High-Throughput Phenotyping (HTP) Data Reveal Dosage Effect at Growth Stages in Arabidopsis thaliana Irradiated by Gamma Rays
Abstract
1. Introduction
2. Results
2.1. Test of HTP Data for Severely Affected Phenotype
2.2. Growth Pattern Following the Four Radiation Doses Used in the Main Study
2.3. Developmental Stages Selection for Statistical Analysis
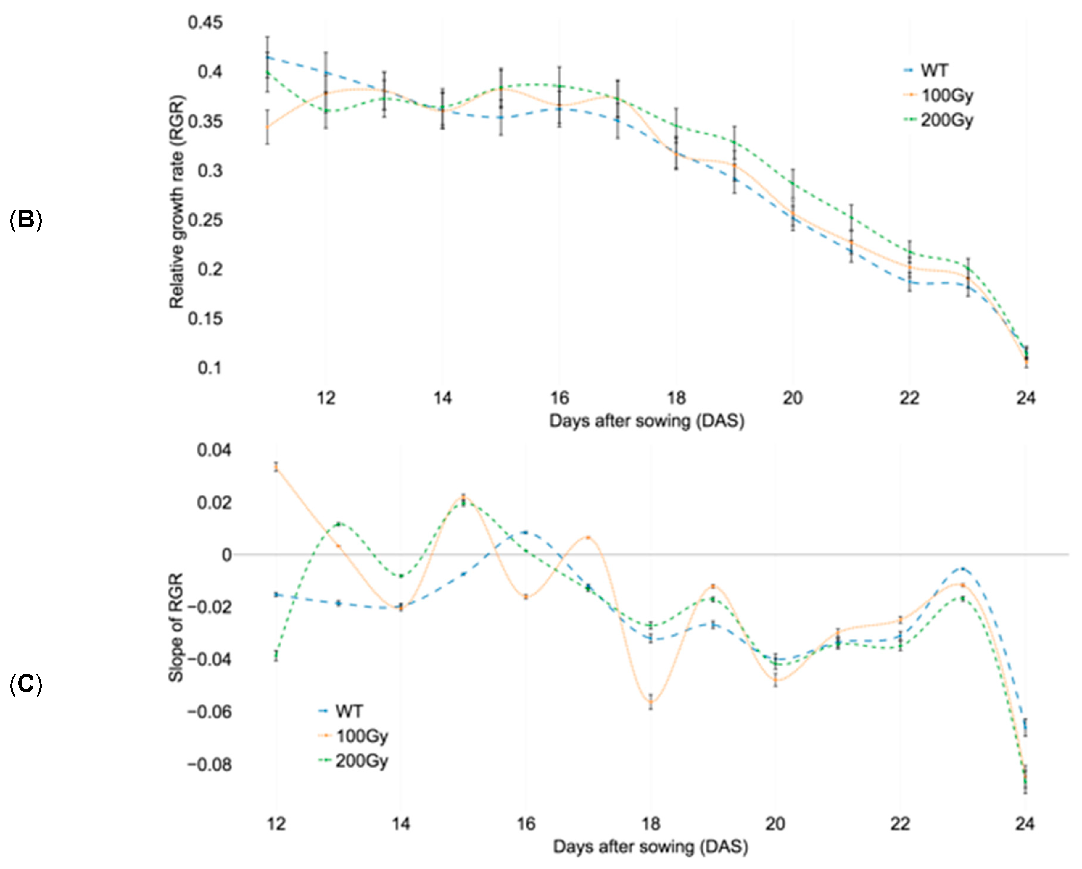
2.4. Statistical Analysis and the Validation Study
2.5. Morphological Characteristics of 200 Gy Sub-Populations
3. Discussion
4. Materials and Methods
4.1. Gamma Irradiation
4.2. Plants and Early Growth Conditions
4.3. Image Capture from the HTP Platform and Growth Conditions
4.4. Image Analysis
4.4.1. Detection of Red Circle Indicator and Cropping into Individual Images
4.4.2. Separation of the Plant Image from the Background
4.5. Statistical Analysis
4.6. Molpholgical Characteristics of Gamma Irradiated Populations
4.7. Data Analysis Procedure for the Main Study
Supplementary Materials
Author Contributions
Funding
Conflicts of Interest
References
- Ye, L.-M.; Malingreau, J.-P.; Tang, H.-J.; Van Ranst, E. The breakfast imperative: The changing context of global food security. J. Integr. Agric. 2016, 15, 1179–1185. [Google Scholar] [CrossRef]
- Ahloowalia, B.S.; Maluszynski, M. Induced mutations—A new paradigm in plant breeding. Euphytica 2001, 118, 167–173. [Google Scholar] [CrossRef]
- Shikazono, N.; Yokota, Y.; Tanaka, A.; Watanabe, H.; Tano, S. Molecular analysis of carbon ion-induced mutations in Arabidopsis thaliana. Genes Genet. Syst. 1998, 73, 173–179. [Google Scholar] [CrossRef] [PubMed]
- Shikazono, N.; Yokota, Y.; Kitamura, S.; Suzuki, C.; Watanabe, H.; Tano, S.; Tanaka, A. Mutation rate and novel tt mutants of Arabidopsis thaliana induced by carbon ions. Genetics 2003, 163, 1449–1455. [Google Scholar]
- Tanksley, S.D.; McCouch, S.R. Seed banks and molecular maps: Unlocking genetic potential from the wild. Science 1997, 277, 1063–1066. [Google Scholar] [CrossRef]
- Moreau, L.; Lemarié, S.; Charcosset, A.; Gallais, A. Economic efficiency of one cycle of marker-assisted selection. Crop Sci. 2000, 40, 329–337. [Google Scholar] [CrossRef]
- Bernardo, R. Molecular markers and selection for complex traits in plants: Learning from the last 20 years. Crop Sci. 2008, 48, 1649–1664. [Google Scholar] [CrossRef]
- Tardieu, F.; Cabrera-Bosquet, L.; Pridmore, T.; Bennett, M. Plant phenomics, from sensors to knowledge. Curr. Biol. 2017, 27, R770–R783. [Google Scholar] [CrossRef]
- Houle, D.; Govindaraju, D.R.; Omholt, S. Phenomics: The next challenge. Nat. Rev. Genet. 2010, 11, 855–866. [Google Scholar] [CrossRef]
