Trade-Off Between Enzymatic Antioxidant Defense and Accumulation of Organic Metabolite Affects Salt Tolerance of White Clover Associated with Redox, Water, and Metabolic Homeostases
Abstract
1. Introduction
2. Results
2.1. Differences in Chlorophyll Content and Water Status Between Trp004 and KL Under Optimal Conditions and Salt Stress
2.2. Differences in Oxidative Damage and Antioxidant Metabolism Between Trp004 and KL Under Optimal Conditions and Salt Stress
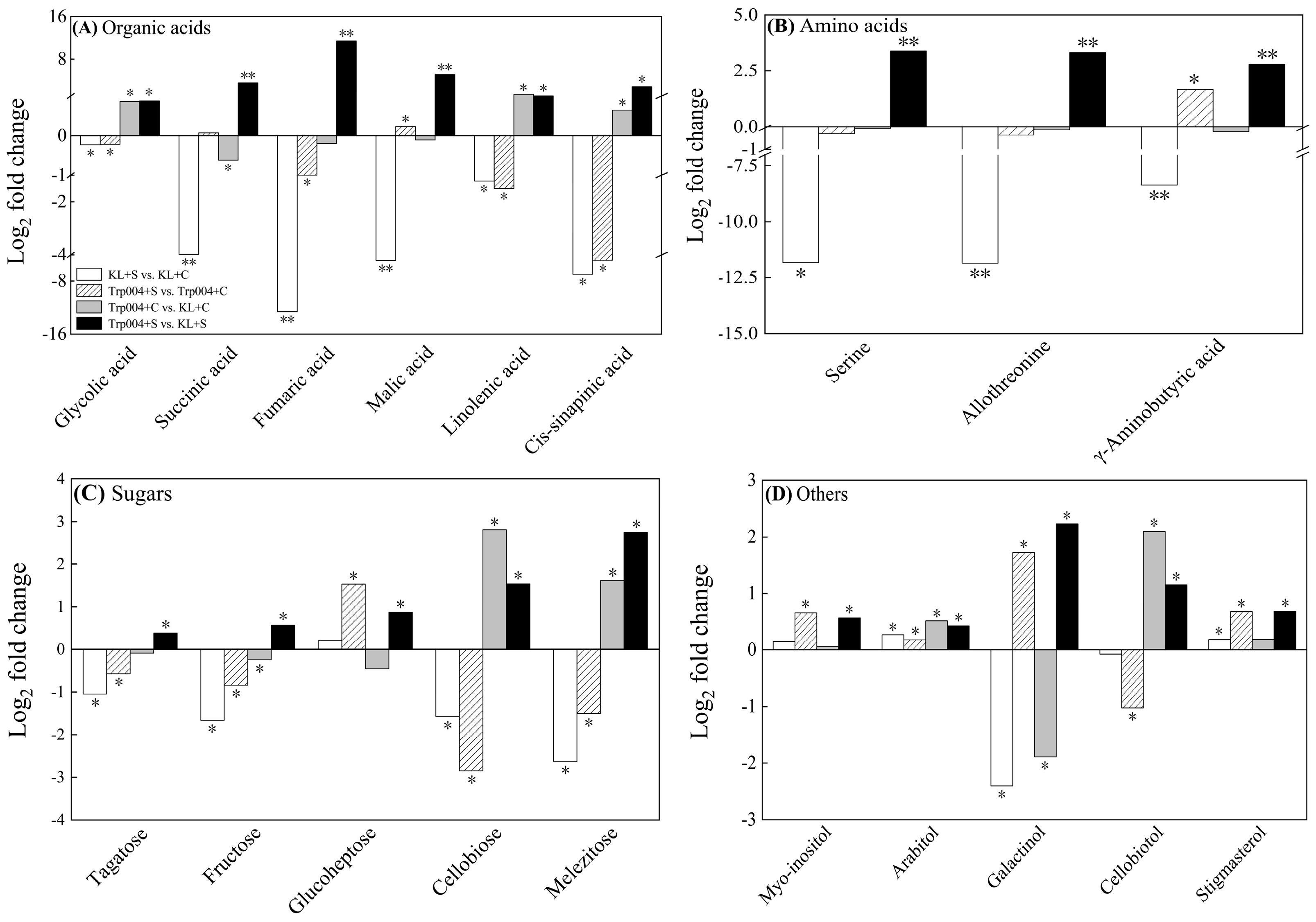
2.3. Differences in Metabolites Profile Between Trp004 and KL Under Optimal Condition and Salt Stress
3. Discussion
4. Materials and Methods
4.1. Plant Materials and Treatments
4.2. Determination of Chlorophyll Content and Water Status
4.3. Determination of Cell Membrane Stability, Oxidative Damage, and Antioxidant Metabolism
4.4. Metabolomics Analysis
4.5. Statistical Analysis
5. Conclusions
Supplementary Materials
Author Contributions
Funding
Data Availability Statement
Acknowledgments
Conflicts of Interest
References
- Liang, X.; Li, J.; Yang, Y.; Jiang, C.; Guo, Y. Designing salt stress-resilient crops: Current progress and future challenges. J. Integr. Plant Biol. 2024, 66, 303–329. [Google Scholar] [CrossRef] [PubMed]
- Hassani, A.; Azapagic, A.; Shokri, N. Global predictions of primary soil salinization under changing climate in the 21st century. Nat. Commun. 2021, 12, 6663. [Google Scholar] [CrossRef]
- Van Zelm, E.; Zhang, Y.; Testerink, C. Salt tolerance mechanisms of plants. Annu. Rev. Plant Biol. 2020, 71, 403–433. [Google Scholar] [CrossRef] [PubMed]
- Zhao, S.; Zhang, Q.; Liu, M.; Zhou, H.; Ma, C.; Wang, P. Regulation of plant responses to salt stress. Int. J. Mol. Sci. 2021, 22, 4609. [Google Scholar] [CrossRef]
- Yu, B.; Chao, D.; Zhao, Y. How plants sense and respond to osmotic stress. J. Integr. Plant Biol. 2024, 66, 394–423. [Google Scholar] [CrossRef] [PubMed]
- Zhao, K.; Fan, G.; Yao, W.; Cheng, Z.; Zhou, B.; Jiang, T. PagMYB73 enhances salt stress tolerance by regulating reactive oxygen species scavenging and osmotic maintenance in poplar. Ind. Crop Prod. 2024, 208, 117893. [Google Scholar] [CrossRef]
- Geng, W.; Li, Z.; Hassan, M.J.; Peng, Y. Chitosan regulates metabolic balance, polyamine accumulation, and Na+ transport contributing to salt tolerance in creeping bentgrass. BMC Plant Biol. 2020, 20, 506. [Google Scholar] [CrossRef] [PubMed]
- Li, Z.; Cheng, B.; Zeng, W.; Zhang, X.; Peng, Y. Proteomic and metabolomic profilings reveal crucial functions of γ-aminobutyric acid in regulating Ionic, water, and metabolic homeostasis in creeping bentgrass under salt stress. J. Proteome Res. 2020, 19, 769–780. [Google Scholar] [CrossRef] [PubMed]
- Jiang, J.; Guo, Z.; Sun, X.; Jiang, Y.; Xie, F.; Chen, Y. Role of proline in regulating turfgrass tolerance to abiotic stress. Grass Res. 2023, 3, 2. [Google Scholar] [CrossRef]
- Khedr, E.H.; Khedr, N. Unraveling the mechanisms behind salt stress alleviation and enhanced fruit storability in pomegranate through triacontanol treatment. Sci. Hortic. 2024, 325, 112634. [Google Scholar] [CrossRef]
