Antioomycete Nanoformulation for Biocontrol of English Walnut Crown and Root Rot Caused by Phytophthora cinnamomi
Abstract
1. Introduction
2. Results
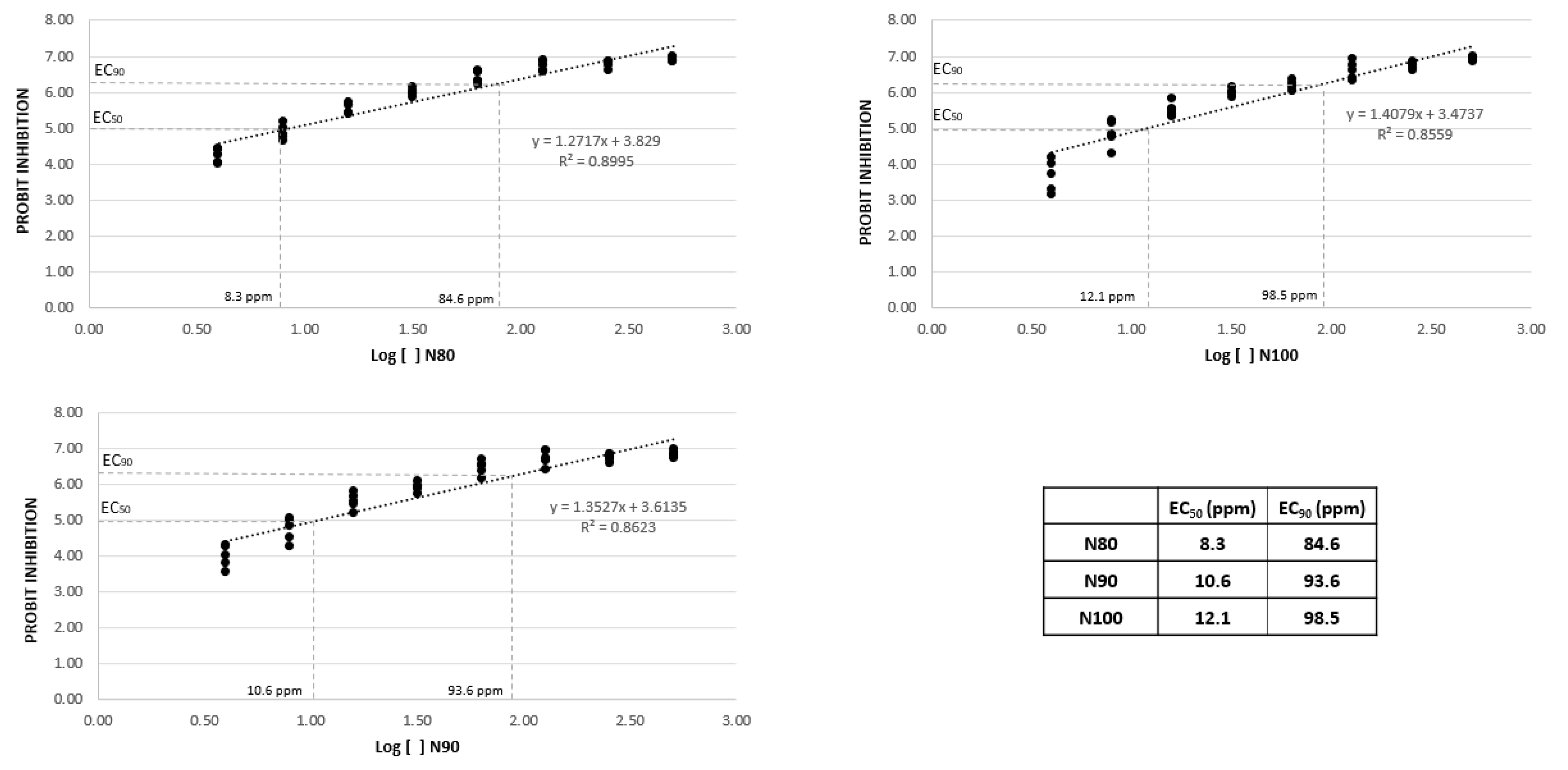
2.1. In Vitro Trial of Nanoemulsions for the Inhibition of P. cinnamomi Mycelium
2.2. Greenhouse Trial of Nanoemulsions in Plants Inoculated with P. cinnamomi
2.3. Field Trial of Nanoemulsions on Plants Inoculated with P. cinnamomi
2.4. Preventive and Post-Inoculation Field Trial with N90 Nanoemulsion on Walnut Plants
3. Discussion
4. Materials and Methods
4.1. In Vitro Trial of Nanoemulsions in Inhibiting P. cinammomi Mycelium
4.2. Greenhouse Trial of Nanoemulsions in Plants Inoculated with P. cinnamomi
4.3. Field Trial of Nanoemulsions on Plants Inoculated with P. cinnamomi
4.4. Preventive and Post-Inoculation Field Trial with N90 Nanoemulsion on Walnut Plants
5. Conclusions
6. Patent
Author Contributions
Funding
Data Availability Statement
Acknowledgments
Conflicts of Interest
References
- FAOSTAT. Crops and Livestock Products. Available online: http://www.fao.org/faostat/en/#data/QC (accessed on 30 August 2024).
