Enhancing Acclimatization Conditions for Vriesea splendens ‘Fire’: A Comparative Analysis of Substrate Effects on Growth and Survival
Abstract
1. Introduction
2. Results
2.1. Morphological and Physiological Characteristics
2.1.1. Number of Shoots
First Trial (One-Step Acclimatization in Greenhouse Conditions)
2.1.2. Second Trial (Two–Step Acclimatization)
2.2. The Plant Height
2.3. Plant Fresh Weight
2.3.1. First Trial
2.3.2. Second Trial
2.4. Leaf Length
2.5. The Number of Roots
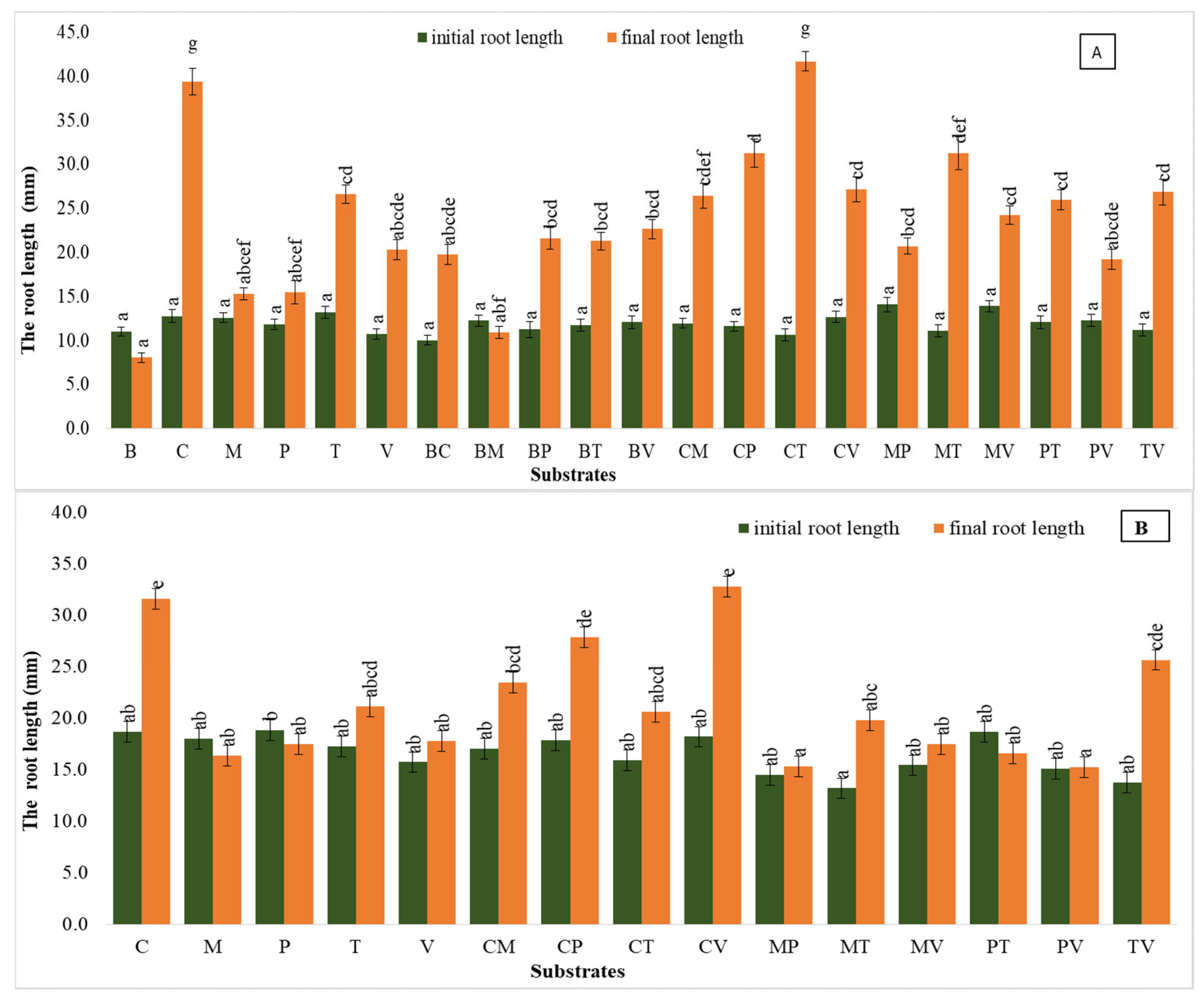
2.6. Longest Root Lengths
2.7. Total Chlorophyll Content
2.8. Carotenoid Content
2.9. Survival Rate in the First and Second Acclimatization
3. Discussion
4. Materials and Methods
4.1. Plant Material
4.2. Pre-Treatment
4.3. Selection of Study Groups
4.4. Acclimatization of V. splendens ‘Fire’ in Greenhouse Conditions (in One Step, First Acclimatization)
4.5. Two-Step Acclimatization of V. splendens ‘Fire’ in Laboratory and Greenhouse Conditions
Acclimatization Process
- Laboratory phase: cleaned and separated shoots were planted in 200 mL glass jars filled with one of the 10 substrate combinations listed below, in Table 3. Each jar was covered with a double layer of foil to maintain humidity (Figure 13(4B)). Plants were grown in a culture room under pre-treatment lighting and temperature conditions (as detailed in Section 2.2) for three months (Figure 13).
