Effect of Photosynthetic Photon Flux Density on Paprika Seedling Growth Using Rockwool Block
Abstract
1. Introduction
2. Results and Discussion
2.1. Growth Characteristics of Paprika Seedlings Under Different Photosynthetic Photon Flux Densities (PPFDs)
2.1.1. Quality of Paprika Seedlings
2.1.2. Fresh and Dry Weights of Paprika Seedlings Under Different Light Intensities
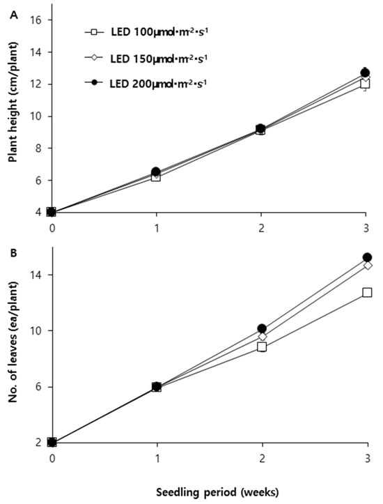
2.1.3. Changes in Plant Height(A) and No. of Node(B) Under Different Light Intensities
2.1.4. Fresh and Dry Weights of Paprika Seedlings
2.1.5. Regression Analysis of Light Intensity and Seedling Growth Parameters
- Leaf area (Y1) = 75.311X + 368 (R2 = 0.937) **.
- Dry weight (Y2) = 0.415X + 0.811 (R2 = 0.9674) **.
2.2. Irrigation Cycle Under Different Photosynthetic Photon Flux Densities (PPFDs)
2.2.1. Irrigation Characteristics of Paprika Seedlings
2.2.2. Effects of Light Intensity on Internal Temperature of Shading Screens
2.2.3. Water Retention Duration per Irrigation Event
- First irrigation event: 194 h under natural light, 242 h under 100 μmol·m−2·s−1, 214 h under 150 μmol·m−2·s−1, and 200 h under 200 μmol·m−2·s−1;
- Second irrigation event: 120 h under natural light, 164 h under 100 μmol·m−2·s−1, 144 h under 150 μmol·m−2·s−1, and 142 h under 200 μmol·m−2·s−1;
- Third irrigation event: 102 h under natural light, 100 h under 150 μmol·m−2·s−1, and 98 h under 200 μmol·m−2·s−1.
2.2.4. Optimal LED Intensity for Efficient Irrigation Management
3. Materials and Methods
3.1. Seedling Method
3.2. Measurement Items and Methods
3.2.1. Growth Measurements of Seedlings
- Plant height: Measured from the base to the shoot apex;
- Stem diameter: Measured from 1 cm above the cotyledonary node using a vernier caliper (500-182, Mitutoyo Co., Kawasaki, Japan);
- Leaf number: Counted after separating the leaves from the stem;
- Leaf area: Measured using a leaf area meter (LI-3100, LI-COR Co., Lincoln, NE, USA);
- Fresh weight and dry weight: Measured using an electronic balance, and dry weight was determined after drying the samples at 60 °C for over 72 h in a drying oven.
3.2.2. Growth Analysis of Seedlings
- Relative Growth Rate (RGR)
- 2.
- Net Assimilation Rate (NAR)
- 3.
- Leaf Area Ratio (LAR)
- 4.
- Dry Matter Ratio (Dry Matter Content, DM%)
- L = leaf area per plant (cm2);
- DW = dry weight per plant (g);
- FW = fresh weight per plant (g);
- DW1, DW2 = dry weight at initial and final measurement (g);
- T1, T2 = time interval between measurements (days);
- L1, L2 = leaf area at initial and final measurement (cm2);
- D = planting density in the greenhouse.
3.3. Experimental Treatments
- 100 μmol m−2·s−1;
- 150 μmol m−2·s−1;
- 200 μmol m−2·s−1.
3.4. Statistical Analysis
Author Contributions
Funding
Data Availability Statement
Conflicts of Interest
References
- Andrew, J. Peppers, the Domesticated Capsicums; University of Texas Press: Austin, TX, USA, 1984. [Google Scholar] [CrossRef]
- Korea Agro-Fisheries and Food Trade Corporation (KAFFTC). Kati ‘Export and Import Information of Paprika’. Available online: https://www.kati.net/product/basisInfo.do?lcdCode=MD147 (accessed on 30 September 2021).