- ODEPA. Boletín de la Fruta. 2024. Available online: https://www.odepa.gob.cl/publicaciones/boletines/boletin-de-fruta-septiembre-2024 (accessed on 29 September 2024).
- Jimenez Luna, I.; Besoain, X.; Saa, S.; Peach-Fine, E.; Cádiz, F.; Morales, N.; Escurra, V.E.T.; Ashworth, M.; Rolshausen, P.E. Identity and pathogenicity of Botryosphaeriaceae and Diaporthaceae from Juglans regia in Chile. Phytopathol. Mediterr. 2022, 61, 79–94. [Google Scholar] [CrossRef]
- Zabiák, A.; Kovács, C.; Takács, F.; Pál, K.; Peles, F.; Fekete, E.; Karaffa, L.; Mihály, K.; Flipphi, M.; Sándor, E. Diaporthe and Diplodia species associated with walnut (Juglans regia L.) in Hungarian Orchards. Horticulturae 2023, 9, 205. [Google Scholar] [CrossRef]
- Belisario, A.; Maccaroni, M.; Vettraino, A.M.; Vannini, A.; Valier, A. Phytophthora species associated with decline and death of English walnut in Italy and France. Acta Hortic. 2005, 705, 401–407. [Google Scholar] [CrossRef]
- Guajardo, J.; Saa, S.; Camps, R.; Besoain, X. Outbreak of crown and root rot of walnut caused by Phytophthora cinnamomi in Chile. Plant Dis. 2017, 101, 636. [Google Scholar] [CrossRef]
- Cahill, D.M.; Rookes, J.E.; Wilson, B.A.; Gibson, L.; McDougall, K.L. Phytophthora cinnamomic and Australia’s biodiversity: Impacts, predictions and progress towards control. Aust. J. Bot. 2008, 56, 279–310. [Google Scholar] [CrossRef]
- Jung, T.; Colquhoun, I.; Hardy, G. New insights into the survival strategy of the invasive soilborne pathogen Phytophthora cinnamomi in different natural ecosystems in Western Australia. For. Pathol. 2013, 43, 266–288. [Google Scholar] [CrossRef]
- Shands, A.C.; Xu, G.; Belisle, R.J.; Seifbarghi, S.; Jackson, N.; Bombarely, A.; Cano, L.M.; Manosalva, P.M. Genomic and transcriptomic analyses of Phytophthora cinnamomi reveal complex genome architecture, expansion of pathogenicity factors, and host-dependent gene expression profiles. Front. Microbiol. 2024, 15, 1341803. [Google Scholar] [CrossRef]
- Davidson, E. Phytophthora cinnamomi (Phytophthora dieback); CABI Compendium; CABI: Wallingford, UK, 2011; Datasheet No. 40957. [Google Scholar]
- Zentmyer, G.A. Avocado diseases in the Americas. Ceiba 1961, 9, 61–79. [Google Scholar]
- Zentmyer, G.A. Phytophthora cinnamomi and the Diseases It Causes; American Phytopathological Society: St. Paul, MN, USA, 1980; Volume 96. [Google Scholar]
- Belisario, A.; Maccaroni, M.; Vettraino, A.M. Phytophthora cinnamomi agente del marciume basale del noce nell’Italia settentrionale. Petria 2001, 11, 149–157. [Google Scholar]
- Vettraino, A.M.; Belisario, A.; Macaroni, M.; Anselmi, N.; Vannini, A. Evaluation of root damage to English walnut caused by five Phytophthora species. Plant Pathol. 2003, 52, 491–495. [Google Scholar] [CrossRef]
- Millar, J.; Lemus, G. Principales enfermedades de nogal. In Manual Producción de Nueces de Nogal en Chile; Bianchini, R., Millar, J., Eds.; Chilenut: Santiago, Chile, 2010; pp. 69–76. [Google Scholar]
- Hardham, A.R.; Blackman, L.M. Phytophthora cinnamomi . Mol. Plant Pathol. 2018, 19, 260–285. [Google Scholar] [CrossRef] [PubMed]
