Next Article in Journal
Screening and Identification of Cadmium-Tolerant, Plant Growth-Promoting Rhizobacteria Strain KM25, and Its Effects on the Growth of Soybean and Endophytic Bacterial Community in Roots
Previous Article in Journal
Ecophysiological Keys to the Success of a Native-Expansive Mediterranean Species in Threatened Coastal Dune Habitats
Previous Article in Special Issue
Copper and Temperature Interactions Induce Differential Physiological and Metal Exclusion Responses in the Model Brown Macroalga Ectocarpus
 
 
Font Type:
Arial Georgia Verdana
Font Size:
Aa Aa Aa
Line Spacing:
Column Width:
Background:
Article

Environmental Stressors Modulating Seasonal and Daily Carbon Dioxide Assimilation and Productivity in Lessonia spicata

1
Doctorado Interdisciplinario en Ciencias Ambientales, Facultad de Ciencias Naturales y Exactas, Universidad de Playa Ancha, Valparaíso 2360004, Chile
2
Doctorado en Biotecnología Avanzada, Facultad de Ciencias, University of Malaga, 29010 Malaga, Spain
3
Laboratorio de Investigación Ambiental Costero/HUB Ambiental UPLA, Facultad de Ciencias Naturales y Exactas, Universidad de Playa Ancha, Valparaíso 2360004, Chile
4
Centro de Investigación en Tecnologías para la Sociedad, Facultad de Ingeniería, Universidad del Desarrollo, Santiago 7610685, Chile
5
Institute of Blue Biotechnology and Development (IBYDA), University of Malaga, 29071 Malaga, Spain
6
Departamento de Filosofía, Historia y Turismo, Facultad de Humanidades, Universidad de Playa Ancha, Valparaíso 2370957, Chile
7
Laboratorio de Química Ambiental (Lab QA), Departamento de Ciencias y Geografía, Facultad de Ciencias Naturales y Exactas, Universidad de Playa Ancha, Valparaíso 2360004, Chile
*
Author to whom correspondence should be addressed.
Plants 2025, 14(15), 2341; https://doi.org/10.3390/plants14152341
Submission received: 12 June 2025 / Revised: 13 July 2025 / Accepted: 21 July 2025 / Published: 29 July 2025
(This article belongs to the Special Issue Marine Macrophytes Responses to Global Change)

Abstract

Carbon dioxide (CO2) emissions due to human activities are responsible for approximately 80% of the drivers of global warming, resulting in a 1.1 °C increase above pre-industrial temperatures. This study quantified the CO2 assimilation and productivity of the brown macroalgae Lessonia spicata in the central Pacific coast of Chile, across seasonal and daily cycles, under different environmental stressors, such as temperature and solar irradiance. Measurements were performed using an infra-red gas analysis (IRGA) instrument which had a chamber allowing for precise quantification of CO2 concentrations; additional photophysiological and biochemical responses were also measured. CO2 assimilation, along with the productivity and biosynthesis of proteins and lipids, increased during the spring, coinciding with moderate temperatures (~14 °C) and high photosynthetically active radiation (PAR). Furthermore, the increased production of photoprotective and antioxidant compounds, including phenolic compounds, and carotenoids, along with the enhancement of non-photochemical quenching (NPQ), contribute to the effective photoacclimation strategies of L. spicata. Principal component analysis (PCA) revealed seasonal associations between productivity, reactive oxygen species (ROSs), and biochemical indicators, particularly during the spring and summer. These associations, further supported by Pearson correlation analyses, suggest a high but seasonally constrained photoacclimation capacity. In contrast, the reduced productivity and photoprotection observed in the summer suggest increased physiological vulnerability to heat and light stress. Overall, our findings position L. spicata as a promising nature-based solution for climate change mitigation.

