Comparative Study of the Mechanisms Underlying the Effects of Prohexadione-Calcium and Gibberellin on the Morphogenesis and Carbon Metabolism of Rice Seedlings Under NaCl Stress
Abstract
1. Introduction
2. Materials and Methods
2.1. Plant Materials and Growth Conditions
2.2. Measurement of Morphological Indicators
2.3. Gas Exchange Parameter Measurement
2.4. Determination of Carbon Metabolic Products and Related Enzyme Activity
2.5. Statistical Analysis
3. Results
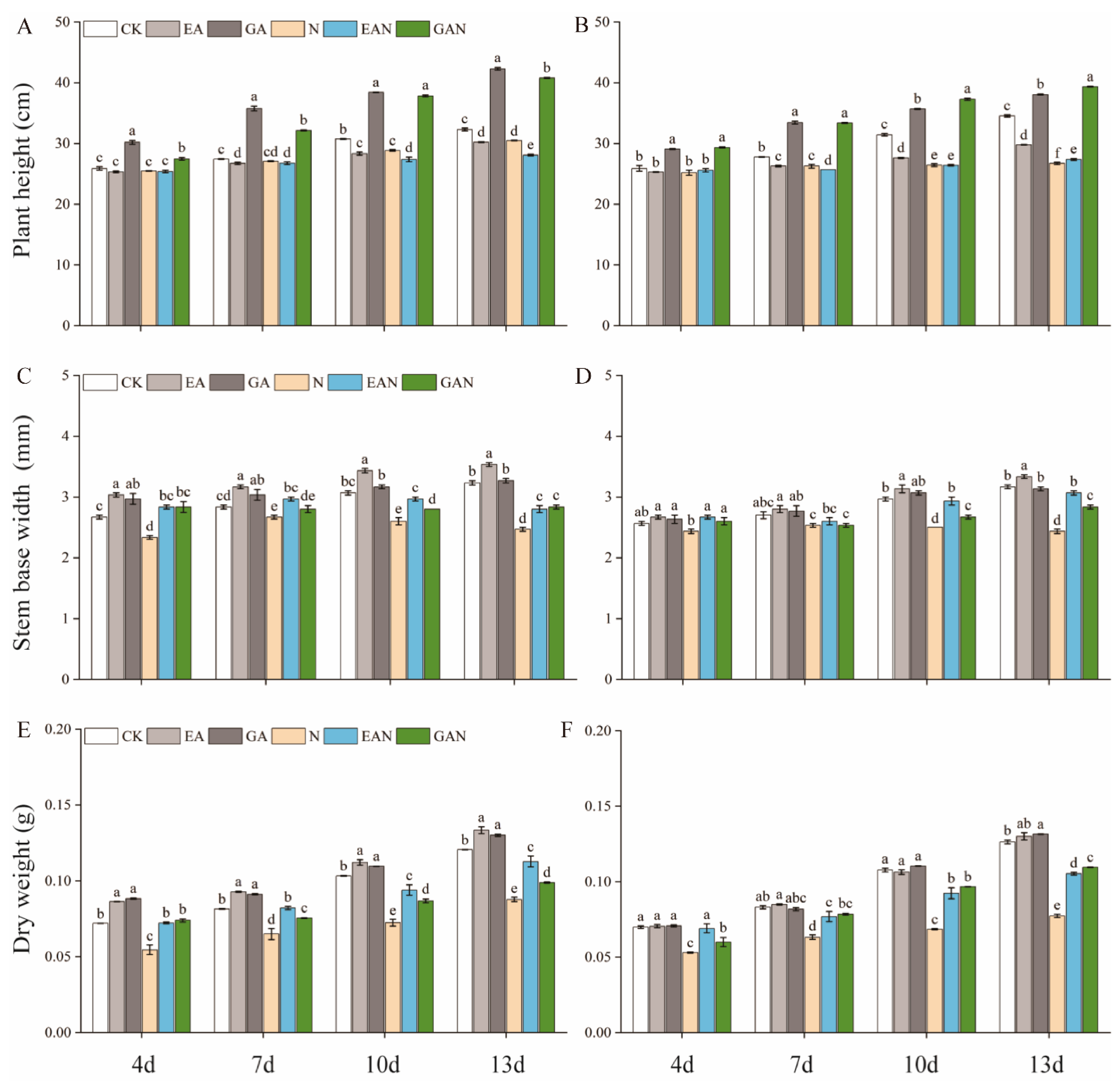
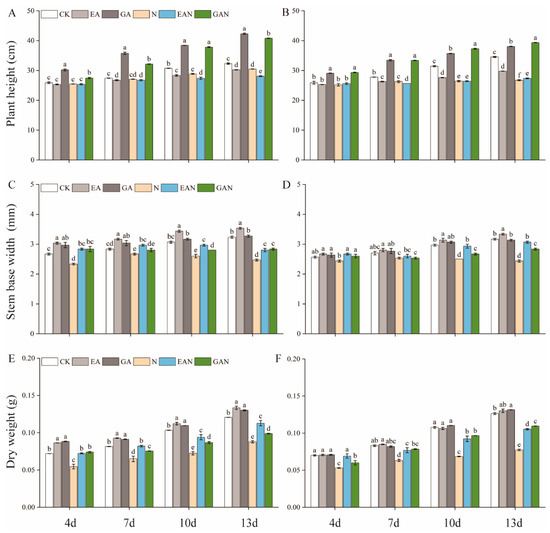
3.1. Changes in Morphological Establishment of Rice Seedlings
3.2. Changes in the Net Photosynthetic Rate (Pn)
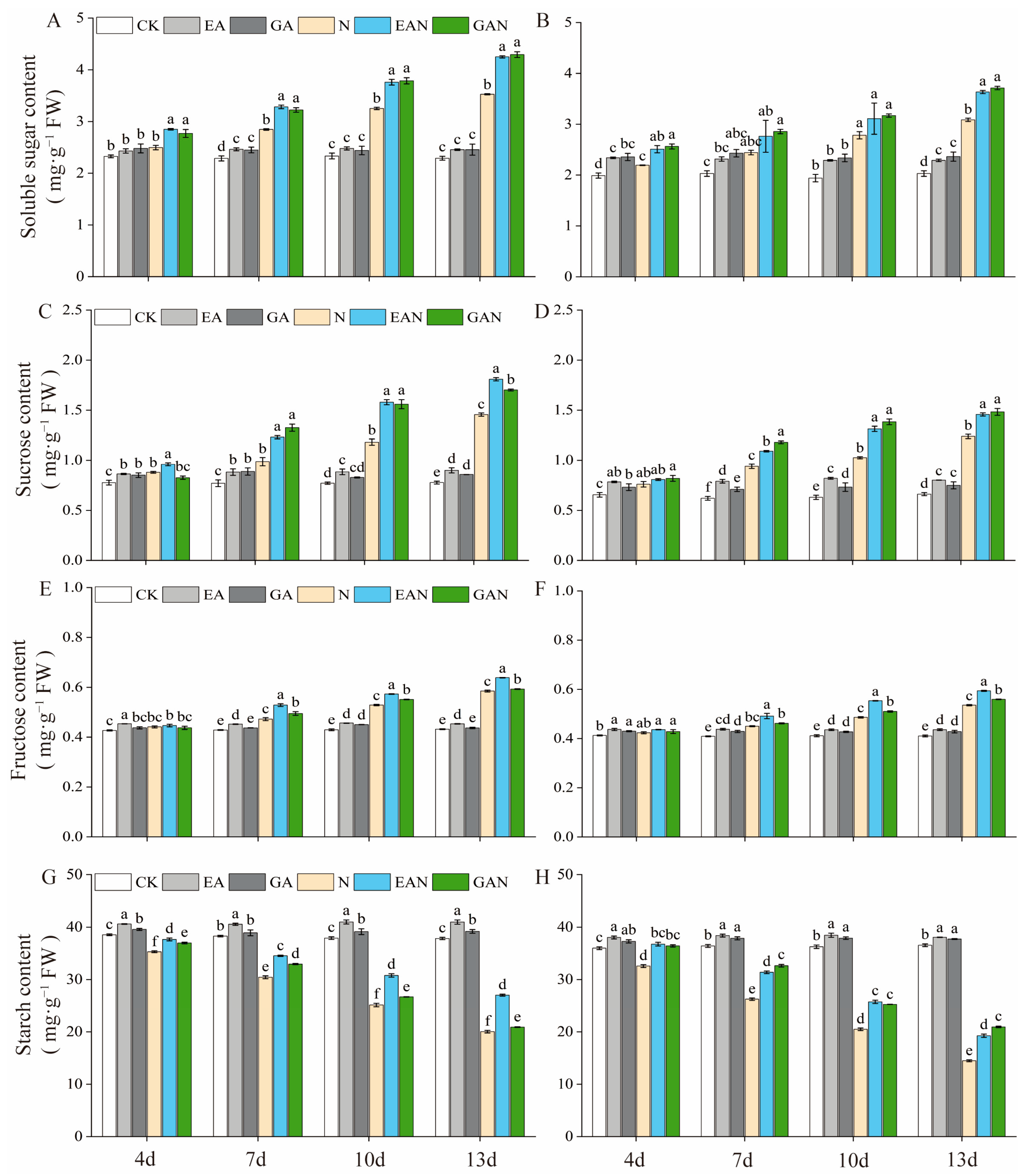
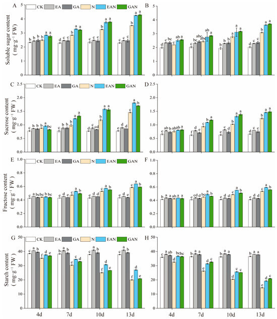
3.3. Changes in the Carbohydrate Content
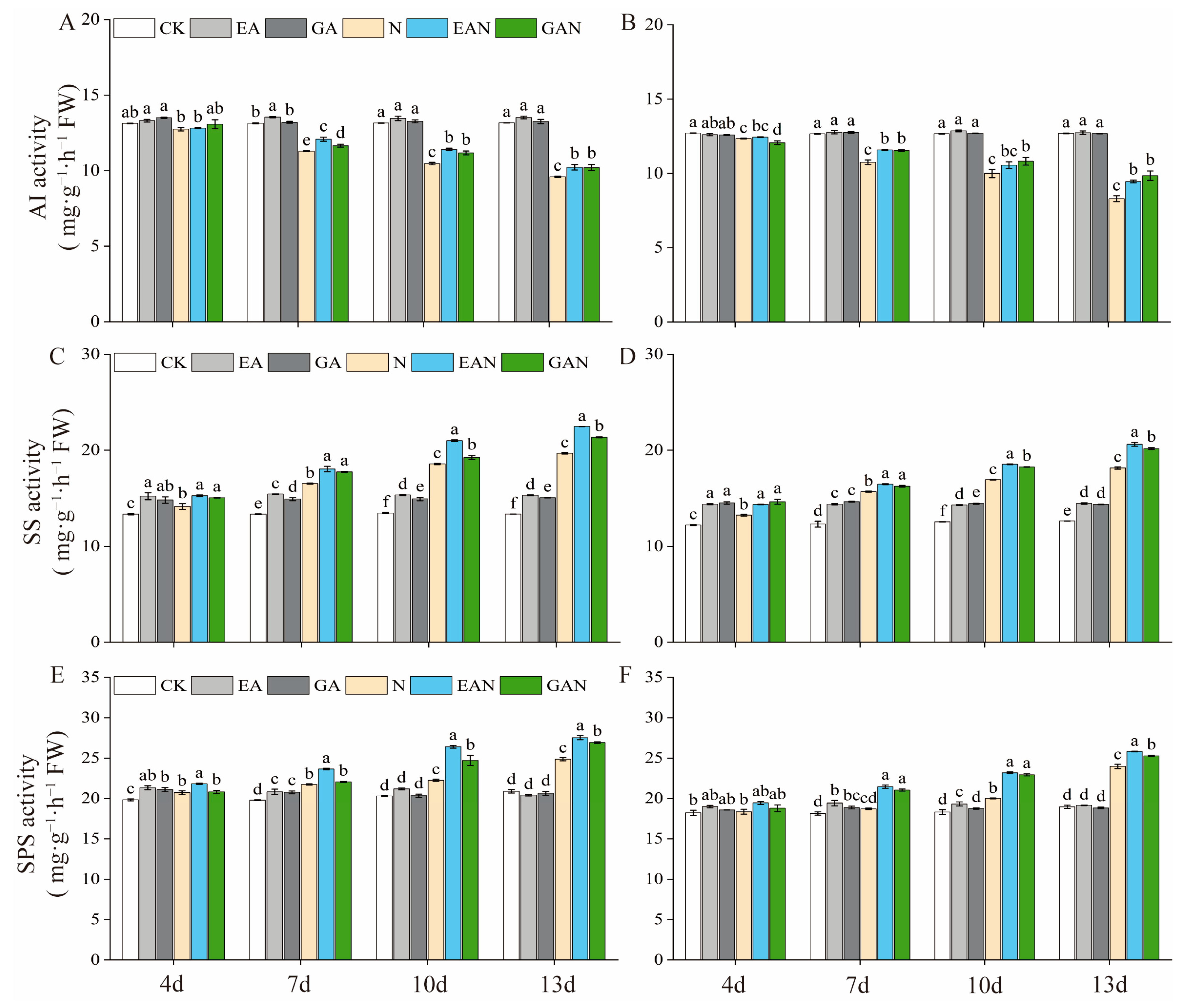
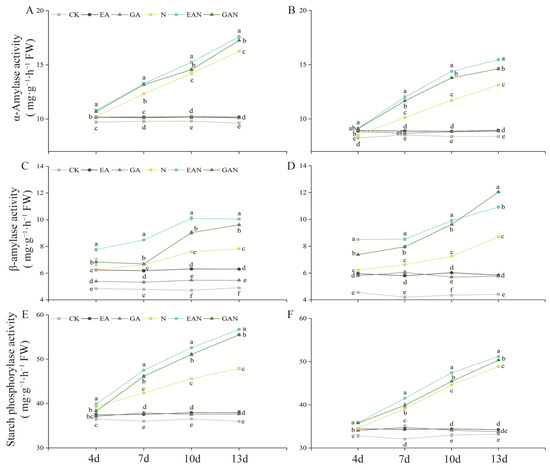
3.4. Changes in the Sucrose Metabolic Pathway
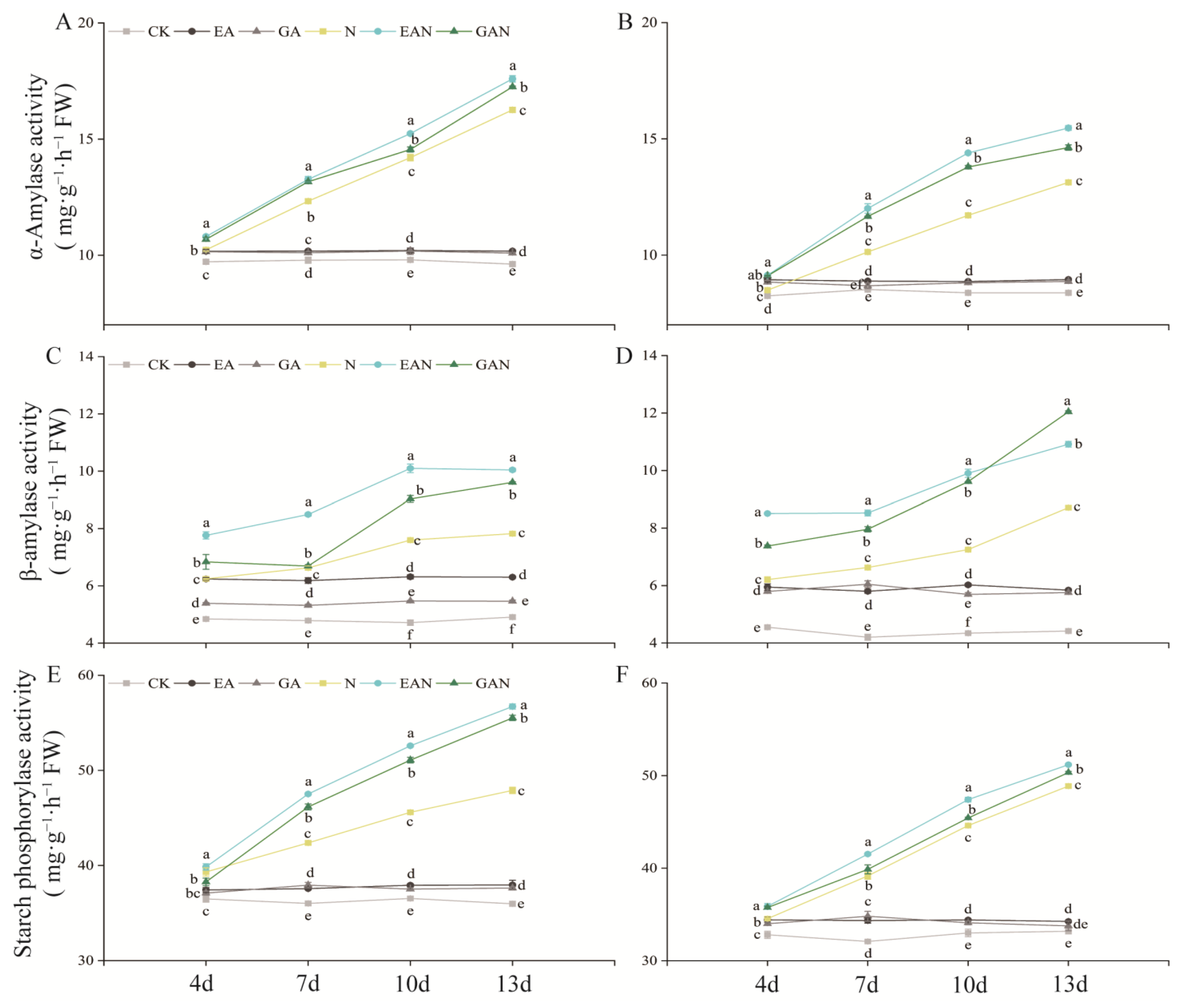
3.5. Changes in the Starch Metabolism Pathway
3.6. Effects of Prohexadione–Calcium, Gibberellin, and NaCl Stress on the Morphological, Photosynthetic, and Carbon Metabolism Indices of Rice Seedlings of Different Varieties (F Values)
3.7. Related Analysis
4. Discussion
4.1. Effects of EA and GA on the Phenotype of Rice Seedlings Under Salt Stress
4.2. Effects of EA and GA on Photosynthesis and Sucrose Metabolism-Related Products in Rice Seedlings Under Salt Stress
4.3. Effects of EA and GA on Products Related to Photosynthesis and Starch Metabolism in Rice Seedlings Under Salt Stress
5. Conclusions
Supplementary Materials
Author Contributions
Funding
Data Availability Statement
Conflicts of Interest
References