- Greenhouse phase: plants with developed root systems were then transferred to 104-cell plug trays, using the same substrate types from the laboratory phase. After two months, the surviving plants were assessed based on morphological and physiological parameters, consistent with the first acclimatization trial. The entire process spanned five months, including both steps. Each substrate treatment was applied to 30 plants, totaling 300 plants in this trial. Morphological and physiological data were collected at the end of the five-month period, providing comparative insights between the first and second acclimatization trials.
4.6. Morphological and Physiological Characteristics of V. splendens Measured Both After Pre-Treatment and at the End of the Acclimatization Process, for Both the First and Second Phases
4.6.1. Morphological Features
4.6.2. Physiological Features
Pigment Extraction
4.7. Survival Rate
4.8. Statistical Analysis
5. Conclusions
Author Contributions
Funding
Data Availability Statement
Conflicts of Interest
References
- Lemaire, C.; Scheidweiler, M.J.F.; van Houtte, L.P.T.D.t.-B. Flore Des Serres et des Jardins de l’Europe (Misc.). Federação de Horticultores da Bélgica; Atel. de Lithogr. et de Peinture de L. Van Houtte et Imp. de C. Annoot-Braekman: Mumbai, India, 1857; Volume 12. [Google Scholar]
- Luther, H.E.; No, K.F. Epiphytism in Bromeliaceae: A Synopsis. Selbyana 2008, 29, 215–216. [Google Scholar]
- Gomes-da-Silva, J.; Souza-Chies, T.T. What Actually Is Vriesea? A Total Evidence Approach in a Polyphyletic Genus of Tillandsioideae (Bromeliaceae, Poales). Cladistics 2018, 34, 181–199. [Google Scholar] [CrossRef] [PubMed]
- Benzing, D.H. Bromeliaceae: Profile of an Adaptive Radiation; Cambridge University Press: Cambridge, UK, 2000. [Google Scholar]
- Benzing, D.H. Bromeliad Trichomes: Structure, Function, and Ecological Significance. Selbyana 1976, 1, 330–348. [Google Scholar]
- Faria, C.G.; Silva, A.S.; de Melo, R.K.P.; Medeiros, A.M.L.; Donato, A.M.; da Costa, A.F.; de Sá Haiad, B. Leaf Anatomy of Vriesea (Tillandsioideae–Bromeliaceae). Brittonia 2021, 73, 27–52. [Google Scholar] [CrossRef]
- Vervaeke, I.; Wouters, J.; Londers, E.; Deroose, R.; De Proft, M.P. Morphology of Artificial Hybrids of Vriesea splendens × Tillandsia cyanea and V. splendens × Guzmania lingulata (Bromeliaceae). Ann. Bot. Fenn. 2004, 41, 201–208. [Google Scholar]
- Vervaeke, I.; Deroose, R.; de Proft, M.D. Interspecific and Intergeneric Hybridization in Bromeliaceae. Acta Hortic. 2003, 624, 77–83. [Google Scholar] [CrossRef]
- Negrelle, R.R.B.; Mitchell, D.; Anacleto, A. Bromeliad Ornamental Species: Conservation Issues and Challenges Related to Commercialization. Acta Sci. Biol. Sci. 2012, 34, 91–100. [Google Scholar] [CrossRef]
- Llamozas, S.; de Stefano, R.; Meier, W.; Riina, R.; Aymard, G.; Huber, O.; Ortiz, R. Libro Rojo de La Flora Venezolana; Litografía Imagen Color; FAO: Rome, Italy, 2003. [Google Scholar]
- Versieux, L.M. Brazilian Plants Urgently Needing Conservation: The Case of Vriesea minarum (Bromeliaceae). Phytotaxa 2009, 28, 35–49. [Google Scholar] [CrossRef][Green Version]
