Comprehensive Analysis of Hormonal Signaling Pathways and Gene Expression in Flesh Segment Development of Chinese Bayberry (Myrica rubra)
Abstract
1. Introduction
2. Results
2.1. Morphology of Bayberry Flower Buds and the Development of the Pistil Before Flesh Segment Formation
2.2. Development of Flesh Segments in Female Bayberry Flowers: From Primordium Formation to Primary Flesh Segment Establishment
2.3. Fluctuations in Endogenous Hormone Levels During Flesh Segment Development
2.4. Hormonal Crosstalk During Flesh Segment Development
2.5. Transcriptome Acquisition and Preliminary Statistical Analysis of Differentially Expressed Genes
2.6. Analysis of Gene Co-Expression Networks and Identification of Key Members in Modules Related to Flesh Segment Development
2.7. Gene Set Enrichment Analysis (GSEA) of DEGs Involved in Flesh Segment Development
2.8. Kyoto Encyclopedia of Genes and Genomes (KEGG) Pathway Enrichment and Expression Pattern Analysis of DEGs Involved in Flesh Segment Development
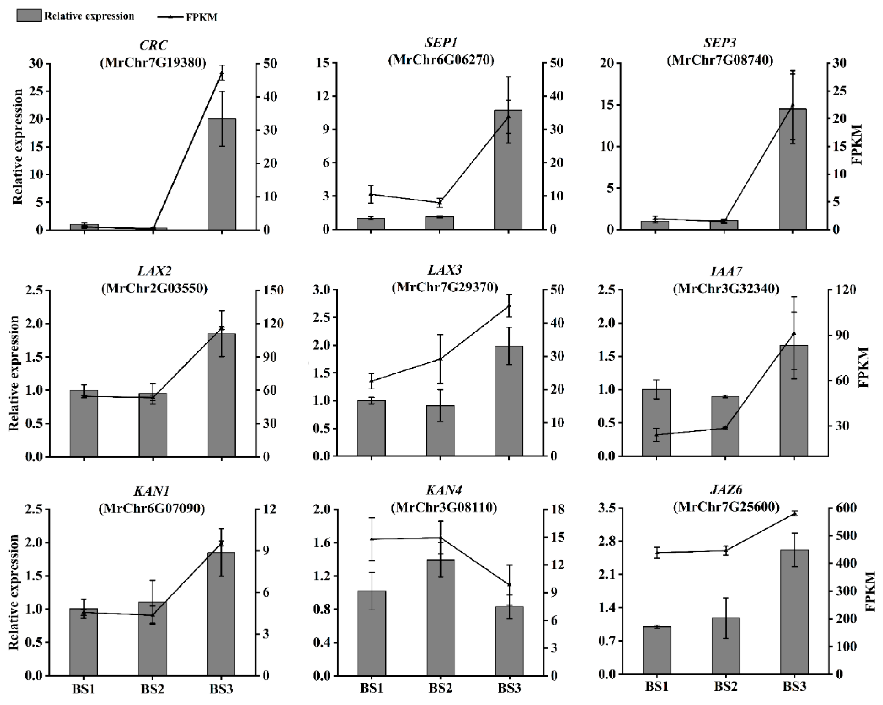
2.9. Examination of the Expression Levels of Genes Potentially Involved in Flesh Segment Development
2.10. Spatial Distribution of Auxin in Flesh Segments
3. Discussion
3.1. Morphogenesis and Hormonal Regulation in Bayberry Flesh Segment Development
3.2. Prediction of Molecular Mechanisms Regulating Bayberry Flesh Segment Development Through Hormonal Interaction Modulation
4. Conclusions
5. Materials and Methods
5.1. Plant Materials and Sampling Methods
5.2. Morphological Observation and Cytological Paraffin Sectioning of Bayberry Flower Buds
5.3. Determination of Endogenous Hormone Levels in Bayberry Flower Buds
5.4. Transcriptome Sequencing
5.5. DEG Screening
5.6. WGCNA Analysis
5.7. GSEA Analysis
5.8. KEGG Pathway Enrichment Analysis
5.9. Quantification of the Expression Levels of Genes Involved in Flesh Segment Development Using qRT-PCR
5.10. Immunofluorescence Localization Analysis of Auxin Distribution
Supplementary Materials
Author Contributions
Funding
Data Availability Statement
Acknowledgments
Conflicts of Interest
References
- Zhang, X.; Huang, H.; Zhang, Q.; Fan, F.; Xu, C.; Sun, C.; Li, X.; Chen, K. Phytochemical Characterization of Chinese Bayberry (Myrica rubra Sieb. et Zucc.) of 17 Cultivars and Their Antioxidant Properties. Int. J. Mol. Sci. 2015, 16, 12467–12481. [Google Scholar] [CrossRef] [PubMed]
- Zhang, S.; Yu, Z.; Sun, L.; Ren, H.; Zheng, X.; Liang, S.; Qi, X. An overview of the nutritional value, health properties, and future challenges of Chinese bayberry. PeerJ 2022, 10, e13070. [Google Scholar] [CrossRef] [PubMed]
- Chen, K.; Xu, C.; Zhang, B.; Ferguson, I.B. Red Bayberry: Botany and Horticulture; John Wiley & Sons, Ltd.: Hoboken, NJ, USA, 2010. [Google Scholar] [CrossRef]
- Coombe, B.G. The development of fleshy fruits. Annu. Rev. Plant Physiol. 1976, 27, 207–228. [Google Scholar] [CrossRef]
- Tisserat, B.; Jones, D.; Galletta, P. Adventitious juice vesicle initiation in lemon (Citrus limon L.), mandarin (Citrus reticulatablanco), sour orange (Citrus aurantium L.), and sweet orange (Citrus sinensis (L.) osb.) fruit explants. Cell. Mol. Life Sci. 1988, 44, 722–724. [Google Scholar] [CrossRef]