1. Introduction

The recent changes to the climate, due to rising anthropogenic greenhouse gas (GHG) emissions, particularly CO2, have been unprecedented across hundreds of thousands of years [1]. Nature-based solutions (NbS) like marine vegetated habitats play a key role in climate change mitigation by enhancing carbon storage and sequestration [2,3,4]. The assimilation of inorganic carbon (C) by macroalgae through photosynthesis is the most important energy base of highly productive coastal ecosystems [5,6]. Indeed, this assimilation is conducted by capturing atmospheric CO2 and/or its dissolved inorganic form (DIC) in water as a bicarbonate (HCO3), under certain temperature and light conditions [7,8,9,10]. Once inorganic C is assimilated and subsequently fixed, it can be sequestered in its organic form through four main pathways: released as dissolved organic carbon (DOC) and able to be exported to other environments (horizontal transport); released as particulate organic carbon (POC), which can be buried in marine sediments (vertical transport); exported from DOC and/or POC to deep-water areas with long residence times; used as a biomass for primary consumers (C donor) due to its high content of macronutrients as reserve carbohydrates (up to 32–60% of dry weight), followed by proteins (7–31% of dry weight) and lipids (2–13% of dry weight), which differ according to the species, geographic location, seasonal cycle and environmental conditions [9,11,12,13,14,15,16].
Climate change exposes rocky intertidal macroalgae to environmental stressors, such as temperature, PAR (photosynthetically active radiation) and high doses of UV (ultraviolet radiation) with negative effects on their growth, reproduction, diversity, biosynthesis of macronutrients and physiology [11,17,18,19]. Indeed, the macroalgae in the coastal zones, exhibit high carbon-to-nitrogen (C: N) ratios and achieve net primary productivity (NPP) rates of ~1826 Tg C yr−1 that correspond to ~1% of global primary productivity with ~199 Tg C effectively sequestered [3,20,21,22]. In this sense, the excess of irradiance and elevated temperatures has a negative effect on pigment compositions such as chlorophylls and carotenoids, leading to PSII photoinhibition, electron transport chain disruption, and reduced ATP and NADPH production, which are essential for CO2 fixation [23,24]. Furthermore, several studies have demonstrated that global warming and marine heatwaves significantly impact the phenology and physiology of brown macroalgae, affecting their growth, size, and overall performance at both early and adult stages [25,26,27,28]. Wright et al. [29] analyzed how shifts in the composition of brown seaweed forests due to ocean warming could alter their carbon sequestration potential. Species such as L. digitata and L. hyperborea are being replaced by the warm-adapted L. ochroleuca. While L. ochroleuca exports up to 71% more carbon than the cold-water species, its organic matter decomposes 155% faster, reducing its long-term carbon sequestration efficiency. These findings highlight the need for further research to establish the optimal thermal thresholds for both carbon sequestration and organic matter decomposition in other brown macroalgae. Consequently, the high levels of UV radiation exacerbate stress by generating reactive oxygen species (ROSs), causing oxidative damage to cellular structures [19,30]. To counteract these effects, intertidal macroalgae adopt protective strategies, including synthesizing photoprotective and antioxidant compounds, morphological adaptations, and physiological plasticity [19,31,32,33,34]. Understanding their physiological and biochemical responses is therefore crucial to assessing the impact of these stressors on CO2 assimilation, productivity, and biosynthesis of macronutrients in macroalgae [6,11,19,23].
In the central coast of Chile (29–36° S), understanding the physiological, photochemical, and biochemical responses of the L. spicata macroalgae to environmental variability is critical for assessing its role in carbon dynamics under climate change scenarios [19,35,36]. This study is the first to evaluate the seasonal and daily variation in CO2 assimilation, primary productivity, and macronutrient biosynthesis in L. spicata, aiming to elucidate the influence of environmental stressors as temperature and solar irradiance (PAR/UVA) on their photoacclimation capacity. We hypothesize that L. spicata exhibits higher CO2 assimilation productivity and macronutrient biosynthesis during the central hours of the day in the spring and summer time, when temperature and irradiance are elevated. The findings will enhance our understanding of L. spicata as a carbon assimilator and open the discussion that seaweed might be considered as mitigators of the climate change scenarios in the Pacific Ocean.

2. Material and Methods

2.1. Sampling and Study Area

The brown seaweed L. spicata (Surh) Santelices (Phaeophyceae, Laminariales) is the most abundant species found along the Chilean coast and is distributed from central Chile (29° S) to the south of the Gulf of Penas (46°59′–47°40′ S) [37,38]. Six fully grown L. spicata samples were randomly collected in an intertidal zone at a minimum distance of 10 m from the shore along a 70 m transect in Playa Cochoa (Figure 1A), Valparaíso region (32°57′19” S; 71°32′52″ W), during each season in 2022 (summer, autumn, winter, and spring) along a daily cycle (at 10:00, 14:00 and 18:00 h, according to Local Time). In situ physiological measurements were then made in a container with 1.5 L of seawater. At the same time, thallus samples from L. spicata were frozen in liquid nitrogen and transported to the Laboratory of Costal Environmental Research at the Environmental HUB, Universidad de Playa Ancha, and preserved at −80 °C for biochemical analysis.
Seawater temperature, salinity, pH, and conductivity were measured using a multiparameter water quality meter (HI 98194, Hanna Instruments, Woonsocket, RI, USA). Changes in the spectral composition of solar radiation, PAR (λ = 400–700 nm), and ultraviolet-A and -B (UVA) radiation (λ = 315–400 nm) were quantified through Apogee sensors (Apogee Instruments, Logan, UT, USA) with a data logger (HOBO UX120-006M, Onset Computer Corporation, Bourne, MA, USA) according to the method detailed by Celis-Plá et al. [19].