- Irakoze, W.; Quinet, M.; Prodjinoto, H.; Rufyikiri, G.; Nijimbere, S.; Lutts, S. Differential effects of sulfate and chloride salinities on rice (Oryza sativa L.) gene expression patterns: A comparative transcriptomic and physiological approach. Curr. Plant Biol. 2022, 29, 100237. [Google Scholar] [CrossRef]
- Das, P.; Seal, P.; Biswas, A.K. Regulation of growth, antioxidants and sugar metabolism in rice (Oryza sativa L.) seedlings by NaCl and its reversal by silicon. Am. J. Plant Sci. 2016, 7, 623–638. [Google Scholar] [CrossRef]
- Yuan, Y.; Zhong, M.; Shu, S.; Du, N.; He, L.; Yuan, L.; Sun, J.; Guo, S. Effects of exogenous putrescine on leaf anatomy and carbohydrate metabolism in cucumber (Cucumis sativus L.) under salt stress. J. Plant Growth Regul. 2015, 34, 451–464. [Google Scholar] [CrossRef]
- Zhu, Y.; Guo, J.; Feng, R.; Jia, J.; Han, W.; Gong, H. The regulatory role of silicon on carbohydrate metabolism in Cucumis sativus L. under salt stress. Plant Soil 2016, 406, 231–249. [Google Scholar] [CrossRef]
- Palma, F.; Tejera, N.A.; Lluch, C. Nodule carbohydrate metabolism and polyols involvement in the response of Medicago sativa to salt stress. Environ. Exp. Bot. 2013, 85, 43–49. [Google Scholar] [CrossRef]
- Garg, N.; Bharti, A. Salicylic acid improves arbuscular mycorrhizal symbiosis, and chickpea growth and yield by modulating carbohydrate metabolism under salt stress. Mycorrhiza 2018, 28, 727–746. [Google Scholar] [CrossRef]
- Yang, J.; Zhang, Z.; Li, X.; Guo, L.; Li, C.; Lai, J.; Han, Y.; Ye, W.; Miao, Y.; Deng, M.; et al. A gene cluster for polyamine transport and modification improves salt tolerance in tomato. Plant J. 2024, 120, 1706–1723. [Google Scholar] [CrossRef]
- Theerawitaya, C.; Boriboonkaset, T.; Cha-Um, S.; Supaibulwatana, K.; Kirdmanee, C. Transcriptional regulations of the genes of starch metabolism and physiological changes in response to salt stress rice (Oryza sativa L.) seedlings. Physiol. Mol. Biol. Plants 2012, 18, 197–208. [Google Scholar] [CrossRef]
