Evaluation of the CMIP6 Performance in Simulating Precipitation in the Amazon River Basin
Abstract
:1. Introduction
2. Materials and Methods
2.1. Study Area
2.2. Observational Datasets
2.3. CMIP6 Models
2.4. Evaluation Methodology
3. Results and Discussion
3.1. Domain Analysis
3.2. Northern (NAZ) and Southern (SAZ) Amazon Regions
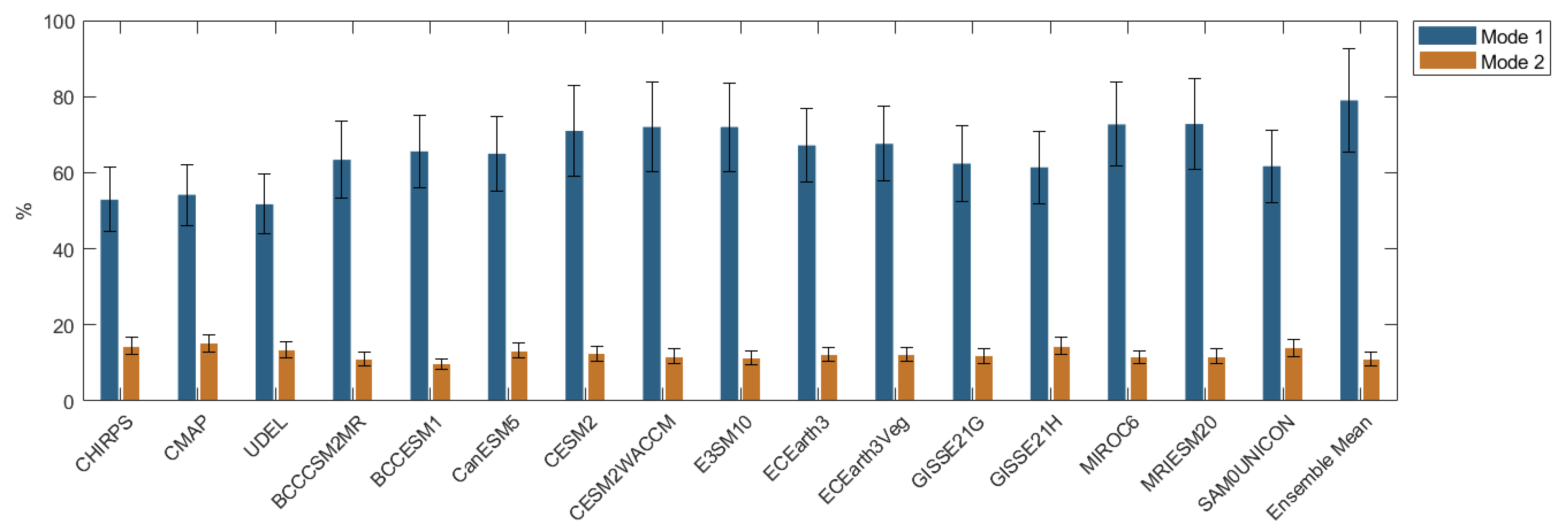
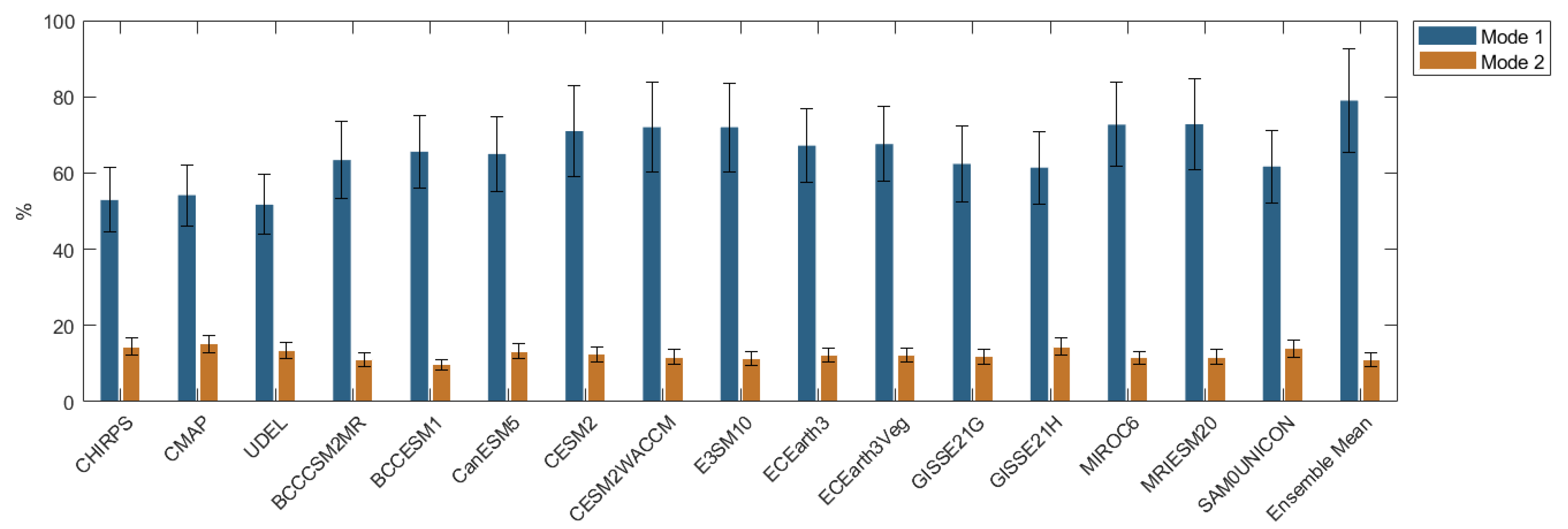
3.3. EOF Analysis
3.4. Taylor Skill Score and Ranking
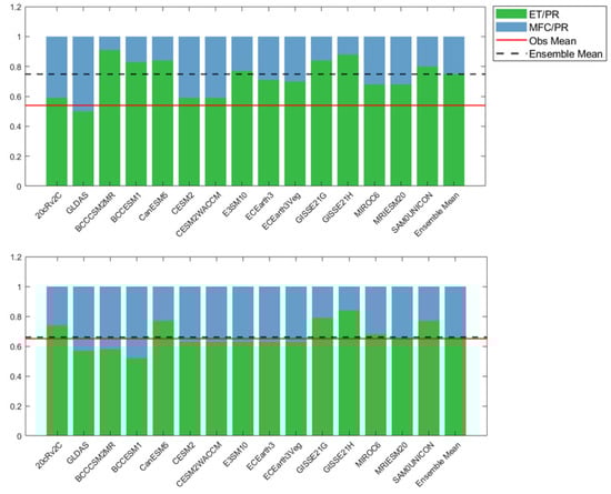
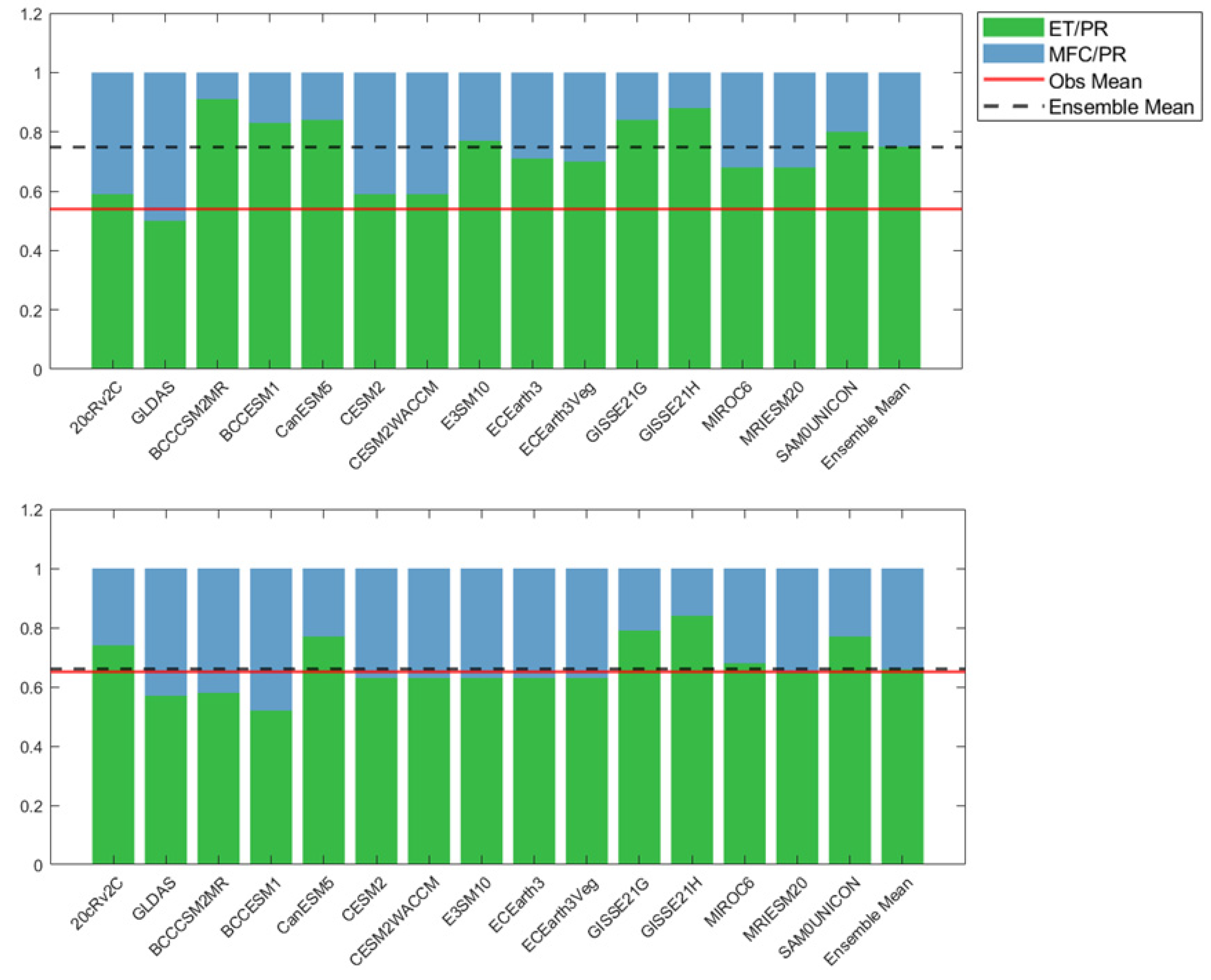
3.5. ET/PR & MFC/PR Ratio Analysis
4. Conclusions
Author Contributions
Funding
Data Availability Statement
Acknowledgments
Conflicts of Interest
References
- Foley, J.A.; Asner, G.; Costa, M.; Coe, M.T.; DeFries, R.; Gibbs, H.K.; Howard, E.A.; Olson, S.; Patz, J.; Ramankutty, N.; et al. Amazonia revealed: Forest degradation and loss of ecosystem goods and services in the Amazon Basin. Front. Ecol. Environ. 2007, 5, 25–32. [Google Scholar] [CrossRef]
- de Lima, L.S.; Coe, M.T.; Filho, B.S.S.; Cuadra, S.V.; Dias, L.C.P.; Costa, M.H.; Lima, L.S.; Rodrigues, H.O. Feedbacks between deforestation, climate, and hydrology in the Southwestern Amazon: Implications for the provision of ecosystem services. Landsc. Ecol. 2014, 29, 261–274. [Google Scholar] [CrossRef] [Green Version]
- Hopkins, M.J.G. Modelling the known and unknown plant biodiversity of the Amazon Basin. J. Biogeogr. 2007, 34, 1400–1411. [Google Scholar] [CrossRef]
- Dale, V.H.; Pearson, S.M.; Offerman, H.L.; O’Neill, R.V. Relating Patterns of Land-Use Change to Faunal Biodiversity in the Central Amazon. Conserv. Biol. 1994, 8, 1027–1036. [Google Scholar] [CrossRef]
- Wu, M.; Schurgers, G.; Ahlström, A.; Rummukainen, M.; Miller, P.A.; Smith, B.; May, W. Impacts of land use on climate and ecosystem productivity over the Amazon and the South American continent. Environ. Res. Lett. 2017, 12, 054016. [Google Scholar] [CrossRef] [Green Version]
- Martinelli, L.A.; Victoria, R.L.; Sternberg, L.S.L.; Ribeiro, A.; Moreira, M.Z. Using stable isotopes to determine sources of evaporated water to the atmosphere in the Amazon basin. J. Hydrol. 1996, 183, 191–204. [Google Scholar] [CrossRef]
- Chambers, J.Q.; Higuchi, N.; Tribuzy, E.S.; Trumbore, S.E. Carbon sink for a century. Nature 2001, 410, 429. [Google Scholar] [CrossRef]
- Salati, E.; Vose, P.B. Amazon Basin: A System in Equilibrium. Science 1984, 225, 129–138. [Google Scholar] [CrossRef] [Green Version]