2.2. Photosynthetic Activity

2.2.1. CO2 Assimilation and Quantification

CO2 concentration (ppm) was measured in a closed equilibration chamber containing 15 g of fresh weight (FW) L. spicata and 500 mL of seawater over a 1 h incubation period. Gas-phase CO2 levels were monitored in real time using a GasScouter G4301 (Picarro, Santa Clara, CA, USA) infrared spectrometer, which operates via cavity-ring-down spectroscopy (CRDS) [39,40]. This technique uses a three-mirror optical cavity to maintain a continuous infrared light path, enhancing detection sensitivity and measurement precision. Once equilibrium was reached (Figure 1B), the amount of assimilated carbon (mg C–CO2/kg) was calculated following the approach described by Stock et al. [41].
In the first step, the number of CO2 moles (nCO2) present in the chamber was determined using the ideal gas law (Equation (1)).
n C O 2 = P × V R × T
where P is the partial pressure of CO2 (Pa), V is the volume of CO2 in the equilibrium chamber (m3), R is the ideal gas constant (8.314 m3 Pa/mol K), and T is the system temperature (K).
In the second step, the nCO2 value was then converted into carbon mass based on the chamber volume and algal biomass, as described according to Equation (2).
M a s s C C O 2   ( c h a m b e r ) = n C O 2 × M M C O 2 × 1000
where MMCO2 is the molar mass of CO2 (44.01 g mol−1).
Finally, CO2 assimilation was normalized by the algal biomass of L. spicata and was calculated according to Equation (3):
M a s s C C O 2   / k g   F W = M a s s C C O 2   ( c h a m b e r ) B i o m a s s L .   s p i c a t a   i n   k g × 1000
where biomass refers to the fresh weight of the algal sample (15 g). The net CO2 assimilation rate was expressed in units of mg C kg−1 FW h−1, indicating the amount of carbon assimilated per kilogram of fresh biomass per hour.

2.2.2. In Vivo Chlorophyll a Fluorescence

In Vivo fluorescence of chlorophyll-a (chla) associated with photosystem II (PSII) as an estimator of photosynthetic activity was determined using a Mini PAM II portable fluorometer with WinControl-3.2 software (Walz GmbH, Effeltrich, Germany). L. spicata samples were placed in 10 mL incubation chambers with seawater to obtain Rapid Light Curves (RLCs) during the daily cycle. The RLCs represent the saturation characteristics of PSII electron transport and overall photosynthetic performance [42].

2.2.3. Maximum Quantum Yield (Fv/Fm)

To determine the maximum quantum yield (Fv/Fm), algal thalli were incubated in a dark chamber with fresh seawater for 15 min before measuring the RLCs to completely photo-reduce all reaction centers [19]. Once the L. spicata samples were in a dark-adapted state, the minimum (Fo) and maximum (Fm) quantum yields were determined. The maximum quantum yield of PSII (Fv/Fm) derived from the parameters Fm and Fo, according to Schreiber et al. [43], is an estimator of the physiological state and photoinhibition of the thalli:
F v F m = F m F 0 F m
where F′m is the maximum fluorescence induced with a pulse of saturating white light and Fo is the current steady-state fluorescence in light-adapted algae.

2.2.4. Electron Transport Rate (ETR)

The electron transport rate (ETR) is an indicator of photosynthetic productivity and capacity, and was determined by exposing the tissue for a period of 12 incremental irradiances of actinic light: E1 = 25, E2 = 45, E3 = 66, E4 = 90, E5 = 125, E6 = 190, E7 = 285, E8 = 420, E9= 625, E10= 845, E11= 1150 and E12= 1500 μmol photons m2 s−1; this was carried out according to the methodology detailed by Celis-Plá et al. [19]. The ETR was calculated according to Equation (5) [43]:
E T R µ m o l   e l e c t r o n   m 2   s 1 = Δ F F m × E × A × F I I
where the ΔF/F′m is the effective quantum yield; E is the incident PAR irradiance expressed in μmol photons m−2 s−1; A is the thallus absorptance equivalent to the fraction of incident irradiance that is absorbed by algae estimated using a PAR sensor [44]; and FII is the fraction of Chla associated with PSII (400-700 nm), which is 0.8 in brown macroalgae such as L. spicata, according to Figueroa et al. [45]. Photosynthetic parameters such as the maximum electron transport rate (ETRmax) and photosynthetic efficiency (αETR) were calculated from the tangential model reported by Eilers and Peeters [46].
Non-Photochemical Quenching (NPQ)
NPQ is one of the main photoprotection mechanisms of photosynthetic organisms, according to Celis-Plá et al. [42] (Equation (6)):
N P Q = F m / F m F m
The parameters associated with NPQ (non-photochemical efficiency: αNPQ, and the maximal NPQ) were obtained from the tangential model function reported by Eilers and Peeters [46].