- Cheng, B.; Hassan, M.J.; Peng, D.; Huang, T.; Peng, Y.; Li, Z. Spermidine or spermine pretreatment regulates organic metabolites and ions homeostasis in favor of white clover seed germination against salt toxicity. Plant Physiol. Biochem. 2024, 207, 108379. [Google Scholar] [CrossRef]
- Yang, Y.; Guo, Y. Unraveling salt stress signaling in plants. J. Integr. Plant Biol. 2018, 60, 796–804. [Google Scholar] [CrossRef] [PubMed]
- Ali, M.F.; Muday, G.K. Reactive oxygen species are signaling molecules that modulate plant reproduction. Plant Cell Environ. 2024, 474, 1592–1605. [Google Scholar] [CrossRef] [PubMed]
- Islam, M.M.; Jahan, K.; Sen, A.; Urmi, T.A.; Haque, M.M.; Ali, H.M.; Siddiqui, M.H.; Murata, Y. Exogenous application of calcium ameliorates salinity stress tolerance of tomato (Solanum lycopersicum L.) and enhances fruit quality. Antioxidants 2023, 12, 558. [Google Scholar] [CrossRef] [PubMed]
- Zhou, F.; Xu, D.; Xiong, S.; Chen, C.; Liu, C.; Jiang, A. Inhibition of wound healing in fresh-cut potatoes by ascorbic acid is associated with control of the levels of reactive oxygen species and the AsA-GSH cycle. Sci. Hortic. 2024, 323, 112472. [Google Scholar] [CrossRef]
- Hu, L.; Zhou, K.; Li, Y.; Chen, X.; Liu, B.; Li, C.; Gong, X.; Ma, F. Exogenous myo-inositol alleviates salinity-induced stress in Malus hupehensis Rehd. Plant Physiol. Biochem. 2018, 133, 116–126. [Google Scholar] [CrossRef] [PubMed]
- Nemat Alla, M.; Hassan, N.; Budran, I.; El-Bastawisy, Z.; El-Harary, E. Stigmasterol alleviates the impacts of drought in flax and improves oil yield via modulating efficient antioxidant and ROS homeostasis. Iran. J. Plant Physiol. 2022, 1, 3973–3984. [Google Scholar] [CrossRef]
- Jawad Hassan, M.; Ali Raza, M.; Khan, I.; Ahmad Meraj, T.; Ahmed, M.; Abbas Shah, G.; Ansar, M.; Afzal Awan, S.; Khan, N.; Iqbal, N. Selenium and salt interactions in black gram (Vigna mungo L.): Ion uptake, antioxidant defense system, and photochemistry efficiency. Plants 2020, 9, 467. [Google Scholar] [CrossRef] [PubMed]
- Geng, W.; Qiu, Y.; Peng, Y.; Zhang, Y.; Li, Z. Water and oxidative homeostasis, Na+/K+ transport, and stress-defensive proteins associated with spermine-induced salt tolerance in creeping bentgrass. Environ. Exp. Bot. 2021, 192, 104659. [Google Scholar] [CrossRef]
- Zhang, X.; Goatley, M.; Wang, K.; Conner, J.; Brown, I.; Kosiarski, K. Methyl jasmonate enhances salt stress tolerance associated with antioxidant and cytokinin alteration in perennial ryegrass. Grass Res. 2023, 3, 6. [Google Scholar] [CrossRef]
- Cheng, B.; Hassan, M.J.; Feng, G.; Zhao, J.; Liu, W.; Peng, Y.; Li, Z. Metabolites reprogramming and Na+/K+ transportation associated with putrescine-regulated white clover seed germination and seedling tolerance to salt toxicity. Front. Plant Sci. 2022, 13, 856007. [Google Scholar] [CrossRef] [PubMed]
- Li, H.; Fan, Y.; Zhang, H.; Chen, Y. Effects of myo-inositol on NaCl stress in Tamarix ramosissima: Insights from transcriptomics and metabolomics. Forests 2023, 14, 1686. [Google Scholar] [CrossRef]