- Furbank, R.T.; Tester, M. Phenomics—Technologies to relieve the phenotyping bottleneck. Trends Plant Sci. 2011, 16, 635–644. [Google Scholar] [CrossRef]
- Tester, M.; Langridge, P. Breeding technologies to increase crop production in a changing world. Science 2010, 327, 818–822. [Google Scholar] [CrossRef] [PubMed]
- Pieruschka, R.; Schurr, U. Plant phenotyping: Past, present, and future. Plant Phenomics 2019, 2019, e7507131. [Google Scholar] [CrossRef]
- Al-Tamimi, N.; Brien, C.; Oakey, H.; Berger, B.; Saade, S.; Ho, Y.S.; Schmockel, S.M.; Tester, M.; Negrao, S. Salinity tolerance loci revealed in rice using high-throughput non-invasive phenotyping. Nat. Commun. 2016, 7, 13342. [Google Scholar] [CrossRef] [PubMed]
- Beyaz, R.; Yildiz, M. The Use of gamma irradiation in plant mutation breeding. In Plant Engineering; Jurić, S., Ed.; IntechOpen: London, UK, 2017; pp. 33–46. [Google Scholar]
- Sparrow, A.H.; Woodwell, G.M. Prediction of the sensitivity of plants to chronic gamma irradiation. Radiat. Bot. 1962, 2, 9–26. [Google Scholar] [CrossRef]
- Jan, S.; Parween, T.; Siddiqi, T.O.; Mahmooduzzafar. Effect of gamma radiation on morphological, biochemical, and physiological aspects of plants and plant products. Environ. Rev. 2012, 20, 17–39. [Google Scholar] [CrossRef]
- Daly, K.; Thompson, K.H. Quantitative dose-response of growth and development in Arabidopsis thaliana exposed to chronic gamma-radiation. Int. J. Radiat. Biol. Relat. Stud. Phys. Chem. Med. 1975, 28, 61–66. [Google Scholar] [CrossRef]
- Yamaguchi, H.; Shimizu, A.; Degi, K.; Morishita, T. Effects of dose and dose rate of gamma ray irradiation on mutation induction and nuclear DNA content in chrysanthemum. Breed. Sci. 2008, 58, 331–335. [Google Scholar] [CrossRef]
- Jo, Y.D.; Kim, J.-B. Frequency and spectrum of radiation-induced mutations revealed by whole-genome sequencing analyses of plants. Quant. Beam Sci 2019, 3, 7. [Google Scholar] [CrossRef]
- Du, Y.; Luo, S.; Li, X.; Yang, J.; Cui, T.; Li, W.; Yu, L.; Feng, H.; Chen, Y.; Mu, J.; et al. Identification of substitutions and small insertion-deletions induced by carbon-ion beam irradiation in Arabidopsis thaliana. Front. Plant Sci. 2017, 8, 1851. [Google Scholar] [CrossRef]
- Caplin, N.; Willey, N. Ionizing radiation, higher plants, and radioprotection: From acute high doses to chronic low doses. Front. Plant Sci. 2018, 9, 847. [Google Scholar] [CrossRef]
- Berná, G.; Robles, P.; Micol, J.L. A mutational analysis of leaf morphogenesis in Arabidopsis thaliana. Genetics 1999, 152, 729. [Google Scholar] [PubMed]