2.3. Biochemical Indicators

All biochemical determinations were performed on fresh samples of L. spicata to preserve the integrity of sensitive compounds such as photosynthetic pigments, phenolic compounds, and antioxidant molecules, which are susceptible to degradation during drying. To enable standardized expression of results and ensure comparability with other studies, all values were converted to dry weight (DW). The fresh–dry weight ratio (FW/DW) was calculated experimentally in this study by drying representative subsamples at 60 °C for 48–72 h. The mean ratio obtained was 2.84, which is consistent with the values previously reported for L. spicata under similar environmental conditions [19]. This conversion factor was subsequently used to express biochemical data on a DW basis.

2.3.1. Pigment Content

Photosynthetic pigments, including chlorophyll-a (Chla), chlorophyll-c (Chlc) and total carotenoids (TCs), were extracted from 20 mg of fresh L. spicata tissue using 1.5 mL of 90% acetone. Pigment concentrations were determined spectrophotometrically using a spectrophotometer (SPECTROstar Nano, BMG Labtech, Ortenberg, Germany) and calculated according to the method described by Ritchie [47]:
C h l a   ( m g   g 1   D W ) = 11.47 ( A 664 A 750 ) 0.45 ( A 630 A 750 )
C h l c   ( m g   g 1   D W ) = 22.679 ( A 630 A 750 ) 3.404 ( A 664 A 750 )
T C m g   g 1   D W = 10 ( A 480 A 750 )
where A is the absorbance of the extract at a certain wavelength (λ; nm).

2.3.2. Total Phenolic Compounds (PC)

Total phenolic compounds were determined using 0.25 g fresh weight (FW) samples. The samples were pulverized in a mortar using 2.5 mL of 80% methanol. The mixture was transferred to a 15 mL falcon tube and vortexed at 4 °C for 12 to 24 h. Then, it was centrifuged at 4000 rpm for 30 min at 4 °C, and 3 μL of the supernatant was collected for mixing with 237 μL of distilled water and 15 μL of Folin–Ciocalteu reagent [48], as modified by Celis-Plá et al. [42], and shaken vigorously. Finally, 45 μL of 20% anhydrous Na2CO3 was added. The samples were placed for 2 h in the dark at 4 °C, and the absorbance was measured in a spectrophotometer (SPECTROstar Nano, BMG Labtech, Ortenberg, Germany) at 760 nm. For the calibration curve, phloroglucinol (1,3,5-trihydroxybenzene, Sigma P-3502) was used as a standard.

2.3.3. DPPH Total Antioxidant Capacity

The antioxidant activity of seaweed extracts was estimated indirectly using the method based on the reduction of the stable free radical DPPH (2,2-diphenyl-1-picrylhydrazyl), according to the methodology detailed by Blois [49] and modified by Celis-Plá et al. [42]. The same supernatant used for phenolic compounds was used for DPPH analysis. A total of 150 μL of DPPH prepared in 90% methanol (90MeOH: 10H2O) was added to each extract. The reaction was completed after 30 min in the darkness at room temperature (~20 °C), and the absorbance was read at 517 nm in the spectrophotometer (SPECTROstar Nano, BMG Labtech, Ortenberg, Germany). The calibration curve was used to calculate the remaining concentration of DPPH in the reaction mixture after incubation [42].

2.3.4. Quantification of Thiobarbituric Acid Reactive Substances (TBARSs)

TBARSs, as a proxy for lipid peroxidation, were measured according to the methodology of Sáez et al. [50], by spectrophotometry. A total of 200 mg of frozen biomass was triturated with liquid nitrogen; this was then mixed with 300 μL of 0.1% TCA, vortexed for 10 min, and centrifuged at 17,800× g for 15 min at 4 °C. Then, 200 μL of the supernatant was taken and mixed with 200 μL of 0.5% Thiobarbituric acid (TBA), and incubated for 45 min at 95 °C. Finally, 200 μL of the supernatant was transferred to a microplate to read the absorbance at 532 nm using a spectrophotometer (SPECTROstar Nano, BMG Labtech, Ortenberg, Germany). Commercial malondialdehyde (MDA, Sigma Aldrich Merck, Darmstadt, Germany) was used for the calibration curve. The data were normalized against total protein concentrations measured by the Bradford method [51].