- Panta, S.; Flowers, T.; Lane, P.; Doyle, R.; Haros, G.; Shabala, S. Halophyte agriculture: Success stories. Environ. Exp. Bot. 2014, 107, 71–83. [Google Scholar] [CrossRef]
- Dhivya, R.; Amalabalu, P.; Pushpa, R.; Kavithamani, D. Variability, heritability and genetic advance in upland cotton (Gossypium hirsutum L.). Afr. J. Plant Sci. 2014, 8, 1–5. [Google Scholar] [CrossRef]
- Chaudhary, M.T.; Majeed, S.; Rana, I.A.; Ali, Z.; Jia, Y.; Du, X.; Hinze, L.; Azhar, M.T. Impact of salinity stress on cotton and opportunities for improvement through conventional and biotechnological approaches. BMC Plant Biol. 2024, 24, 20. [Google Scholar] [CrossRef]
- Shelke, D.; Pandey, M.; Nikalje, G.; Zaware, B.; Suprasanna, P.; Nikam, T. Salt responsive physiological, photosynthetic and biochemical attributes at early seedling stage for screening soybean genotypes. Plant Physiol. Biochem. 2017, 118, 519–528. [Google Scholar] [CrossRef]
- Li, W.; Zhang, H.; Zeng, Y.; Xiang, L.; Lei, Z.; Huang, Q.; Li, T.; Shen, F.; Cheng, Q. A salt tolerance evaluation method for sunflower (Helianthus annuus L.) at the seed germination stage. Sci. Rep. 2020, 10, 10626. [Google Scholar] [CrossRef]
- Abdelrady, W.A.; Ma, Z.; Elshawy, E.E.; Wang, L.; Askri, S.M.H.; Ibrahim, Z.; Dennis, E.; Kanwal, F.; Zeng, F.; Shamsi, I.H. Physiological and biochemical mechanisms of salt tolerance in barley under salinity stress. Plant Stress. 2024, 11, 100403. [Google Scholar] [CrossRef]
- Sawicka, B.; Krochmal-Marczak, B.; Sawicki, J.; Skiba, D.; Pszczółkowski, P.; Barbaś, P.; Vambol, V.; Messaoudi, M.; Farhan, A.K. White clover (Trifolium repens L.) cultivation as a means of soil regeneration and pursuit of a sustainable food system model. Land 2023, 12, 838. [Google Scholar] [CrossRef]
- Tashiro, R.; Bouton, J.; Parrott, W. ‘Frosty Morning’, ‘Patchwork Quilt’, ‘Irish Mist’, and ‘Pistachio Ice Cream’ ornamental white clover (Trifolium repens L.). Hortscience 2009, 44, 1779–1782. [Google Scholar] [CrossRef]
- Li, Z.; Geng, W.; Tan, M.; Ling, Y.; Zhang, Y.; Zhang, L.; Peng, Y. Differential responses to salt stress in four white clover genotypes associated with root growth, endogenous polyamines metabolism, and sodium/potassium accumulation and transport. Front. Plant Sci. 2022, 13, 896436. [Google Scholar] [CrossRef] [PubMed]
- Ji, X.; Tang, J.; Zhang, J. Effects of salt stress on the morphology, growth and physiological parameters of Juglans microcarpa L. seedlings. Plants 2022, 11, 2381. [Google Scholar] [CrossRef] [PubMed]
- Hussain, S.; Luro, F.; Costantino, G.; Ollitrault, P.; Morillon, R. Physiological analysis of salt stress behaviour of citrus species and genera: Low chloride accumulation as an indicator of salt tolerance. S. Afr. J. Bot. 2012, 81, 103–112. [Google Scholar] [CrossRef]
- Wang, X.; Tang, H.; Lu, T.; Shen, P.; Chen, J.; Dong, W.; Song, Y. Novel underlying regulatory mechanism of the MsDAD2-mediated salt stress response in alfalfa. Biochem. Biophys. Res. Commun. 2024, 690, 149252. [Google Scholar] [CrossRef] [PubMed]
- Hale, G.; Yuan, N.; Mendu, L.; Ritchie, G.; Mendu, V. Canopeo app as image-based phenotyping tool in controlled environment utilizing Arabidopsis mutants. PLoS ONE 2024, 19, e0300667. [Google Scholar] [CrossRef]