- Burns, J.K.; Achor, D.S.; Echeverria, E. Ultrastructural studies on the ontogeny of grapefruit juice vesicles (Citrus paradisi Macf. CV Star Ruby). Int. J. Plant Sci. 1992, 153, 14–25. [Google Scholar] [CrossRef]
- Burns, J.K.; Achor, D.S.; Echeverria, E. Carpellary outgrowth development in the endocarp of grapefruit, Citrus paradisi (rutaceae). Am. J. Bot. 1994, 81, 760–769. [Google Scholar] [CrossRef]
- Nii, N.; Coombe, B.G. Anatomical Aspects of Juice Sacs of Satsuma Mandarin in Relation to Translocation. J. Jpn. Soc. Hortic. Sci. 1987, 56, 375–381. [Google Scholar] [CrossRef][Green Version]
- Nii, N.; Coombe, B.G. Ultrastructural Changes in the Primordia of Juice Sacs of Satsuma Mandarin Fruits. J. Jpn. Soc. Hortic. Sci. 1990, 59, 35–41. [Google Scholar] [CrossRef][Green Version]
- Nii, N.; Iwata, H.; Astha, T.; Nakao, Y. The morphology of red bayberry (Myrica rubra Sieb. et Zucc.) during fruit development. J. Hort. Sci. Biotech. 2008, 83, 154–159. [Google Scholar] [CrossRef]
- Fenn, M.A.; Giovannoni, J.J. Phytohormones in Fruit Development and Maturation. Plant J. 2020, 105, 446–458. [Google Scholar] [CrossRef]
- Li, S.; Chen, K.; Grierson, D. Molecular and Hormonal Mechanisms Regulating Fleshy Fruit Ripening. Cells 2021, 10, 1136. [Google Scholar] [CrossRef] [PubMed]
- Rahul, K.; Ashima, K.; Sharma, A.K. Role of plant hormones and their interplay in development and ripening of fleshy fruits. J. Exp. Bot. 2014, 16, 4561–4575. [Google Scholar] [CrossRef]
- Bttcher, C.; Keyzers, R.A.; Boss, P.K.; Davies, C. Sequestration of auxin by the indole-3-acetic acid-amido synthetase GH3-1 in grape berry (Vitis vinifera L.) and the proposed role of auxin conjugation during ripening. J. Exp. Bot. 2010, 61, 3615–3625. [Google Scholar] [CrossRef] [PubMed]
- Frenkel, C. Involvement of Peroxidase and Indole-3-acetic Acid Oxidase Isozymes from Pear, Tomato, and Blueberry Fruit in Ripening. Plant Physiol. 1972, 49, 757–763. [Google Scholar] [CrossRef]
- Cheong, J.J.; Choi, Y.D. Methyl jasmonate as a vital substance in plants. Trends Genet. 2003, 19, 409–413. [Google Scholar] [CrossRef]
- El-Sharkawy, I.; Sherif, S.; El Kayal, W.; Mahboob, A.; Abubaker, K.; Ravindran, P.; Jyothi-Prakash, P.A.; Kumar, P.P.; Jayasankar, S. Characterization of gibberellin-signalling elements during plum fruit ontogeny defines the essentiality of gibberellin in fruit development. Plant Mol. Biol. 2014, 84, 399. [Google Scholar] [CrossRef]
- Serrani, J.C.; Sanjuán, R.; Ruiz-Rivero, O.; Fos, M.; García-Martínez, J.L. Gibberellin Regulation of Fruit Set and Growth in Tomato. Plant Physiol. 2007, 145, 246–257. [Google Scholar] [CrossRef]
- Boualem, A.; Berthet, S.; Devani, R.S.; Camps, C.; Fleurier, S.; Morin, H.; Troadec, C.; Giovinazzo, N.; Sari, N.; Dogimont, C.; et al. Ethylene plays a dual role in sex determination and fruit shape in cucurbits. Curr. Biol. 2022, 32, 2390–2401.e4. [Google Scholar] [CrossRef]
