Effect of Combined Urea and Calcium Nitrate Application on Wheat Tiller Development, Nitrogen Use Efficiency, and Grain Yield
Abstract
1. Introduction
2. Results
2.1. Pot Experiment Results
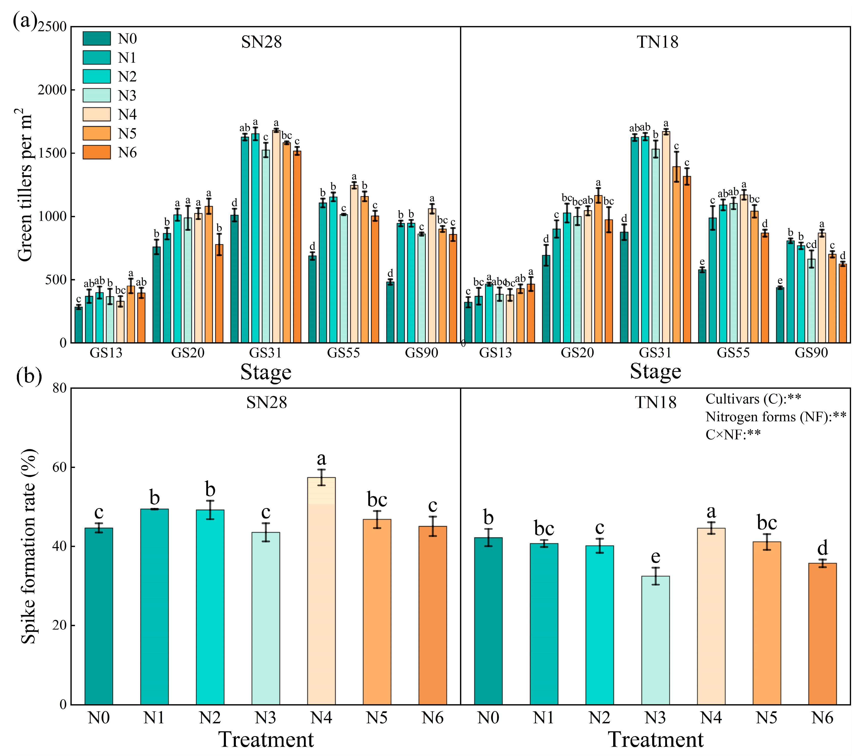
2.1.1. Effects of N Sources on the Dynamics of Tiller Growth and Tiller-to-Spike Ratio in Two Wheat Cultivars with Different Spike Types
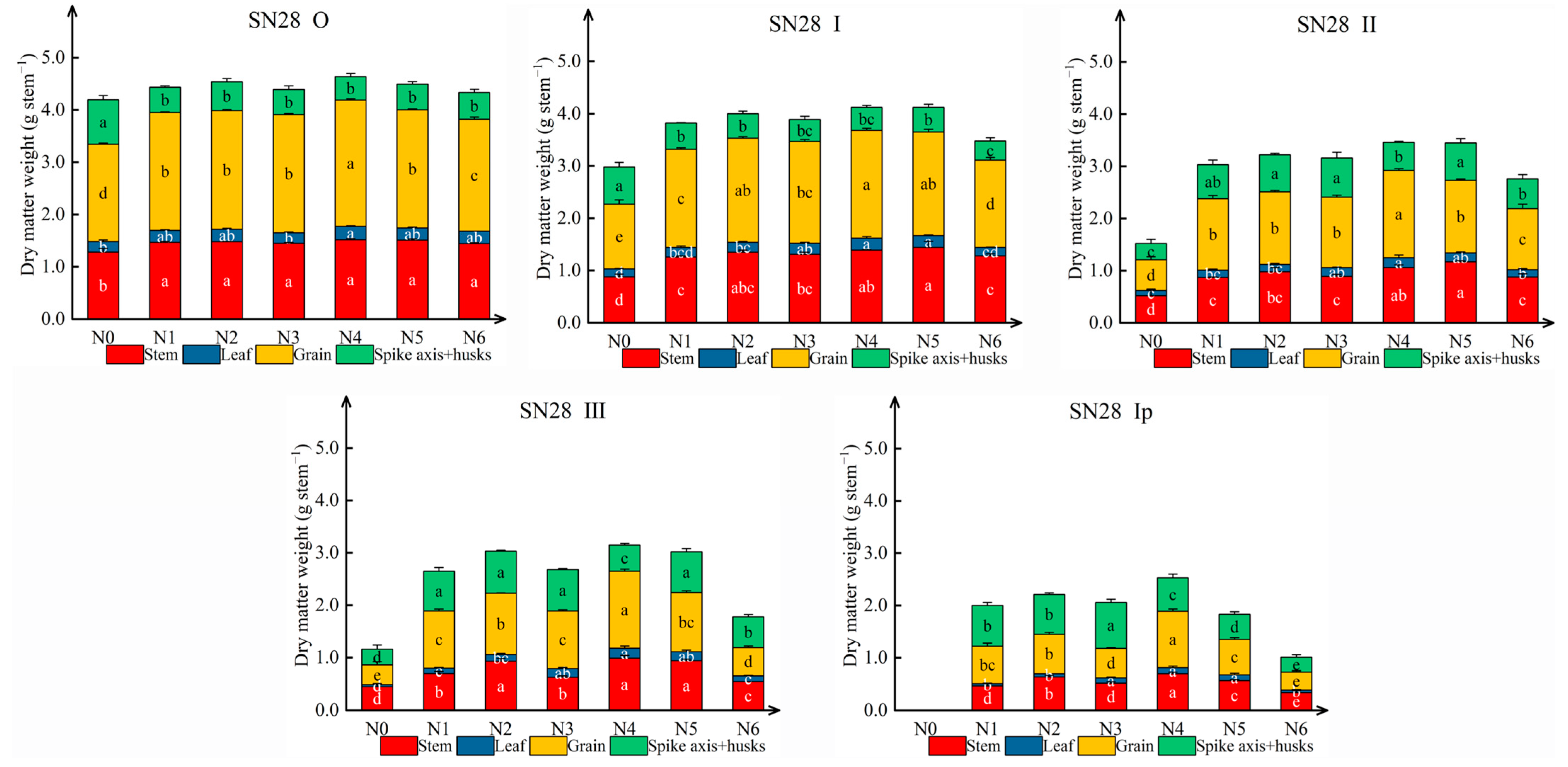
2.1.2. Effects of N Sources on Dry Matter Accumulation in Tillers at Maturity (GS90)
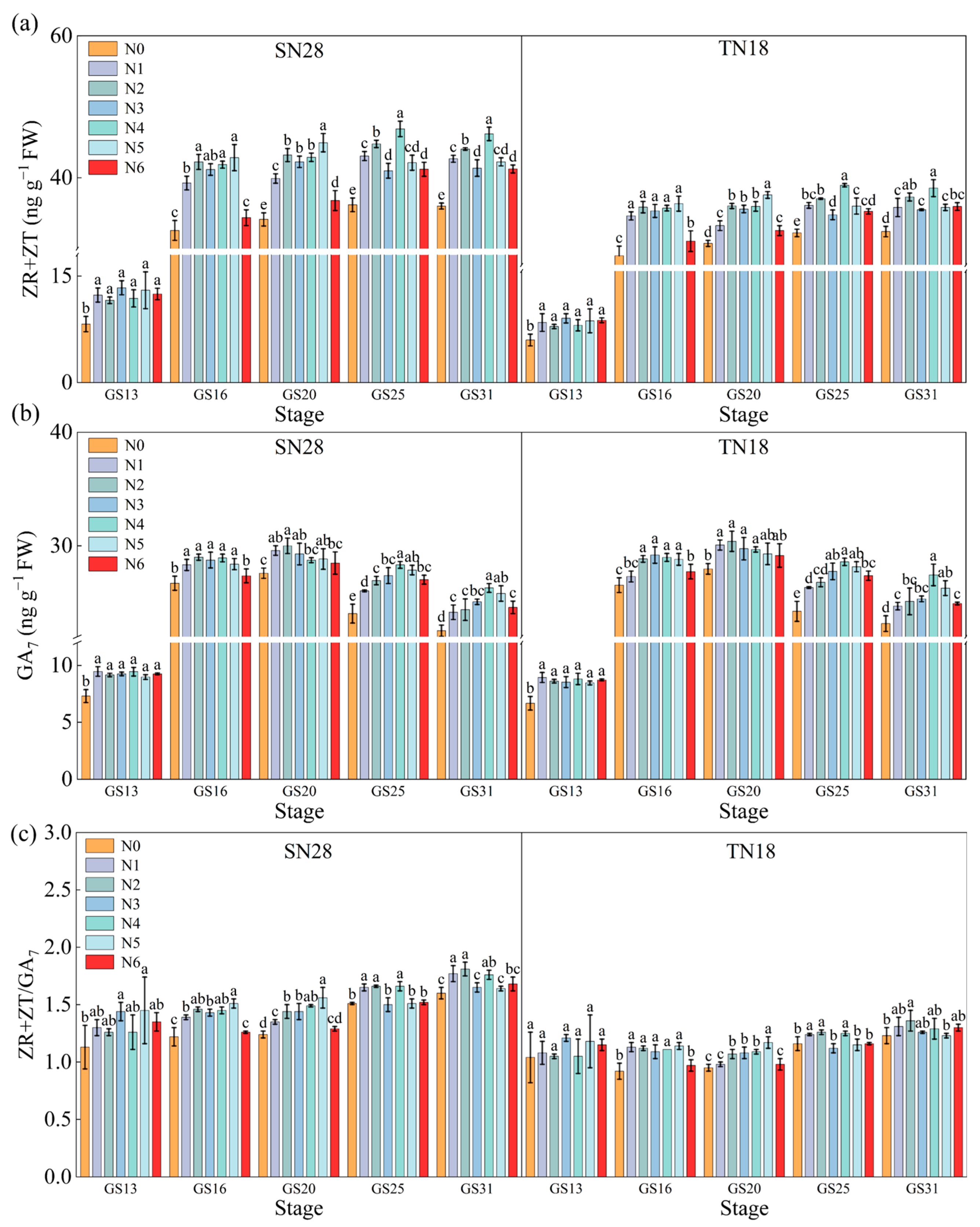
2.1.3. Effects of N Forms on Endogenous Hormones in Tillering Nodes
2.1.4. Effects of N Sources on Total N and Total Carbon (C) Content in Different Tillers of Wheat at Maturity (GS90)
Total C Content in Different Tillers
Total N Concentration in Different Tillers
2.1.5. Effects of N Sources on N Accumulation and Utilization in Wheat
N Concentration in Different Organs of Wheat
N Utilization of Wheat
2.2. Field Experiment Results
2.2.1. Effects of N Sources on the Dry Matter at Different Growth Stages
2.2.2. Yield and Yield Components
3. Discussion
3.1. The N Sources Promote Wheat Tiller Development by Regulating the Ratio of ZR + ZT to GA7
3.2. Effects of N Sources on N Accumulation and Utilization Efficiency
3.3. Effects of N Sources on Wheat Tillering, Dry Matter Accumulation, and Yield
3.4. Discussion of Limitations
4. Materials and Methods
4.1. Plant Growth Conditions
4.2. Experimental Design
4.2.1. Field Experiment
4.2.2. Pot Experiment
4.3. Sample Collection
4.4. Determination Parameters and Methods
4.4.1. Soil Properties
4.4.2. Wheat Population Dynamics Measurement
4.4.3. Aboveground Biomass at Different Growth Stages
4.4.4. Dry Matter Weight of Tiller
4.4.5. Determination of Total N and Total C Contents
4.4.6. Determination of Endogenous Hormones in Tiller Nodes
4.4.7. Wheat Yield and Its Components
4.5. Calculation Formulas for Experimental Parameters
4.6. Data Statistics and Analysis
5. Conclusions
Supplementary Materials
Author Contributions
Funding
Institutional Review Board Statement
Informed Consent Statement
Data Availability Statement
Conflicts of Interest
References
- Kasemsap, P.; Bloom, A.J. Breeding for Higher Yields of Wheat and Rice through Modifying Nitrogen Metabolism. Plants 2022, 12, 85. [Google Scholar] [CrossRef]