- Engelmann, F.; Engels, J.M.M. Technologies and Strategies for Ex Situ Conservation. In Managing Plant Genetic Diversity; CABI Publishing: Wallingford, UK, 2002. [Google Scholar]
- Silva, M.A.d.S.; Varassin, I.G. Effect of Rosette Size, Clonality and Spatial Distribution on the Reproduction of Vriesea carinata (Bromeliaceae) in the Atlantic Forest of Paraná, Southern Brazil. Acta Bot. Bras. 2016, 30, 401–406. [Google Scholar] [CrossRef]
- Scrok, G.J.; Varassin, I.G. Reproductive Biology and Pollination of Aechmea distichantha Lem. (Bromeliaceae). Acta Bot. Bras. 2011, 25, 571–576. [Google Scholar] [CrossRef]
- da Costa, A.F. Vriesea (Bromeliaceae, Tillandsioideae): Taxonomic History, and Morphology of the Brazilian Lineage1. J. Torrey Bot. Soc. 2014, 141, 338–352. [Google Scholar] [CrossRef]
- Sampaio, M.C.; Perissé, L.E.; de Oliveira, G.A.; Rios, R.I. The Contrasting Clonal Architecture of Two Bromeliads from Sandy Coastal Plains in Brazil. Flora-Morphology, Distrib. Funct. Ecol. Plants 2002, 197, 443–451. [Google Scholar] [CrossRef]
- Alves, G.M.; Dal Vesco, L.L.; Guerra, M.P. Micropropagation of the Brazilian Endemic Bromeliad Vriesea Reitzii Trough Nodule Clusters Culture. Sci. Hortic. 2006, 110, 204–207. [Google Scholar] [CrossRef]
- Ördögh, M. Morphological, Physiological Features and Differences of Vriesea Splendens’ Fire’ plants During in Vitro Multiplication and Rooting. Int. J. Hortic. Sci. 2022, 28, 78–85. [Google Scholar] [CrossRef]
- Filho, A.R.; Vesco, L.L.D.; Nodari, R.O.; Lischka, R.W.; Müller, C.V.; Guerra, M.P. Tissue Culture for the Conservation and Mass Propagation of Vriesea Reitzii Leme and Costa, a Bromeliad Threatened of Extinction from the Brazilian Atlantic Forest. Biodivers. Conserv. 2005, 14, 1799–1808. [Google Scholar] [CrossRef]
- Dal Vesco, L.L.; Pescador, R.; Prado, J.P.C.; Welter, L.J.; Guerra, M.P. In Vitro Propagation of Vriesea Reitzii, a Native Epiphyte Bromeliad from the Atlantic Rainforest. Acta Sci. Biol. Sci. 2014, 36, 271–278. [Google Scholar] [CrossRef]
- Kämpf, A.N.; Fior, C.S.; Leonhardt, C. Lowering PH Value with Elemental Sulfur in the Substrate for Ex Vitro Acclimatization. In Proceedings of the III International Symposium on Acclimatization and Establishment of Micropropagated Plants, Faro, Portugal, 12 September 2007; pp. 415–420. [Google Scholar]
- Pedroso, A.N.V.; Lazarini, R.A.d.M.; Tamaki, V.; Nievola, C.C. In Vitro Culture at Low Temperature and Ex Vitro Acclimatization of Vriesea Inflata an Ornamental Bromeliad. Rev. Bras. Botânica 2010, 33, 407–414. [Google Scholar] [CrossRef]
- Freitas, C.; Carvalho, V.; Nievola, C.C. Effect of Sucrose Concentrations on In Vitro Growth and Subsequent Acclimatization of the Native Bromeliad Vriesea Inflata (Wawra) Wawra. Biotemas 2015, 28, 37–42. [Google Scholar] [CrossRef]
- Sasamori, M.H.; Júnior, D.E.; Droste, A. In Vitro Propagation of Vriesea Incurvata: Conservation of a Bromeliad Endemic to the Atlantic Forest. Iheringia Série Botânica 2018, 73, 151–158. [Google Scholar] [CrossRef]