2.3.5. Total Reactive Oxygen Species (ROSs)

Oxidative damage was measured using the Fluorometric Intracellular Ros Kit (orange) provided by Sigma-Aldrich and modified by Pérez-Hernández et al. [52]. In total, 300 mg of frozen biomass was triturated with liquid nitrogen, and then 300 μL of 0.5 M HCl was added. The samples were shaken vigorously for 10 min at room temperature and then centrifuged for 5 min at 7500 rpm at 4 °C. Subsequently, an aliquot of 100 μL of the supernatant, 100 μL of 100 mM Na3PO4 buffer (pH 6.8), and 0.5 μL of fluorophore was added to a dark, multicell plate. The relative fluorescence units (RFUs) were measured at 540 nm (excitation) and 570 nm (emission) in a fluorometric spectrophotometer Cytation 5 (BioTek, Agilent, Santa Clara, CA, USA).

2.4. Stoichiometry (C:N Ratios)

Total internal C and N contents expressed as % of sample dry weight (DW) were determined by using an element analyzer (model CNHS 932, LECO Corporation, St Joseph, MI, USA) according to Celis-Plá et al. [19].

2.5. Total Proteins (TPs), Lipids (TLs), and Carbohydrates (TCs)

TP was measured following the methodology of Slocombe et al. [53], adapted for L. spicata. Lyophilized tissue (10 mg) was treated with 0.2 mL of 10% TCA and heated at 95 °C for 15 min. After cooling, 250 µL of distilled water was added, and the sample was centrifuged (10 min, 4400 rpm). The pellet was resuspended in 0.5 mL of Lowry D-NaOH reagent and incubated at 80 °C for 60 min, then centrifuged again. From the supernatant, 50 µL was mixed with 950 µL of the Lowry D-NaOH reagent, incubated for 10 min at room temperature, and followed by 100 µL of 1N Folin reagent and further incubation for 30 min. Absorbance of a 200 µL aliquot was measured at 600 nm (Femto 800 XI, Brazil). Protein concentration was calculated using the method described by Bradford [51], with BSA as standard (Sigma-Aldrich, St. Louis, MO, USA).
TL was extracted from 0.05 g of freeze-dried L. spicata using chloroform/methanol (2:1, v/v) according to the work of Bligh and Dyer [54]. The solvent was evaporated under reduced pressure, and the lipid residue was dried to a constant weight for gravimetric quantification.
TC content was quantified following the work of Albalasmeh et al. [55], adapted for L. spicata. A total of 1 mg of the freeze-dried sample was reacted with 3 mL of concentrated H2SO4, before being vortexed and cooled on ice. Absorbance was measured at 315 nm (Femto 800 XI, São Paulo, Brazil), and concentrations were calculated using a glucose standard curve.

2.6. Statistical Analysis

Data normality and homoscedasticity were tested using Shapiro–Wilk and Bartlett tests, respectively. ANOVA was applied to evaluate differences in physiological and biochemical variables across seasons and daily cycles (10:00, 14:00, 18:00 h), according to Underwood [56], using RStudio Team [57] with three replicates per condition. Principal coordinate analysis (PCA) was performed in PRIMER 6 with PERMANOVA+ [58] based on Euclidean distances to assess the contribution of variables to multivariate variance. Arrows in the ordination plot indicate variables with the highest influence. Pearson correlations and linear regressions were calculated in Sigma Plot 15 to explore relationships among dependent variables.

3. Results

3.1. Environmental Variables

Mean seawater temperatures varied significantly across seasons and time zones (Table 1). Autumn values ranged from 12.88 °C to 13.60 °C, winter from 12.03 °C to 13.42 °C, spring from 12.50 °C to 13.57 °C, and summer from 12.46 °C to 14.98 °C, which was the highest range recorded. The average PAR values showed significant differences in all seasons of the year and between times (Table 1). Irradiance of PAR reached maximal values in spring and summer, i.e., 1323.68 µmol m−2 s−1 and 1259.68 µmol m−2 s−1 at 14:00 h, respectively. In contrast, autumn and winter exhibited lower maxima of 989.16 µmol m−2 s−1 and 375.10 µmol m−2 s−1, both recorded at 14:00 h (Table 1). UVA radiation values differed significantly throughout winter and spring (Table 1). The highest level was observed in the spring, with values of 11.26 W m−2 at 14:00 h. In the summer and autumn, maximum values were recorded at 14:00 h, reaching 9.77 W m−2 and 10.01 W m−2, respectively.

3.2. Photosynthetic Activity

3.2.1. CO2 Assimilation

The net primary productivity (NPP) of L. spicata represents CO2 assimilation (mg C–CO2 kg−1 algae) and was significantly different for all factors (Figure 2A, Table S1). The NPP increased in springtime, with 144.8 mg C–CO2 kg−1 FW h−1 at midday; lower values were recorded in the summertime.