- Hawkesford, M.; Horst, W.; Kichey, T.; Lambers, H.; Schjoerring, J.; Molle, I.S.; White, P. Functions of macronutrients. In Marschner’s Mineral Nutrition of Higher Plants; Marschner, P., Ed.; Academic Press: Cambridge, MA, USA, 2012; pp. 135–189. [Google Scholar]
- Yi, J.; Gao, J.; Zhang, W.; Zhao, C.; Wang, Y.; Zhen, X. Differential Uptake and Utilization of Two Forms of Nitrogen in Japonica Rice Cultivars From NOrth-Eastern China. Front. Plant Sci. 2019, 10, 1061. [Google Scholar] [CrossRef] [PubMed]
- Yang, J.T.; Schneider, H.M.; Brown, K.M.; Lynch, J.P. Genotypic Variation and Nitrogen Stress Effects on Root Anatomy in Maize Are Node Specific. J. Exp. Bot. 2019, 70, 5311–5325. [Google Scholar] [CrossRef] [PubMed]
- Fioreze, S.L.; Rodrigues, J.D. Tillering Affected by Sowing Density and Growth Regulators in Wheat. Semin. Ciências Agrárias 2014, 35, 589. [Google Scholar] [CrossRef]
- Lecarpentier, C.; Barillot, R.; Blanc, E.; Abichou, M.; Goldringer, I.; Barbillon, P.; Enjalbert, J.; Andrieu, B. WALTer: A Three-Dimensional Wheat Model to Study Competition for Light through the Prediction of Tillering Dynamics. Ann. Bot. 2019, 123, 961–975. [Google Scholar] [CrossRef] [PubMed]
- Cai, T.; Xu, H.; Peng, D.; Yin, Y.; Yang, W.; Ni, Y.; Chen, X.; Xu, C.; Yang, D.; Cui, Z.; et al. Exogenous Hormonal Application Improves Grain Yield of Wheat by Optimizing Tiller Productivity. Field Crop. Res. 2014, 155, 172–183. [Google Scholar] [CrossRef]
- Tegeder, M.; Masclaux-Daubresse, C. Source and Sink Mechanisms of Nitrogen Transport and Use. New Phytol. 2018, 217, 35–53. [Google Scholar] [CrossRef]
- Hessini, K.; Issaoui, K.; Ferchichi, S.; Saif, T.; Abdelly, C.; Siddique, K.H.M.; Cruz, C. Interactive Effects of Salinity and Nitrogen Forms on Plant Growth, Photosynthesis and Osmotic Adjustment in Maize. Plant Physiol. Biochem. 2019, 139, 171–178. [Google Scholar] [CrossRef] [PubMed]
- Ye, W.; Zhang, Y.; Chen, L.; Wu, F.; Yao, Y.; Wang, W.; Wang, G. A Strongly Coupled Metal/Hydroxide Heterostructure Cascades Carbon Dioxide and Nitrate Reduction Reactions Toward Efficient Urea Electrosynthesis. Angew. Chem. 2024, 48, e202410105. [Google Scholar]
