Genome-Wide Identification and Expression Analysis of Sugar Transporter (ST) Gene Family in Longan (Dimocarpus longan L.)
Abstract
1. Introduction
2. Results
2.1. The Dynamic Change in Soluble Sugars Concentration During Longan Fruit Different Development
2.2. Identification and Phylogenetic Analysis of the Sugar Transporters in Longan
2.3. Gene Structural and Conserved Motif Analysis of the Longan DlSTs
2.4. Cis-Acting Elements in Longan ST Promoters
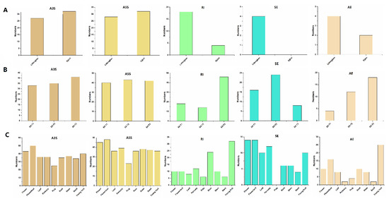
2.5. Alternative Splicing (AS) Events Analysis of DlSTs
2.6. Transcript Profiles of DlST Genes in Different Plant Tissues
2.7. Transcript Profiles of DlST Genes in Different Longan Varieties and Floralbud Developmental Stages
2.8. Expression Profiles of DlST Genes at Fruit Development Stages of Longan
3. Discussion
3.1. Identification, Phylogenetic and Structural Analysis of the DlSTs
3.2. Cis-Elements in the DlST Promoters
3.3. AS events Exist in the Longan ST Gene Family
3.4. Expression of Sugar Transporters during Longan Fruit Development
4. Materials and Methods
4.1. Plant Materials
4.2. Extraction and High Performance Liquid Chromatography (HPLC) Analysis of Soluble Sugar
4.3. RNA Isolation and Quantitative Real-Time Reverse Transcription PCR (qRT-PCR) Analysis
4.4. Identification of ST Family in Longan
4.5. Phylogenetic Analysis of DlSTs
4.6. Conserved Motifs, Gene Structure and Promoter Motifs of DlST Genes
4.7. Identification of Alternative Splicing (AS) Events
4.8. Expression Analysis of DlSTs in Different Longan Varieties and Tissues
4.9. Statistical Analyses
5. Conclusions
Supplementary Materials
Author Contributions
Funding
Conflicts of Interest
References
- Ma, B.; Ding, Y.; Li, C.; Li, M.; Ma, F.; Yuan, Y. Comparative Proteomic Analysis Reveals Key Proteins Linked to the Accumulation of Soluble Sugars and Organic Acids in the Mature Fruits of the Wild Malus Species. Plants 2019, 8, 488. [Google Scholar] [CrossRef] [PubMed]
- Kroger, M.; Meister, K.; Kava, R. Low-calorie sweeteners and other sugar substitutes: A review of the safety issues. Compr. Rev. Food. Sci. Food Saf. 2006, 5, 35–47. [Google Scholar] [CrossRef]
- Gottwald, J.R.; Krysan, P.J.; Young, J.C.; Evert, R.F.; Sussman, M.R. Genetic evidence for the in planta role of phloem-specific plasma membrane sucrose transporters. Proc. Natl. Acad. Sci. USA 2000, 97, 13979–13984. [Google Scholar] [CrossRef] [PubMed]
- Zhen, Q.; Fang, T.; Peng, Q.; Liao, L.; Zhao, L.; Owiti, A.; Han, Y. Developing gene-tagged molecular markers for evaluation of genetic association of apple SWEET genes with fruit sugar accumulation. Hortic. Res. 2018, 5, 1–12. [Google Scholar] [CrossRef]
- Van Bel, A.J. The phloem, a miracle of ingenuity. Plant Cell Environ. 2003, 26, 125–149. [Google Scholar] [CrossRef]
- Song, L.; Agtuca, B.; Schueller, M.J.; Jurisson, S.S.; Stacey, G.; Ferrieri, R.A. Relationship Between Carbon Mobilization and Root Growth Measured by Carbon-11 Tracer in Arabidopsis Starch Mutants. J. Plant Growth Regul. 2019, 38, 164–179. [Google Scholar] [CrossRef]
- Ma, B.Q.; Yuan, Y.Y.; Gao, M.; Li, C.Y.; Ogutu, C.; Li, M.J.; Ma, F.W. Determination of Predominant Organic Acid Components in Malus Species: Correlation with Apple Domestication. Metabolites 2018, 8, 74. [Google Scholar] [CrossRef]