- Crone, M.; McComb, J.A.; O’Brien, P.A.; Hardy, G.E. Survival of Phytophthora cinnamomi as oospores, stromata, and thick-walled chlamydospores in roots of symptomatic and asymptomatic annual and herbaceous perennial plant species. Fungal Biol. 2013, 117, 112–123. [Google Scholar] [CrossRef] [PubMed]
- Browne, G.; Bhat, R.; Schmidt, L.; Leslie, C.; Michailides, T.; Hackett, W.; Robinson, R.; Kluepfel, D.; Aradhya, M.; Beede, B.; et al. Etiology and management of crown and root rots of walnut. In Walnut Research Reports; University of California: Davis, CA, USA, 2012. [Google Scholar]
- Kurbetli, I. Phytophthora cinnamomi Associated with root and crown rot of walnut in Turkey. J. Phytophathology 2013, 161, 287–289. [Google Scholar] [CrossRef]
- Fox, R.T.V. Fungal foes in your garden no 13: Phytophthora root rot. Mycologist 1991, 5, 119. [Google Scholar] [CrossRef]
- Morales, J.; Besoain, X.; Cuneo, I.F.; Larach, A.; Alvarado, L.; Cáceres-Mella, A.; Saa, S. Impacto f nitrogen fertilization on Phytophthora cinnamomic root-related damage in Juglans regia saplings. HortScience 2019, 54, 2188–2194. [Google Scholar] [CrossRef]
- Beaulieu, J.; del Castillo, J.; Balci, Y. Detection of oomycide-insensitive Phytophthora isolates in Maryland ornamental nurseries and mid-Atlantic landscapes provide data for reconsidering management strategies. Plant Health Prog. 2021, 22, 281–286. [Google Scholar] [CrossRef]
- Hunter, S.; McDougal, R.; Williams, N.; Scott, P. Evidence of phosphite tolerance in Phytophthora cinnamomi from New Zealand Avocado Orchards. Plant Dis. 2023, 107, 393–400. [Google Scholar] [CrossRef]
- Browne, G.; Leslie, C.; Grant, J.; Bhat, R.; Schmidt, L.; Hackett, W.; Kluepfel, D.; Robinson, R.; McGranahan, G. Resistance to species of Phytophthora identified among clones of Juglans microcarpa × J. regia. HortScience 2015, 50, 1136–1142. [Google Scholar] [CrossRef]
- Alvarado, L.; Saa, S.; Cuneo, I.F.; Pedreschi, R.; Morales, J.; Larach, A.; Barros, W.; Guajardo, J.; Besoain, X. A comparison of immediate and short-term defensive responses to Phytophthora species infection in both susceptible and resistant walnut rootstocks. Plant Dis. 2020, 104, 921–929. [Google Scholar] [CrossRef]
- Drenth, A.; Guest, D.I. Principles of Phytophthora disease management. In Diversity and Management of Phytophthora in Southeast Asia; Drenth, A., Guest, D.I., Eds.; Australian Centre for International Agricultural Research—ACIAR Monograph: Canberra, Australia, 2004; Volume 114, pp. 154–160. [Google Scholar]
- Cenobio-Galindo, A.d.J.; Hernández-Fuentes, A.D.; González-Lemus, U.; Zaldívar-Ortega, A.K.; González-Montiel, L.; Madariaga-Navarrete, A.; Hernández-Soto, I. Biofungicides based on plant extracts: On the road to organic farming. Int. J. Mol. Sci. 2024, 25, 6879. [Google Scholar] [CrossRef] [PubMed]
- Bamisaye, A.; Adegoke, K.A.; Alli, Y.A.; Bamidele, M.O.; Idowu, M.A.; Ogunjinmi, O.E. Recent advances in nanoemulsion for sustainable development of farm-to-fork systems. J. Clean. Prod. 2023, 429, 139226. [Google Scholar] [CrossRef]
- Madhuri, S.; Choudhary, A.; Kumar, R. Nanotechnology in agricultural diseases and food safety: A review. J. Phytol. 2010, 2, 83–92. [Google Scholar]
- Credence Research Inc. Nanoemulsion Market. Available online: https://www.credenceresearch.com/report/nanoemulsion-market (accessed on 31 October 2024).
