Modeling the Effects of Local Atmospheric Conditions on the Thermodynamics of Sobradinho Lake, Northeast Brazil
Abstract
1. Introduction
2. Materials and Methods
2.1. Study Area
2.2. Observed Data
2.3. FLake Model
3. Results
3.1. Interannual Variability
3.2. Annual Cycle
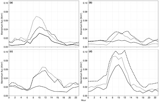
3.3. Atmospheric Forcings
3.4. Lake Conditions
3.4.1. Lake Surface Temperature
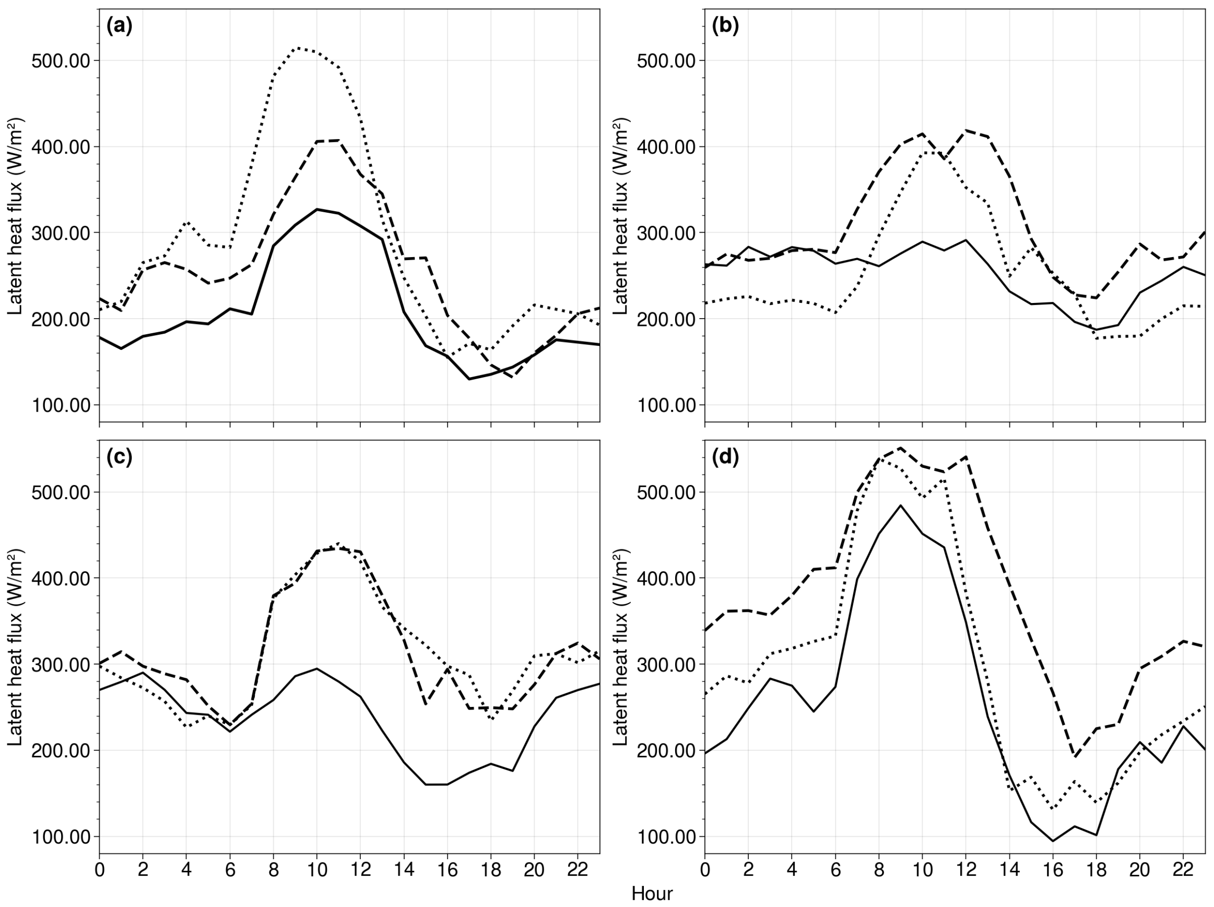
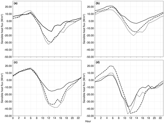
3.4.2. Turbulent Energy Fluxes at the Surface
3.5. Mixing Layer Depth
4. Discussion
5. Conclusions
Author Contributions
Funding
Data Availability Statement
Acknowledgments
Conflicts of Interest
Abbreviations
| FLake | Freshwater Lake |
| CLM | Climate Limited-Area Modelling Community |
| DEPESCA/UFRPE | Fisheries Department of the Federal Rural University of Pernambuco |
| INMET | National Institute of Meteorology |
| ITCZ | Intertropical Convergence Zone |
| ASAS | South Atlantic Subtropical High |
| LST | Lake Surface Temperature |
| H | Sensible Heat Fluxes |
| LE | Latent Heat Fluxes |
References
- Correia, R.; Correia, R.C. Ações de Desenvolvimento para Produtores Agropecuários e Pescadores do TerritóRio do Entorno da Barragem de Sobradinho-BA; Embrapa Semiárido: Petrolina, Brazil, 2009; p. 82. [Google Scholar]
- Esteves, F.A. Fundamentos de Limnologia, 3rd ed.; Interciência: Rio de Janeiro, Brazil, 2011; p. 826. [Google Scholar]
- de Fátima Correia, M.; da Silva Dias, M.A. Variação do nível do reservatório de sobradinho e seu impacto sobre o clima da região. Rev. Bras. Recur. HíDricos 2003, 8, 157. [Google Scholar]
- Campos, F.S. Estudo de Variabilidade de Precipitação. Monografy (Degree); Technological Institute of Aeronautics: São José dos Campos, Brazil, 1990. [Google Scholar]
- Sobral, M.D.; de Assis, J.M.; de Oliveira, C.R.; da Silva, G.M.; Morais, M.; Carvalho, R.M. Impacto das mudanças climáticas nos recursos hídricos no submédio da bacia hidrográfica do rio São Francisco–Brasil. Rede-Rev. EletrÔNica Prodema 2018, 12, 95–106. [Google Scholar]