- Saini, D.R.; Prakash, P.; Kumar, S. Chlorophyll: Unveiling its dual role in plant vitality and human health. Spectrum 2024, 5, 23–28. [Google Scholar]
- Alsamadany, H.; Anayatullah, S.; Zia-ur-Rehman, M.; Usman, M.; Ameen, T.; Alharby, H.F.; Alharbi, B.M.; Abdulmajeed, A.M.; Yong, J.W.H.; Rizwan, M. Residual efficiency of iron-nanoparticles and different iron sources on growth, and antioxidants in maize plants under salts stress: Life cycle study. Heliyon 2024, 10, e28973. [Google Scholar] [CrossRef] [PubMed]
- Jameel, J.; Anwar, T.; Majeed, S.; Qureshi, H.; Siddiqi, E.H.; Sana, S.; Zaman, W.; Ali, H.M. Effect of salinity on growth and biochemical responses of brinjal varieties: Implications for salt tolerance and antioxidant mechanisms. BMC Plant Biol. 2024, 24, 128. [Google Scholar] [CrossRef]
- Liu, B.; Liu, L.; Deng, B.; Huang, C.; Zhu, J.; Liang, L.; He, X.; Wei, Y.; Qin, C.; Liang, C. Application and prospect of organic acid pretreatment in lignocellulosic biomass separation: A review. Int. J. Biol. Macromol. 2022, 222, 1400–1413. [Google Scholar] [CrossRef] [PubMed]
- Lin, J.; Mu, C.; Wang, Y.; Li, Z.; Li, X. Physiological adaptive mechanisms of Leymus chinensis during germination and early seedling stages under saline and alkaline conditions. J. Anim. Plant Sci. 2014, 24, 904–912. [Google Scholar]
- Dat, J.; Vandenabeele, S.; Vranová, E.; Van Montagu, M.; Inzé, D.; Van Breusegem, F. Dual action of the active oxygen species during plant stress responses. Cell. Mol. Life Sci. 2000, 57, 779–795. [Google Scholar] [CrossRef] [PubMed]
- Halliwell, B. Phagocyte-derived reactive species: Salvation or suicide? Trends Biochem. Sci. 2006, 31, 509–515. [Google Scholar] [CrossRef] [PubMed]
- Lin, Y.J.; Yu, X.Z.; Li, Y.H.; Yang, L. Inhibition of the mitochondrial respiratory components (Complex I and Complex III) as stimuli to induce oxidative damage in Oryza sativa L. under thiocyanate exposure. Chemosphere 2020, 243, 125472. [Google Scholar] [CrossRef]
- Nadarajah, K.K. ROS homeostasis in abiotic stress tolerance in plants. Int. J. Mol. Sci. 2020, 21, 5208. [Google Scholar] [CrossRef]
- Ruan, M.; He, W.; He, R.; Wang, X.; Wei, J.; Zhu, Y.; Li, R.; Jiang, Z.; Na, X.; Wang, X.; et al. Alternative oxidase 2 influences Arabidopsis seed germination under salt stress by modulating ABA signalling and ROS homeostasis. Environ. Exp. Bot. 2024, 217, 105568. [Google Scholar] [CrossRef]
- Challabathula, D.; Analin, B.; Mohanan, A.; Bakka, K. Differential modulation of photosynthesis, ROS and antioxidant enzyme activities in stress-sensitive and-tolerant rice cultivars during salinity and drought upon restriction of COX and AOX pathways of mitochondrial oxidative electron transport. J. Plant Physiol. 2022, 268, 153583. [Google Scholar] [CrossRef] [PubMed]
- Zhang, J.; Zhang, Q.; Xing, J.; Li, H.; Miao, J.; Xu, B. Acetic acid mitigated salt stress by alleviating ionic and oxidative damages and regulating hormone metabolism in perennial ryegrass (Lolium perenne L.). Grass Res. 2021, 1, 3. [Google Scholar] [CrossRef]