- Correll, M.J.; Weathers, P.J. One-step Acclimatization of Plantlets Using a Mist Reactor. Biotechnol. Bioeng. 2001, 73, 253–258. [Google Scholar] [CrossRef]
- Preece, J.E. Acclimatization of Plantlets from In Vitro to the Ambient Environment. In Encyclopedia of Industrial Biotechnology; Wiley: Hoboken, NJ, USA, 2010; pp. 1–9. [Google Scholar]
- Jagiełło-Kubiec, K.; Nowakowska, K.; Łukaszewska, A.J.; Pacholczak, A. Acclimation to Ex Vitro Conditions in Ninebark. Agronomy 2021, 11, 612. [Google Scholar] [CrossRef]
- Mirani, A.A.; Abul-Soad, A.A.; Markhand, G.S. Effect of Different Substrates on Survival and Growth of Transplanted Orchids (Dendrobium nobile Cv.) into Net House. Int. J. Hortic. Floric. 2017, 5, 310–317. [Google Scholar]
- Vihabwa Abishay, K.; Arnaud, A.; Bienvenu Témidouan, B.; Todedji Jean-Marie, T.; Wallis Nouhoun, Z.; Corneille, A. Effect of Substrate Type on Survival and Growth of Sweet Potato Vitroplants Under Acclimatization. J. Plant Sci. 2023, 12, 1–8. [Google Scholar] [CrossRef]
- Offord, C.A.; Campbell, L.C. Micropropagation of Telopea Speciosissima R. Br. (Proteaceae). 2: Rhizogenesis and Acclimatisation to Ex Vitro Conditions. Plant Cell. Tissue Organ Cult. 1992, 29, 223–230. [Google Scholar] [CrossRef]
- Atawia, A.R.; Abd El-Latif, F.M.; El-Gioushy, S.F.; Sherif, S.S.; Kotb, O.M. Studies on Micropropagation of Pineapple (Ananas comosus L.). Middle East J. Agric. Res. 2016, 5, 224–232. [Google Scholar]
- Lakho, M.A.; Jatoi, M.A.; Solangi, N.; Abul-Soad, A.A.; Qazi, M.A.; Abdi, G. Optimizing in Vitro Nutrient and Ex Vitro Soil Mediums-Driven Responses for Multiplication, Rooting, and Acclimatization of Pineapple. Sci. Rep. 2023, 13, 1275. [Google Scholar] [CrossRef]
- Atzori, G.; Pane, C.; Zaccardelli, M.; Cacini, S.; Massa, D. The Role of Peat-Free Organic Substrates in the Sustainable Management of Soilless Cultivations. Agronomy 2021, 11, 1236. [Google Scholar] [CrossRef]
- Kremer, J.M.; Sohrabi, R.; Paasch, B.C.; Rhodes, D.; Thireault, C.; Schulze-Lefert, P.; Tiedje, J.M.; He, S.Y. Peat-Based Gnotobiotic Plant Growth Systems for Arabidopsis Microbiome Research. Nat. Protoc. 2021, 16, 2450–2470. [Google Scholar] [CrossRef]
- Markoska, V.; Spalevic, V.; Gulaboski, R. A research on the influence of porosity on perlite substrate and its interaction on porosity of two types of soil and peat substrate. J. Agric. For. 2018, 64, 15–29. [Google Scholar] [CrossRef]
- Sangian, H.F.; Widjaja, A. Effect of Pretreatment Method on Structural Changes of Coconut Coir Dust. BioResources 2017, 12, 8030–8046. [Google Scholar] [CrossRef]
- Altland, J.E.; Owen, J.S.; Jackson, B.E.; Fields, J.S. Physical and Hydraulic Properties of Commercial Pine-Bark Substrate Products Used in Production of Containerized Crops. HortScience 2018, 53, 1883–1890. [Google Scholar] [CrossRef]
- McCarter, C.P.R.; Price, J.S. Ecohydrology of Sphagnum Moss Hummocks: Mechanisms of Capitula Water Supply and Simulated Effects of Evaporation. Ecohydrology 2014, 7, 33–44. [Google Scholar] [CrossRef]
- Sousa, G.G.; Rosa, Y.B.; Macedo, M.C.; Soares, J.S. Aclimatização de Brassavola Tuberculata Com a Utilização de ANA Em Diferentes Substratos. Hortic. Bras. 2015, 33, 208–215. [Google Scholar] [CrossRef]