- Zemp, D.C.; Schleussner, C.-F.; Barbosa, H.M.J.; van der Ent, R.J.; Donges, J.F.; Heinke, J.; Sampaio, G.; Rammig, A. On the importance of cascading moisture recycling in South America. Atmos. Chem. Phys. 2014, 14, 13337–13359. [Google Scholar] [CrossRef] [Green Version]
- Krol, M.S.; Bronstert, A. Regional integrated modelling of climate change impacts on natural resources and resource usage in semi-arid Northeast Brazil. Environ. Model Softw. 2007, 22, 259–268. [Google Scholar] [CrossRef]
- Parry, M.L.; Rosenzweig, C.; Iglesias, A.; Livermore, M.; Fischer, G. Effects of climate change on global food production under SRES emissions and socio-economic scenarios. Glob. Environ. Chang. 2004, 14, 53–67. [Google Scholar] [CrossRef]
- Hecht, S.B. Environment, development and politics: Capital accumulation and the livestock sector in Eastern Amazonia. World Dev. 1985, 13, 663–684. [Google Scholar] [CrossRef]
- Pedlowski, M.A.; Dale, V.H.; Matricardi, E.A.T.; da Silva Filhod, E.P. Patterns and impacts of deforestation in Rondônia, Brazil. Landsc. Urban Plan. 1997, 38, 149–157. [Google Scholar] [CrossRef]
- Fearnside, P. Deforestation of the Brazilian Amazon. In Oxford Research Encyclopedia of Environmental Science; Oxford University Press: New York, NY, USA, 2017. [Google Scholar] [CrossRef] [Green Version]
- Jones, C.; Carvalho, L.M.V. Climate change in the South American monsoon system: Present climate and CMIP5 projections. J. Clim. 2013, 26, 6660–6678. [Google Scholar] [CrossRef] [Green Version]
- Soares-Filho, B.; Rodrigues, H.; Follador, M. A hybrid analytical-heuristic method for calibrating land-use change models. Environ. Model. Softw. 2013, 43, 80–87. [Google Scholar] [CrossRef]
- Rodrigues, M.A.M.; Garcia, S.R.; Kayano, M.T.; Calheiros, A.J.P.; Andreoli, R.V. Onset and demise dates of the rainy season in the South American monsoon region: A cluster analysis result. Int. J. Climatol. 2021, 42, 1354–1368. [Google Scholar] [CrossRef]
- Sena, E.T.; Dias, M.A.F.S.; Carvalho, L.M.V.; Dias, P.L.S. Reduced wet-season length detected by satellite retrievals of cloudiness over Brazilian Amazonia: A new methodology. J. Clim. 2018, 31, 9941–9964. [Google Scholar] [CrossRef]
- Prado, L.F.; Wainer, I.; Yokoyama, E.; Khodri, M.; Garnier, J. Changes in summer precipitation variability in central Brazil over the past eight decades. Int. J. Climatol. 2021, 41, 4171–4186. [Google Scholar] [CrossRef]