- Xin, T.; Zhang, Z.; Li, S.; Zhang, S.; Li, Q.; Zhang, Z.-H.; Huang, S.; Yang, X. Genetic Regulation of Ethylene Dosage for Cucumber Fruit Elongation. Plant Cell 2019, 31, 1063–1076. [Google Scholar] [CrossRef]
- Kou, X.; Feng, Y.; Yuan, S.; Zhao, X.; Wu, C.; Wang, C.; Xue, Z. Different regulatory mechanisms of plant hormones in the ripening of climacteric and non-climacteric fruits: A review. Plant Mol. Biol. 2021, 107, 477–497. [Google Scholar] [CrossRef]
- Arnao, M.B.; Hernández-Ruiz, J. Melatonin in flowering, fruit set and fruit ripening. Plant Reprod. 2020, 33, 77–87. [Google Scholar] [CrossRef]
- González-Villagra, J.; Chicahual, C.; Jorquera-Fontena, E.; Falquetto-Gomes, P.; Nunes-Nesi, A.; Reyes-Díaz, M. Salicylic Acid Improves Yield, Fruit Quality, and Post-Harvest Storage in Sweet Cherry (Prunus avium L.) cv. Lapins Subjected to Late-Deficit Irrigation. Horticulturae 2024, 10, 707. [Google Scholar] [CrossRef]
- Sun, Y.; Li, Z.; Luo, W.; Chang, H. Effects of indole acetic acid on growth and endogenous hormone levels of cucumber Fruit. Int. J. Agric. Biol. 2018, 20, 197–202. [Google Scholar]
- Liu, M.; Pirrello, J.; Chervin, C.; Roustan, J.P.; Bouzayen, M. Ethylene Control of Fruit Ripening: Revisiting the Complex Network of Transcriptional Regulation. Plant Physiol. 2015, 169, 2380–2390. [Google Scholar] [CrossRef]
- Marsch-Martínez, N.; De Folter, S. Hormonal control of the development of the gynoecium. Curr. Opin. Plant Biol. 2016, 29, 104–114. [Google Scholar] [CrossRef]
- Li, Q.; Wang, J.; Yin, Z.; Pan, Y.; Mao, W.; Peng, L.; Guo, X.; Li, B.; Leng, P. SlPP2C2 interacts with FZY/SAUR and regulates tomato development via signaling crosstalk of ABA and auxin. Plant J. 2024, 119, 1073–1090. [Google Scholar] [CrossRef]
- Schuster, C.; Gaillochet, C.; Lohmann, J.U. Arabidopsis HECATE genes function in phytohormone control during gynoecium development. Development 2015, 142, 3343–3350. [Google Scholar] [CrossRef]
- Dinneny, J.R.; Weigel, D.; Yanofsky, M.F. NUBBIN and JAGGED define stamen and carpel shape in Arabidopsis. Development 2006, 133, 1645–1655. [Google Scholar] [CrossRef]
- Chen, L.; Yan, Y.; Ke, H.; Zhang, Z.; Meng, C.; Ma, L.; Sun, Z.; Chen, B.; Liu, Z.; Wang, G.; et al. SEP-like genes of Gossypium hirsutum promote flowering via targeting different loci in a concentration-dependent manner. Front. Plant Sci. 2022, 13, 990221. [Google Scholar] [CrossRef]
- Han, L.; Huang, Y.; Li, C.; Tian, D.; She, D.; Li, M.; Wang, Z.; Chen, J.; Liu, L.; Wang, S.; et al. Heterotrimeric Gα-subunit regulates flower and fruit development in CLAVATA signaling pathway in cucumber. Hortic. Res. 2024, 11, uhae110. [Google Scholar] [CrossRef]
- Yue, Y.; Zhang, X.; Wang, L.; He, J.; Yang, S.; Li, X.; Yu, Y.; Yu, R.; Fan, Y. Identification and Characterization of Jasmonic Acid Methyltransferase Involved in the Formation of Floral Methyl Jasmonate in Hedychium coronarium. Plants 2024, 13, 8. [Google Scholar] [CrossRef]