- Greene, E.A.; Codomo, C.A.; Taylor, N.E.; Henikoff, J.G.; Till, B.J.; Reynolds, S.H.; Enns, L.C.; Burtner, C.; Johnson, J.E.; Odden, A.R.; et al. Spectrum of chemically induced mutations from a large-scale reverse-genetic screen in Arabidopsis. Genetics 2003, 164, 731–740. [Google Scholar]
- Kim, J.-H.; Moon, Y.R.; Kim, J.-S.; Oh, M.-H.; Lee, J.-W.; Chung, B.Y. Transcriptomic profile of Arabidopsis rosette leaves during the reproductive stage after exposure to ionizing radiation. Radiat. Res. 2007, 168, 267–280. [Google Scholar] [CrossRef] [PubMed][Green Version]
- Sidler, C.; Li, D.; Kovalchuk, O.; Kovalchuk, I. Development-dependent expression of DNA repair genes and epigenetic regulators in Arabidopsis plants exposed to ionizing radiation. Radiat. Res. 2015, 183, 219–232. [Google Scholar] [CrossRef]
- Hase, Y.; Yoshihara, R.; Nozawa, S.; Narumi, I. Mutagenic effects of carbon ions near the range end in plants. Mutat. Res. Fund. Mol. Mutagen. 2012, 731, 41–47. [Google Scholar] [CrossRef] [PubMed]
- Lee, U.; Chang, S.; Putra, G.A.; Kim, H.; Kim, D.H. An automated, high-throughput plant phenotyping system using machine learning-based plant segmentation and image analysis. PLoS ONE 2018, 13, e0196615. [Google Scholar] [CrossRef]
- Kim, J.-B.; Kim, S.H.; Ha, B.-K.; Kang, S.-Y.; Jang, C.S.; Seo, Y.W.; Kim, D.S. Differentially expressed genes in response to gamma-irradiation during the vegetative stage in Arabidopsis thaliana. Mol. Biol. Rep. 2014, 41, 2229–2241. [Google Scholar] [CrossRef]
- Plotly Technology Inc. Collaborative Data Science; Plotly Technologies Inc.: Montréal, QC, Canada, 2015. [Google Scholar]
- R Core Team. R: A Language and Environment for Statistical Computing, version 3.2.2; R Foundation for Statistical Computing: Vienna, Austria, 2019. [Google Scholar]
- Li, B.; Suzuki, J.-I.; Hara, T. Latitudinal variation in plant size and relative growth rate in Arabidopsis thaliana. Oecologia 1998, 115, 293–301. [Google Scholar] [CrossRef]
- Boyes, D.C.; Zayed, A.M.; Ascenzi, R.; McCaskill, A.J.; Hoffman, N.E.; Davis, K.R.; Görlach, J. Growth stage–based phenotypic analysis of Arabidopsis: A model for high throughput functional genomics in plants. Plant Cell 2001, 13, 1499–1510. [Google Scholar] [CrossRef]
- Palauqui, J.-C.; Laufs, P. Phyllotaxis: In search of the golden angle. Curr. Biol. 2011, 21, R502–R504. [Google Scholar] [CrossRef]
- Manacorda, C.A.; Asurmendi, S. Arabidopsis phenotyping through geometric morphometrics. GigaScience 2018, 7, giy073. [Google Scholar] [CrossRef] [PubMed]
- Granier, C.; Aguirrezabal, L.; Chenu, K.; Cookson, S.J.; Dauzat, M.; Hamard, P.; Thioux, J.-J.; Rolland, G.; Bouchier-Combaud, S.; Lebaudy, A.; et al. Phenopsis, an automated platform for reproducible phenotyping of plant responses to soil water deficit in Arabidopsis thaliana permitted the identification of an accession with low sensitivity to soil water deficit. New Phytol. 2006, 169, 623–635. [Google Scholar] [CrossRef] [PubMed]