- Huang, Y.; Li, J.; Nong, C.; Lin, T.; Fang, L.; Feng, X.; Chen, Y.; Lin, Y.; Lai, Z.; Miao, L. Piriformospora indica enhances resistance to fusarium wilt in strawberry by increasing the activity of superoxide dismutase, peroxidase, and catalase, while reducing the content of malondialdehyde in the roots. Horticulturae 2024, 10, 240. [Google Scholar] [CrossRef]
- Cheng, B.; Li, Z.; Liang, L.; Cao, Y.; Zeng, W.; Zhang, X.; Ma, X.; Huang, L.; Nie, G.; Liu, W.; et al. The γ-aminobutyric acid (GABA) alleviates salt stress damage during seeds germination of white clover associated with Na+/K+ transportation, dehydrins accumulation, and stress-related genes expression in white clover. Int. J. Mol. Sci. 2018, 19, 2520. [Google Scholar] [CrossRef] [PubMed]
- Hasanuzzaman, M.; Bhuyan, M.B.; Anee, T.I.; Parvin, K.; Nahar, K.; Mahmud, J.A.; Fujita, M. Regulation of ascorbate-glutathione pathway in mitigating oxidative damage in plants under abiotic stress. Antioxidants 2019, 8, 384. [Google Scholar] [CrossRef] [PubMed]
- Szarka, A.; Tomasskovics, B.; Bánhegyi, G. The ascorbate-glutathione-α-tocopherol triad in abiotic stress response. Int. J. Mol. Sci. 2012, 13, 4458–4483. [Google Scholar] [CrossRef] [PubMed]
- Gao, Y.; Dong, X.; Wang, R.; Hao, F.; Zhang, H.; Zhang, Y.; Lin, G. Exogenous calcium alleviates oxidative stress caused by salt stress in peanut seedling roots by regulating the antioxidant enzyme system and flavonoid biosynthesis. Antioxidants 2024, 13, 233. [Google Scholar] [CrossRef]
- Suriya-arunroj, D.; Supapoj, N.; Toojinda, T.; Vanavichit, A. Relative leaf water content as an efficient method for evaluating rice cultivars for tolerance to salt stress. Sci. Asia 2004, 30, 411–415. [Google Scholar] [CrossRef]
- Wang, L.; Lin, G.; Li, Y.; Qu, W.; Wang, Y.; Lin, Y.; Huang, Y.; Li, J.; Qian, C.; Yang, G. Phenotype, biomass, carbon and nitrogen assimilation, and antioxidant response of rapeseed under salt stress. Plants 2024, 13, 1488. [Google Scholar] [CrossRef] [PubMed]
- Khan, Z.; Jan, R.; Asif, S.; Farooq, M.; Jang, Y.H.; Kim, E.G.; Kim, N.; Kim, K.M. Exogenous melatonin induces salt and drought stress tolerance in rice by promoting plant growth and defense system. Sci. Rep. 2024, 14, 1214. [Google Scholar] [CrossRef] [PubMed]
- Pankaj; Devi, S.; Dhaka, P.; Kumari, G.; Satpal; Lakra, N.; Arya, S.S.; Ahlawat, Y.K. Enhancing salt stress tolerance of forage sorghum by foliar application of ortho-silicic acid. Grass Res. 2024, 4, e016. [Google Scholar] [CrossRef]
- A Abd El-wahab, M.; H Shakweer, N. Potential impacts of amino acids, putrescine and glycine betaine on productivity and fruit attributes of “Le-Conte” pear trees grown under water scarcity stress. Fayoum J. Agric. Res. Dev. 2024, 38, 15–35. [Google Scholar] [CrossRef]
- Chakraborty, P.; Kumari, A. Role of compatible osmolytes in plant stress tolerance under the influence of phytohormones and mineral elements. In Improving Stress Resilience in Plants; Ahanger, M.A., Bhat, J.A., Ahmad, P., John, R., Eds.; Academic Press: Cambridge, MA, USA, 2024; pp. 165–201. [Google Scholar]