- Qiu, M.; Zhang, L.; Song, T. Effect of Mixing Ratios of Rice Husk Ash and Coco Coir on the Improvement of Green Waste Compost as a Substrate for Cucurbitaceae Seedlings. Commun. Soil Sci. Plant Anal. 2024, 55, 313–328. [Google Scholar] [CrossRef]
- Colombo, R.C.; Favetta, V.; Cruz, M.A.d.; de Carvalho, D.U.; Roberto, S.R.; de Faria, R.T. Acclimatization and Growth of Ornamental Pineapple Seedlings under Organic Substrates. Ornam. Hortic. 2017, 23, 257. [Google Scholar] [CrossRef]
- Martins, J.P.R.; Schimildt, E.R.; Alexandre, R.S.; Falqueto, A.R.; Otoni, W.C. Chlorophyll a Fluorescence and Growth of Neoregelia Concentrica (Bromeliaceae) during Acclimatization in Response to Light Levels. Vitr. Cell. Dev. Biol.—Plant 2015, 51, 471–481. [Google Scholar] [CrossRef]
- Anjos, D.C.d.; Dias, G.D.M.G.; Hernandez, F.F.F.; Diniz, J.D.N. Regional Substrates of the Brazilian Northeast on Acclimatization and Development Morphological of Minirose. J. Agric. Sci. 2018, 10, 341. [Google Scholar] [CrossRef]
- Sasamori, M.H.; Endres Júnior, D.; Droste, A. Substratos Alternativos Para a Aclimatização de Plântulas Propagadas In Vitro Para a Conservação de Vriesea Incurvata Gaudich. Bromel. Pesqui. Série Botânica 2016, 69, 293–305. [Google Scholar]
- Gül, A.; Eroğul, D.; Ongun, A.R. Comparison of the Use of Zeolite and Perlite as Substrate for Crisp-Head Lettuce. Sci. Hortic. 2005, 106, 464–471. [Google Scholar] [CrossRef]
- Sahin, U.; Anapali, O.; Ercisli, S. Physico-Chemical and Physical Properties of Some Substrates Used in Horticulture. Gartenbauwissenschaft 2002, 67, 55–60. [Google Scholar]
- Sahin, U.; Ercisli, S.; Anapali, O.; Esitken, A. Regional Distribution and Some Physico-Chemical and Physical Properties of Some Substrates Used in Horticulture in Turkey. In Proceedings of the South Pacific Soilless Culture Conference-SPSCC, Palmerston North, New Zealand, 10–13 February 2003; pp. 177–183. [Google Scholar]
- Asaduzzaman, M. Soilless Culture: Use of Substrates for the Production of Quality Horticultural Crops; BoD—Books on Demand: Norderstedt, Germany, 2015. [Google Scholar]
- Ors, S.; Anapali, O. Effect of Soil Addition on Physical Properties of Perlite Based Media and Strawberry Cv. Camarosa Plant Growth. Sci. Res. Essays 2010, 5, 3430–3433. [Google Scholar]
- Al-Shammari, A.M.A.; Abood, M.A.; Hamdi, G.J. Perlite Affects Some Plant Indicators and Reduces Water Deficit in Tomato. Int. J. Veg. Sci. 2018, 24, 490–500. [Google Scholar] [CrossRef]
- Caldeira, M.V.; Delarmelina, W.M.; Peroni, L.; Gonçalves, E.D.O.; Silva, A.G. da Lodo de Esgoto e Vermiculita Na Produção de Mudas de Eucalipto. Pesqui. Agropecuária Trop. 2013, 43, 155–163. [Google Scholar] [CrossRef]
- Lüttge, U. Vascular Plants as Epiphytes: Evolution and Ecophysiology. In Evolution and Ecophysiology; Springer: Berlin/Heidelberg, Germany, 1989; Volume 76. [Google Scholar]
- Nawandish, F.; Dumanoğlu, H.; Sarıkamış, G. Novel Approaches to Improve Rooting of Microshoots, Acclimatization and Plant Growth of Pyrodwarf Pear Rootstock. Plant Cell Tissue Organ Cult. 2024, 157, 58. [Google Scholar] [CrossRef]