- Wingenter, K.; Schulz, A.; Wormit, A.; Wic, S.; Trentmann, O.; Hoermiller, I.I.; Heyer, A.G.; Marten, I.; Hedrich, R.; Neuhaus, H.E. Increased activity of the vacuolar monosaccharide transporter TMT1 alters cellular sugar partitioning, sugar signaling, and seed yield in Arabidopsis. Plant Physiol. 2010, 154, 665–677. [Google Scholar] [CrossRef]
- Reisen, D.; Marty, F.; Leborgne-Castel, N. New insights into the tonoplast architecture of plant vacuoles and vacuolar dynamics during osmotic stress. BMC Plant Biol. 2005, 5, 13. [Google Scholar] [CrossRef]
- Walgren, R.A.; Lin, J.T.; Kinne, R.K.H.; Walle, T. Cellular uptake of dietary flavonoid quercetin 4′-β-glucoside by sodium-dependent glucose transporter SGLT1. J. Pharmacol. Exp. Ther. 2000, 294, 837–843. [Google Scholar]
- Severi, E.; Hosie, A.H.F.; Hawkhead, J.A.; Thomas, G.H. Characterization of a novel sialic acid transporter of the sodium solute symporter (SSS) family and in vivo comparison with known bacterial sialic acid transporters. FEMS Microbiol. Lett. 2010, 304, 47–54. [Google Scholar] [CrossRef] [PubMed]
- Baker, R.F.; Leach, K.A.; Braun, D.M. SWEET as sugar: New sucrose effluxers in plants. Mol. Plant 2012, 5, 766–768. [Google Scholar] [CrossRef] [PubMed]
- Chen, L.Q.; Hou, B.H.; Lalonde, S.; Takanaga, H.; Hartung, M.L.; Qu, X.Q.; Guo, W.J.; Kim, J.G.; Underwood, W.; Chaudhuri, B. Sugar transporters for intercellular exchange and nutrition of pathogens. Nature 2010, 468, 527–532. [Google Scholar] [CrossRef] [PubMed]
- Doidy, J.; Grace, E.; Kühn, C.; Simon-Plas, F.; Casieri, L.; Wipf, D. Sugar transporters in plants and in their interactions with fungi. Trends Plant Sci. 2012, 17, 413–422. [Google Scholar] [CrossRef] [PubMed]
- Ludewig, F.; Flügge, U.I. Role of metabolite transporters in source-sink carbon allocation. Front. Plant Sci. 2013, 4, 231. [Google Scholar] [CrossRef] [PubMed]
- Durand, M.; Mainson, D.; Porcheron, B.; Maurousset, L.; Lemoine, R.; Pourtau, N. Carbon source–sink relationship in Arabidopsis thaliana: The role of sucrose transporters. Planta 2018, 247, 587–611. [Google Scholar] [CrossRef] [PubMed]
- Liu, Q.; Dang, H.; Chen, Z.; Wu, J.; Chen, Y.; Chen, S.; Luo, L. Genome-wide identification, expression, and functional analysis of the sugar transporter gene family in Cassava (Manihot esculenta). Int. J. Mol. Sci. 2018, 19, 987. [Google Scholar] [CrossRef]
- Kühn, C.; Grof, C.P.L. Sucrose transporters of higher plants. Curr. Opin. Plant Biol. 2010, 13, 288–298. [Google Scholar] [CrossRef]
- Büttner, M. The monosaccharide transporter (-like) gene family in Arabidopsis. FEBS Lett. 2007, 581, 2318–2324. [Google Scholar] [CrossRef]
- Reuscher, S.; Akiyama, M.; Yasuda, T.; Makino, H.; Aoki, K.; Shibata, D.; Shiratake, K. The sugar transporter inventory of tomato: Genome-wide identification and expression analysis. Plant Cell Physiol. 2014, 55, 1123–1141. [Google Scholar] [CrossRef]
- Aoki, N.; Hirose, T.; Scofield, G.N.; Whitfeld, P.R.; Furbank, R.T. The sucrose transporter gene family in rice. Plant Cell Physiol. 2003, 44, 223–232. [Google Scholar] [CrossRef]