- Dhondt, S.; Gonzalez, N.; Blomme, J.; De Milde, L.; Van Daele, T.; Van Akoleyen, D.; Storme, V.; Coppens, F.; Beemster, G.T.S.; Inzé, D. High-resolution time-resolved imaging of in vitro Arabidopsis rosette growth. Plant J. 2014, 80, 172–184. [Google Scholar] [CrossRef] [PubMed]
- Abe, A.; Kosugi, S.; Yoshida, K.; Natsume, S.; Takagi, H.; Kanzaki, H.; Matsumura, H.; Yoshida, K.; Mitsuoka, C.; Tamiru, M.; et al. Genome sequencing reveals agronomically important loci in rice using MutMap. Nat. Biotechnol. 2012, 30, 174–178. [Google Scholar] [CrossRef]
- Jiang, H.; Xu, Z.; Aluru, M.R.; Dong, L. Plant chip for high-throughput phenotyping of Arabidopsis. Lab Chip 2014, 14, 1281–1293. [Google Scholar] [CrossRef]
- Tessmer, O.L.; Jiao, Y.; Cruz, J.A.; Kramer, D.M.; Chen, J. Functional approach to high-throughput plant growth analysis. BMC Syst. Biol. 2013, 7, S17. [Google Scholar] [CrossRef]
- Haber, A.H.; Carrier, W.L.; Foard, D.E. Metabolic studies of gamma-irradiated wheat growing without cell division. Am. J. Bot. 1961, 48, 431–438. [Google Scholar] [CrossRef]
- Bleuyard, J.-Y.; Gallego, M.E.; Savigny, F.; White, C.I. Differing requirements for the Arabidopsis Rad51 paralogs in meiosis and DNA repair. Plant J. 2005, 41, 533–545. [Google Scholar] [CrossRef]
- Kim, J.-H.; Lee, M.H.; Moon, Y.R.; Kim, J.-S.; Wi, S.G.; Kim, T.H.; Chung, B.Y. Characterization of metabolic disturbances closely linked to the delayed senescence of Arabidopsis leaves after γ irradiation. Environ. Exp. Bot. 2009, 67, 363–371. [Google Scholar] [CrossRef]
- Qi, W.; Zhang, L.; Feng, W.; Xu, H.; Wang, L.; Jiao, Z. ROS and ABA signaling are involved in the growth stimulation induced by low-dose gamma irradiation in Arabidopsis seedling. Appl. Biochem. Biotechnol. 2015, 175, 1490–1506. [Google Scholar] [CrossRef]
- Hefner, E.; Huefner, N.; Britt, A.B. Tissue-specific regulation of cell-cycle responses to DNA damage in Arabidopsis seedlings. DNA Repair 2006, 5, 102–110. [Google Scholar] [CrossRef] [PubMed]
- Preuss, S.B.; Britt, A.B. A DNA-damage-induced cell cycle checkpoint in Arabidopsis. Genetics 2003, 164, 323–334. [Google Scholar] [PubMed]
- Culligan, K.M.; Robertson, C.E.; Foreman, J.; Doerner, P.; Britt, A.B. ATR and ATM play both distinct and additive roles in response to ionizing radiation. Plant J. 2006, 48, 947–961. [Google Scholar] [CrossRef] [PubMed]
- Miller, M.W.; Miller, W.M. Radiation hormesis in plants. Health Phys. 1987, 52, 607–616. [Google Scholar] [CrossRef]