- Smyth, J.E.; Ming, Y. Characterizing drying in the south American monsoon onset season with the moist static energy budget. J. Clim. 2021, 33, 9735–9748. [Google Scholar] [CrossRef]
- Erfanian, A.; Wang, G.; Fomenko, L. Unprecedented drought over tropical South America in 2016: Significantly under-predicted by tropical SST. Sci. Rep. 2017, 7, 5811. [Google Scholar] [CrossRef] [Green Version]
- Jiménez-Muñoz, J.C.; Mattar, C.; Barichivich, J.; Santamaría-Artigas, A.; Takahashi, K.; Malhi, Y.; Sobrino, J.A.; van der Schrier, G. Record-breaking warming and extreme drought in the Amazon rainforest during the course of El Niño 2015–2016. Sci. Rep. 2016, 6, 33130. [Google Scholar] [CrossRef] [PubMed] [Green Version]
- Chaudhari, S.; Pokhrel, Y.; Moran, E.; Miguez-Macho, G. Multi-decadal hydrologic change and variability in the Amazon River basin: Understanding terrestrial water storage variations and drought characteristics. Hydrol. Earth Syst. Sci. 2019, 23, 2841–2862. [Google Scholar] [CrossRef] [Green Version]
- Duffy, P.B.; Brando, P.; Asner, G.P.; Field, C.B. Projections of future meteorological drought and wet periods in the Amazon. Proc. Natl. Acad. Sci. USA 2015, 112, 13172–13177. [Google Scholar] [CrossRef] [Green Version]
- Eyring, V.; Bony, S.; Meehl, G.A.; Senior, C.A.; Stevens, B.; Stouffer, R.J.; Taylor, K.E. Overview of the Coupled Model Intercomparison Project Phase 6 (CMIP6) experimental design and organization. Geosci. Model. Dev. 2016, 9, 1937–1958. [Google Scholar] [CrossRef] [Green Version]
- Taylor, K.E.; Stouffer, R.J.; Meehl, G.A. An overview of CMIP5 and the experiment design. Bull. Am. Meteorol. Soc. 2012, 93, 485–498. [Google Scholar] [CrossRef] [Green Version]
- Chen, H.; Sun, J.; Lin, W.; Xu, H. Comparison of CMIP6 and CMIP5 models in simulating climate extremes. Sci. Bull. 2020, 65, 1415–1418. [Google Scholar] [CrossRef]
- Gusain, A.; Ghosh, S.; Karmakar, S. Added value of CMIP6 over CMIP5 models in simulating Indian summer monsoon rainfall. Atmos. Res. 2020, 232, 104680. [Google Scholar] [CrossRef]
- Zamani, Y.; Hashemi Monfared, S.A.; Azhdari moghaddam, M.; Hamidianpour, M. A comparison of CMIP6 and CMIP5 projections for precipitation to observational data: The case of Northeastern Iran. Theor. Appl. Climatol. 2020, 142, 1613–1623. [Google Scholar] [CrossRef]
- Chen, C.A.; Hsu, H.H.; Liang, H.C. Evaluation and comparison of CMIP6 and CMIP5 model performance in simulating the seasonal extreme precipitation in the Western North Pacific and East Asia. Weather Clim. Extrem. 2021, 31, 100303. [Google Scholar] [CrossRef]