- Lyu, X.; Liu, Y.; Li, N.; Ku, L.; Hou, Y.; Wen, X. Foliar Applications of cultivars Nitrogen (N) Forms to Winter Wheat Affect Grain Protein Accumulation and Quality via N Metabolism and Remobilization. Crop J. 2022, 10, 1165–1177. [Google Scholar] [CrossRef]
- Guo, S.; Brück, H.; Sattelmacher, B. Effects of supplied nitrogen form on growth and water uptake of French bean (Phaseolus vulgaris L.) plants. Plant Soil 2002, 239, 267–275. [Google Scholar] [CrossRef]
- Ding, L.; Li, Y.; Wang, Y.; Gao, L.; Wang, M.; Chaumont, F.; Shen, Q.; Guo, S. Root ABA Accumulation Enhances Rice Seedling Drought Tolerance under Ammonium Supply: Interaction with Aquaporins. Front. Plant Sci. 2016, 7, 1206. [Google Scholar] [CrossRef] [PubMed]
- González-Hernández, A.I.; Fernández-Crespo, E.; Scalschi, L.; Hajirezaei, M.-R.; Von Wirén, N.; García-Agustín, P.; Camañes, G. Ammonium Mediated Changes in Carbon and Nitrogen Metabolisms Induce Resistance against Pseudomonas Syringae in Tomato Plants. J. Plant Physiol. 2019, 239, 28–37. [Google Scholar] [CrossRef] [PubMed]
- Tanaka, R.; Nakano, H. Barley Yield Response to Nitrogen Application under Different Weather Conditions. Sci. Rep. 2019, 9, 8477. [Google Scholar] [CrossRef] [PubMed]
- Shang, Q.; Wang, Y.; Tang, H.; Sui, N.; Zhang, X.; Wang, F. Genetic, Hormonal, and Environmental Control of Tillering in Wheat. Crop J. 2021, 9, 986–991. [Google Scholar] [CrossRef]
- Cai, T.; Meng, X.; Liu, X.; Liu, T.; Wang, H.; Jia, Z.; Yang, D.; Ren, X. Exogenous Hormonal Application Regulates the Occurrence of Wheat Tillers by Changing Endogenous Hormones. Front. Plant Sci. 2018, 9, 1886. [Google Scholar] [CrossRef] [PubMed]
- Liang, J.; Zhao, L.; Challis, R.; Leyser, O. Strigolactone Regulation of Shoot Branching in Chrysanthemum. J. Exp. Bot. 2010, 61, 3069–3078. [Google Scholar] [CrossRef] [PubMed]
- Liao, Z.; Yu, H.; Duan, J.; Yuan, K.; Yu, C.; Meng, X.; Kou, L.; Chen, M.; Jing, Y.; Liu, G.; et al. SLR1 Inhibits MOC1 Degradation to Coordinate Tiller Number and Plant Height in Rice. Nat. Commun. 2019, 10, 2738. [Google Scholar] [CrossRef]
- Lin, Q.; Zhang, Z.; Wu, F.; Feng, M.; Sun, Y.; Chen, W.; Cheng, Z.; Zhang, X.; Ren, Y.; Lei, C.; et al. The APC/CTE E3 Ubiquitin Ligase Complex Mediates the Antagonistic Regulation of Root Growth and Tillering by ABA and GA. Plant Cell 2020, 32, 1973–1987. [Google Scholar] [CrossRef]