- Noreen, S.; Saleem, S.; Iqbal, U.; Mahmood, S.; Salim Akhter, M.; Akbar, N.; El-Sheikh, M.; Kaushik, P. Moringa olifera leaf extract increases physio-biochemical properties, growth and yield of Pisum sativum grown under salinity stress. J. King Saud. Univ. Sci. 2024, 36, 103056. [Google Scholar] [CrossRef]
- Farouk, S.; Al-Huqail, A.A. Sustainable biochar and/or melatonin improve salinity tolerance in borage plants by modulating osmotic adjustment, antioxidants, and ion homeostasis. Plants 2022, 11, 765. [Google Scholar] [CrossRef]
- El-Bassiouny, H.; Bekheta, M. Effect of salt stress on relative water content, lipid peroxidation, polyamines, amino acids and ethylene of two wheat cultivars. Int. J. Agric. Biol. 2005, 7, 363–368. [Google Scholar] [CrossRef]
- Gahlowt, P.; Tripathi, D.K.; Singh, S.P.; Gupta, R.; Singh, V.P. GABA in plants: Developmental and stress resilience perspective. Physiol. Plantarum 2024, 176, e14116. [Google Scholar] [CrossRef]
- Chahed, A.; Nesler, A.; Aziz, A.; Barka, E.A.; Pertot, I.; Perazzolli, M. A review of knowledge on the mechanisms of action of the rare sugar d-tagatose against phytopathogenic oomycetes. Plant Pathol. 2021, 70, 1979–1986. [Google Scholar] [CrossRef]
- Wang, Z.; Stutte, G. The role of carbohydrates in active osmotic adjustment in apple under water stress. J. Am. Soc. Hortic. Sci. 1992, 117, 816–823. [Google Scholar] [CrossRef]
- Malikul Ikram, M.M.; Putri, S.P.; Fukusaki, E. Chitosan-based coating enriched with melezitose alters primary metabolites in fresh-cut pineapple during storage. J. Biosci. Bioeng. 2023, 136, 374–382. [Google Scholar] [CrossRef]
- Wang, Y.; Li, M.; Ying, J.; Shen, J.; Dou, D.; Yin, M.; Whisson, S.C.; Birch, P.R.; Yan, S.; Wang, X. High-efficiency green management of potato late blight by a self-assembled multicomponent nano-bioprotectant. Nat. Commun. 2023, 14, 5622. [Google Scholar] [CrossRef] [PubMed]
- Pontiggia, D.; Benedetti, M.; Costantini, S.; De Lorenzo, G.; Cervone, F. Dampening the DAMPs: How plants maintain the homeostasis of cell wall molecular patterns and avoid hyper-immunity. Front. Plant Sci. 2020, 11, 613259. [Google Scholar] [CrossRef] [PubMed]
- Al-Mushhin, A.A.; Qari, S.H.; Fakhr, M.A.; Alnusairi, G.S.; Alnusaire, T.S.; ALrashidi, A.A.; Latef, A.A.H.A.; Ali, O.M.; Khan, A.A.; Soliman, M.H. Exogenous myo-inositol alleviates salt stress by enhancing antioxidants and membrane stability via the upregulation of stress responsive genes in Chenopodium quinoa L. Plants 2021, 10, 2416. [Google Scholar] [CrossRef]
- Klages, K.; Boldingh, H.; Smith, G. Accumulation of myo-inositol in Actinidia seedlings subjected to salt stress. Ann. Bot.-Lond. 1999, 84, 521–527. [Google Scholar] [CrossRef]
- Valluru, R.; Van den Ende, W. Myo-inositol and beyond–emerging networks under stress. Plant Sci. 2011, 181, 387–400. [Google Scholar] [CrossRef] [PubMed]
- Wu, F.; Chen, Z.; Xu, X.; Xue, X.; Zhang, Y.; Sui, N. Halotolerant Bacillus sp. strain RA coordinates myo-inositol metabolism to confer salt tolerance to tomato. J. Integr. Plant Biol. 2024, 66, 1871–1885. [Google Scholar] [CrossRef] [PubMed]