- Yoshida, S.; Kurisu, Y.; Murata, I.; Takahashi, A.; Masui, H.; Iida, T.; Yamamoto, T. Stimulatory effects of low ionizing radiation on plant. In Proceedings of the IRPA-10 10th International Congress of the International Radiation Protection Association on Harmonization of Radiation, Human Life and the Ecosystem, Suita, Osaka, Japan, 1 May 2000. [Google Scholar]
- Bac-Molenaar, J.A.; Vreugdenhil, D.; Granier, C.; Keurentjes, J.J.B. Genome-wide association mapping of growth dynamics detects time-specific and general quantitative trait loci. J. Exp. Bot. 2015, 66, 5567–5580. [Google Scholar] [CrossRef]
- Nishiguchi, M.; Nanjo, T.; Yoshida, K. The effects of gamma irradiation on growth and expression of genes encoding DNA repair-related proteins in Lombardy poplar (Populus nigra var. italica). J. Environ. Radioact. 2012, 109, 19–28. [Google Scholar] [CrossRef]
- Geras’kin, S.; Churyukin, R.; Volkova, P. Radiation exposure of barley seeds can modify the early stages of plants’ development. J. Environ. Radioact. 2017, 177, 71–83. [Google Scholar] [CrossRef]
- Boratyński, Z.; Arias, J.M.; Garcia, C.; Mappes, T.; Mousseau, T.A.; Møller, A.P.; Pajares, A.J.M.; Piwczyński, M.; Tukalenko, E. Ionizing radiation from Chernobyl affects development of wild carrot plants. Sci. Rep. 2016, 6, 39282. [Google Scholar] [CrossRef]
- Real, A.; Sundell-Bergman, S.; Knowles, J.F.; Woodhead, D.S.; Zinger, I. Effects of ionising radiation exposure on plants, fish and mammals: Relevant data for environmental radiation protection. J. Radiol. Prot. 2004, 24, A123–A137. [Google Scholar] [CrossRef]
- Van Harten, A.M. Mutation Breeding: Theory and Practical Applications; Cambridge University Press: Cambridge, UK, 1998. [Google Scholar]
- Honda, I.; Kikuchi, K.; Matsuo, S.; Fukuda, M.; Saito, H.; Ryuto, H.; Fukunishi, N.; Abe, T. Heavy-ion-induced mutants in sweet pepper isolated by M1 plant selection. Euphytica 2006, 152, 61–66. [Google Scholar] [CrossRef]
- Yamaguchi, H.; Hase, Y.; Tanaka, A.; Shikazono, N.; Degi, K.; Shimizu, A.; Morishita, T. Mutagenic effects of ion beam irradiation on rice. Breed. Sci. 2009, 59, 169–177. [Google Scholar] [CrossRef]
- Fiorani, F.; Schurr, U. Future scenarios for plant phenotyping. Annu. Rev. Plant Biol. 2013, 64, 267–291. [Google Scholar] [CrossRef] [PubMed]
- Tsukaya, H. Leaf shape: Genetic controls and environmental factors. Int. J. Dev. Biol. 2005, 49, 547–555. [Google Scholar] [CrossRef]
- Guenot, B.; Bayer, E.; Kierzkowski, D.; Smith, R.S.; Mandel, T.; Žádníková, P.; Benková, E.; Kuhlemeier, C. PIN1-independent leaf initiation in Arabidopsis. J. Plant Physiol. 2012, 159, 1501–1510. [Google Scholar] [CrossRef] [PubMed]