- Marzec, M. Strigolactones Gibberellins: A New Couple Phytohorm. World? Trends Plant Sci. 2017, 22, 813–815. [Google Scholar] [CrossRef] [PubMed]
- Rahayu, Y.S. Root-Derived Cytokinins as Long-Distance Signals for NO3−-Induced Stimulation of Leaf Growth. J. Exp. Bot. 2005, 56, 1143–1152. [Google Scholar] [CrossRef] [PubMed]
- Samuelson, M.E.; Larsson, C.M. Nitrate regulation of zeation riboside levels in barley roots: Effects of inhibitors of N assimilation and comparison with ammonium. Plant Sci. 1993, 93, 77–84. [Google Scholar] [CrossRef]
- Hachiya, T.; Watanabe, C.K.; Fujimoto, M.; Ishikawa, T.; Takahara, K.; Kawai-Yamada, M.; Uchimiya, H.; Uesono, Y.; Terashima, I.; NOguchi, K. Nitrate Addition Alleviates Ammonium Toxicity Without Lessening Ammonium Accumulation, Organic Acid Depletion and Inorganic Cation Depletion in Arabidopsis Thaliana Shoots. Plant Cell Physiol. 2012, 53, 577–591. [Google Scholar] [CrossRef] [PubMed]
- Nagar, S.; Ramakrishnan, S.; Singh, V.P.; Singh, G.P.; Dhakar, R.; Umesh, D.K.; Arora, A. Cytokinin Enhanced Biomass and Yield in Wheat by Improving N-Metabolism under Water Limited Environment. Ind. J. Plant Physiol. 2015, 20, 31–38. [Google Scholar] [CrossRef]
- Sakakibara, H. CYTOKININS: Activity, Biosynthesis, and Translocation. Annu. Rev. Plant Biol. 2006, 57, 431–449. [Google Scholar] [CrossRef] [PubMed]
- Müller, D.; Leyser, O. Auxin, Cytokinin and the Control of Shoot Branching. Ann. Bot. 2011, 107, 1203–1212. [Google Scholar] [CrossRef] [PubMed]
- Hedden, P. Gibberellin Metabolism and Its Regulation. J. Plant Growth Regul. 2001, 20, 317–318. [Google Scholar] [CrossRef] [PubMed]
- Singh, A.; Roychoudhury, A. Mechanism of Crosstalk Between Cytokinin and Gibberellin. In Auxins, Cytokinins and Gibberellins Signaling in Plants; Aftab, T., Ed.; Signaling and Communication in Plants; Springer International Publishing: Cham, Germany, 2022; pp. 77–90. ISBN 978-3-031-05426-6. [Google Scholar]
- Sakakibara, H. Cytokinin Biosynthesis and Transport for Systemic Nitrogen Signaling. Plant J. 2021, 105, 421–430. [Google Scholar] [CrossRef] [PubMed]