- Johnson, D.A.; Thomas, M.A. The monosaccharide transporter gene family in Arabidopsis and rice: A history of duplications, adaptive evolution, and functional divergence. Mol. Biol. Evol. 2007, 24, 2412–2423. [Google Scholar] [CrossRef] [PubMed]
- Afoufa-Bastien, D.; Medici, A.; Jeauffre, J.; Coutos-The’venot, P.; Lemoine, R.; Atanassova, R.; Laloi, M. The Vitis vinifera sugar transporter gene family: Phylogenetic overview and macroarray expression profiling. BMC Plant Biol. 2010, 10, 245. [Google Scholar] [CrossRef] [PubMed]
- Jiu, S.; Haider, M.S.; Kurjogi, M.M.; Zhang, K.; Zhu, X.; Fang, J. Genome-wide characterization and expression analysis of sugar transporter family genes in woodland strawberry. Plant Genome 2018, 11. [Google Scholar] [CrossRef] [PubMed]
- Li, J.M.; Zheng, D.M.; Li, L.T.; Qiao, X.; Wei, S.W.; Bai, B.; Zhang, S.; Wu, J. Genome-wide function, evolutionary characterization and expression analysis of sugar transporter family genes in pear (Pyrus bretschneideri Rehd). Plant Cell Physiol. 2015, 56, 1721–1737. [Google Scholar] [CrossRef] [PubMed]
- Wei, X.; Liu, F.; Chen, C.; Ma, F.; Li, M. The Malus domestica sugar transporter gene family: Identifications based on genome and expression profiling related to the accumulation of fruit sugars. Front. Plant Sci. 2014, 5, 569. [Google Scholar] [CrossRef] [PubMed]
- Zhang, C.; Bian, Y.; Hou, S.; Li, X. Sugar transport played a more important role than sugar biosynthesis in fruit sugar accumulation during Chinese jujube domestication. Planta 2018, 248, 1187–1199. [Google Scholar] [CrossRef] [PubMed]
- Matsumoto, T.K. Genes uniquely expressed in vegetative and potassium chlorate induced floral buds of Dimocarpus longan. Plant Sci. 2006, 170, 500–510. [Google Scholar] [CrossRef]
- Luo, J.; Zhou, C.; Wan, Z. Analysis on the development status of lychee industry in Guangdong province in 2010. Guangdong Agric. Sci 2011, 4, 16–18. [Google Scholar]
- Hu, Z.; Li, J.; Wang, H. Analysis of fruit sugar and acid compositions in the aril of different longan cultivars. J. Fruit Sci. 2006, 23, 568–571. [Google Scholar]
- Chen, X.; Deng, C.; Hu, W.; Jiang, J.; Jiang, F.; Xu, Q.; Zheng, S. Characteristics of soluble sugars in longan germplasm. J. Fruit Sci. 2015, 32, 420–426. [Google Scholar]
- Tulumello, D.V.; Deber, C.M. Efficiency of detergents at maintaining membrane protein structures in their biologically relevant forms. Biochim. Biophys. Acta 2012, 1818, 1351–1358. [Google Scholar] [CrossRef] [PubMed]
- Horton, P.; Park, K.J.; Obayashi, T.; Fujita, N.; Harada, H.; Adams-Collier, C.J.; Nakai, K. WoLF PSORT: Protein localization predictor. Nucleic Acids Res. 2007, 35, 585–587. [Google Scholar] [CrossRef] [PubMed]
- Zhang, S.; Zhu, C.; Lyu, Y.; Chen, Y.; Zhang, Z.; Lai, Z.; Lin, Y. Genome-wide identification, molecular evolution, and expression analysis provide new insights into the APETALA2/ethylene responsive factor (AP2/ERF) superfamily in Dimocarpus longan Lour. BMC Genom. 2020, 21, 62. [Google Scholar] [CrossRef]