3.2.2. In Vivo Chlorophyll a Fluorescence

The maximum quantum yield (Fv/Fm) of L. spicata showed significant differences across all factors (Figure 3A, Table S1). The Fv/Fm showed the highest mean values (~0.75) at 18:00 h in the autumn and winter. The lowest photo-inhibition, i.e., the lowest Fv/Fm values (~0.50), were observed at midday.
ETRmax as an indicator of maximal photosynthetic activity showed significant differences between all factors (Figure 2B, Table S1). The highest values throughout the year were recorded at midday, with 102.99 and 79.11 µmol electrons m−2 s−1 in the winter and spring, respectively. In the spring and winter, ETRmax increased from 10:00 to 14:00 and decreased to 18:00 (Figure 2B). In the summertime, the ETRmax values at 10:00 were similar to those in the wintertime; however, in contrast to the winter and the spring, the values decreased throughout the day, reaching the minimal values of 45.26 µmol electrons m−2 s−1 at 18:00. In the autumn, the ETRmax values did not present differences throughout the day. These findings are consistent with Pearson analyses (Table S2), where a negative correlation was observed between temperature and NPP, and a positive correlation was observed between NPP and ETRmax, PAR and temperature, and UVA and ETRmax.
NPQmax values present significant differences between all factors (Figure 3B, Table S1). In the winter and spring, the NPQmax increased at midday and subsequently decreased by the end of the daily cycle alongside the ETRmax. In contrast, in the summertime, NPQmax values decreased throughout the day alongside the ETRmax. Maximal NPQ values were observed in summer period at 10:00 (Figure 3B).

3.3. Biochemical Responses

The pigment contents in L. spicata showed a significant difference across all factors (Figure 4A, B and C, Table S1). Chla and Chlc levels increased (~0.9 mg g−1 DW, and ~0.14 mg g−1 DW, respectively) at midday during the winter and springtime, with lower values in the autumn and summer (~0.5 mg g−1 DW, and ~0.09 mg g−1 DW, respectively) (Figure 4). Total carotenoid (TC) values were always highest during the summer (~0.65 mg g−1 DW), while the lowest values (~0.30 mg g−1 DW) were in the winter and spring (Figure 4C).
Phenolic compounds (PCs) in L. spicata showed significant differences across all factors (Figure 5A, Table S1). The PC values were higher in the summer (~33.29 mg g−1 DW) and autumn (~25.44 mg g−1 DW). PC observed a similar pattern in the winter, with a maximum value ~ 13.18 mg g−1 DW at 10:00. In contrast, PC values increased throughout the day in the springtime, reaching a maximum of ~14 mg g−1 DW at 18:00 h. The DPPH content in L. spicata exhibited significant differences across all factors (Figure 5B, Table S1). During the daily cycle, DPPH was higher in the spring (~6–8 µM TE mg−1 DW) and wintertime (~9 µM TE mg−1 DW), whereas in the summer, DPPH showed a lower value (~8 µM TE mg−1 DW). These results are consistent with the positive Pearson correlation (Table S2) observed between PCs and DPPH.
The TBARS content in L. spicata exhibited a significant difference across all factors (Figure 6A, Table S1). During the autumn and summer, higher values were observed throughout the daily cycle, between ~6.04 and 5.91 nmol g−1 DW, respectively. In contrast, the TBARS content decreased in the spring, ranging from ~2 to 1.73 nmol g−1 DW. The total ROS content in L. spicata showed significant differences across all factors (Figure 6B, Table S1). The highest values, reaching 342.45 RFU/mg, were observed in the autumn at 14:00 and 18:00 h; in contrast, the lowest values, around 75.16 RFU/mg, were recorded in the winter and spring at the same times.

3.4. Stoichiometry (C:N)

Regarding the C:N ratio in L. spicata, significant differences were observed across all factors (Figure 7, Table S1). Overall, the C:N ratio showed slight variations throughout the day, reaching its highest value in the autumn at 14:00 h (~15.16 mgC g−1 DW/ mgN g−1 DW). In contrast, summer exhibited consistently lower ~13.35 mgC g−1 DW/ mgN g−1 DW.

3.5. Total Proteins, Lipids and Carbohydrates

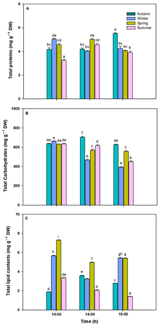
TP, TC, and TL contents in L. spicata showed significant differences across all factors (Figure 8A–C, Table S1). TP content was higher in the autumn, at ~5.52 mg g−1 DW at the end of the experimental time (Figure 8A). Indeed, the TL content was higher in ~7.29 mg g−1 DW at the start of the experimental period (Figure 8B). Finally, TC content was higher in the autumn time during the central hours of the day, at ~ 705.12 mg g−1 DW (Figure 8C).