- Huang, J.; Zhu, C.; Hussain, S.; Huang, J.; Liang, Q.; Zhu, L.; Cao, X.; Kong, Y.; Li, Y.; Wang, L.; et al. Effects of nitric oxide on nitrogen metabolism and the salt resistance of rice (Oryza sativa L.) seedlings with different salt tolerances. Plant Physiol. Biochem. 2020, 155, 374–383. [Google Scholar] [CrossRef]
- Kaur, R.; Zhawar, V.K. Regulation of secondary antioxidants and carbohydrates by gamma-aminobutyric acid under salinity–alkalinity stress in rice (Oryza sativa L.). Biol. Futur. 2021, 72, 229–239. [Google Scholar] [CrossRef]
- Rosa, M.; Hilal, M.; González, J.A.; Prado, F.E. Low-temperature effect on enzyme activities involved in sucrose–starch partitioning in salt-stressed and salt-acclimated cotyledons of quinoa (Chenopodium quinoa Willd.) seedlings. Plant Physiol. Biochem. 2009, 47, 300–307. [Google Scholar] [CrossRef] [PubMed]
- López, M.; Herrera-Cervera, J.A.; Iribarne, C.; Tejera, N.A.; Lluch, C. Growth and nitrogen fixation in Lotus japonicus and Medicago truncatula under NaCl stress: Nodule carbon metabolism. J. Plant Physiol. 2008, 165, 641–650. [Google Scholar] [CrossRef] [PubMed]
- Chen, H.J.; Chen, J.Y.; Wang, S.J. Molecular regulation of starch accumulation in rice seedling leaves in response to salt stress. Acta Physiol. Plant. 2008, 30, 135–142. [Google Scholar] [CrossRef]
- Junior, J.F.C.C.; Souza, C.A.; Pinheiro, M.G.; Silva, E.R.; Silva, A.L.P. Morpho-physiological responses of maize hybrids as a function prohexadione calcium doses applied in the vegetative phase. Bulg. J. Agric. Sci. 2021, 27, 167–178. [Google Scholar]