- Ibraheem, O.; Botha, C.E.; Bradley, G. In silico analysis of cis-acting regulatory elements in 5′ regulatory regions of sucrose transporter gene families in rice (Oryza sativa Japonica) and Arabidopsis thaliana. Comput. Biol. Chem. 2010, 34, 268–283. [Google Scholar] [CrossRef]
- Filichkin, S.; Priest, H.D.; Megraw, M.; Mockler, T.C. Alternative splicing in plants: Directing traffic at the crossroads of adaptation and environmental stress. Curr. Opin. Plant Biol. 2015, 24, 125–135. [Google Scholar] [CrossRef]
- Staiger, D.; Brown, J.W. Alternative splicing at the intersection of biological timing, development, and stress responses. Plant Cell 2013, 25, 3640–3656. [Google Scholar] [CrossRef]
- Marquez, Y.; Brown, J.W.; Simpson, C.; Barta, A.; Kalyna, M. Transcriptome survey reveals increased complexity of the alternative splicing landscape in Arabidopsis. Genome Res. 2012, 22, 1184–1195. [Google Scholar] [CrossRef]
- Zhang, G.; Guo, G.; Hu, X.; Zhang, Y.; Li, Q.; Li, R.; Zhuang, R.; Lu, Z.; He, Z.; Fang, X.; et al. Deep RNA sequencing at single base-pair resolution reveals high complexity of the rice transcriptome. Genome Res. 2010, 20, 646–654. [Google Scholar] [CrossRef]
- Shen, Y.; Zhou, Z.; Wang, Z.; Li, W.; Fang, C.; Wu, M.; Ma, Y.; Liu, T.; Kong, L.; Peng, D.; et al. Global dissection of alternative splicing in paleopolyploid soybean. Plant Cell 2014, 26, 996–1008. [Google Scholar] [CrossRef]
- Shiratake, K. Genetics of sucrose transporter in plants. Genes Genomes Genom. 2007, 1, 73–80. [Google Scholar]
- Chen, L.Q.; Cheung, L.S.; Feng, L.; Tanner, W.; Frommer, W.B. Transport of sugars. Annu. Rev. Biochem. 2015, 84, 865–894. [Google Scholar] [CrossRef] [PubMed]
- Noiraud, N.; Maurousset, L.; Lemoine, R. Identification of a mannitol transporter, AgMaT1, in celery phloem. Plant Cell 2001, 13, 695–705. [Google Scholar] [CrossRef]
- Ramsperger-Gleixner, M.; Geiger, D.; Hedrich, R.; Sauer, N. Differential expression of sucrose transporter and polyol transporter genes during maturation of common plantain companion cells. Plant Physiol. 2004, 134, 147–160. [Google Scholar] [CrossRef]
- Gao, Z.; Maurousset, L.; Lemoine, R.; Yoo, S.D.; van Nocker, S.; Loescher, W. Cloning, expression, and characterization of sorbitol transporters from developing sour cherry fruit and leaf sink tissues. Plant Physiol. 2003, 131, 1566–1575. [Google Scholar] [CrossRef] [PubMed]
- Watari, J.; Kobae, Y.; Yamaki, S.; Yamada, K.; Toyofuku, K.; Tabuchi, T.; Shiratake, K. Identification of sorbitol transporters expressed in the phloem of apple source leaves. Plant Cell Physiol. 2004, 45, 1032–1041. [Google Scholar] [CrossRef] [PubMed]
- Conde, C.; Silva, P.; Agasse, A.; Lemoine, R.; Delrot, S.; Tavares, R.; Geros, H. Utilization and transport of mannitol in Olea europaea and implications for salt stress tolerance. Plant Cell Physiol. 2007, 48, 42–53. [Google Scholar] [CrossRef] [PubMed]
- Reinders, A.; Panshyshyn, J.A.; Ward, J.M. Analysis of transport activity of Arabidopsis sugar alcohol permease homolog AtPLT5. J. Biol. Chem. 2005, 280, 1594–1602. [Google Scholar] [CrossRef]
- Klepek, Y.S.; Geiger, D.; Stadler, R.; Klebl, F.; Landouar-Arsivaud, L.; Lemoine, R.; Hedrich, R.; Sauer, N. Arabidopsis POLYOL TRANSPORTER5, a new member of the monosaccharide transporter-like superfamily, mediates H+-Symport of numerous substrates, including myo-inositol, glycerol, and ribose. Plant Cell 2005, 17, 204–218. [Google Scholar] [CrossRef]