- Garnica, M.; Houdusse, F.; Zamarreño, A.M.; Garcia-Mina, J.M. The Signal Effect of Nitrate Supply Enhances Active Forms of Cytokinins and Indole Acetic Content and Reduces Abscisic Acid in Wheat Plants Grown with Ammonium. J. Plant Physiol. 2010, 167, 1264–1272. [Google Scholar] [CrossRef]
- Wang, X.T.; Below, F.E. Tillering, Nutrient Accumulation, and Yield of Winter Wheat as Influenced by Nitrogen Form 1. J. Plant Nutr. 1995, 18, 1177–1189. [Google Scholar] [CrossRef]
- Xu, G.; Jiang, M.; Lu, D.; Wang, H.; Chen, M. Nitrogen Forms Affect the Root Characteristic, Photosynthesis, Grain Yield, and Nitrogen Use Efficiency of Rice under Different Irrigation Regimes. Crop Sci. 2020, 60, 2594–2610. [Google Scholar] [CrossRef]
- Britto, D.T.; Siddiqi, M.Y.; Glass, A.D.M.; Kronzucker, H.J. Futile Transmembrane NH4+ Cycling: A Cellular Hypothesis to Explain Ammonium Toxicity in Plants. Proc. Natl. Acad. Sci. USA 2001, 98, 4255–4258. [Google Scholar] [CrossRef] [PubMed]
- Chen, J.; Li, J.; Li, W.; Li, P.; Zhu, R.; Zhong, Y.; Zhang, W.; Li, T. The Optimal Ammonium-Nitrate Ratio for Various Crops: A Meta-Analysis. Field Crops Res. 2024, 307, 109240. [Google Scholar] [CrossRef]
- Chen, J.; Cheng, S.; Cao, W.; Zhou, X. Involvement of Endogenous Plant Hormones in the Effect of Mixed Nitrogen Source on Growth and Tillering of Wheat. J. Plant Nutr. 1998, 21, 87–97. [Google Scholar] [CrossRef]
- Ladha, J.K.; Tirol-Padre, A.; Reddy, C.K.; Cassman, K.G.; Verma, S.; Powlson, D.S.; Van Kessel, C.; De, B.; Richter, D.; Chakraborty, D.; et al. Global Nitrogen Budgets in Cereals: A 50-Year Assessment for Maize, Rice and Wheat Production Systems. Sci. Rep. 2016, 6, 19355. [Google Scholar] [CrossRef] [PubMed]
- Luo, L.; Zhang, Y.; Xu, G. How Does Nitrogen Shape Plant Architecture? J. Exp. Bot. 2020, 71, 4415–4427. [Google Scholar] [CrossRef] [PubMed]
- Cui, H.; Luo, Y.; Li, C.; Chang, Y.; Jin, M.; Li, Y.; Wang, Z. Effects of Nitrogen Forms on Nitrogen Utilization, Yield, and Quality of Two Wheat cultivars with Different Gluten Characteristics. Eur. J. Agron. 2023, 149, 126919. [Google Scholar] [CrossRef]