- Ekhtiari, N.; Grossman-Clarke, S.; Koch, H.; Meira de Souza, W.; Donner, R.V.; Volkholz, J. Effects of the Lake Sobradinho Reservoir (Northeastern Brazil) on the Regional Climate. Climate 2017, 3, 645. [Google Scholar] [CrossRef]
- Rockel, N.; Will, A.; Hense, A. The regional climate model COSMO-CLM (CCLM). Meteorol. Z. 2008, 17, 347. [Google Scholar] [CrossRef]
- Sharma, A.; Hamlet, A.F.; Fernando, H.J.; Catlett, C.E.; Horton, D.E.; Kotamarthi, V.R.; Kristovich, D.A.; Packman, A.I.; Tank, J.L.; Wuebbles, D.J. The need for an integrated land-lake-atmosphere modeling system, exemplified by northamerica’s great lakes region. Earth’s Future 2018, 6, 1366–1379. [Google Scholar] [CrossRef]
- Mallard, M.S.; Nolte, C.G.; Bullock, O.R.; Spero, T.L.; Gula, J. Using a coupled lake model with WRF for dynamical downscaling. J. Geophys. Res. Atmos. 2014, 119, 7193–7208. [Google Scholar] [CrossRef]
- Mironov, D.V. Parameterization of Lakes in Numerical Weather Prediction: Description of a Lake Model. COSMO Technical Report 11. 2008, p. 47. Available online: https://cosmo-model.org/content/model/documentation/techReports/cosmo/docs/techReport11.pdf (accessed on 19 November 2022).
- Golub, M.; Thiery, W.; Marcé, R.; Pierson, D.; Vanderkelen, I.; Mercado-Bettin, D.; Woolway, R.I.; Grant, L.; Jennings, E.; Kraemer, B.M.; et al. A framework for ensemble modelling of climate change impacts on lakes worldwide: The ISIMIP Lake Sector. Geosci. Model Dev. 2022, 15, 4597–4623. [Google Scholar] [CrossRef]
- Mironov, D.; Rontu, L.; Kourzeneva, E.; Terzhevik, A. Towards improved representation of lakes in numerical weather prediction and climate models: Introduction to the special issue of Boreal Environment Research. Environ. Res. 2010, 15, 97–99. [Google Scholar]
- Kayano, M.T.; Andreoli, R.V.; de Souza, R.A.F.; Garcia, S.R.; Calheiros, A.J.P. El Niño e La Niña dos Últimos 30 anos: Diferentes Tipos; Instituto Nacional de Pesquisas Espaciais, INPE: São José dos Campos, Brazil, 2016.