- Klepek, Y.S.; Volke, M.; Konrad, K.R.; Wippel, K.; Hoth, S.; Hedrich, R.; Sauer, N. Arabidopsis thaliana POLYOL/MONOSACCHARIDE TRANSPORTERS 1 and 2: Fructose and xylitol/H+ symporters in pollen and young xylem cells. J. Exp. Bot. 2010, 61, 537–550. [Google Scholar] [CrossRef]
- Yamaki, S.; Ino, M. Alteration of cellular compartmentation and mem-brane permeability to sugars in immature and mature apple fruit. J. Am. Soc. Hort. Sci. 1992, 117, 951–954. [Google Scholar] [CrossRef]
- Martinoia, E.; Maeshima, M.; Neuhaus, H.E. Vacuolar transporters and their essential role in plant metabolism. J. Exp. Bot. 2007, 58, 83–102. [Google Scholar] [CrossRef] [PubMed]
- Aluri, S.; Büttner, M. Identification and functional expression of the Arabidopsis thaliana vacuolar glucose transporter1 and its role in seed germination and flowering. Proc. Natl. Acad. Sci. USA 2007, 104, 2537–2542. [Google Scholar] [CrossRef] [PubMed]
- Wormit, A.; Trentmann, O.; Feifer, I.; Lohr, C.; Tjaden, J.; Meyer, S.; Schmidt, U.; Martinoia, E.; Neuhaus, H.E. Molecular identification and physiological characterization of a novel monosaccharide transporter from Arabidopsis involved in vacuolar sugar transport. Plant Cell 2006, 18, 3476–3490. [Google Scholar] [CrossRef] [PubMed]
- Poschet, G.; Hannich, B.; Raab, S.; Jungkunz, I.; Klemens, P.A.; Krueger, S.; Wic, S.; Neuhaus, H.E.; Büttner, M. A novel Arabidopsis vacuolar glucose exporter is involved in cellular sugar homeostasis and affects the composition of seed storage compounds. Plant Physiol. 2011, 157, 1664–1676. [Google Scholar] [CrossRef]
- Liu, M.J.; Zhao, J.; Cai, Q.L.; Liu, G.C.; Wang, J.R.; Zhao, Z.H.; Liu, P.; Dai, L.; Yan, G.; Wang, W.; et al. The complex jujube genome provides insights into fruit tree biology. Nat. Commun. 2014, 5, 1–12. [Google Scholar] [CrossRef]
- Fang, T.; Cai, Y.; Yang, Q.; Ogutu, C.O.; Liao, L.; Han, Y. Analysis of sorbitol content variation in wild and cultivated apples. J. Sci. Food Agric. 2020, 100, 139–144. [Google Scholar] [CrossRef]
- Jue, D.; Sang, X.; Liu, L.; Shu, B.; Wang, Y.; Xie, J.; Liu, C.; Shi, S. The ubiquitin-conjugating enzyme gene family in longan (Dimocarpus longan lour.): Genome-wide identification and gene expression during flower induction and abiotic stress responses. Molecules 2018, 23, 662. [Google Scholar] [CrossRef]
- Lin, Y.; Min, J.; Lai, R.; Wu, Z.; Chen, Y.; Yu, L.; Cheng, C.; Jin, Y.; Tian, Q.; Liu, Q.; et al. Genome-wide sequencing of longan (Dimocarpus longan Lour.) provides insights into molecular basis of its polyphenol-rich characteristics. Gigascience 2017, 6, 1–14. [Google Scholar] [CrossRef]
- Swarbreck, D.; Wilks, C.; Lamesch, P.; Berardini, T.Z.; Garcia-Hernandez, M.; Foerster, H.; Li, D.; Meyer, T.; Muller, R.; Ploetz, L.; et al. The Arabidopsis Information Resource (TAIR): Gene structure and function annotation. Nucleic Acids Res. 2007, 36, D1009–D1014. [Google Scholar] [CrossRef]