- Duong, M.V.; Chung, J.W.; Ha, V.G.; Moon, H.; Yu, J.K.; So, Y.S. Prohexadione-Calcium Mitigates the Overgrowth of Corn Seedlings. Agronomy 2024, 14, 371. [Google Scholar] [CrossRef]
- de Oliveira, L.S.; Soratto, R.P.; Cairo, P.A.R.; Silva, L.D.; Matsumoto, S.N.; Silva, R.A. Common bean plant size and yield in response to rates of foliar-applied paclobutrazol, mepiquat chloride, and prohexadione calcium. J. Plant Growth Regul. 2022, 42, 3543–3551. [Google Scholar] [CrossRef]
- Ozbay, N.; Ergun, N. Prohexadione calcium on the growth and quality of eggplant seedlings. Pesqui. Agropecuária Bras. 2015, 50, 932–938. [Google Scholar] [CrossRef]
- Feng, N.; Yu, M.; Li, Y.; Jin, D.; Zheng, D. Prohexadione-calcium alleviates saline-alkali stress in soybean seedlings by improving the photosynthesis and up-regulating antioxidant defense. Ecotoxicol. Environ. Saf. 2021, 220, 112369. [Google Scholar] [CrossRef]
- Rademacher, W. Chemical regulators of gibberellin status and their application in plant production. Annu. Plant Rev. 2016, 49, 359–404. [Google Scholar]
- Wang, Y.H.; Zhang, G.; Chen, Y.; Gao, J.; Sun, Y.R.; Sun, M.F.; Chen, J.P. Exogenous application of gibberellic acid and ascorbic acid improved tolerance of okra seedlings to NaCl stress. Acta Physiol. Plant. 2019, 41, 93. [Google Scholar] [CrossRef]
- Iradukunda, M.; van Iersel, M.W.; Seymour, L.; Lu, G.; Ferrarezi, R.S. Automated Imaging to Evaluate the Exogenous Gibberellin (Ga3) Impact on Seedlings from Salt-Stressed Lettuce Seeds. Sensors 2024, 24, 4228. [Google Scholar] [CrossRef] [PubMed]
- Liu, Y.; Wang, B.; Li, J.; Song, Z.; Lu, B.; Chi, M.; Yang, B.; Liu, J.; Lam, Y.W.; Li, J.; et al. Salt-response analysis in two rice cultivars at seedling stage. Acta Physiol. Plant. 2017, 39, 215. [Google Scholar] [CrossRef] [PubMed]
