E.; Amegnaglo, C.; Segnon, A.C.; Yegbemey, R.N.; Hounsou, M.B.; Wabi, M.A.; Totin, E.; et al. Nestor Aho Etude de Vulnérabilité Sectorielle face aux changements climatiques au Bénin—Secteur Agriculture. Benin 2019, 101, Climate Analytics gGmbH, Berlin. [Google Scholar] [CrossRef]
- Asseng, S.; Ewert, F.; Rosenzweig, C.; Jones, J.W.; Hatfield, J.L.; Ruane, A.C.; Boote, K.J.; Thorburn, P.J.; Rötter, R.P.; Cammarano, D.; et al. Uncertainty in simulating wheat yields under climate change. Nat. Clim. Change 2013, 3, 827–832. [Google Scholar] [CrossRef]
- Meehl, G.A.; Intense, C.T.M.; Frequent, M. Longer Lasting Heat Waves in the 21st Century. Science 2004, 305, 994–997. [Google Scholar] [CrossRef] [PubMed]
- Ministère du Cadre de Vie et du Développement Durable (MCVDD). Plan National D’adaptation Aux Changements Climatiques du Bénin. May 2022. Available online: https://unfccc.int/sites/default/files/resource/PNA_BENIN_2022_0.pdf (accessed on 30 September 2024).
- Group, W.B. Benin Country Climate and Development Report; World Bank: Washington, DC, USA, 2023. [Google Scholar] [CrossRef]
- Easterling, D.R.; Kunkel, K.E.; Wehner, M.F.; Sun, L. Detection and attribution of climate extremes in the observed record. Weather. Clim. Extrem. 2016, 11, 17–27. [Google Scholar] [CrossRef]
- Junqueira, J.R.; Serrao-Neumann, S.; White, I. Managing urban climate change risks: Prospects for using green infrastructure to increase urban resilience to floods. In The Impacts of Climate Change; Elsevier: Amsterdam, The Netherlands, 2021; pp. 379–396. [Google Scholar] [CrossRef]
- Osei, M.A.; Amekudzi, L.K.; Omari-Sasu, A.Y.; Yamba, E.I.; Quansah, E.; Aryee, J.N.; Preko, K. Estimation of the return periods of maxima precipitation and floods at the Pra River Catchment, Ghana, West Africa using the Gumbel extreme value theory. Heliyon 2021, 7, e06980. [Google Scholar] [CrossRef] [PubMed]
- Présidence de la République. Loi n 2018-18 du 06 août 2018 sur les Changements Climatiques en République du Benin. 2018. Available online: https://faolex.fao.org/docs/pdf/Ben184788.pdf (accessed on 28 October 2024).
- Klassou, K.S.; Komi, K. Analysis of extreme precipitation in Oti River Basin (West Africa). J. Water Clim. Change 2021, 12, 1997–2009. [Google Scholar] [CrossRef]
- Hosking, J.R.M.; Wallis, J.R. Regional Frequency Analysis: An Approach Based on L-Moments; Cambridge University Press: Cambridge, UK, 1997. [Google Scholar] [CrossRef]
- INSAE. Résultats provisoires du RGPH 4. MDAEP—Ministère du Développement, de l’Analyse Economique et de la Prospective, Cotonou, Bénin, 2013. Available online: https://instad.bj/images/docs/insae-statistiques/enquetes-recensements/RGPH/1.RGPH_4/Synth%C3%A8se-des-principaux-r%C3%A9sultats-du-RGPH-4/Plaquette-Zou-Final.pdf (accessed on 28 October 2024).
- Team, R.C. R: A Language and Environment for Statistical Computing. R Foundation for Statistical Computing, Vienna, Austria. 2023. Available online: https://www.R-project.org/ (accessed on 23 January 2024).
- Zhang, X.; Alexander, L.; Hegerl, G.C.; Jones, P.; Tank, A.K.; Peterson, T.C.; Trewin, B.; Zwiers, F.W. Indices for monitoring changes in extremes based on daily temperature and precipitation data. WIREs Clim. Change 2011, 2, 851–870. [Google Scholar] [CrossRef]
- Güçlü, Y.S. Improved visualization for trend analysis by comparing with classical Mann-Kendall test and ITA. J. Hydrol. 2020, 584, 124674. [Google Scholar] [CrossRef]
- Panda, A.; Sahu, N. Trend analysis of seasonal precipitation and temperature pattern in Kalahandi, Bolangir and Koraput districts of Odisha, India. Atmos. Sci. Lett. 2019, 20, e932. [Google Scholar] [CrossRef]
- Pohlert, T. Trend: Non-Parametric Trend Tests and Change-Point Detection. 2023. Available online: https://CRAN.R-project.org/package=trend (accessed on 23 August 2024).