- Saito, R.; Morikawa, M.; Muto, T.; Saito, S.; Kaji, T.; Ueda, M. SlCYP94B18 and SlCYP94B19 monooxygenases for the catabolic turnover of jasmonates in tomato leaves. Phytochemistry 2024, 223, 114141. [Google Scholar] [CrossRef]
- Bao, D.; Chang, S.; Li, X.; Qi, Y. Advances in the study of auxin early response genes: Aux/IAA, GH3, and SAUR. Crop J. 2024, 12, 964–978. [Google Scholar] [CrossRef]
- Porco, S.; Larrieu, A.; Du, Y.; Gaudinier, A.; Goh, T.; Swarup, K.; Swarup, R.; Kuempers, B.; Bishopp, A.; Lavenus, J.; et al. Lateral root emergence in Arabidopsis is dependent on transcription factor LBD29 regulation of auxin influx carrier LAX3. Development 2016, 143, 3340–3349. [Google Scholar] [CrossRef]
- Aubert, D.; Chevillard, M.; Dorne, A.M.; Arlaud, G.; Herzog, M. Expression patterns of GASA genes in Arabidopsis thaliana: The GASA4 gene is up-regulated by gibberellins in meristematic regions. Plant Mol. Biol. 1998, 36, 871–883. [Google Scholar] [CrossRef]
- Zhao, L.; Xie, W.; Huang, L.; Long, S.; Wang, P. Characterization of the gibberellic oxidase gene SdGA20ox1 in Sophora davidii (Franch.) skeels and interaction protein screening. Front. Plant Sci. 2024, 15, 1478854. [Google Scholar] [CrossRef]
- Ma, D.; Liu, B.; Ge, L.; Weng, Y.; Cao, X.; Liu, F.; Mao, P.; Ma, X. Identification and characterization of regulatory pathways involved in early flowering in the new leaves of alfalfa (Medicago sativa L.) by transcriptome analysis. BMC Plant Biol. 2021, 21, 8. [Google Scholar] [CrossRef]
- Liao, F.; Han, X.; Chen, W.; Guo, Y.; Zhang, C.; Chen, Z.; Guo, W. Fruit Morphogenesis Observation and Expression Analysis of Fruit-shaping-related Genes in Fingered Citron. Acta Hortic. Sin. 2016, 43, 2141–2150. [Google Scholar] [CrossRef]
- Kim, J.S.; Ezura, K.; Lee, J.; Kojima, M.; Takebayashi, Y.; Sakakibara, H.; Ariizumi, T.; Ezura, H. The inhibition of SlIAA9 mimics an increase in endogenous auxin and mediates changes in auxin and gibberellin signalling during parthenocarpic fruit development in tomato. J. Plant Physiol. 2020, 252, 153238. [Google Scholar] [CrossRef]
- Hen, X.; Liu, Y.; Zhang, X.; Zheng, B.; Han, Y.; Zhang, R.X. PpARF6 acts as an integrator of auxin and ethylene signaling to promote fruit ripening in peach. Hortic. Res. 2023, 10, uhad158. [Google Scholar] [CrossRef]
- Zhang, Y.; Su, Z.; Luo, L.; Wang, P.; Zhu, X.; Liu, J.; Wang, C. Exogenous auxin regulates the growth and development of peach fruit at the expansion stage by mediating multiple-hormone signaling. BMC Plant Biol. 2023, 23, 499. [Google Scholar] [CrossRef] [PubMed]
- Alvarez, J.; Smyth, D.R. CRABS CLAW and SPATULA genes regulate growth and pattern formation during Gynoecium development in Arabidopsis thaliana. Int. J. Plant Sci. 2002, 163, 17–41. [Google Scholar] [CrossRef]
- Becker, A.; Theißen, G. The major clades of MADS-box genes and their role in the development and evolution of flowering plants. Mol. Phylogenet. Evol. 2003, 29, 464–489. [Google Scholar] [CrossRef] [PubMed]