- Li, J.-L.F.; Xu, K.-M.; Richardson, M.; Lee, W.-L.; Jiang, J.H.; Yu, J.-Y.; Wang, Y.-H.; Fetzer, E.; Wang, L.-C.; Stephens, G.; et al. Annual and seasonal mean tropical and subtropical precipitation bias in CMIP5 and CMIP6 models. Environ. Res. Lett. 2019, 15, 124068. [Google Scholar] [CrossRef]
- Alves, L.M.; Chadwick, R.; Moise, A.; Brown, J.; Marengo, J.A. Assessment of rainfall variability and future change in Brazil across multiple timescales. Int. J. Climatol. 2020, 41, E1875–E1888. [Google Scholar] [CrossRef]
- Rivera, J.A.; Arnould, G. Evaluation of the ability of CMIP6 models to simulate precipitation over Southwestern South America: Climatic features and long-term trends (1901–2014). Atmos. Res. 2020, 241, 104953. [Google Scholar] [CrossRef]
- Lovino, M.A.; Müller, O.V.; Berbery, E.H.; Müller, G.V. Evaluation of CMIP5 retrospective simulations of temperature and precipitation in northeastern Argentina. Int. J. Climatol. 2018, 38, e1158–e1175. [Google Scholar] [CrossRef]
- Gulizia, C.; Camilloni, I. Comparative analysis of the ability of a set of CMIP3 and CMIP5 global climate models to represent precipitation in South America. Int. J. Climatol. 2015, 35, 583–595. [Google Scholar] [CrossRef]
- Villamayor, J.; Ambrizzi, T.; Mohino, E. Influence of decadal sea surface temperature variability on northern Brazil rainfall in CMIP5 simulations. Clim. Dyn. 2018, 51, 563–579. [Google Scholar] [CrossRef]
- Barreto NDJ da, C.; Mendes, D.; Lucio, P.S. Sensitivity of the CMIP5 models to precipitation in Tropical Brazil. Rev. Ibero-Am. De Ciências Ambient. 2020, 12, 180–191. [Google Scholar] [CrossRef]
- Babaousmail, H.; Hou, R.; Ayugi, B.; Ojara, M.; Ngoma, H.; Karim, R.; Rajasekar, A.; Ongoma, V. Evaluation of the Performance of CMIP6 Models in Reproducing Rainfall Patterns over North Africa. Atmosphere 2021, 12, 475. [Google Scholar] [CrossRef]
- Assis, L.F.F.G.; Ferreira, K.R.; Vinhas, L.; Maurano, L.; Almeida, C.; Carvalho, A.; Rodrigues, J.; Maciel, A.; Camargo, C. TerraBrasilis: A Spatial Data Analytics Infrastructure for Large-Scale Thematic Mapping. ISPRS Int. J. Geo-Inform. 2019, 8, 513. [Google Scholar] [CrossRef] [Green Version]
- De Oliveira, G.; Brunsell, N.A.; Moraes, E.C.; Shimabukuro, Y.E.; Dos Santos, T.V.; Von Randow, C.; De Aguiar, R.G.; Aragao, L.E. Effects of land-cover changes on the partitioning of surface energy and water fluxes in Amazonia using high-resolution satellite imagery. Ecohydrology 2019, 12, e2126. [Google Scholar] [CrossRef]