- Altieri, M.S.A.; Nicholls, C.I. Sustainable Agriculture Reviews; Springer: Berlin/Heidelberg, Germany, 2012; Volume 11, ISBN 978-94-007-5448-5. [Google Scholar]
- Fazlil Ilahi, W.F.; Ahmad, D. A Study on the Physical and Hydraulic Characteristics of Cocopeat Perlite Mixture as a Growing Media in Containerized Plant Production. Sains Malays. 2017, 46, 975–980. [Google Scholar] [CrossRef]
- Salgado Pirata, M.; Correia, S.; Canhoto, J. Ex Vitro Simultaneous Acclimatization and Rooting of In Vitro Propagated Tamarillo Plants (Solanum betaceum Cav.): Effect of the Substrate and Mineral Nutrition. Agronomy 2022, 12, 1082. [Google Scholar] [CrossRef]
- Silva, K.R.; Versieux, L.M.; Oriani, A. Morphological and Anatomical Variations of Roots, Leaves, Peduncles, and Peduncle Bracts in the Vriesea Oligantha Complex (Bromeliaceae): Perspectives for Taxonomy. Syst. Bot. 2020, 45, 779–793. [Google Scholar] [CrossRef]
- Alarcón Bustillo, M.C.; Rivera Gaitán, R.M. Propagación Artesanal de Orquídeas y Bromelias En El Área Protegida Tisey-Estanzuela, Estelí. Ph.D. Dissertation, National Autonomous University of Nicaragua at León, León, Nicaragua, 2007. [Google Scholar]
- Vanhoutte, B.; Schenkels, L.; Ceusters, J.; De Proft, M.P. Water and Nutrient Uptake in Vriesea Cultivars: Trichomes vs. Roots. Environ. Exp. Bot. 2017, 136, 21–30. [Google Scholar] [CrossRef]
- Bidarnamani, F.; Karimian, M.A.; Fazelinasab, B.; Mohkami, Z. Coconut Coir Dust as a Waste on Growth of Pothos (Scindapsus aureum L.). Int. J. Recycl. Org. Waste Agric. 2023, 12, 73–84. [Google Scholar] [CrossRef]
- Holman, J.; Bugbee, B.; Chard, J.K. A Comparison of Coconut Coir and Sphagnum Peat as Soil-Less Media Components for Plant Growth; Utah State University: Logan, UT, USA, 2005. [Google Scholar]
- Nikrazm, R.; Ajirlou, S.A.; Khaligy, A.; Tabatabaei, S.J. Effects of Different Media on Vegetative Growth of Two Lilium cultivars in Soilless Culture. J. Sci. Technol. Greenh. Cult. 2011, 2, 1–9. [Google Scholar]
- Wang, M.; Dong, C.; Gao, W. Evaluation of the Growth, Photosynthetic Characteristics, Antioxidant Capacity, Biomass Yield and Quality of Tomato Using Aeroponics, Hydroponics and Porous Tube-Vermiculite Systems in Bio-Regenerative Life Support Systems. Life Sci. Sp. Res. 2019, 22, 68–75. [Google Scholar] [CrossRef] [PubMed]
- Mozafar, A.; Oertli, J.J. Contact-Uptake of Iron from Vermiculite by Maize. J. Plant Nutr. 1988, 11, 1217–1225. [Google Scholar] [CrossRef]
- Fuentes, G.; Talavera, C.; Desjardins, Y.; Santamaría, J.M. Protocol to Achieve Photoautotrophic Coconut Plants Cultured in Vitro. In Plant Cell Culture Protocols. Methods in Molecular Biology™; Humana Press: Totowa, NJ, USA, 2006; pp. 131–144. [Google Scholar]
- dos Santos, P.L.F.; de Castilho, R.M.M.; Gazola, R.P.D. Pigmentos Fotossintéticos e Sua Correlação Com Nitrogênio e Magnésio Foliar Em Grama Bermuda Cultivada Em Substratos. Acta Iguazu 2019, 8, 92–101. [Google Scholar]
- Tamaki, V.; de Paula, S.M.; Nievola, C.C.; Kanashiro, S. Soluções Nutritivas Alternativas Para o Cultivo de Bromélias Ornamentais. O Mundo Saúde 2011, 35, 91–97. [Google Scholar] [CrossRef]