- Wang, Z.; Zhou, Z.; Wang, L.; Yan, S.; Cheng, Z.; Liu, X.; Han, L.; Chen, G.; Wang, S.; Song, W.; et al. The CsHEC1-CsOVATE module contributes to fruit neck length variation via modulating auxin biosynthesis in cucumber. Proc. Natl. Acad. Sci. USA 2022, 119, e2209717119. [Google Scholar] [CrossRef]
- Lee, J.-E.; Lee, G.-B.; Je, B.-I.; Lee, Y.-J.; Park, Y.-H.; Choi, Y.-W.; Son, B.-G.; Kang, N.-J.; Kang, J.-S. The effects of Stigma Removal and Auxin Treatment on Fruit Shape and Quality in Strawberry. Prot. Hortic. Plant Fact. 2019, 28, 55–65. [Google Scholar] [CrossRef]
- Wang, Y.; Clevenger, J.P.; Illa-Berenguer, E.; Meulia, T.; van der Knaap, E.; Sun, L. A Comparison of sun, ovate, fs8.1 and Auxin Application on Tomato Fruit Shape and Gene Expression. Plant Cell Physiol. 2019, 60, 1067–1081. [Google Scholar] [CrossRef]
- Pattison, R.J.; Csukasi, F.; Catalá, C. Mechanisms regulating auxin action during fruit development. Physiol. Plant. 2014, 151, 62–72. [Google Scholar] [CrossRef]
- Izhaki, A.; Bowman, J.L. KANADI and class III HD-Zip gene families regulate embryo patterning and modulate auxin flow during embryogenesis in Arabidopsis. Plant Cell 2007, 19, 495–508. [Google Scholar] [CrossRef]
- Kelley, D.R.; Arreola, A.; Gallagher, T.L.; Gasser, C.S. ETTIN (ARF3) physically interacts with KANADI proteins to form a functional complex essential for integument development and polarity determination in Arabidopsis. Development 2012, 139, 1105–1109. [Google Scholar] [CrossRef]
- Adedze, Y.M.N.; Feng, B.; Shi, L.; Shen, Z. Further insight into the role of KAN1, a member of KANADI transcription factor family in rice. Plant Growth Regul. 2018, 84, 237–248. [Google Scholar] [CrossRef]
- Lakehal, A.; Dob, A.; Rahneshan, Z.; Novák, O.; Escamez, S.; Alallaq, S.; Strnad, M.; Tuominen, H.; Bellini, C. ETHYLENE RESPONSE FACTOR 115 integrates jasmonate and cytokinin signaling machineries to repress adventitious rooting in Arabidopsis. New Phytol. 2020, 228, 1611–1626. [Google Scholar] [CrossRef]
- Kumar, A.; Partap, M.; Warghat, A.R. Jasmonic Acid: A Versatile Phytohormone Regulating Growth, Physiology, and Biochemical Responses. J. Plant Growth Regul. 2024, 44, 131–154. [Google Scholar] [CrossRef]
- Zhai, Q.; Zhang, X.; Wu, F.; Feng, H.; Deng, L.; Xu, L.; Zhang, M.; Wang, Q.; Li, C. Transcriptional Mechanism of Jasmonate Receptor COI1-Mediated Delay of Flowering Time in Arabidopsis. Plant Cell 2015, 27, 2814–2828. [Google Scholar] [CrossRef]
- Grunewald, W.; Vanholme, B.; Pauwels, L.; Plovie, E.; Inzé, D.; Gheysen, G.; Goossens, A. Expression of the Arabidopsis jasmonate signalling repressor JAZ1/TIFY10A is stimulated by auxin. EMBO Rep. 2009, 10, 923–928. [Google Scholar] [CrossRef]
- Zhang, S.; Gao, Z.; Xu, C.; Chen, K.; Wang, G.; Zheng, J.; Lu, T. Genetic Diversity of Chinese Bayberry (Myrica rubra Sieb. et Zucc.) Accessions Revealed by Amplified Fragment Length Polymorphism. HortScience 2009, 44, 487–491. [Google Scholar] [CrossRef]
- Zhao, J.; Yu, N.; Ju, M.; Fan, B.; Zhang, Y.; Zhu, E.; Zhang, M.; Zhang, K. ABC transporter OsABCG18 controls the shootward transport of cytokinins and grain yield in rice. J. Exp. Bot. 2019, 70, 6277–6291. [Google Scholar] [CrossRef]