- Khanna, J.; Medvigy, D.; Fueglistaler, S.; Walko, R. Regional dry-season climate changes due to three decades of Amazonian deforestation. Nat. Clim. Change 2017, 7, 200–206. [Google Scholar] [CrossRef]
- Bonini, I.; Rodrigues, C.; Dallacort, R.; Junior, B.H.M.; Carvalho, M.A.C. Rainfall and deforestation in the municipality of colider, Southern Amazon. Rev. Bras. Meteorol. 2014, 29, 483–493. [Google Scholar] [CrossRef] [Green Version]
- Butt, N.; De Oliveira, P.A.; Costa, M.H. Evidence that deforestation affects the onset of the rainy season in Rondonia, Brazil. J. Geophys. Res. Atmos. 2011, 116, D11120. [Google Scholar] [CrossRef]
- Nobre, C.A.; Sampaio, G.; Borma, L.S.; Carlos Castilla-Rubio, J.; Silva, J.S.; Cardoso, M. Land-use and climate change risks in the Amazon and the need of a novel sustainable development paradigm. Proc. Natl. Acad. Sci. USA 2016, 113, 10759–10768. [Google Scholar] [CrossRef] [PubMed] [Green Version]
- Funk, C.; Peterson, P.; Landsfeld, M.; Pedreros, D.; Verdin, J.; Shukla, S.; Husak, G.; Rowland, J.; Harrison, L.; Hoell, A.; et al. The climate hazards infrared precipitation with stations—A new environmental record for monitoring extremes. Sci. Data 2015, 2, 150066. [Google Scholar] [CrossRef] [Green Version]
- Willmott, C.J.; Matsuura, K. Global Air Temperature and Precipitation Archive. Available online: http://climate.geog.udel.edu/~climate/html_pages/README.ghcn_ts2.html (accessed on 18 June 2020).
- Xie, P.; Arkin, P.A. Global Precipitation: A 17-Year Monthly Analysis Based on Gauge Observations, Satellite Estimates, and Numerical Model Outputs. Bull. Am. Meteorol. Soc. 1997, 78, 2539–2558. [Google Scholar] [CrossRef]
- Compo, G.P.; Whitaker, J.S.; Sardeshmukh, P.D.; Matsui, N.; Allan, R.J.; Yin, X.; Gleason, B.E.; Vose, R.S.; Rutledge, G.K.; Bessemoulin, P.; et al. The Twentieth Century Reanalysis Project. Q. J. R. Meteorol. Soc. 2011, 137, 1–28. [Google Scholar] [CrossRef]
- Compo, G.P.; Whitaker, J.S.; Sardeshmukh, P.D. Feasibility of a 100-Year Reanalysis Using Only Surface Pressure Data. Bull. Am. Meteorol. Soc. 2006, 87, 175–190. [Google Scholar] [CrossRef] [Green Version]
- Hersbach, H.; Bell, B.; Berrisford, P.; Hirahara, S.; Horanyi, A.; Muñoz-Sabater, J.; Nicolas, J.; Peubey, C.; Radu, R.; Schepers, D.; et al. The ERA5 global reanalysis. Q. J. R. Meteorol. Soc. 2020, 146, 1999–2049. [Google Scholar] [CrossRef]