3.6. Multivariable Results

Principal component analysis (PCA) revealed distinct seasonal patterns in the multivariate structure of the physiological and biochemical profiles of Lessonia spicata (Figure 9). The first two principal components explained 65.5% of the total variance (PC1: 44.1%, PC2: 21.4%). Samples were clearly separated by season within the ordination space, reflecting strong covariation among key functional traits.
Spring and winter samples clustered along vectors associated with elevated net primary productivity (NPP) and total lipid content (TL), indicative of metabolically active growth states. Spring samples were further associated with high total protein (TP) and moderate to high electron transport rates (ETRmax), suggesting an optimal physiological condition characterized by efficient carbon assimilation and macronutrient biosynthesis under favorable conditions of moderate temperature and high irradiance. Winter samples aligned with elevated ETRmax and moderate non-photochemical quenching (NPQmax), reflecting high photosynthetic efficiency during this season.
In contrast, summer samples were primarily associated with elevated pigment concentrations (Chla, Chlc, Car) and antioxidant activity (DPPH, PC), indicating enhanced photoprotective responses to high irradiance and thermal stress. Autumn samples clustered with variables linked to oxidative stress and photo-inhibition, including reactive oxygen species (ROSs), maximum quantum yield (Fv/Fm), and total carbon (C), suggesting a distinct stress-related physiological state. These multivariate patterns, shaped by the covariance among ecophysiological variables, offer integrative insights into the seasonal dynamics of L. spicata that would not be apparent through univariate analyses alone.