- Gu, J.; Li, Z.; Mao, Y.; Struik, P.C.; Zhang, H.; Liu, L.; Wang, Z.; Yang, J. Roles of Nitrogen and Cytokinin Signals in Root and Shoot Communications in Maximizing of Plant Productivity and Their Agronomic Applications. Plant Sci. 2018, 274, 320–331. [Google Scholar] [CrossRef]
- Han, S.; Wang, C.; Zheng, Y.; Lu, Z.; Dang, Y.P.; Si, J.; Li, H.; Zhao, X.; Zhang, H. The Yield and Nitrogen Use Efficiency of Winter Wheat in the North China Plain Could Be Improved through Enhanced Tiller Formation and Biomass Transport. Field Crops Res. 2024, 318, 109570. [Google Scholar] [CrossRef]
- Hurný, A.; Cuesta, C.; Cavallari, N.; Ötvös, K.; Duclercq, J.; Dokládal, L.; Montesinos, J.C.; Gallemí, M.; Semerádová, H.; Rauter, T.; et al. SYNERGISTIC ON AUXIN AND CYTOKININ 1 Positively Regulates Growth and Attenuates Soil Pathogen Resistance. Nat. Commun. 2020, 11, 2170. [Google Scholar] [CrossRef]
- WRB. World Reference Base for Soil Resources 2014: International Soil Classification Systems for Naming Soils and Creating Legends for Soil Maps (Update 2015); Food Agric. Organ. U. Nations: Rome, Italy, 2015. [Google Scholar]
- Zadoks, J.C.; Chang, T.T.; Konzak, C.F. A decimal code for the growth stages of cereals. Weed Res. 1974, 14, 415–421. [Google Scholar] [CrossRef]
- Si, Z.; Zain, M.; Mehmood, F.; Wang, G.; Gao, Y.; Duan, A. Effects of Nitrogen Application Rate and Irrigation Regime on Growth, Yield, and Water-Nitrogen Use Efficiency of Drip-Irrigated Winter Wheat in the North China Plain. Agric. Water Manag. 2020, 231, 106002. [Google Scholar] [CrossRef]
- Nelson, D.W.; Sommers, L.E. Total Carbon, Organic Carbon, and Organic Matter. In Agronomy Monographs; Page, A.L., Ed.; Wiley: Hoboken, NJ, USA, 1982; Volume 9, pp. 539–579. ISBN 978-0-89118-072-2. [Google Scholar]
- Gu, L.; Liu, T.; Zhao, J.; Dong, S.; Liu, P.; Zhang, J.; Zhao, B. Nitrate Leaching of Winter Wheat Grown in Lysimeters as Affected by Fertilizers and Irrigation on the North China Plain. J. Integr. Agric. 2015, 14, 374–388. [Google Scholar] [CrossRef]
- Bao, S. Soil and Agricultural Chemistry Analysis; China Agriculture Press: Beijing, China, 2000; pp. 178–200. [Google Scholar]
- Yan, H.; Jiang, Q.; Wang, J.; Cao, S.; Qiu, Y.; Wang, H.; Liao, Y.; Xie, X. A Triple-Stimuli Responsive Supramolecular Hydrogel Based on Methoxy-Azobenzene-Grafted Poly(Acrylic Acid) and β-Cyclodextrin Dimer. Polymer 2021, 221, 123617. [Google Scholar] [CrossRef]
