Preliminary Study of the Potential Extracts from Selected Plants to Improve Surface Cleaning
Abstract
:1. Introduction
2. Results
2.1. Preliminary Screening of Plants Extracts
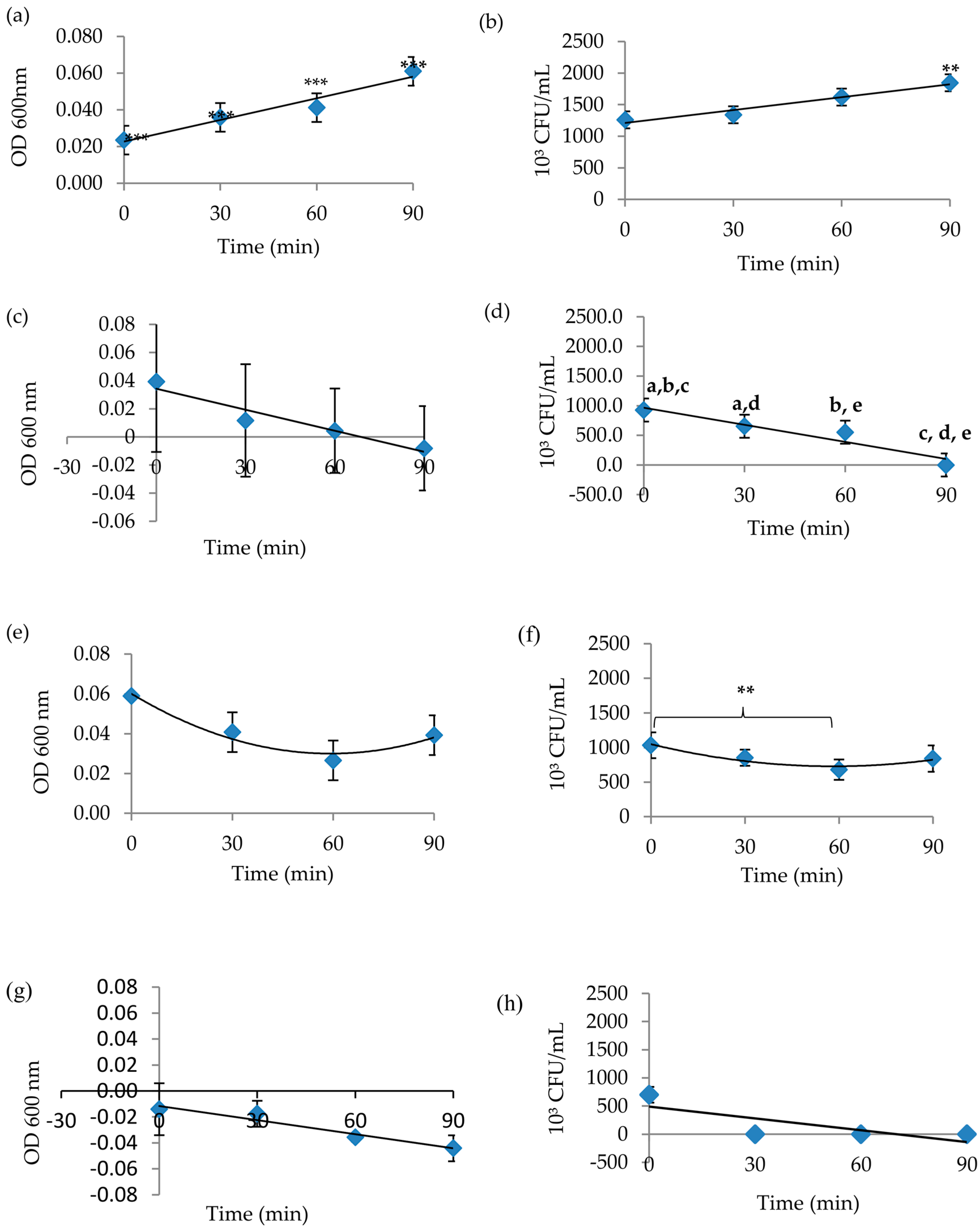
2.2. Preliminary Studies of Extracts as Potential Cleaning Agents
3. Discussion
4. Materials and Methods
4.1. Plant Materials
4.2. Aqueous and Juice Extraction
4.3. Bacteria Susceptibility Test
4.4. Fomite Surface Sampling and Gram Staining
4.5. Statistical Analysis
5. Conclusions
Acknowledgments
Author Contributions
Conflicts of Interest
References
- Rutala, W.A.; Weber, D.J.; HICPAC. Guideline for Disinfection and Sterilization in Healthcare Facilities, Centers for Disease Control, US; HICPAC: Atlanta, GA, USA, 2008.