- Langfelder, P.; Horvath, S. WGCNA: An R package for weighted correlation network analysis. BMC Bioinf. 2008, 9, 559. [Google Scholar] [CrossRef]
- Chen, J.; Xie, L.; Lin, Y.; Zhong, B.; Wan, S. Transcriptome and weighted gene co-expression network analyses reveal key genes and pathways involved in early fruit ripening in Citrus sinensis. BMC Genom. 2024, 25, 735. [Google Scholar] [CrossRef]
- Subramanian, A.; Kuehn, H.; Gould, J.; Tamayo, P.; Mesirov, J.P. GSEA-P: A desktop application for Gene Set Enrichment Analysis. Bioinformatics 2007, 23, 3251–3253. [Google Scholar] [CrossRef]
- Mao, X.; Cai, T.; Olyarchuk, J.G.; Wei, L. Automated genome annotation and pathway identification using the KEGG Orthology (KO) as a controlled vocabulary. Bioinformatics 2005, 21, 3787–3793. [Google Scholar] [CrossRef]
- Huang, L.; Li, Y.; Lai, J.; An, Y.; Song, X.; Zhao, S.; Zhang, J.; Lu, M. Superoxide anions induce tension wood formation by promoting cambium cell activity. Plant Physiol. 2024, 197, kiae672. [Google Scholar] [CrossRef] [PubMed]















| ID | Description | NES | p-Value | q-Value |
|---|---|---|---|---|
| GO:0009653 | anatomical structure morphogenesis | 1.655262799 | 0.0017 | 0.062 |
| GO:0099402 | plant organ development | 1.739543974 | 0.0017 | 0.062 |
| GO:0006629 | lipid metabolic process | 1.759558940 | 0.0017 | 0.062 |
| GO:0048608 | reproductive structure development | 1.471478387 | 0.0017 | 0.062 |
| GO:0061458 | reproductive system development | 1.471478387 | 0.0017 | 0.062 |
| GO:0034220 | ion transmembrane transport | 1.482030812 | 0.0017 | 0.062 |
| GO:0008610 | lipid biosynthetic process | 2.129872215 | 0.0017 | 0.062 |
| GO:1905392 | plant organ morphogenesis | 2.159306723 | 0.0017 | 0.062 |
| GO:0048827 | phyllome development | 1.855942933 | 0.0018 | 0.062 |
| GO:0044255 | cellular lipid metabolic process | 1.935717388 | 0.0018 | 0.062 |
| GO:0048367 | shoot system development | 1.639307136 | 0.0018 | 0.062 |
| GO:0015849 | organic acid transport | 1.750069925 | 0.0018 | 0.062 |
| GO:0046942 | carboxylic acid transport | 1.750069925 | 0.0018 | 0.062 |
| GO:0003002 | regionalization | 1.938039429 | 0.0018 | 0.062 |
| GO:0090696 | post-embryonic plant organ development | 2.047266494 | 0.0018 | 0.062 |
| GO:0006721 | terpenoid metabolic process | 2.208318557 | 0.0019 | 0.062 |
| GO:0015979 | photosynthesis | 1.767283950 | 0.0019 | 0.062 |
| GO:0048438 | floral whorl development | 2.043995091 | 0.0019 | 0.062 |
| GO:1905393 | plant organ formation | 2.237432283 | 0.0019 | 0.062 |
| GO:0090698 | post-embryonic plant morphogenesis | 2.277590511 | 0.0018 | 0.062 |
| ID | Description | NES | p-Value | q-Value |
|---|---|---|---|---|
| GO:0009266 | response to temperature stimulus | 1.493651097 | 0.0014 | 0.067 |
| GO:0044550 | secondary metabolite biosynthetic process | 1.696530376 | 0.0015 | 0.067 |
| GO:0009408 | response to heat | 2.263549549 | 0.0015 | 0.067 |
| GO:0009636 | response to toxic substance | 1.798591204 | 0.0015 | 0.067 |
| GO:0015979 | photosynthesis | 2.247538609 | 0.0016 | 0.067 |