- Jiménez-Muñoz, J.C.; Mattar, C.; Barichivich, J.; Santamaría-Artigas, A.; Takahashi, K.; Malhi, Y.; Sobrino, J.A.; Schrier, G.V. Record-breaking warming and extreme drought in the Amazon rainforest during the course of El Niño 2015–2016. Sci. Rep. 2016, 6, 33130. [Google Scholar] [CrossRef]
- Uvo, C.B. A Zona de Convergência Intertropical (ZCIT) e sua Relação com a Precipitação da Região Norte do Nordeste Brasileiro. Master’s Thesis, National Institute for Space Research-INPE, São José dos Campos, Brazil, 1989. INPE-4887-TDL/378. [Google Scholar]
- Galvincio, J.D. Impactos dos Eventos El Niño na Precipitação da Bacia do rio São Francisco. Master’s Thesis, Federal University of Paraíba (PB), Campina Grande, Brazil, 2000. [Google Scholar]
- Torres, F.; Kuki, C.; Ferreira, G.; Vasconcellos, B.; Freitas, A.; Silva, P.; Souza, C.; Reboita, M.S. Validação de diferentes bases de dados de precipitação nas bacias hidrográficas do Sapucaí e São Francisco. Rev. Bras. Climatol. 2020, 27, 368–404. [Google Scholar]
- Ynoue, R.Y.; Reboita, M.S.; Ambrizzi, T.; da Silva, G.A. Meteorologia: Noções Básicas; Oficina de Textos: São Paulo, Brazil, 2017. [Google Scholar]
- Esteves, F.A. Fundamentos de Limnologia, 2nd ed.; Interciência: Rio de Janeiro, Brazil, 1998. [Google Scholar]
- Angelocci, L.R.; Nova, N.A. Variações da temperatura da água de um pequeno lago artificial ao longo de um ano em Piracicaba-SP. Sci. Agric. 1995, 52, 431–438. [Google Scholar] [CrossRef]
- Collischonn, W. Hidrologia para Engenhaia e Ciências Ambientais; ABRH: Porto Alegre, Brazil, 2013. [Google Scholar]
- do Vale, R.S.; de Santana, R.A.; da Silva, J.T.; Miller, S.D.; de Souza, R.A.; da Silva Picanço, G.A.; dos Santos Gomes, A.C.; Tapajós, R.P.; Pedreiro, M.R. Medições por covariância de vórtices turbulentos dos fluxos de calor latente, sensível, momentum e CO2 sobre o reservatório da Usina Hi-drelétrica de Curuá-Una—PA. CiêNcia Nat. 2016, 38, 15–20. [Google Scholar] [CrossRef][Green Version]
- Villela, S.M. Hidrologia Aplicada; McGraw´Hill: São Paulo, Brasil, 1975. [Google Scholar]
- Elias, E.C. Estimativa do Fluxo de Calor em Dois Lagos Tropicais: Lago Dom Helvécio e Lago Carioca, MG. Master’s Thesis, Federal University of Minas Gerais (MG), Belo Horizonte, Brazil, 2014. [Google Scholar]
- Imberger, J. The diurnal mixed layer. Limnol. Oceanogr. 1985, 30, 737–770. [Google Scholar] [CrossRef]
- Largier, J.L. The Diurnal Mixed Layer in Lakes and Oceans. South. Afr. J. Aquat. Sci. 1989, 15, 28–49. [Google Scholar] [CrossRef]
- Wijtkamp, P.J. Interannual Thermal-Regime Variability of Two Lakes in British Columbia, Canada: Implications for Climate Change. Master’s Thesis, University of Manitoba, Winnipeg, MB, Canada, 2011. [Google Scholar]
- Melo, M.M.; Santos, C.A.; Olinda, R.A.; Silva, M.T.; Abrahão, R.; Ruiz-Alvarez, O. Trends in temperature and rainfall extremes near the artificial Sobradinho lake, Brazil. Rev. Bras. Meteorol. 2018, 33, 426–440. [Google Scholar] [CrossRef]
- Santos, S.M. Sistema Web para Visualização de Informações Geográficas de áreas com Sustentabilidade Climática a Desertificação. Master’s Thesis, Universidade Federal do Vale do São Francisco, Juazeiro, Brazil, 2015. [Google Scholar]
- Butcher, J.B.; Zi, T.; Schmidt, M.; Johnson, T.E.; Nover, D.M.; Clark, C.M. Estimating future temperature maxima in lakes across the United States using a surrogate modeling approach. PLoS ONE 2017, 12, e0183499. [Google Scholar] [CrossRef] [PubMed]













| Parameters | Value |
|---|---|
| Depth | 20 m |
| Fetch | 12,500 m |
| Extinction coefficient | 3 m |
| Water albedo | 0.07 |
| Timestep | 3600 s |
Disclaimer/Publisher’s Note: The statements, opinions and data contained in all publications are solely those of the individual author(s) and contributor(s) and not of MDPI and/or the editor(s). MDPI and/or the editor(s) disclaim responsibility for any injury to people or property resulting from any ideas, methods, instructions or products referred to in the content. |
© 2023 by the authors. Licensee MDPI, Basel, Switzerland. This article is an open access article distributed under the terms and conditions of the Creative Commons Attribution (CC BY) license (https://creativecommons.org/licenses/by/4.0/).
Share and Cite
Afonso, E.O.; Chou, S.C. Modeling the Effects of Local Atmospheric Conditions on the Thermodynamics of Sobradinho Lake, Northeast Brazil. Climate 2023, 11, 208. https://doi.org/10.3390/cli11100208
Afonso EO, Chou SC. Modeling the Effects of Local Atmospheric Conditions on the Thermodynamics of Sobradinho Lake, Northeast Brazil. Climate. 2023; 11(10):208. https://doi.org/10.3390/cli11100208
Chicago/Turabian StyleAfonso, Eliseu Oliveira, and Sin Chan Chou. 2023. "Modeling the Effects of Local Atmospheric Conditions on the Thermodynamics of Sobradinho Lake, Northeast Brazil" Climate 11, no. 10: 208. https://doi.org/10.3390/cli11100208
APA StyleAfonso, E. O., & Chou, S. C. (2023). Modeling the Effects of Local Atmospheric Conditions on the Thermodynamics of Sobradinho Lake, Northeast Brazil. Climate, 11(10), 208. https://doi.org/10.3390/cli11100208