- Tamura, K.; Stecher, G.; Peterson, D.; Filipski, A.; Kumar, S. MEGA6: Molecular evolutionary genetics analysis version 6.0. Mol. Biol. Evol. 2013, 30, 2725–2729. [Google Scholar] [CrossRef] [PubMed]
- Bailey, T.L.; Elkan, C. Fitting a mixture model by expectation maximization to discover motifs in biopolymers. Proc. Int. Conf. Intell. Syst. Mol. Biol. 1994, 2, 28–36. [Google Scholar] [PubMed]
- Hu, B.; Jin, J.; Guo, A.Y.; Zhang, H.; Luo, J.; Gao, G. GSDS 2.0: An upgraded gene feature visualization server. Bioinformatics 2015, 31, 1296–1297. [Google Scholar] [CrossRef] [PubMed]
- Jia, T.; Wei, D.; Meng, S.; Allan, A.C.; Zeng, L. Identification of regulatory genes implicated in continuous flowering of longan (Dimocarpus longan L.). PLoS ONE 2014, 9. [Google Scholar] [CrossRef] [PubMed]
- Jue, D.; Sang, X.; Liu, L.; Shu, B.; Wang, Y.; Liu, C.; Wang, Y.; Xie, J.; Shi, S. Comprehensive analysis of the longan transcriptome reveals distinct regulatory programs during the floral transition. BMC Genom. 2019, 20, 126. [Google Scholar] [CrossRef]
- Florea, L.; Song, L.; Salzberg, S.L. Thousands of exon skipping events differentiate among splicing patterns in sixteen human tissues. F1000Research 2013, 2, 188. [Google Scholar] [CrossRef]
- Chen, C.; Xia, R.; Chen, H.; He, Y. TBtools, a Toolkit for Biologists integrating various biological data handling tools with a user-friendly interface. BioRxiv 2018. [Google Scholar] [CrossRef]










| Gene ID | Locus | Location | Strand | Genomic (bp) | cDNA (bp) | Protein (aa) | TMD a | Subcelular Localizations b |
|---|---|---|---|---|---|---|---|---|
| DlSUT1 | Dlo_026383.1 | scaffold60:1076732..1078932 | - | 2201 | 1521 | 506 | 12 | plas: 6, vacu: 4, golg: 2, cyto: 1, mito: 1 |
| DlSUT2 | Dlo_026385.1 | scaffold60:1111276..1114774 | - | 3499 | 1539 | 512 | 12 | plas: 7, vacu: 4, cyto: 1, mito: 1, golg: 1 |
| DlSUT3 | Dlo_026249.1 | scaffold6:2022196..2030269 | + | 8074 | 1818 | 605 | 11 | plas: 9, E.R.: 5 |
| DlSUT4 | Dlo_026381.1 | scaffold60:1059167..1063033 | - | 3867 | 1446 | 481 | 11 | vacu: 9, plas: 4, cyto: 1 |
| DlSUT5 | Dlo_000769.1 | scaffold1001:62604..64968 | + | 2365 | 1341 | 446 | 10 | plas: 9, chlo: 2, vacu: 2, E.R.: 1 |
| DlSUT6 | Dlo_027597.1 | scaffold656:41881..49342 | - | 7462 | 1746 | 581 | 14 | plas: 12, golg: 2 |
| DlSFP1 | Dlo_032238.1 | scaffold875:109482..113458 | - | 3977 | 1461 | 486 | 11 | plas: 12, vacu: 1, E.R.: 1 |
| DlSFP2 | Dlo_022839.1 | scaffold498:125274..129519 | - | 4246 | 1332 | 443 | 11 | plas: 13, vacu: 1 |
| DlSFP3 | Dlo_020112.1 | scaffold407:102424..107968 | + | 5545 | 1419 | 472 | 12 | plas: 6, vacu: 4, golg: 3, E.R.: 1 |
| DlSFP4 | Dlo_020136.1 | scaffold407:307933..318617 | - | 10,685 | 1962 | 653 | 14 | plas: 10, E.R.: 2, nucl: 1, vacu: 1 |
| DlSFP5 | Dlo_020110.1 | scaffold407:79196..84320 | + | 5125 | 1479 | 492 | 12 | plas: 7, vacu: 5, E.R.: 1, golg: 1 |
| DlSFP6 | Dlo_020111.1 | scaffold407:94672..100310 | + | 5639 | 1365 | 454 | 11 | plas: 10, E.R.: 2, cyto: 1, vacu: 1 |
| DlSFP7 | Dlo_025827.1 | scaffold59:1357215..1361965 | - | 4751 | 1461 | 486 | 12 | plas: 8, golg: 3, vacu: 2, E.R.: 1 |
| DlSFP8 | Dlo_032237.1 | scaffold875:100632..103833 | - | 3202 | 1137 | 378 | 8 | plas: 11, nucl: 1, vacu: 1, E.R.: 1 |