- Mantilla-Perez, M.B.; Salas Fernandez, M.G. Differential manipulation of leaf angle throughout the canopy: Current status and prospects. J. Exp. Bot. 2017, 68, 5699–5717. [Google Scholar] [CrossRef] [PubMed]
- Moen, E.; Bannon, D.; Kudo, T.; Graf, W.; Covert, M.; Van Valen, D. Deep learning for cellular image analysis. Nat. Methods 2019, 16, 1233–1246. [Google Scholar] [CrossRef]
- dos Santos, J.P.R.; Fernandes, S.B.; Lozano, R.; Brown, P.J.; Buckler, E.S.; Garcia, A.A.F.; Gore, M.A. Novel bayesian networks for genomic prediction of developmental traits in biomass sorghum. G3 Genes Genom Genet. 2020, 10, 769–781. [Google Scholar] [CrossRef]
- Van Es, S.W.; van der Auweraert, E.B.; Silveira, S.R.; Angenent, G.C.; van Dijk, A.D.J.; Immink, R.G.H. Comprehensive phenotyping reveals interactions and functions of Arabidopsis thaliana TCP genes in yield determination. Plant J. 2019, 99, 316–328. [Google Scholar]
- Hong, M.J.; Kim, D.Y.; Ahn, J.-W.; Kang, S.-Y.; Seo, Y.W.; Kim, J.-B. Comparison of radiosensitivity response to acute and chronic gamma irradiation in colored wheat. Genet. Mol. Biol. 2018, 41, 611–623. [Google Scholar] [CrossRef]
- Lin, T.-Y.; Goyal, P.; Girshick, R.; He, K.; Dollár, P. Focal loss for dense object detection. In Proceedings of the IEEE International Conference on Computer Vision (ICCV), Venice, Italy, 22–29 October 2017; pp. 2980–2988. [Google Scholar]
- He, K.; Zhang, X.; Ren, S.; Sun, J. Deep residual learning for image recognition. arXiv 2015, arXiv:1512.03385. [Google Scholar]
- Ronneberger, O.; Fischer, P.; Brox, T. U-Net: Convolutional Networks for Biomedical Image Segmentation; Springer: Cham, Switzerland, 2015; pp. 234–241. [Google Scholar]
- Dutta, A.; Zisserman, A. The VIA annotation software for images, audio and video. In Proceedings of the MM ‘19: 27th ACM International Conference on Multimedia, Nice, France, 21–25 October 2019; pp. 2276–2279. [Google Scholar]
- Krähenbühl, P.; Koltun, V. Efficient inference in fully connected CRFs with gaussian edge potentials. In Advances in Neural Information Processing Systems; Computer Science Department Stanford University: Stanford, CA, USA, 2011. [Google Scholar]
- Paul-Victor, C.; Züst, T.; Rees, M.; Kliebenstein, D.J.; Turnbull, L.A. A new method for measuring relative growth rate can uncover the costs of defensive compounds in Arabidopsis thaliana. New Phytol. 2010, 187, 1102–1111. [Google Scholar] [CrossRef] [PubMed]
- Silva, L.J.D. R Statisitacal Packages; laercio 1.0.1; R Core Team: Vienna, Austria, 2015. [Google Scholar]