- Tian, S.; Guo, R.; Zou, X.; Zhang, X.; Yu, X.; Zhan, Y.; Ci, D.; Wang, M.; Wang, Y.; Si, T. Priming with the green leaf volatile (Z)-3-hexeny-1-yl acetate enhances salinity stress tolerance in peanut (Arachis hypogaea L.) seedlings. Front. Plant Sci. 2019, 10, 785. [Google Scholar] [CrossRef]
- Mirajkar, S.J.; Suprasanna, P.; Vaidya, E.R. Spatial distribution and dynamics of sucrose metabolising enzymes in radiation induced mutants of sugarcane. Plant Physiol. Biochem. 2016, 100, 85–93. [Google Scholar] [CrossRef]
- Gupta, S.; Thokchom, S.D.; Kapoor, R. Arbuscular mycorrhiza improves photosynthesis and restores alteration in sugar metabolism in Triticum aestivum L. grown in arsenic contaminated soil. Front. Plant Sci. 2021, 12, 640379. [Google Scholar] [CrossRef]
- Başak, H. Effects of Prohexadione calcium applications on growth and yield characteristics of cucumber (Cucumis sativus L.). Sains Malays 2021, 50, 2141–2152. [Google Scholar] [CrossRef]
- Liu, X.; Wang, X.; Yin, L.; Deng, X.; Wang, S. Exogenous application of gibberellic acid participates in up-regulation of lipid biosynthesis under salt stress in rice. Theor. Exp. Plant Physiol. 2018, 30, 335–345. [Google Scholar] [CrossRef]
- Yakoubi, F.; Babou, F.Z.; Belkhodja, M. Effects of Gibberellic and Abscisic Acids on Germination and Seedling Growth of Okra (Abelmoschus esculentus L.) under Salt Stress. Pertanika J. Trop. Agric. Sci. 2019, 42, 847–860. [Google Scholar]
- Guo, Y.; Liu, Y.; Zhang, Y.; Liu, J.; Gul, Z.; Guo, X.R.; Abozeid, A.; Tang, Z.H. Effects of exogenous calcium on adaptive growth, photosynthesis, ion homeostasis and phenolics of Gleditsia sinensis Lam. plants under salt stress. Agriculture 2021, 11, 978. [Google Scholar] [CrossRef]