- Whitaker, J.S.; Compo, G.P.; Wei, X.; Hamill, T.M. Reanalysis without Radiosondes Using Ensemble Data Assimilation. Mon. Weather Rev. 2004, 132, 1190–1200. [Google Scholar] [CrossRef] [Green Version]
- Giese, B.S.; Seidel, H.F.; Compo, G.P.; Sardeshmukh, P.D. An ensemble of ocean reanalyses for 1815–2013 with sparse observational input. J. Geophys. Res. Oceans 2016, 121, 6891–6910. [Google Scholar] [CrossRef]
- Reynolds, R.W.; Smith, T.M.; Liu, C.; Chelton, D.B.; Casey, K.S.; Schlax, M.G. Daily High-Resolution-Blended Analyses for Sea Surface Temperature. J. Clim. 2007, 20, 5473–5496. [Google Scholar] [CrossRef]
- Hirahara, S.; Ishii, M.; Fukuda, Y. Centennial-Scale Sea Surface Temperature Analysis and Its Uncertainty. J. Clim. 2014, 27, 57–75. [Google Scholar] [CrossRef]
- Paredes-Trejo, F.J.; Barbosa, H.A.; Lakshmi Kumar, T.V. Validating CHIRPS-based satellite precipitation estimates in Northeast Brazil. J. Arid. Environ. 2017, 139, 26–40. [Google Scholar] [CrossRef]
- Zazulie, N.; Rusticucci, M.; Raga, G.B. Regional climate of the subtropical central Andes using high-resolution CMIP5 models—part I: Past performance (1980–2005). Clim. Dyn. 2017, 49, 3937–3957. [Google Scholar] [CrossRef]
- Wu, T.; Lu, Y.; Fang, Y.; Xin, X.; Li, L.; Li, W.; Jie, W.; Zhang, J.; Liu, Y.; Zhang, L.; et al. The Beijing Climate Center Climate System Model (BCC-CSM): The main progress from CMIP5 to CMIP6. Geosci. Model Dev. 2019, 12, 1573–1600. [Google Scholar] [CrossRef] [Green Version]
- Swart, N.C.; Cole, J.N.S.; Kharin, V.V.; Lazare, M.; Scinocca, J.F.; Gillett, N.P.; Anstey, J.; Arora, V.; Christian, J.R.; Hanna, S.; et al. The Canadian Earth System Model version 5 (CanESM5.0.3). Geosci. Model Dev. 2019, 12, 4823–4873. [Google Scholar] [CrossRef] [Green Version]
- Gettelman, A.; Hannay, C.; Bacmeister, J.T.; Neale, R.B.; Pendergrass, A.G.; Danabasoglu, G.; Lamarque, J.; Fasullo, J.T.; Bailey, D.A.; Lawrence, D.M.; et al. High Climate Sensitivity in the Community Earth System Model Version 2 (CESM2). Geophys. Res. Lett. 2019, 46, 8329–8337. [Google Scholar] [CrossRef]
- Golaz, J.; Caldwell, P.M.; Van Roekel, L.P.; Petersen, M.R.; Tang, Q.; Wolfe, J.D.; Abeshu, G.; Anantharaj, V.; Asay-Davis, X.S.; Bader, D.C.; et al. The DOE E3SM Coupled Model Version 1: Overview and Evaluation at Standard Resolution. J. Adv. Model. Earth Syst. 2019, 11, 2089–2129. [Google Scholar] [CrossRef] [Green Version]
