- Article
Water Stress Effects on Biomass Allocation and Secondary Metabolism in CBD-Dominant Cannabis sativa L.
- Maddalena Cappello Fusaro,
- Irene Lucchetta and
- Stefano Bona
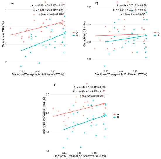
Water availability is a key factor affecting both morphological development and secondary metabolite production in Cannabis sativa L. This study evaluated the effects of water stress applied during the vegetative and flowering stages on plant perform...