- Guo, A.; Zhang, Y.; Zhong, F.; Jiang, D. Spatiotemporal Patterns of Ecosystem Service Value Changes and Their Coordination with Economic Development: A Case Study of the Yellow River Basin, China. IJERPH 2020, 17, 8474. [Google Scholar] [CrossRef] [PubMed]
- Salack, S.; Saley, I.A.; Lawson, N.Z.; Zabré, I.; Daku, E.K. Scales for rating heavy precipitation events in the West African Sahel. Weather. Clim. Extrem. 2018, 21, 36–42. [Google Scholar] [CrossRef]
- Seneviratne, S.I.; Nicholls, N.; Easterling, D.; Seneviratne, S.I.; Nicholls, N.; Easterling, D.; Goodess, C.M.; Kanae, S.; Kossin, J.; Luo, Y.; et al. Changes in Climate Extremes and their Impacts on the Natural Physical Environment. In Managing the Risks of Extreme Events and Disasters to Advance Climate Change Adaptation, 1st ed.; Field, C.B., Barros, V., Stocker, T.F., Eds.; Cambridge University Press: Cambridge, UK, 2012; pp. 109–230. [Google Scholar] [CrossRef]
- Mohamed Ahmed OULD SIDI CHEIKH; Pierre OZER; André OZER. Risques d’inondation dans la ville de Nouakchott (Mauritanie). Geo-Eco-Trop 2007, 31, 19–42. Available online: https://www.geoecotrop.be/uploads/publications/pub_311_02.pdf (accessed on 28 November 2024).
- Gençay, R.; Selçuk, F. Extreme value theory and Value-at-Risk: Relative performance in emerging markets. Int. J. Forecast. 2004, 20, 287–303. [Google Scholar] [CrossRef]
- Learn Statistics Easy. Apprenez Facilement les Statistiques. 2024. Available online: https://fr.statisticseasily.com/glossaire/Qu%27est-ce-que-la-pond%C3%A9ration-des-donn%C3%A9es-expliqu%C3%A9e-en-d%C3%A9tail/ (accessed on 23 December 2024).
- Gao, M.; Mo, D.; Wu, X. Nonstationary modeling of extreme precipitation in China. Atmos. Res. 2016, 182, 1–9. [Google Scholar] [CrossRef]
- Beirlant, J.; Goegebeur, Y.; Teugels, J.; Segers, J. Statistics of Extremes: Theory and Applications, 1st ed.; Wiley Series in Probability and Statistics; Wiley: Hoboken, NJ, USA, 2004. [Google Scholar] [CrossRef]
- Alam, M.; Emura, K.; Farnham, C.; Yuan, J. Best-Fit Probability Distributions and Return Periods for Maximum Monthly Precipitation in Bangladesh. Climate 2018, 6, 9. [Google Scholar] [CrossRef]
- Ragno, E.; AghaKouchak, A.; Cheng, L.; Sadegh, M. A generalized framework for process-informed nonstationary extreme value analysis. Adv. Water Resour. 2019, 130, 270–282. [Google Scholar] [CrossRef]
- Vidrio-Sahagún, C.T.; Ruschkowski, J.; He, J.; Pietroniro, A. A practice-oriented framework for stationary and nonstationary flood frequency analysis. Environ. Model. Softw. 2024, 173, 105940. [Google Scholar] [CrossRef]
- Mehmood, A.; Jia, S.; Mahmood, R.; Yan, J.; Ahsan, M. Non-Stationary Bayesian Modeling of Annual Maximum Floods in a Changing Environment and Implications for Flood Management in the Kabul River Basin, Pakistan. Water 2019, 11, 1246. [Google Scholar] [CrossRef]
- Universidad Autónoma de San Luis Potosí, México; Campos-Aranda, D.F. Ajuste con momentos L de las distribuciones no estacionarias GVE1 y GVE2 a series de PMD. Tecnol. Y Cienc. Del Agua 2019, 10, 75–105. [Google Scholar] [CrossRef]
- Gilleland, E.; Katz, R.W. extRemes 2.0: An Extreme Value Analysis Package in R. J. Stat. Soft. 2016, 72. [Google Scholar] [CrossRef]
- Hosking, J.R.M. lmomRFA: Regional Frequency Analysis using L-Moments. 2009; 72, 3. [Google Scholar] [CrossRef]
- Hosking, J.R.M. lmom: L-Moments. p. 3.2, Jul. 05, 2008. Available online: https://CRAN.R-project.org/package=lmom (accessed on 27 October 2024).