- Li, C.H.; Tien, H.J.; Wen, M.F.; Yen, H.E. Myo-inositol transport and metabolism participate in salt tolerance of halophyte ice plant seedlings. Physiol. Plantarum 2021, 172, 1619–1629. [Google Scholar] [CrossRef] [PubMed]
- Laslo, T.; von Zaluskowski, P.; Gabris, C.; Lodd, E.; Rückert, C.; Dangel, P.; Kalinowski, J.; Auchter, M.; Seibold, G.; Eikmanns, B.J. Arabitol metabolism of Corynebacterium glutamicum and its regulation by AtlR. J. Bacteriol. 2012, 194, 941–955. [Google Scholar] [CrossRef] [PubMed]
- Unda, F.; Kim, H.; Hefer, C.; Ralph, J.; Mansfield, S.D. Altering carbon allocation in hybrid poplar (Populus alba× grandidentata) impacts cell wall growth and development. Plant Biotechnol. J. 2017, 15, 865–878. [Google Scholar] [CrossRef]
- Nishizawa, A.; Yabuta, Y.; Shigeoka, S. Galactinol and raffinose constitute a novel function to protect plants from oxidative damage. Plant Physiol. 2008, 147, 1251–1263. [Google Scholar] [CrossRef]
- Khan, U.; Hayat, F.; Khanum, F.; Ahmed, N.; Abdin, M.; Abdalmegeed, D.; KARATAŞ, N.; Xin, Z. Exploring the diverse applications of stigmasterol from plants: A comprehensive review. Turk. J. Agric. For. 2023, 47, 801–816. [Google Scholar] [CrossRef]
- Hassanein, R.A.; Hashem, H.A.; Khalil, R.R. Stigmasterol treatment increases salt stress tolerance of faba bean plants by enhancing antioxidant systems. Plant Omics 2012, 5, 476–485. [Google Scholar]
- Bassuany, F.; Hassanein, R.; Baraka, D.; Khalil, R. Role of stigmasterol treatment in alleviating the adverse effects of salt stress in flax plant. J. Agric. Technol. 2014, 10, 1001–1020. [Google Scholar]
- Hoagland, D.R.; Arnon, D.I. The Water-Culture Method for Growing Plants without Soil; California Agricultural Experiment Station: Berkeley, CA, USA, 1950; Volume 347, pp. 1–32. [Google Scholar]
- Hiscox, J.; Israelstam, G. A method for the extraction of chlorophyll from leaf tissue without maceration. Can. J. Bot. 1979, 57, 1332–1334. [Google Scholar] [CrossRef]
- Barrs, H.; Weatherley, P. A re-examination of the relative turgidity technique for estimating water deficits in leaves. Aust. J. Biol. Sci. 1962, 15, 413–428. [Google Scholar] [CrossRef]
- Blum, A. Osmotic adjustment and growth of barley genotypes under drought stress. Crop Sci. 1989, 29, 230–233. [Google Scholar] [CrossRef]
- Blum, A.; Ebercon, A. Cell membrane stability as a measure of drought and heat tolerance in wheat. Crop Sci. 1981, 21, 43–47. [Google Scholar] [CrossRef]
- Chance, B.; Maehly, A. Assay of catalases and peroxidases. Method Enzymol. 1955, 2, 764–775. [Google Scholar] [CrossRef]
- Nakano, Y.; Asada, K. Hydrogen peroxide is scavenged by ascorbate-specific peroxidase in spinach chloroplasts. Plant Cell Physiol. 1981, 22, 867–880. [Google Scholar]
- Cakmak, I.; Strbac, D.; Marschner, H. Activities of hydrogen peroxide-scavenging enzymes in germinating wheat seeds. J. Exp. Bot. 1993, 44, 127–132. [Google Scholar] [CrossRef]
- Giannopolitis, C.N.; Ries, S.K. Superoxide dismutases: I. Occurrence in higher plants. Plant Physiol. 1977, 59, 309–314. [Google Scholar] [CrossRef]