- Din, M.I.; Rehan, R. Synthesis, characterization, and applications of copper nanoparticles. Anal. Lett. 2017, 50, 50–62. [Google Scholar] [CrossRef]
- Rolim, W.R.; Pelegrino, M.T.; de Araújo Lima, B.; Ferraz, L.S.; Costa, F.N.; Bernardes, J.S.; Rodigues, T.; Brocchi, M.; Seabra, A.B. Green tea extract mediated biogenic synthesis of silver nanoparticles: Characterization, cytotoxicity evaluation and antibacterial activity. Appl. Surf. Sci. 2019, 463, 66–74. [Google Scholar] [CrossRef]
- Kumar, S.; Nehra, M.; Dilbaghi, N.; Marrazza, G.; Hassan, A.; Kim, K. Nano-based smart pesticide formulations: Emerging opportunities for agriculture. J. Control. Release 2019, 294, 131–153. [Google Scholar] [CrossRef]
- Madrid, A.; Silva, V. Past, present and future of Psoralea glandulosa Linn, Chilean medicinal plant, an inexhaustible resource: A literature review. Bol. Latinoam. Caribe Plantas Med. Aromát. 2024, 23, 336–348. [Google Scholar] [CrossRef]
- Madrid, A.; Díaz Peralta, K.; González Tapia, C.; Catalán Marín, K.; Espinoza, L. Antiphytopathogenic activity of Psoralea glandulosa (Fabaceae) against Botrytis cinerea and Phytophthora cinnamomic. Nat. Prod. Res. 2014, 29, 1–3. [Google Scholar]
- Montenegro, I.; Sánchez, E.; Werner, E.; Godoy, P.; Olguín, Y.; Caro, N.; Ehrenfeld, N.; Madrid, A. Isolation and identification of compounds from the resinous exudate of Escallonia illinita Presl. and their anti-oomycete activity. BMC Chem. 2019, 13, 1. [Google Scholar] [CrossRef]
- Montenegro, I.; Valenzuela Ormeño, M.; Seeger, M.; Besoain, X.; Godoy, P.; Werner, E.; Caro, N.; Olguín, Y.; Valenzuela, M.; Silva, V.; et al. Natural bactericidal effects of Psoralea glandulosa Essential oil for the control of bacterial canker and speckin tomato. Agronomy 2024, 14, 2615. [Google Scholar] [CrossRef]
- Madrid, A.; Espinoza, L.; Mellado, M.; Montenegro, I.; González, C.; Santander, R.; Villena, J.; Jara, C. Study of the chemical composition of the resinous exudate isolated from Psoralea glandulosa and evaluation of the antioxidant properties of the terpenoids and the resin. Bol. Latinoam. Caribe Plantas Med. Aromát. 2013, 12, 338–345. [Google Scholar]
- Sulaiman, C.T.; Jyothi, C.K.; Jinu, G.; Prabhukumar, K.M.; Indira, B. Phytochemical characterization and evaluation of anti-amnesic activity of two source plants of Shankhapushpi. Brain Behav. Immun. Integr. 2024, 8, 100085. [Google Scholar]
- Shahbaz, M.U.; Arshad, M.; Mukhtar, K.; Nabi, B.G.; Goksen, G.; Starowicz, M.; Nawaz, A.; Ahmad, I.; Walayat, N.; Manzoor, M.F.; et al. Natural plant extracts: An update about novel spraying as an alternative of chemical pesticides to extend the postharvest shelf life of fruits and vegetables. Molecules 2022, 27, 5152. [Google Scholar] [CrossRef] [PubMed]
- López, G.; Mellado, M.; Werner, E.; Said, B.; Godoy, P.; Caro, N.; Besoain, X.; Montenegro, I.; Madrid, A. Sonochemical synthesis of 2’-Hydroxy-chalcone derivatives with potential anti-oomycete activity. Antibiotics 2020, 9, 576. [Google Scholar] [CrossRef]
- Ochoa Fuentes, Y.M.; Hernández Pérez, A.; Delgado Ortiz, J.C.; Hernández Bautista, O.; Cerna Chavez, E.; Aguirre Uribe, L.A.; Tapia Vargas, L.M. Control orgánico in vitro de Phytophthora cinnamomi con aceites esenciales de orégano y clavo. Rev. Mex. Cienc. Agríc. 2019, 10, 961–968. [Google Scholar] [CrossRef]
- Andrade-Hoyos, P.; Urrieta-Velázquez, J.A.; Landero-Valenzuela, N.; Reyes-de la Cruz, H.; Sampayo-Maldonado, S.; Luna-Cruz, A. Potential of essential oils in the control of Phytophthora cinnamomi Rands and Fusarium sp. in vitro in Cinnamomum verum. Rev. Terra Latinoam. 2022, 40, 1–10. [Google Scholar]