- Weinstein, R.A.; Hota, B. Contamination, disinfection, and cross-colonization: Are hospital surfaces reservoirs for nosocomial infection? Clin. Infect. Dis. 2004, 39, 1182–1189. [Google Scholar] [CrossRef] [PubMed]
- Wolkoff, P.; Schneider, T.; Kildesø, J.; Degerth, R. Risk in cleaning: Chemical and physical exposure. Sci. Total Environ. 1998, 215, 135–156. [Google Scholar] [CrossRef]
- Safety Data Sheet (REACH Regulation (EC) N° 1907/2006). Laboratories ANIOS. Available online: https://media.supplychain.nhs.uk/media/documents/FAL216/COSHH/64859_FAL216%20MSDS.pdf (accessed on 16 April 2017).
- Ajithkumar, I.N.P.; Panneerselvam, R. Effect of Citrus hystrix and Citrus limon Extracts on Antibacterial Activity Against Human Pathogens. Available online: https://www.doc-developpement-durable.org/file/Arbres-Fruitiers/FICHES_ARBRES/combava/human pathogens antibacterial activity effect of Citrus hystrix & Citrus limon extracts.pdf (accessed on 25 February 2018).
- Madigan, M.T.; Martinko, J.M.; Brock, T.D. Brock Mikrobiologie; Pearson Deutschland GmbH: Hallbergmoos, Germany, 2009. [Google Scholar]
- Fomites and Infection Transmission. Infection Control Today. Available online: http://www.infectioncontroltoday.com/articles/2006/11/fomites-and-infection-transmission.aspx (accessed on 20 April 2017).
- Hardy Diagnostics Tryptic Soy Agar. Available online: https://catalog.hardydiagnostics.com/cp_prod/Content/hugo/TrypticSoyAgar.htm (accessed on 17 April 2017).
- A Guide to Monitoring Surface Hygiene. Orion Diagnostica. Available online: http://www.lifesignmed.com/sites/default/files/Hygicult%20Guide%20To%20Monitoring%20Cleanliness.pdf (accessed on 17 April 2017).
- Chanthaphon, S.; Chanthachum, S.; Hongpattarakere, T. Antimicrobial activities of essential oils and crude extracts from tropical Citrus spp. against food-related microorganisms. Songklanakarin J. Sci. Technol. 2008, 30, 125–131. [Google Scholar]
- Patil, J.R. Studies on Isolation and Characterization of Bioactive Compounds in Lime [Citrus aurantifolia (Christm) Swingle], Their Antioxidant and Anticancer Properties. Ph.D. Thesis, University of Agricultural Sciences, Dharwad, India, 2009. [Google Scholar]
- Jayana, B.L.; Prasai, T.; Singh, A.; Yami, K.D. Study of antimicrobial activity of lime juice against Vibrio cholerae. Sci. World 2010, 8, 44–46. [Google Scholar] [CrossRef]
- Jain, D.; Daima, H.K.; Kachhwaha, S.; Kothari, S.L. Synthesis of plant-mediated silver nanoparticles using papaya fruit extract and evaluation of their anti microbial activities. Dig. J. Nanomater. Biostruct. 2009, 4, 557–563. [Google Scholar]
- Ibrahim, N.M.; Mat, I.; Lim, V.; Ahmad, R. Antioxidant activity and phenolic content of Streblus asper leaves from various drying methods. Antioxidants 2013, 2, 156–166. [Google Scholar] [CrossRef] [PubMed]
- Gupta, C.; Garg, A.P.; Uniyal, R.C.; Gupta, S. Comparison of antimicrobial activities of clove oil & its extract on some food borne microbes. Internet J. Microbiol. 2009, 7, 1. [Google Scholar]
- Lim, V.; Yap, C.S.; Chong, H.W.; Shukkoor, M.S.A.; Priya, M. Antimicrobial evaluation and GC-MS analysis of Strobilanthes crispus ethanolic leaf extract. Eur. J. Med. Plants 2015, 10. [Google Scholar] [CrossRef]
- Matlock, B.C.; Beringer, R.W.; Ash, D.L.; Allen, M.W.; Page, A.F. Analyzing Differences in Bacterial Optical Density Measurements between Spectrophotometers. ThermoFisher Scientific. Available online: https://pdfs.semanticscholar.org/44de/6ef94cb363c9203151d04cb63d0a9500664c.pdf (accessed on 22 April 2017).