- Kingbo, A.; Teka, O.; Aoudji, A.K.N.; Ahohuendo, B.; Ganglo, J.C. Climate Change in Southeast Benin and Its Influences on the Spatio-Temporal Dynamic of Forests, Benin, West Africa. Forests 2022, 13, 698. [Google Scholar] [CrossRef]
- Alexander, L.V.; Zhang, X.; Peterson, T.C.; Caesar, J.; Gleason, B.; Klein Tank, A.M.G.; Haylock, M.; Collins, D.; Trewin, B.; Rahimzadeh, F.; et al. Global observed changes in daily climate extremes of temperature and precipitation. J. Geophys. Res. 2006, 111, 2005JD006290. [Google Scholar] [CrossRef]
- Donat, M.G.; Alexander, L.V. The shifting probability distribution of global daytime and night-time temperatures. Geophys. Res. Lett. 2012, 39, 2012GL052459. [Google Scholar] [CrossRef]
- Egerer, M.; Lin, B.; Kendal, D. Temperature Variability Differs in Urban Agroecosystems across Two Metropolitan Regions. Climate 2019, 7, 50. [Google Scholar] [CrossRef]
- Wemegah, C.S.; Yamba, E.I.; Aryee, J.N.A.; Sam, F.; Amekudzi, L.K. Assessment of urban heat island warming in the greater accra region. Sci. Afr. 2020, 8, e00426. [Google Scholar] [CrossRef]
- Pausata, F.S.; Gaetani, M.; Messori, G.; Berg, A.; de Souza, D.M.; Sage, R.F.; DeMenocal, P.B. The Greening of the Sahara: Past Changes and Future Implications. One Earth 2020, 2, 235–250. [Google Scholar] [CrossRef]
- Tabari, H. Climate change impact on flood and extreme precipitation increases with water availability. Sci. Rep. 2020, 10, 13768. [Google Scholar] [CrossRef] [PubMed]






| Climatic Parameters | Sen’s Test | Mann–Kendall Test | ||||
|---|---|---|---|---|---|---|
| Pinf | Pmed | Psup | Tau | p-Value | Direction of Trend | |
| pcp | 0 | 11.22 | 19 | 0.25 | 0.04 * | Upward |
| Tmax | −0.03 | −0.01 | 0.01 | −0.14 | 0.30 | No trend |
| Tmin | 0.01 | 0.02 | 0.03 | 0.41 | 0.001 * | Upward |
| Variable | Stationary (μ) | Non-Stationary (μ(t)) | Variability (σ) | Form (ξ) |
|---|---|---|---|---|
| pcp | 61.45 mm | 64.26 + 0.64⋅t | 18.19 mm | −0.08 |
| Tmax | 96.22 °C | 99.69 + 0.15⋅t | 3.07 °C | 0.24 |
| Tmin | 79.08 °C | 78.10 + 0.04⋅t | 0.80 °C | −0.05 |
| Return Periods (Year) | Expected Extreme Values | ||
|---|---|---|---|
| pcp (mm) | Tmax (°C) | Tmin (°C) | |
| 2 | 68.21 | 97.30 | 79.38 |
| 5 | 90.49 | 100.10 | 80.34 |
| 10 | 106.43 | 101.57 | 81.00 |
| 20 | 122.68 | 102.76 | 81.67 |
| 50 | 145.22 | 104.02 | 82.57 |
| 100 | 163.29 | 104.80 | 83.27 |
Disclaimer/Publisher’s Note: The statements, opinions and data contained in all publications are solely those of the individual author(s) and contributor(s) and not of MDPI and/or the editor(s). MDPI and/or the editor(s) disclaim responsibility for any injury to people or property resulting from any ideas, methods, instructions or products referred to in the content. |
© 2025 by the authors. Licensee MDPI, Basel, Switzerland. This article is an open access article distributed under the terms and conditions of the Creative Commons Attribution (CC BY) license (https://creativecommons.org/licenses/by/4.0/).
Share and Cite
Azagoun, V.V.A.; Komi, K.; Vissin, E.W.; Klassou, K.S. Analysis of the Dynamics of Hydroclimatic Extremes in Urban Areas: The Case of Grand-Nokoué in Benin, West Africa. Climate 2025, 13, 39. https://doi.org/10.3390/cli13020039
Azagoun VVA, Komi K, Vissin EW, Klassou KS. Analysis of the Dynamics of Hydroclimatic Extremes in Urban Areas: The Case of Grand-Nokoué in Benin, West Africa. Climate. 2025; 13(2):39. https://doi.org/10.3390/cli13020039
Chicago/Turabian StyleAzagoun, Vidjinnagni Vinasse Ametooyona, Kossi Komi, Expédit Wilfrid Vissin, and Komi Selom Klassou. 2025. "Analysis of the Dynamics of Hydroclimatic Extremes in Urban Areas: The Case of Grand-Nokoué in Benin, West Africa" Climate 13, no. 2: 39. https://doi.org/10.3390/cli13020039
APA StyleAzagoun, V. V. A., Komi, K., Vissin, E. W., & Klassou, K. S. (2025). Analysis of the Dynamics of Hydroclimatic Extremes in Urban Areas: The Case of Grand-Nokoué in Benin, West Africa. Climate, 13(2), 39. https://doi.org/10.3390/cli13020039