- Aravena, R.; Riquelme, N.; Salinas, A.; Valenzuela, M.; Oyanedel, E.; Barros, W.; Olguin, Y.; Madrid, A.; Alvear, M.; Besoain, X. Antifungal nanoformulation for biocontrol of tomato root and crown rot caused by Fusarium oxysporum f. sp. radicis-lycopersici. Antibiotics 2021, 10, 1132. [Google Scholar] [CrossRef]
- Matei, P.M.; Martín-Gil, J.; Michaela Iacomi, B.; Pérez-Lebeña, E.; Barrio-Arredondo, M.T.; Martín-Ramos, P. Silver nanoparticles and polyphenol inclusion compounds composites for Phytophthora cinnamomi mycelial growth inhibition. Antibiotics 2018, 7, 76. [Google Scholar] [CrossRef]
- Du, C.; Hu, H.; Zhu, G.; Duan, Z.; Shen, Y.; Lin, L.; Lu, J.; Zheng, Z. Microencapsulation of Pickering nanoemulsions containing walnut oil stabilized using soy protein–curcumin composite nanoparticles: Fabrication and evaluation of a novel plant-based milk substitute. Food Chem. 2024, 12, 26. [Google Scholar] [CrossRef]
- Godlewska, K.; Ronga, D.; Michalak, I. Plant extracts—Importance in sustainable agriculture. Ital. J. Agron. 2021, 16, 1851. [Google Scholar] [CrossRef]
- Heflish, A.A.; Abdelkhalek, A.; Al-Askar, A.A.; Behiry, S.I. Protective and curative effects of Trichoderma asperelloides Ta41 on tomato root rot caused by Rhizoctonia solani Rs33. Agronomy 2021, 11, 1162. [Google Scholar] [CrossRef]
- Guajardo, J.; Saa, S.; Riquelme, N.; Browne, G.; Youlton, C.; Castro, M.; Besoain, X. Characterization of oomycete species associated with root and crown rot of English walnut in Chile. Plant Dis. 2019, 103, 691–696. [Google Scholar] [CrossRef] [PubMed]
- Finney, D.J. Probit Analysis; Cambridge University Press: Cambridge, UK, 1952. [Google Scholar]
- Todd, L.R.; Kommedahl, T. Image analysis and visual estimates for evaluating disease reactions of corn to Fusarium stalk rot. Plant Dis. 1994, 78, 876–878. [Google Scholar] [CrossRef]







Disclaimer/Publisher’s Note: The statements, opinions and data contained in all publications are solely those of the individual author(s) and contributor(s) and not of MDPI and/or the editor(s). MDPI and/or the editor(s) disclaim responsibility for any injury to people or property resulting from any ideas, methods, instructions or products referred to in the content. |
© 2025 by the authors. Licensee MDPI, Basel, Switzerland. This article is an open access article distributed under the terms and conditions of the Creative Commons Attribution (CC BY) license (https://creativecommons.org/licenses/by/4.0/).
Share and Cite
Salinas, A.; Montenegro, I.; Olguín, Y.; Riquelme, N.; Castillo-Novales, D.; Larach, A.; Alvarado, L.; Bravo, G.; Madrid, A.; Álvaro, J.E.; et al. Antioomycete Nanoformulation for Biocontrol of English Walnut Crown and Root Rot Caused by Phytophthora cinnamomi. Plants 2025, 14, 257. https://doi.org/10.3390/plants14020257
Salinas A, Montenegro I, Olguín Y, Riquelme N, Castillo-Novales D, Larach A, Alvarado L, Bravo G, Madrid A, Álvaro JE, et al. Antioomycete Nanoformulation for Biocontrol of English Walnut Crown and Root Rot Caused by Phytophthora cinnamomi. Plants. 2025; 14(2):257. https://doi.org/10.3390/plants14020257
Chicago/Turabian StyleSalinas, Aldo, Iván Montenegro, Yusser Olguín, Natalia Riquelme, Diyanira Castillo-Novales, Alejandra Larach, Laureano Alvarado, Guillermo Bravo, Alejandro Madrid, Juan E. Álvaro, and et al. 2025. "Antioomycete Nanoformulation for Biocontrol of English Walnut Crown and Root Rot Caused by Phytophthora cinnamomi" Plants 14, no. 2: 257. https://doi.org/10.3390/plants14020257
APA StyleSalinas, A., Montenegro, I., Olguín, Y., Riquelme, N., Castillo-Novales, D., Larach, A., Alvarado, L., Bravo, G., Madrid, A., Álvaro, J. E., & Besoain, X. (2025). Antioomycete Nanoformulation for Biocontrol of English Walnut Crown and Root Rot Caused by Phytophthora cinnamomi. Plants, 14(2), 257. https://doi.org/10.3390/plants14020257