- Zahoor, R.; Dong, H.; Abid, M.; Zhao, W.; Wang, Y.; Zhou, Z. Potassium fertilizer improves drought stress alleviation potential in cotton by enhancing photosynthesis and carbohydrate metabolism. Environ. Exp. Bot. 2017, 137, 73–83. [Google Scholar] [CrossRef]
- Yang, F.; Liu, Q.; Cheng, Y.; Feng, L.; Wu, X.; Fan, Y.; Raza, M.A.; Wang, X.; Yong, T.; Liu, W.; et al. Low red/far-red ratio as a signal promotes carbon assimilation of soybean seedlings by increasing the photosynthetic capacity. BMC Plant Biol. 2020, 20, 1–12. [Google Scholar] [CrossRef] [PubMed]
- Yang, F.; Feng, L.; Liu, Q.; Wu, X.; Fan, Y.; Raza, M.A.; Cheng, Y.; Chen, J.; Wang, X.; Yong, T.; et al. Effect of interactions between light intensity and red-to-far-red ratio on the photosynthesis of soybean leaves under shade condition. Environ. Exp. Bot. 2018, 150, 79–87. [Google Scholar] [CrossRef]
- Ling, F.; Su, Q.; Jiang, H.; Cui, J.; He, X.; Wu, Z.; Zhang, Z.; Liu, J.; Zhao, Y. Effects of strigolactone on photosynthetic and physiological characteristics in salt-stressed rice seedlings. Sci. Rep. 2020, 10, 6183. [Google Scholar] [CrossRef]
- Zhou, C.Q.; Lu, C.H.; Mai, L.; Bao, L.J.; Liu, L.Y.; Zeng, E.Y. Response of rice (Oryza sativa L.) roots to nanoplastic treatment at seedling stage. J. Hazard. Mater. 2021, 401, 123412. [Google Scholar] [CrossRef]
- Chen, P.F.; Chen, L.; Jiang, Z.R.; Wang, G.P.; Wang, S.H.; Ding, Y.F. Sucrose is involved in the regulation of iron deficiency responses in rice (Oryza sativa L.). Plant Cell Rep. 2018, 37, 789–798. [Google Scholar] [CrossRef]
- Udomchalothorn, T.; Maneeprasobsuk, S.; Bangyeekhun, E.; Boon-Long, P.; Chadchawan, S. The role of the bifunctional enzyme, fructose-6-phosphate-2-kinase/fructose-2, 6-bisphosphatase, in carbon partitioning during salt stress and salt tolerance in Rice (Oryza sativa L.). Plant Sci. 2009, 176, 334–341. [Google Scholar] [CrossRef]