- Doblas Reyes, F.; Acosta Navarro, J.C.; Acosta Cobos, M.C.; Bellprat, O.; Bilbao, R.; Castrillo Melguizo, M.; Fuckar, N.; Guemas, V.; Lledó Ponsati, L.; Menegoz, M.; et al. Using EC-Earth for climate prediction research. ECMWF Newsl. 2018, 154, 35–40. [Google Scholar] [CrossRef]
- Kelley, M.; Schmidt, G.A.; Nazarenko, L.S.; Bauer, S.E.; Ruedy, R.; Russell, G.L.; Ackerman, A.S.; Aleinov, I.; Bauer, M.; Bleck, R.; et al. GISS-E2.1: Configurations and Climatology. J. Adv. Model. Earth Syst. 2020, 12, e2019MS002025. [Google Scholar] [CrossRef]
- Tatebe, H.; Ogura, T.; Nitta, T.; Komuro, Y.; Ogochi, K.; Takemura, T.; Sudo, K.; Sekiguchi, M.; Abe, M.; Saito, F.; et al. Description and basic evaluation of simulated mean state, internal variability, and climate sensitivity in MIROC6. Geosci. Model Dev. 2019, 12, 2727–2765. [Google Scholar] [CrossRef] [Green Version]
- Yukimoto, S.; Kawai, H.; Koshiro, T.; Oshima, N.; Yoshida, K.; Urakawa, S.; Tsujino, H.; Deushi, M.; Tanaka, T.; Hosaka, M.; et al. The Meteorological Research Institute Earth System Model Version 2.0, MRI-ESM2.0: Description and Basic Evaluation of the Physical Component. J. Meteorol. Soc. Jpn. Ser. II 2019, 97, 931–965. [Google Scholar] [CrossRef] [Green Version]
- Park, S.; Shin, J.; Kim, S.; Oh, E.; Kim, Y. Global Climate Simulated by the Seoul National University Atmosphere Model Version 0 with a Unified Convection Scheme (SAM0-UNICON). J. Clim. 2019, 32, 2917–2949. [Google Scholar] [CrossRef]
- North, G.; Bell, T.; Cahalan, R.; Moeng, F. Sampling Errors in the Estimation of Empirical Orthogonal Functions. Am. Meteorol. Soc. Mon. Weather Rev. 1982, 110, 699–706. [Google Scholar] [CrossRef]
- Xia, Y.; Ek, M.B.; Wu, Y.; Ford, T.; Quiring, S.M. Comparison of NLDAS-2 simulated and NASMD observed daily soil moisture. Part I: Comparison and analysis. J. Hydrometeorol. 2015, 16, 1962–1980. [Google Scholar] [CrossRef]
- Taylor, K.E. Summarizing multiple aspects of model performance in a single diagram. J. Geophys. Res. Atmos. 2001, 106, 7183–7192. [Google Scholar] [CrossRef]
- Arias, P.A.; Fu, R. Connection between the seasonal transition of North and South American transition of North and South American monsoons and the role of the Intra-American Sea American Sea. In Proceedings of the AGU Meeting of the Americas, Foz do Iguazu, Brazil, 8–12 August 2010. [Google Scholar]