| DlSFP9 | Dlo_000038.1 | scaffold1:326041..331429 | + | 5389 | 1407 | 468 | 10 | plas: 7, vacu: 3, golg: 3, E.R.: 1 |
| DlSFP10 | Dlo_020109.3 | scaffold407:56975..68551 | + | 11,577 | 1602 | 533 | 12 | plas: 8, golg: 4, vacu: 2 |
| DlINT1 | Dlo_020864.1 | scaffold43:1222304..1226297 | + | 3994 | 1737 | 578 | 10 | plas: 10, E.R.: 2, nucl: 1, vacu: 1 |
| DlINT2 | Dlo_020865.1 | scaffold43:1231067..1233489 | + | 2423 | 1731 | 576 | 12 | plas: 11, E.R.: 2, nucl: 1 |
| DlINT3 | Dlo_020216.1 | scaffold41:171298..173058 | - | 1761 | 1509 | 502 | 10 | vacu: 7, plas: 3, cyto: 1, mito: 1, extr: 1, E.R.: 1 |
| DlINT4 | Dlo_027030.1 | scaffold633:93770..101553 | - | 7784 | 1527 | 508 | 12 | vacu: 8, golg: 3, plas: 2, E.R.: 1 |
| DlpGlcT1 | Dlo_016844.1 | scaffold322:288796..294168 | - | 5373 | 1584 | 527 | 10 | plas: 6, vacu: 6, E.R.: 1, golg: 1 |
| DlpGlcT2 | Dlo_001687.1 | scaffold1079:68275..75345 | + | 7071 | 1650 | 549 | 11 | plas: 8, E.R.: 4, chlo: 1, vacu: 1 |
| DlpGlcT3 | Dlo_011515.2 | scaffold2146:12441..18212 | + | 5772 | 1728 | 575 | 11 | plas: 12, chlo: 1, E.R.: 1 |
| DlPLT1 | Dlo_023817.1 | scaffold529:18313..22834 | + | 4522 | 1620 | 539 | 10 | plas: 10, E.R.: 2, cyto: 1, vacu: 1 |
| DlPLT2 | Dlo_000074.1 | scaffold1:627464..630485 | - | 3022 | 1521 | 506 | 12 | vacu: 8, plas: 3, golg: 2, cyto: 1 |
| DlPLT3 | Dlo_002670.1 | scaffold1137:86368..88138 | - | 1771 | 1626 | 541 | 12 | plas: 6, vacu: 4, golg: 3, E.R.: 1 |
| DlPLT4 | Dlo_002669.1 | scaffold1137:83579..84955 | - | 1377 | 1377 | 458 | 11 | vacu: 8, plas: 4, golg: 2 |
| DlPLT5 | Dlo_011139.1 | scaffold21:402299..405393 | - | 3095 | 1536 | 511 | 11 | plas: 7, vacu: 3, golg: 3, E.R.: 1 |
| DlPLT6 | Dlo_004484.1 | scaffold1293:64280..65671 | - | 1392 | 1392 | 463 | 10 | details plas: 7, vacu: 7 |
| DlSTP1 | Dlo_003645.1 | scaffold122:80918..82578 | + | 1661 | 1413 | 470 | 11 | plas: 9, vacu: 2, golg: 2, E.R.: 1 |
| DlSTP2 | dlo_035245.1 | scaffold796:47859..50056 | + | 2198 | 1503 | 501 | 11 | plas: 11, vacu: 2, cyto: 1 |
| DlSTP3 | Dlo_027739.1 | scaffold66:580548..585736 | - | 5189 | 1578 | 525 | 12 | vacu: 8, plas: 2, E.R.: 2, cyto: 1, golg: 1 |
| DlSTP4 | Dlo_002303.1 | scaffold110:684604..686707 | + | 2104 | 1560 | 519 | 11 | vacu: 6, plas: 4, cyto: 1, mito: 1, extr: 1, E.R.: 1 |
| DlSTP5 | Dlo_033294.1 | scaffold93:799728..804065 | - | 4338 | 1539 | 512 | 10 | vacu: 12, cyto: 1, plas: 1 |
| DlSTP6 | Dlo_033296.1 | scaffold93:820613..826961 | - | 6349 | 1767 | 588 | 10 | plas: 9, vacu: 2, cyto: 1, mito: 1, E.R.: 1 |
| DlSTP7 | dlo_036328.1 | scaffold115:387758..389514 | - | 1757 | 1494 | 498 | 12 | plas: 8, vacu: 5, cyto: 1 |
| DlSTP8 | dlo_035834.1 | scaffold115:438581..440337 | - | 1757 | 1494 | 498 | 12 | plas: 8, vacu: 5, cyto: 1 |
| DlSTP9 | dlo_038438.1 | scaffold115:350084..351885 | - | 1802 | 1539 | 513 | 12 | plas: 9, vacu: 3, cyto: 1, golg: 1 |
| DlSTP10 | dlo_037985.1 | scaffold115:387728..389529 | - | 1802 | 1539 | 513 | 12 | plas: 9, vacu: 3, cyto: 1, golg: 1 |
| DlSTP11 | dlo_036073.1 | scaffold115:438551..440352 | - | 1802 | 1539 | 513 | 12 | plas: 9, vacu: 3, cyto: 1, golg: 1 |
| DlSTP12 | dlo_035972.1 | scaffold115:327583..329355 | - | 1773 | 1509 | 503 | 12 | plas: 10, E.R.: 2, cyto: 1, golg: 1 |