- a Silva, J.A.T.; Hossain, M.M.; Sharma, M.; Dobránszki, J.; Cardoso, J.C.; Songjun, Z.E.N.G. Acclimatization of in Vitro -Derived Dendrobium. Hortic. Plant J. 2017, 3, 110–124. [Google Scholar] [CrossRef]
- Pisa, C.; Wuta, M.; Muchaonyerwa, P. Effects of Incorporation of Vermiculite on Carbon and Nitrogen Retention and Concentration of Other Nutrients during Composting of Cattle Manure. Bioresour. Technol. Rep. 2020, 9, 100383. [Google Scholar] [CrossRef]
- Smith, J.A.C. Epiphytic Bromeliads. In Vascular Plants as Epiphytes: Evolution and Ecophysiology; Springer: Berlin/Heidelberg, Germany, 1989; pp. 109–138. [Google Scholar]
- Jerez, Z. Comparación del Sustrato de Fibra de Coco con los Sustratos de Corteza de Pino Compostada, Perlita y Vermiculita En La Producción de Plantas de Eucalyptus globulus (Labill). [Monografia]; Faculdad de Ciencias Forestales-Universidad Austral de Chile: Valdivia, Chile, 2007. [Google Scholar]
- Medina, E.; Olivares, E.; Diaz, M. Water Stress and Light Intensity Effects on Growth and Nocturnal Acid Accumulation in a Terrestrial CAM Bromeliad (Bromelia humilis Jacq.) under Natural Conditions. Oecologia 1986, 70, 441–446. [Google Scholar] [CrossRef]
- Su, Y.; Zhang, L. Addition of Coco Coir and Rice Hull Ash Improves the Quality of Seedling Substrate Based on Green Waste Compost for Cucurbitaceae Vegetable Seedlings. J. Mater. Cycles Waste Manag. 2024, 26, 562–577. [Google Scholar] [CrossRef]
- Tillyné Mándy, A.; Honfi, P. Növényházi Dísznövénytermesztés; Tájépítészeti, Településtervezési és Díszkertészeti Intézet: Budapest, Hungary, 2008. [Google Scholar]
- Murashige, T.; Skoog, F. A Revised Medium for Rapid Growth and Bioassays with Tobacco Tissue Cultures. Physiol. Plant. 1962, 15, 473–497. [Google Scholar] [CrossRef]
- Arnon, D.I. Copper Enzymes in Isolated Chloroplasts. Polyphenoloxidase in Beta vulgaris. Plant Physiol. 1949, 24, 1–15. [Google Scholar] [CrossRef]
- Dunn, O.J. Multiple Comparisons among Means. J. Am. Stat. Assoc. 1961, 56, 52–64. [Google Scholar] [CrossRef]















| Substrate | Characteristics | References |
|---|---|---|
| Turf | Partially decomposed organic matter from plants, high in organic nutrients and provides a stable structure for plant growth; supports growth with or without microorganisms. | [33,34] |
| Vermiculite | Mineral substrate rich in iron and magnesium silicates, offering structure and high water retention; facilitates natural mycorrhizal growth, enhancing nutrient supply and plant survival. | [34] |
| Perlite | Foamy, amorphous fragments from volcanic rock, promoting aeration and porosity, and increasing water retention capacity. | [35] |
| Coco Coir | Fibers from coconut husks containing potassium, zinc, iron, manganese, and copper; lignin content supports lignocellulose development in plants. | [36] |
| Pine Bark | Woody outer cortex from Pinus species, acidic and moisture-retentive but with low water retention. | [37] |
| Moss | Hyaline cells in leaves allow water accumulation, providing humidity for plant growth. | [38] |