- Datta, A.; Ghoshdastidar, S.; Singh, M. Antimicrobial property of Piper betel leaf against clinical isolates of bacteria. Int. J. Pharm. Sci. Res. 2011, 2, 104–109. [Google Scholar]
- Domínguez, M.C.; de la Rosa, M.; Borobio, M.V. Application of a spectrophotometric method for the determination of post-antibiotic effect and comparison with viable counts in agar. J. Antimicrob. Chemother. 2001, 47, 391–398. [Google Scholar] [CrossRef] [PubMed]
- RODAC Plate Procedures, Division of Comparative Medicine, University of South Florida. Available online: http://www.usf.edu/research-innovation/comparative-medicine/documents/sops/s1011-rodac-plate-procedures.pdf (accessed on 10 April 2017).
- Brummer, B. Influence of possible disinfectant transfer on Staphylococcus aureus plate counts after agar contact sampling. Appl. Environ. Microbiol. 1976, 32, 80–84. [Google Scholar] [PubMed]
- Obee, P.; Griffith, C.J.; Cooper, R.A.; Bennion, N.E. An evaluation of different methods for the recovery of meticillin-resistant Staphylococcus aureus from environmental surfaces. J. Hosp. Infect. 2007, 65, 35–41. [Google Scholar] [CrossRef] [PubMed]
- Saad, A.H.; Gamil, S.N.; Kadhim, R.B.; Samour, R. Formulation and evaluation of herbal handwash from Matricaria chamomilla flowers extracts. Int. J. Res. Ayur Pharm. 2011, 2, 1811–1813. [Google Scholar]
- Smith, A.C.; Hussey, M.A. Gram Stain Protocols. American Society for Microbiology. Available online: http://www.asmscience.org/docserver/fulltext/education/protocol/protocol.2886.pdf?expires=1511268200&id=id&accname=guest&checksum=CF07B1FE07AC02483A954FC34DC4CC52 (accessed on 10 April 2017).


| Null (%) | Reduction (%) | Clearance (%) | Total | |
|---|---|---|---|---|
| Disinfectant detergent (n = 15) | 13.3 | 6.7 | 80.0 | 100 |
| C. aurantifolia juice (n = 15) | 13.3 | – | 86.7 | 100 |
| Excellent Sanitation | Marginal Sanitation | Unsatisfactory Sanitation | |||
|---|---|---|---|---|---|
| Before | After | Before | After | Before | After |
| n = 30 | n = 30 | n = 30 | n = 30 | n = 30 | n = 30 |
| 4 | 29 | 26 | 1 | 0 | 0 |
© 2018 by the authors. Licensee MDPI, Basel, Switzerland. This article is an open access article distributed under the terms and conditions of the Creative Commons Attribution (CC BY) license (http://creativecommons.org/licenses/by/4.0/).
Share and Cite
Vong, A.T.; Chong, H.W.; Lim, V. Preliminary Study of the Potential Extracts from Selected Plants to Improve Surface Cleaning. Plants 2018, 7, 17. https://doi.org/10.3390/plants7010017
Vong AT, Chong HW, Lim V. Preliminary Study of the Potential Extracts from Selected Plants to Improve Surface Cleaning. Plants. 2018; 7(1):17. https://doi.org/10.3390/plants7010017
Chicago/Turabian StyleVong, Ai Ting, Hui Wen Chong, and Vuanghao Lim. 2018. "Preliminary Study of the Potential Extracts from Selected Plants to Improve Surface Cleaning" Plants 7, no. 1: 17. https://doi.org/10.3390/plants7010017
APA StyleVong, A. T., Chong, H. W., & Lim, V. (2018). Preliminary Study of the Potential Extracts from Selected Plants to Improve Surface Cleaning. Plants, 7(1), 17. https://doi.org/10.3390/plants7010017