- Chatterjee, P.; Biswas, S.; Biswas, A.K. Amelioration of salinity stress by NaCl pretreatment with reference to sugar metabolism in legumes Cajanas cajan L. and Vigna mungo L. Plant Sci. Today 2017, 4, 28–40. [Google Scholar] [CrossRef]
- Amirjani, M.R. Effect of NaCl on some physiological parameters of rice. Eur. J. Biol. Sci. 2010, 3, 6–16. [Google Scholar]
- Casado-Vela, J.; Sellés, S.; Bru Martínez, R. Proteomic approach to blossom-end rot in tomato fruits (Lycopersicon esculentum M.): Antioxidant enzymes and the pentose phosphate pathway. Proteomics 2005, 5, 2488–2496. [Google Scholar] [CrossRef]
- Siringam, K.; Juntawong, N.; Cha-um, S.; Kirdmanee, C. Salt stress induced ion accumulation, ion homeostasis, membrane injury and sugar contents in salt-sensitive rice (Oryza sativa L. spp. indica) roots under isoosmotic conditions. Afr. J. Biotechnol. 2011, 10, 1340–1346. [Google Scholar]
- Singh, A.; Roychoudhury, A.; Samanta, S.; Banerjee, A. Fluoride stress-mediated regulation of tricarboxylic acid cycle and sugar metabolism in rice seedlings in absence and presence of exogenous calcium. J. Plant Growth Regul. 2021, 40, 1579–1593. [Google Scholar] [CrossRef]
- Roychoudhury, A.; Singh, A.; Aftab, T.; Ghosal, P.; Banik, N. Seedling priming with sodium nitroprusside rescues Vigna radiata from salinity stress-induced oxidative damages. J. Plant Growth Regul. 2021, 40, 2454–2464. [Google Scholar] [CrossRef]
- Zhang, Z.H.; Liu, Q.; Song, H.X.; Rong, X.M.; Ismai, A.M. Responses of different rice (Oryza sativa L.) genotypes to salt stress and relation to carbohydrate metabolism and chlorophyll content. Afr. J. Agric. Res. 2012, 7, 19–27. [Google Scholar]