| GO:0048467 | gynoecium development | 2.125138952 | 0.0016 | 0.067 |
| GO:0090697 | post-embryonic plant organ morphogenesis | 1.902950628 | 0.0016 | 0.067 |
| GO:0019684 | photosynthesis, light reaction | 2.26312824 | 0.0016 | 0.067 |
| GO:0042542 | response to hydrogen peroxide | 1.963222347 | 0.0016 | 0.067 |
| GO:0048440 | carpel development | 2.206113474 | 0.0017 | 0.067 |
| GO:0048444 | floral organ morphogenesis | 2.155025208 | 0.0017 | 0.067 |
| GO:0035670 | plant-type ovary development | 1.930760936 | 0.0017 | 0.067 |
| GO:0048481 | plant ovule development | 1.930760936 | 0.0017 | 0.067 |
| GO:0009767 | photosynthetic electron transport chain | 1.94653995 | 0.0017 | 0.067 |
| GO:0009765 | photosynthesis, light harvesting | 2.194935382 | 0.0017 | 0.067 |
| GO:0048449 | floral organ formation | 2.278441944 | 0.0017 | 0.067 |
| GO:0046685 | response to arsenic-containing substance | 2.059134253 | 0.0018 | 0.067 |
| GO:0009768 | photosynthesis, light harvesting in photosystem I | 2.014041361 | 0.0018 | 0.067 |
| GO:0010093 | specification of floral organ identity | 2.062085444 | 0.0018 | 0.067 |
| GO:0090701 | specification of plant organ identity | 2.062085444 | 0.0018 | 0.067 |
Disclaimer/Publisher’s Note: The statements, opinions and data contained in all publications are solely those of the individual author(s) and contributor(s) and not of MDPI and/or the editor(s). MDPI and/or the editor(s) disclaim responsibility for any injury to people or property resulting from any ideas, methods, instructions or products referred to in the content. |
© 2025 by the authors. Licensee MDPI, Basel, Switzerland. This article is an open access article distributed under the terms and conditions of the Creative Commons Attribution (CC BY) license (https://creativecommons.org/licenses/by/4.0/).
Share and Cite
Fu, Y.; Zhang, S.; Yang, L.; Zong, Y.; Li, Y.; Qi, X.; Chen, W.; Liao, F.; Guo, W. Comprehensive Analysis of Hormonal Signaling Pathways and Gene Expression in Flesh Segment Development of Chinese Bayberry (Myrica rubra). Plants 2025, 14, 571. https://doi.org/10.3390/plants14040571
Fu Y, Zhang S, Yang L, Zong Y, Li Y, Qi X, Chen W, Liao F, Guo W. Comprehensive Analysis of Hormonal Signaling Pathways and Gene Expression in Flesh Segment Development of Chinese Bayberry (Myrica rubra). Plants. 2025; 14(4):571. https://doi.org/10.3390/plants14040571
Chicago/Turabian StyleFu, Yihan, Shuwen Zhang, Li Yang, Yu Zong, Yongqiang Li, Xingjiang Qi, Wenrong Chen, Fanglei Liao, and Weidong Guo. 2025. "Comprehensive Analysis of Hormonal Signaling Pathways and Gene Expression in Flesh Segment Development of Chinese Bayberry (Myrica rubra)" Plants 14, no. 4: 571. https://doi.org/10.3390/plants14040571
APA StyleFu, Y., Zhang, S., Yang, L., Zong, Y., Li, Y., Qi, X., Chen, W., Liao, F., & Guo, W. (2025). Comprehensive Analysis of Hormonal Signaling Pathways and Gene Expression in Flesh Segment Development of Chinese Bayberry (Myrica rubra). Plants, 14(4), 571. https://doi.org/10.3390/plants14040571