- Worldbank. Brazil May Be the Owner of 20% of the World’s Water Supply but It Is Still Very Thirsty. 2016. Available online: https://www.worldbank.org/en/news/feature/2016/07/27/how-brazil-managing-water-resources-new-report-scd (accessed on 12 October 2021).













| Model Name | Type | Institution (Location) and Reference |
|---|---|---|
| BCCCSM2MR | AOGCM | Beijing Climate Center (China) [57] |
| BCCESM1 | AOGCM AER CHEM | Beijing Climate Center (China) [57] |
| CanESM5 | AOGCM | Canadian Center for Climate Modeling and Analysis (Canada) [58] |
| CESM2 | AOGCM BGC | National Center for Atmospheric Research (NCAR) (United States) [59] |
| CESM2WACCM | AOGCM BGC | National Center for Atmospheric Research (NCAR) (United States) [59] |
| E3SM10 | AOGCM AER | Lawrence Livermore National Laboratory (LLNL) (United States) [60] |
| ECEarth3 | AOGCM | EC-Earth Consortium (Europe) [61] |
| ECEarth3Veg | AOGCM | EC-Earth Consortium (Europe) [61] |
| GISSE21G | AOGCM | Goddard Institute for Space Studies (NASA-GISS) (United States) [62] |
| GISSE21H | AOGCM | Goddard Institute for Space Studies (NASA-GISS) (United States) [62] |
| MIROC6 | AOGCM AER | Japan Agency for Marine-Earth Science and Technology (JAMSTEC) (Japan) [63] |
| MRIESM20 | AOGCM AER CHEM | Meteorological Research Institute (Japan) [64] |
| SAM0UNICON | AOGCM AER BGC | Seoul National University (South Korea) [65] |
Publisher’s Note: MDPI stays neutral with regard to jurisdictional claims in published maps and institutional affiliations. |
© 2022 by the authors. Licensee MDPI, Basel, Switzerland. This article is an open access article distributed under the terms and conditions of the Creative Commons Attribution (CC BY) license (https://creativecommons.org/licenses/by/4.0/).
Share and Cite
Monteverde, C.; De Sales, F.; Jones, C. Evaluation of the CMIP6 Performance in Simulating Precipitation in the Amazon River Basin. Climate 2022, 10, 122. https://doi.org/10.3390/cli10080122
Monteverde C, De Sales F, Jones C. Evaluation of the CMIP6 Performance in Simulating Precipitation in the Amazon River Basin. Climate. 2022; 10(8):122. https://doi.org/10.3390/cli10080122
Chicago/Turabian StyleMonteverde, Corrie, Fernando De Sales, and Charles Jones. 2022. "Evaluation of the CMIP6 Performance in Simulating Precipitation in the Amazon River Basin" Climate 10, no. 8: 122. https://doi.org/10.3390/cli10080122
APA StyleMonteverde, C., De Sales, F., & Jones, C. (2022). Evaluation of the CMIP6 Performance in Simulating Precipitation in the Amazon River Basin. Climate, 10(8), 122. https://doi.org/10.3390/cli10080122