- Marcelis, L.F.M.; Heuvelink, E.; Baan Hofman-Eijer, R.B.; Den Bakker, J.; Xue, L.B. Flower and fruit abortion in sweet pepper in relation to source and sink strength. J. Exp. Bot. 2004, 55, 2261–2268. [Google Scholar] [CrossRef] [PubMed]
- Markovic, V.; Djurovka, M.; Ilin, Z.; Lazic, B. Effect of seeding quality on yield characters of plant and fruits of sweet pepper. Acta Hortic. 2000, 533, 113–120. [Google Scholar] [CrossRef]
- Buwalda, F.; Van Henten, E.J.; De Gelder, A.; Bontsema, J.; Hemming, J. Toward an optimal control strategy for sweet pepper cultivation: A dynamic crop model. Acta Hortic. 2006, 718, 367–374. [Google Scholar] [CrossRef]
- An, C.G.; Kang, D.S.; Rho, C.W.; Jeong, B.R. Effects of transplanting method of seedlings on the growth and yield of paprika. Kor. J. Hort. Sci. Technol. 2002, 20, 15–18. [Google Scholar]
- Kim, C.H.; Lee, C.H.; Kweon, O.Y.; An, C.G. Effect of transplanting methods on growth and yield of paprika in coir culture. Prot. Hort. Plant Fact. 2014, 23, 281–287. [Google Scholar] [CrossRef]
- Choi, G.L.; Cho, M.H.; Cheong, J.W.; Roh, M.Y.; Rhee, H.C.; Kang, Y.I. Effect of nursery period and block size on growth and yield of paprika. J. Bio-Environ. Con. 2011, 20, 263–268. [Google Scholar]
- Jang, D.C.; Choi, K.Y.; Heo, J.Y.; Kim, I.S. The effect of transplant age on growth and fruit yield in winter-planted paprika cultivation. Hort. Sci. Technol. 2018, 36, 470–477. [Google Scholar] [CrossRef]
- Cho, Y.H.; Kim, C.S.; Kim, J.M.; Ku, Y.G.; Kim, H.C. Qualities and early growth responses of paprika seedlings grown in high and low temperatures. Kor. J. Hort. Sci. Technol. 2016, 34, 719–726. [Google Scholar] [CrossRef]
- Kwack, Y.; Kim, D.S.; Chun, C.H. Optimum cultivation period and rockwool block size for paprika transplant production using a closed transplant production system. Prot. Hort. Plant Fact. 2014, 23, 139–143. [Google Scholar] [CrossRef]
- Yoon, S.; Kim, J.H.; Hwang, I.; Kim, D.; Shin, J.; Son, J.E. Effect of stem number on growth, fruit quality, and yield of sweet peppers grown in greenhouses under supplemental lighting with high pressure sodium lamps in winter. J. Bio-Environ. Con. 2021, 30, 237–243. [Google Scholar] [CrossRef]
- Ferentions, K.P.; Albright, L.D. Optimal design of plant lighting system by genetic algorithms. Eng. Appl. Artif. Intell. 2005, 18, 473–484. [Google Scholar] [CrossRef]
- Bae, H.J.; Kim, S.H.; Jeong, Y.; Park, S.; Ochar, K.; Hong, Y.; Seo, Y.A.; Ko, B.; Bae, J.H.; Lee, D.S.; et al. Optimal planting time for summer tomatoes (Lycopersicon esculentum Mill.) cropping in Korea: Growth, yield, and photosynthetic efficiency in a semi-closed greenhouse. Plants 2024, 13, 2116. [Google Scholar] [CrossRef] [PubMed]
- Dorais, M.; Gosselin, A.; Trudel, M.J. Annual greenhouse tomato production under a sequential intercropping system using supplemental light. Sci. Hortic. 1991, 45, 225–234. [Google Scholar] [CrossRef]
- Heuvelink, E.; Körner, O. Parthenocarpic fruit growth reduces yield fluctuation and blossom-end rot in sweet pepper. Ann. Bot. 2001, 88, 69–74. [Google Scholar] [CrossRef]
- Lee, J.S.; Lee, H.I.; Kim, Y.H. Seedling quality and early yield after transplanting of paprika nursed under light-emitting diodes, fluorescent lamps and natural light. J. Bio-Environ. Con. 2012, 21, 220–227. [Google Scholar]
- An, C.G.; Hwang, Y.H.; An, J.U.; Yoon, H.S.; Chang, Y.H.; Shon, G.M.; Hwang, S.J. Effect of LEDs (light emitting diodes) irradiation on growth of paprika (Capsicum annuum 'Cupra'). J. Bio-Environ. Con. 2011, 20, 253–257. [Google Scholar]
- Hong, J.W. A study on the photosynthesis accelerate by light color composition in plant factory. J. Korea Acad.-Ind. Coop. Soc. 2016, 17, 368–375. [Google Scholar] [CrossRef]
- Xiaoying, Z.; Xuhong, Y.; Eloise, F.; Gregory, M.; Javier, L.; Krishnaprasad, T.; Jing, X.; James, L.; Xuanming, L.; James, B.; et al. A study of gibberellin homeostasis and cryptochrome-mediated blue light inhibition of hypocotyl elongation. Plant Physiol. 2007, 145, 106–118. [Google Scholar] [CrossRef]
- Buttery, B.R.; Buzzell, R.L. The relationship between chlorophyll content and rate of photosynthesis in soybeans. Can. J. Plant Sci. 1977, 57, 1–5. [Google Scholar] [CrossRef]