- Schneider, C.A.; Rasband, W.S.; Eliceiri, K.W. NIH Image to ImageJ: 25 years of image analysis. Nat. Methods 2012, 9, 671–675. [Google Scholar] [CrossRef] [PubMed]




| DAS | Treatment (Gy) | PA (cm2) | CA (cm2) | PL (cm) |
|---|---|---|---|---|
| 14 | Control | 1.3493a | 5.8470b | 10.1397b |
| 100 | 1.2675b | 6.2346ab | 10.8419a | |
| 200 | 0.8963c | 5.8655b | 10.1553b | |
| 300 | 0.4726d | 6.6999a | 11.0889a | |
| 400 | 0.0929e | 3.3721c | 8.1944c | |
| 18 | Control | 5.3874a | 11.6910b | 13.4476b |
| 100 | 5.3385b | 12.4183a | 14.1398a | |
| 200 | 3.9662c | 10.6458c | 13.0620c | |
| 300 | 2.0589d | 8.92156d | 12.5973d | |
| 400 | 0.4437e | 4.50490e | 9.3378e | |
| 23 | Control | 16.6866b | 28.8198a | 20.2470a |
| 100 | 17.3875a | 29.0465a | 20.2630a | |
| 200 | 14.3426c | 26.0152b | 19.3870b | |
| 300 | 8.9970d | 17.9264c | 16.4429c | |
| 400 | 2.0390e | 7.0165d | 10.8608d |
| DAS | Treatment (Gy) | PA (cm2) |
|---|---|---|
| 7 | Control | 0.0843b |
| 100 | 0.1079a | |
| 200 | 0.0636c | |
| 300 | 0.0306d | |
| 400 | 0.0089e | |
| 8 | Control | 0.1256b |
| 100 | 0.1455a | |
| 200 | 0.0907c | |
| 300 | 0.0368d | |
| 400 | 0.0098e | |
| 9 | Control | 0.1907b |
| 100 | 0.2205a | |
| 200 | 0.1371c | |
| 300 | 0.0560d | |
| 400 | 0.0094e |
| DAS | Treatment (Gy) | PA (cm2) | CA (cm2) | PL (cm) |
|---|---|---|---|---|
| 19 | Control | 6.6751a | 14.2777a | 14.9116a |
| 200 | 5.6151b | 13.1889b | 14.4431b | |
| 300 | 2.4909c | 7.71947c | 11.4332c |
© 2020 by the authors. Licensee MDPI, Basel, Switzerland. This article is an open access article distributed under the terms and conditions of the Creative Commons Attribution (CC BY) license (http://creativecommons.org/licenses/by/4.0/).
Share and Cite
Chang, S.; Lee, U.; Hong, M.J.; Jo, Y.D.; Kim, J.-B. High-Throughput Phenotyping (HTP) Data Reveal Dosage Effect at Growth Stages in Arabidopsis thaliana Irradiated by Gamma Rays. Plants 2020, 9, 557. https://doi.org/10.3390/plants9050557
Chang S, Lee U, Hong MJ, Jo YD, Kim J-B. High-Throughput Phenotyping (HTP) Data Reveal Dosage Effect at Growth Stages in Arabidopsis thaliana Irradiated by Gamma Rays. Plants. 2020; 9(5):557. https://doi.org/10.3390/plants9050557
Chicago/Turabian StyleChang, Sungyul, Unseok Lee, Min Jeong Hong, Yeong Deuk Jo, and Jin-Baek Kim. 2020. "High-Throughput Phenotyping (HTP) Data Reveal Dosage Effect at Growth Stages in Arabidopsis thaliana Irradiated by Gamma Rays" Plants 9, no. 5: 557. https://doi.org/10.3390/plants9050557
APA StyleChang, S., Lee, U., Hong, M. J., Jo, Y. D., & Kim, J.-B. (2020). High-Throughput Phenotyping (HTP) Data Reveal Dosage Effect at Growth Stages in Arabidopsis thaliana Irradiated by Gamma Rays. Plants, 9(5), 557. https://doi.org/10.3390/plants9050557