| DlSTP13 | Dlo_033293.1 | scaffold93:773962..780790 | - | 6829 | 1689 | 562 | 10 | plas: 9, golg: 3, vacu: 1, E.R.: 1 |
| DlSTP14 | Dlo_009764.1 | scaffold1902:44598..46993 | + | 2396 | 1494 | 497 | 12 | vacu: 9, plas: 4, cyto: 1 |
| DlSTP15 | Dlo_029426.1 | scaffold73:1401902..1404530 | + | 2629 | 1551 | 516 | 12 | plas: 5, vacu: 5, golg: 2, cyto: 1, mito: 1 |
| DlSTP16 | Dlo_011195.1 | scaffold21:967674..970706 | + | 3033 | 1560 | 519 | 12 | plas: 4, vacu: 3, E.R.: 3, chlo: 1, cyto: 1, pero: 1, golg: 11 |
| DlSTP17 | Dlo_032047.1 | scaffold860:122653..124652 | - | 2000 | 1542 | 513 | 12 | plas: 10, golg: 2, cyto: 1, vacu: 1 |
| DlSTP18 | Dlo_027736.1 | scaffold66:557824..560794 | + | 2971 | 1395 | 464 | 11 | plas: 12, vacu: 1, E.R.: 1 |
| DlSTP19 | Dlo_007964.1 | scaffold1654:30425..34897 | - | 4473 | 1500 | 499 | 12 | vacu: 13, cyto: 1 |
| DlSTP20 | Dlo_027737.1 | scaffold66:563003..574149 | + | 11,147 | 1620 | 539 | 10 | plas: 7, vacu: 5, cyto: 1, golg: 1 |
| DlTMT1 | Dlo_028299.1 | scaffold69:577583..582174 | + | 4592 | 2226 | 741 | 10 | plas: 12, vacu: 1, golg: 1 |
| DlVGT1 | Dlo_017615.1 | scaffold34:1130206..1139211 | - | 9006 | 1476 | 491 | 12 | vacu: 9, plas: 3, golg: 2 |
| DlVGT2 | Dlo_029523.2 | scaffold73:2182255..2185057 | + | 2803 | 1437 | 478 | 11 | plas: 11, vacu: 3 |
| No. of Genes | |||||||||
|---|---|---|---|---|---|---|---|---|---|
| Subfamily | Longan | Arabidopsis | Rice | Strawberry | Pear | Tomato | Grapevine | Chinese Jujube | Apple |
| SUC | 6 | 9 | 5 | 8 | 6 | 3 | 4 | 3 | 9 |
| STP | 20 | 14 | 29 | 24 | 20 | 18 | 22 | 16 | 30 |
| VGT | 2 | 3 | 2 | 2 | 3 | 2 | 2 | 2 | 3 |
| PLT | 6 | 6 | 15 | 7 | 23 | 8 | 5 | 10 | 10 |
| INT | 4 | 4 | 3 | 3 | 6 | 4 | 3 | 5 | 4 |
| TMT | 1 | 3 | 6 | 3 | 6 | 3 | 3 | 3 | 5 |
| SFP | 10 | 19 | 6 | 16 | 5 | 10 | 22 | 14 | 8 |
| pGlcT | 3 | 4 | 4 | 3 | 6 | 4 | 4 | 3 | 4 |
| Toatl | 52 | 62 | 70 | 66 | 75 | 52 | 65 | 56 | 73 |
© 2020 by the authors. Licensee MDPI, Basel, Switzerland. This article is an open access article distributed under the terms and conditions of the Creative Commons Attribution (CC BY) license (http://creativecommons.org/licenses/by/4.0/).
Share and Cite
Fang, T.; Peng, Y.; Rao, Y.; Li, S.; Zeng, L. Genome-Wide Identification and Expression Analysis of Sugar Transporter (ST) Gene Family in Longan (Dimocarpus longan L.). Plants 2020, 9, 342. https://doi.org/10.3390/plants9030342
Fang T, Peng Y, Rao Y, Li S, Zeng L. Genome-Wide Identification and Expression Analysis of Sugar Transporter (ST) Gene Family in Longan (Dimocarpus longan L.). Plants. 2020; 9(3):342. https://doi.org/10.3390/plants9030342
Chicago/Turabian StyleFang, Ting, Yuan Peng, Ya Rao, Shenghao Li, and Lihui Zeng. 2020. "Genome-Wide Identification and Expression Analysis of Sugar Transporter (ST) Gene Family in Longan (Dimocarpus longan L.)" Plants 9, no. 3: 342. https://doi.org/10.3390/plants9030342
APA StyleFang, T., Peng, Y., Rao, Y., Li, S., & Zeng, L. (2020). Genome-Wide Identification and Expression Analysis of Sugar Transporter (ST) Gene Family in Longan (Dimocarpus longan L.). Plants, 9(3), 342. https://doi.org/10.3390/plants9030342