Disclaimer/Publisher’s Note: The statements, opinions and data contained in all publications are solely those of the individual author(s) and contributor(s) and not of MDPI and/or the editor(s). MDPI and/or the editor(s) disclaim responsibility for any injury to people or property resulting from any ideas, methods, instructions or products referred to in the content. |
© 2025 by the authors. Licensee MDPI, Basel, Switzerland. This article is an open access article distributed under the terms and conditions of the Creative Commons Attribution (CC BY) license (https://creativecommons.org/licenses/by/4.0/).
Share and Cite
Liu, M.; Feng, N.; Zheng, D.; Meng, F. Comparative Study of the Mechanisms Underlying the Effects of Prohexadione-Calcium and Gibberellin on the Morphogenesis and Carbon Metabolism of Rice Seedlings Under NaCl Stress. Plants 2025, 14, 1240. https://doi.org/10.3390/plants14081240
Liu M, Feng N, Zheng D, Meng F. Comparative Study of the Mechanisms Underlying the Effects of Prohexadione-Calcium and Gibberellin on the Morphogenesis and Carbon Metabolism of Rice Seedlings Under NaCl Stress. Plants. 2025; 14(8):1240. https://doi.org/10.3390/plants14081240
Chicago/Turabian StyleLiu, Meiling, Naijie Feng, Dianfeng Zheng, and Fengyan Meng. 2025. "Comparative Study of the Mechanisms Underlying the Effects of Prohexadione-Calcium and Gibberellin on the Morphogenesis and Carbon Metabolism of Rice Seedlings Under NaCl Stress" Plants 14, no. 8: 1240. https://doi.org/10.3390/plants14081240
APA StyleLiu, M., Feng, N., Zheng, D., & Meng, F. (2025). Comparative Study of the Mechanisms Underlying the Effects of Prohexadione-Calcium and Gibberellin on the Morphogenesis and Carbon Metabolism of Rice Seedlings Under NaCl Stress. Plants, 14(8), 1240. https://doi.org/10.3390/plants14081240