- Liu, J.; Cheng, X.; Liu, P.; Sun, J. miR156-targeted SBP-box transcription factors interact with DWARF53 to regulate TEOSINTE BRANCHED1 and BARREN STALK1 expression in bread wheat. Plant Physiol. 2017, 174, 1931–1948. [Google Scholar] [CrossRef] [PubMed]
- Engelberth, M.J.; Engelberth, J. Monitoring plant hormones during stress responses. J. Vis. Exp. 2009, 28, e1127. [Google Scholar] [CrossRef]
- Delogu, G.; Cattivelli, L.; Pecchioni, N.; De Falcis, D.; Maggiore, T.; Stanca, A.M. Uptake and agronomic efficiency of nitrogen in winter barley and winter wheat. Eur. J. Agron. 1998, 9, 11–20. [Google Scholar] [CrossRef]








| Cultivars | Treatment | Spike Number (m−2) | Grain Number per Spike | 1000-Grain Weight (g) | Grain Yield (kg ha−1) |
|---|---|---|---|---|---|
| SN28 | N0 | 600.5 ± 5.62 e | 30.89 ± 1.25 c | 47.94 ± 0.24 d | 7262.33 ± 487.10 d |
| N1 | 760.5 ± 9.71 b | 31.79 ± 0.99 c | 50.35 ± 0.31 a | 9458.30 ± 41.71 ab | |
| N2 | 732.5 ± 5.56 bc | 33.89 ± 1.02 bc | 50.26 ± 0.53 a | 9277.50 ± 22.20 b | |
| N3 | 665.5 ± 10.78 d | 38.86 ± 0.89 a | 49.22 ± 0.31 bc | 8915.33 ± 92.71 bc | |
| N4 | 819.5 ± 3.10 a | 36.82 ± 1.19 ab | 49.80 ± 0.30 ab | 10061.50 ± 149.79 a | |
| N5 | 727 ± 12.23 c | 32.57 ± 1.29 c | 48.48 ± 0.42 cd | 8371.37 ± 203.39 c | |
| N6 | 717.5 ± 18.03 c | 38.93 ± 1.40 a | 47.76 ± 0.25 d | 8864.23 ± 59.77 bc | |
| TN18 | N0 | 511.5 ± 6.40 f | 36.86 ± 1.64 c | 41.23 ± 0.35 b | 6993.13 ± 149.07 d |
| N1 | 754.5 ± 18.63 b | 41.18 ± 1.65 bc | 41.51 ± 0.38 b | 9157.87 ± 47.55 a | |
| N2 | 704.5 ± 3.69 c | 44.39 ± 1.86 ab | 42.85 ± 0.23 a | 8433.23 ± 133.70 b | |
| N3 | 575.5 ± 7.41 e | 46.79 ± 1.55 ab | 41.53 ± 0.25 b | 8051.87 ± 59.18 c | |
| N4 | 797 ± 6.56 a | 47.82 ± 1.51 a | 41.91 ± 0.19 b | 9357.83 ± 71.92 a | |
| N5 | 697.0 ± 7.68 c | 45.89 ± 1.66 a | 42.87 ± 0.29 a | 8714.47 ± 42.14 b | |
| N6 | 616.0 ± 14.90 d | 45.96 ± 1.21 a | 43.36 ± 0.24 a | 8682.13 ± 117.89 b | |
| Analysis of variance | F values | ||||
| Cultivars (C) | 8.39 ** | 1376.72 ** | 1658.69 ** | 20.81 ** | |
| Nitrogen forms (NF) | 14.77 ** | 107.66 ** | 7.08 ** | 48.36 ** | |
| C × NF | 0.80 | 14.63 ** | 11.15 ** | 3.45 * | |