- Li, Z.; Zhang, Y.; Zhang, X.; Peng, Y.; Merewitz, E.; Ma, X.; Huang, L.; Yan, Y. The alterations of endogenous polyamines and phytohormones induced by exogenous application of spermidine regulate antioxidant metabolism, metallothionein and relevant genes conferring drought tolerance in white clover. Environ. Exp. Bot. 2016, 124, 22–38. [Google Scholar] [CrossRef]
- Heath, R.L.; Packer, L. Photoperoxidation in isolated chloroplasts: I. Kinetics and stoichiometry of fatty acid peroxidation. Arch. Biochem. Biophys. 1968, 125, 189–198. [Google Scholar] [CrossRef] [PubMed]
- Elstner, E.F.; Heupel, A. Inhibition of nitrite formation from hydroxylammoniumchloride: A simple assay for superoxide dismutase. Anal. Biochem. 1976, 70, 616–620. [Google Scholar] [CrossRef] [PubMed]
- Velikova, V.; Yordanov, I.; Edreva, A. Oxidative stress and some antioxidant systems in acid rain-treated bean plants: Protective role of exogenous polyamines. Plant Sci. 2000, 151, 59–66. [Google Scholar] [CrossRef]
- Li, Z.; Yu, J.; Peng, Y.; Huang, B. Metabolic pathways regulated by γ-aminobutyric acid (GABA) contributing to heat tolerance in creeping bentgrass (Agrostis stolonifera). Sci. Rep. 2016, 6, 30338. [Google Scholar] [CrossRef] [PubMed]








Disclaimer/Publisher’s Note: The statements, opinions and data contained in all publications are solely those of the individual author(s) and contributor(s) and not of MDPI and/or the editor(s). MDPI and/or the editor(s) disclaim responsibility for any injury to people or property resulting from any ideas, methods, instructions or products referred to in the content. |
© 2025 by the authors. Licensee MDPI, Basel, Switzerland. This article is an open access article distributed under the terms and conditions of the Creative Commons Attribution (CC BY) license (https://creativecommons.org/licenses/by/4.0/).
Share and Cite
Zhou, M.; Wu, Y.; Yang, Y.; Yuan, Y.; Lin, J.; Lin, L.; Li, Z. Trade-Off Between Enzymatic Antioxidant Defense and Accumulation of Organic Metabolite Affects Salt Tolerance of White Clover Associated with Redox, Water, and Metabolic Homeostases. Plants 2025, 14, 145. https://doi.org/10.3390/plants14020145
Zhou M, Wu Y, Yang Y, Yuan Y, Lin J, Lin L, Li Z. Trade-Off Between Enzymatic Antioxidant Defense and Accumulation of Organic Metabolite Affects Salt Tolerance of White Clover Associated with Redox, Water, and Metabolic Homeostases. Plants. 2025; 14(2):145. https://doi.org/10.3390/plants14020145
Chicago/Turabian StyleZhou, Min, Yuting Wu, Yuchen Yang, Yan Yuan, Junnan Lin, Long Lin, and Zhou Li. 2025. "Trade-Off Between Enzymatic Antioxidant Defense and Accumulation of Organic Metabolite Affects Salt Tolerance of White Clover Associated with Redox, Water, and Metabolic Homeostases" Plants 14, no. 2: 145. https://doi.org/10.3390/plants14020145
APA StyleZhou, M., Wu, Y., Yang, Y., Yuan, Y., Lin, J., Lin, L., & Li, Z. (2025). Trade-Off Between Enzymatic Antioxidant Defense and Accumulation of Organic Metabolite Affects Salt Tolerance of White Clover Associated with Redox, Water, and Metabolic Homeostases. Plants, 14(2), 145. https://doi.org/10.3390/plants14020145