| Substrate Combination | Composition | Substrate Combination | Composition | ||
|---|---|---|---|---|---|
| 1 | 100% turf | Turf only | 12 | 50% vermiculite + 50% perlite | Mixed |
| 2 | 100% vermiculite | Vermiculite only | 13 | 50% vermiculite + 50% coco coir | Mixed |
| 3 | 100% perlite | Perlite only | 14 | 50% vermiculite + 50% pine bark | Mixed |
| 4 | 100% coco coir | Coco coir only | 15 | 50% vermiculite + 50% moss | Mixed |
| 5 | 100% pine bark | Pine bark only | 16 | 50% coco coir + 50% perlite | Mixed |
| 6 | 100% moss | Moss only | 17 | 50% coco coir + 50% pine bark | Mixed |
| 7 | 50% turf + 50% vermiculite | Mixed | 18 | 50% coco coir + 50% moss | Mixed |
| 8 | 50% turf + 50% perlite | Mixed | 19 | 50% perlite + 50% pine bark | Mixed |
| 9 | 50% turf + 50% coco coir | Mixed | 20 | 50% perlite + 50% moss | Mixed |
| 10 | 50% Turf + 50% pine bark | Mixed | 21 | 50% moss + 50% pine bark | Mixed |
| 11 | 50% turf + 50% moss | Mixed | |||
| Substrate Combination | Composition | |
|---|---|---|
| 1 | 100% coco coir | Pure coco coir |
| 2 | 100% turf | Pure turf |
| 3 | 100% perlite | Pure perlite |
| 4 | 100% vermiculite | Pure vermiculite |
| 5 | 50% coco coir + 50% turf | Mixed |
| 6 | 50% coco coir + 50% perlite | Mixed |
| 7 | 50% coco coir + 50% vermiculite | Mixed |
| 8 | 50% turf + 50% perlite | Mixed |
| 9 | 50% turf + 50% vermiculite | Mixed |
| 10 | 50% perlite + 50% vermiculite | Mixed |
Disclaimer/Publisher’s Note: The statements, opinions and data contained in all publications are solely those of the individual author(s) and contributor(s) and not of MDPI and/or the editor(s). MDPI and/or the editor(s) disclaim responsibility for any injury to people or property resulting from any ideas, methods, instructions or products referred to in the content. |
© 2025 by the authors. Licensee MDPI, Basel, Switzerland. This article is an open access article distributed under the terms and conditions of the Creative Commons Attribution (CC BY) license (https://creativecommons.org/licenses/by/4.0/).
Share and Cite
Eisa, E.A.; Pasquel Davila, D.S.; Ördögh, M. Enhancing Acclimatization Conditions for Vriesea splendens ‘Fire’: A Comparative Analysis of Substrate Effects on Growth and Survival. Plants 2025, 14, 172. https://doi.org/10.3390/plants14020172
Eisa EA, Pasquel Davila DS, Ördögh M. Enhancing Acclimatization Conditions for Vriesea splendens ‘Fire’: A Comparative Analysis of Substrate Effects on Growth and Survival. Plants. 2025; 14(2):172. https://doi.org/10.3390/plants14020172
Chicago/Turabian StyleEisa, Eman Abdelhakim, Daniela Salome Pasquel Davila, and Máté Ördögh. 2025. "Enhancing Acclimatization Conditions for Vriesea splendens ‘Fire’: A Comparative Analysis of Substrate Effects on Growth and Survival" Plants 14, no. 2: 172. https://doi.org/10.3390/plants14020172
APA StyleEisa, E. A., Pasquel Davila, D. S., & Ördögh, M. (2025). Enhancing Acclimatization Conditions for Vriesea splendens ‘Fire’: A Comparative Analysis of Substrate Effects on Growth and Survival. Plants, 14(2), 172. https://doi.org/10.3390/plants14020172