| Month | Cumulative Precipitation (mm) | Mean Temperature (°C) | Mean Relative Humidity (%) | Cumulative Sunshine Hours (h) |
|---|---|---|---|---|
| October 2018 | 6.7 | 13.5 | 61.8 | 227.3 |
| November 2018 | 27.9 | 7.8 | 77.0 | 116 |
| December 2018 | 8.1 | 0.1 | 58.8 | 142.4 |
| January 2019 | 0.6 | −0.9 | 53.8 | 151.6 |
| February 2019 | 2.8 | 1.3 | 60.5 | 113.9 |
| March 2019 | 3.2 | 10 | 44.1 | 249.2 |
| April 2019 | 37.1 | 15 | 55.8 | 198.6 |
| May 2019 | 10.8 | 21.2 | 48.6 | 233.3 |
| June 2019 | 38.6 | 27.7 | 50.1 | 226.7 |
Disclaimer/Publisher’s Note: The statements, opinions and data contained in all publications are solely those of the individual author(s) and contributor(s) and not of MDPI and/or the editor(s). MDPI and/or the editor(s) disclaim responsibility for any injury to people or property resulting from any ideas, methods, instructions or products referred to in the content. |
© 2025 by the authors. Licensee MDPI, Basel, Switzerland. This article is an open access article distributed under the terms and conditions of the Creative Commons Attribution (CC BY) license (https://creativecommons.org/licenses/by/4.0/).
Share and Cite
Wang, C.; Cui, H.; Jin, M.; Wang, J.; Li, C.; Luo, Y.; Li, Y.; Wang, Z. Effect of Combined Urea and Calcium Nitrate Application on Wheat Tiller Development, Nitrogen Use Efficiency, and Grain Yield. Plants 2025, 14, 277. https://doi.org/10.3390/plants14020277
Wang C, Cui H, Jin M, Wang J, Li C, Luo Y, Li Y, Wang Z. Effect of Combined Urea and Calcium Nitrate Application on Wheat Tiller Development, Nitrogen Use Efficiency, and Grain Yield. Plants. 2025; 14(2):277. https://doi.org/10.3390/plants14020277
Chicago/Turabian StyleWang, Chao, Haixing Cui, Min Jin, Jiayu Wang, Chunhui Li, Yongli Luo, Yong Li, and Zhenlin Wang. 2025. "Effect of Combined Urea and Calcium Nitrate Application on Wheat Tiller Development, Nitrogen Use Efficiency, and Grain Yield" Plants 14, no. 2: 277. https://doi.org/10.3390/plants14020277
APA StyleWang, C., Cui, H., Jin, M., Wang, J., Li, C., Luo, Y., Li, Y., & Wang, Z. (2025). Effect of Combined Urea and Calcium Nitrate Application on Wheat Tiller Development, Nitrogen Use Efficiency, and Grain Yield. Plants, 14(2), 277. https://doi.org/10.3390/plants14020277