- Han, S.H.; Kim, D.H.; Kim, G.N.; Byun, J.K. Changes of leaf characteristics, pigment content and photosynthesis of Forsythia saxatilis under two different light intensities. J. Kor. For. Soc. 2011, 100, 609–615. [Google Scholar]
- Johkan, M.; Shoji, K.; Goto, F.; Hashida, S.; Yoshigara, T. Effect of green light wavelength and intensity on photomorphogenesis and photosynthesis in Lactuca sativa. Environ. Exp. Bot. 2012, 75, 128–133. [Google Scholar] [CrossRef]
- Lee, S.S.; Kim, S.Y. Phytochromes are involved in the regulation of growth and the gravitropic response via ethylene production in hypocotyl of Arabidopsis. J. Life Sci. 2018, 28, 9–16. [Google Scholar] [CrossRef]
- Lee, J.W.; Kim, H.C.; Jeong, P.H.; Ku, Y.G.; Bae, J.H. Effects of supplemental lighting of high pressure sodium and lighting emitting plasma on growth and productivity of paprika during low radiation period of winter season. Kor. J. Hort. Sci. Technol. 2014, 32, 346–352. [Google Scholar] [CrossRef]
- Kim, Y.B.; Bae, J.H.; Park, M.H. Effects of supplemental lighting on growth and yield of sweet pepper (Capsicum annuum L.) in hydroponic culture under low levels of natural light in winter. Kor. J. Hort. Sci. Technol. 2011, 29, 317–325. [Google Scholar]
- Ko, B.; Kim, H.C.; Ku, Y.G.; Kim, C.M.; Bae, J.H. Changes in qualities of paprika seedlings affected by different irrigation point in raising seedlings using rockwool cube. Prot. Hort. Plant Fact. 2020, 29, 245–251. [Google Scholar] [CrossRef]
- Rural Development Administration (RDA). Analysis Standard for Research in Agricultural Science and Technology; RDA: Jeonju, Republic of Korea, 2012; pp. 503–504. [Google Scholar]







| Treatment (μmol·m−2·s−1) | Plant Height (cm/plant) | Stem Diameter (mm/plant) | Leaf Number (no./plant) | Leaf Area (cm2/plant) | Chlorophyll Content (SPAD) |
|---|---|---|---|---|---|
| Sunlight | 16.1 a z | 5.52 a | 13.6 c | 493 b | 51.4 b |
| 100 | 11.9 b | 4.60 d | 12.7 d | 431 c | 45.8 c |
| 150 | 12.5 b | 4.89 c | 14.7 b | 542 a | 50.0 b |
| 200 | 12.7 b | 5.26 b | 15.2 a | 582 a | 55.1 a |
| Treatment (μmol·m−2·s−1) | Fresh Weight (g/plant, A) | Dry Weight (g/plant, B) | Dry Mass [%, (B/A)*100] |
|---|---|---|---|
| Sunlight | 20.2 a z | 2.43 a | 12.0 a |
| 100 | 13.9 c | 1.18 d | 8.6 d |
| 150 | 19.2 b | 1.73 c | 9.0 c |
| 200 | 21.4 a | 2.01 b | 9.4 b |
| Treatment (μmol·m−2·s−1) | RGR (g g−1 d−1) | NAR (g cm2 d−1) | LAR (cm2 g−1) |
|---|---|---|---|
| Sunlight | 0.169 a z | 0.294 a | 202.9 d |
| 100 | 0.134 d | 0.126 d | 367.1 a |
| 150 | 0.153 c | 0.168 c | 315.5 b |
| 200 | 0.160 b | 0.193 b | 289.5 c |
| Treatment (μmol·m−2·s−1) | Total Irrigation Number (Season) | Average of Water Maintenance Periods (Hours/Time) |
|---|---|---|
| Sunlight | 5 | 122 |
| 100 | 3 | 180 |
| 150 | 4 | 153 |
| 200 | 4 | 147 |
Disclaimer/Publisher’s Note: The statements, opinions and data contained in all publications are solely those of the individual author(s) and contributor(s) and not of MDPI and/or the editor(s). MDPI and/or the editor(s) disclaim responsibility for any injury to people or property resulting from any ideas, methods, instructions or products referred to in the content. |
© 2025 by the authors. Licensee MDPI, Basel, Switzerland. This article is an open access article distributed under the terms and conditions of the Creative Commons Attribution (CC BY) license (https://creativecommons.org/licenses/by/4.0/).
Share and Cite
Bae, J.H.; Ko, B. Effect of Photosynthetic Photon Flux Density on Paprika Seedling Growth Using Rockwool Block. Plants 2025, 14, 1378. https://doi.org/10.3390/plants14091378
Bae JH, Ko B. Effect of Photosynthetic Photon Flux Density on Paprika Seedling Growth Using Rockwool Block. Plants. 2025; 14(9):1378. https://doi.org/10.3390/plants14091378
Chicago/Turabian StyleBae, Jong Hyang, and Baul Ko. 2025. "Effect of Photosynthetic Photon Flux Density on Paprika Seedling Growth Using Rockwool Block" Plants 14, no. 9: 1378. https://doi.org/10.3390/plants14091378
APA StyleBae, J. H., & Ko, B. (2025). Effect of Photosynthetic Photon Flux Density on Paprika Seedling Growth Using Rockwool Block. Plants, 14(9), 1378. https://doi.org/10.3390/plants14091378