4. Discussion

This study demonstrates a clear seasonal modulation of L. spicata in its physiological, biochemical, and photochemical traits, reflecting its capacity to adjust metabolic functions in response to fluctuating environmental conditions. The integration of multivariate analyses provides a coherent understanding of how environmental drivers such as temperature, solar irradiance (PAR and UVA), and seasonal photoperiods interact to shape the organism’s performance across all seasons. Winter and spring were consistently associated with enhanced carbon assimilation and productivity, as evidenced by elevated net primary productivity (NPP), maximal electron transport rate (ETRmax), total lipids (TLs), and total protein (TP) content. These variables are clustered together in multivariable analyses in combination with PCA and aligned with periods of moderate temperature and high irradiance. Spring emerged as a physiological optimum for Lessonia spicata, where favorable environmental conditions promoted simultaneous enhancement of photosynthetic performance and macronutrient biosynthesis. This was supported by strong positive correlations among net primary productivity (NPP), electron transport rate (ETRmax), total protein (TP), and total lipids (TLs), indicating a metabolically active and efficient physiological state. In contrast, samples collected during the summer and autumn exhibited distinct physiological adjustments associated with environmental stress. During the summer, although irradiance remained high, elevated seawater temperatures appeared to suppress photosynthetic efficiency and metabolic activity, as reflected by reduced NPP, ETRmax, and TL values. Nevertheless, concentrations of photosynthetic pigments (Chl a, Chl c, and total carotenoids) and antioxidant compounds (DPPH and phenolic compounds, PC) were highest during this season. These responses suggest that L. spicata activates photoprotective and antioxidant mechanisms to cope with excessive light and thermal stress, which is consistent with previous observations [19,36].
In autumn, the physiological profile of L. spicata was characterized by elevated levels of reactive oxygen species (ROSs) and a decline in the maximum quantum yield of photosystem II (Fv/Fm), indicating the occurrence of oxidative stress and photoinhibition. Concurrently, the accumulation of total carbon and increased C:N ratios suggest a metabolic shift toward carbon storage, potentially at the expense of growth and protein synthesis.
These seasonal contrasts underscore the species’ capacity for flexible, seasonally adjusted metabolic strategies, allowing L. spicata to maintain functional performance across a dynamic and often stressful coastal environment. In previous studies, the seasonal plasticity and photoprotective strategies of L. spicata have been described in response to temperature and irradiance variability [19,35,36]. This is the first study to quantify its direct CO2 assimilation rate and assess the seasonal dynamics of key macronutrients such as proteins, lipids, and carbohydrates in this species from the Bay of Valparaíso. Due to their high NPP, macroalgae are increasingly recognized as significant contributors to coastal carbon sequestration [59,60,61,62]. Duarte et al. [62] estimated an average annual PPN of ~0.59 kg C m−2 yr−1 (equivalent to 161.64 mg C m−2 day−1) in intertidal kelp forests, such as Durvillaea antarctica. Similarly, Eger et al. [63] reported that kelp forests dominated by species such as Ecklonia spp., Lessonia spp., Laminaria spp., Saccharina spp., Macrocystis spp., and Nereocystis spp. can sequester between 31 and 214 g C m−2 yr−1, with a carbon assimilation rate close to 10% of their NPP. However, the seasonal dynamics of NPP in intertidal macroalgae remain poorly understood, despite clear evidence that environmental factors, particularly temperature and photosynthetically active radiation (PAR), drive strong seasonal variation in productivity [28,64,65]. The physiological and biochemical responses of brown macroalgae, including carbon allocation and photoprotection, are also modulated by temperature, UV, and PAR [19,66,67,68].
In our study, the highest values for NPP (~144.8 mg C–CO2 kg−1 FW h−1) and ETRmax (~102.9 µmol e- m−2 s−1) were recorded in the spring at midday, under high PAR (~1323.6 µmol photons m−2 s−1), moderate UVA (~11.26 W m−2), and seawater temperature conditions (~13.6 °C). These conditions were associated with the enhanced biosynthesis of organic compounds such as TPs (~5.013 mg g−1 DW) and TLs (~4.973 mg g−1 DW). In contrast, during the summer, at midday, although irradiance levels (PAR and UVA) were similar to those recorded in the spring, lower NPP (~6.034 mg CC–CO2 kg−1 FW h−1) and ETRmax (~57.81 µmol e- m−2 s−1), and TL (~2.065 mg g−1 DW) values were recorded, coinciding with the water temperatures exceeding 14 °C. This suggest that thermal stress may impair photosynthetic efficiency, carbon fixation, and energy storage in L. spicata, as has been observed in other macroalgae assemblages where rising temperatures increase respiration rates over photosynthetic rates, which may reduce NPP and thus carbon sequestration capacity [69,70,71].
Interestingly, although UVA radiation is typically harmful to photosynthetic organisms, it did not appear to significantly limit the photosynthetic capacity of L. spicata in the months of highest productivity. In fact, UVA-Blue photoreceptors have been shown to activate enzymes involved in carbon assimilation, such as carbonic anhydrase, nitrogen metabolism, and nitrate reductase, suggesting a potential regulatory role of UVA under moderate exposure [72,73,74]. This dual role of UVA as both a stressor and facilitator depend on its intensity and duration of exposure [75]. For comparison, Migné et al. [76] reported gross primary productivity values for L. digitata ranging from ~24 to 456 mg C m−2 h−1, and ETRmax ~50–180 µmol electrons m−2 s−1 during spring and summer in the North Atlantic (France), under high PAR levels of ~1933-2248 µmol photons m−2 s−1 and seawater temperatures between ~11–18 °C. Although the irradiance conditions in our study were comparable, L. spicata showed a marked reduction in NPP and TLs during summer, coinciding with temperatures exceeding 14 °C. This contrast suggests that elevated temperatures may constrain carbon fixation in L. spicata, despite favorable light conditions. These findings reinforce the notion that macroalgal productivity is not solely dependent on irradiance, but rather on the complex interaction of multiple environmental drivers, including temperature.
Variations in environmental stressors influence not only NPP and ETRmax, but also key metabolic process such as the Calvin cycle, growth, reproduction, metabolic rates, biochemical composition, and overall distribution of macroalgae [77,78,79]. In our study, the highest values of the C:N ratio (~15) were recorded during the autumn at midday, when NPP and ETRmax were lowest. However, this coincided with elevated levels of TL and carbohydrate content, suggesting that L. spicata may have experienced nitrogen limitation and redirected assimilated carbon toward the synthesis of energy storage compounds rather than rapid growth (e.g., protein synthesis). In contrast, a lower C:N ratio (~13.5) was observed during the summer at midday, along with an increase in TPs; this likely reflects enhanced protein and enzyme production linked to higher nitrogen availability, as described by Twigg et al. [80]. TLs in L. spicata ranged from ~1.41 to 7.29 mg g−1 DW, which are comparable to the values reported by Meng et al. [81] for Ascophyllum nodosum (brown alga), ranging between 0.35 and 4.72 mg g−1 DW. Regarding TPs, L. spicata showed relatively low average concentrations (~4.38 mg g−1 DW), which are consistent with the findings of Smale et al. [64], who pointed out that light intensity can act as a determining factor in biomass accumulation and storage due to its positive correlation with NPP. In addition to the effect of temperature effects on carbon sequestration discussed above, these results indicate that seasonal variability, particularly thermal stress, may influence not only the rate but also the quality of carbon fixed by L. spicata, potentially affecting its ecological performance, biogeographic distribution, and long-term ecosystem-climate services. Nevertheless, L. spicata has been shown to adjust its physiological processes in response to environmental stressors over daily and seasonal cycles through a mechanism known as photoacclimation [19]. This strategy allows macroalgae to optimize their photosynthetic performance by adapting to variations in irradiance and spectral light conditions [82]. Consequently, it implies a reduction in the Fv/Fm ratio, and an increase in the production of reactive oxygen species (ROSs) and lipid peroxidation markers such as TBARSs (oxidants). To mitigate these effects, macroalgae also activate photoprotective mechanisms, including the production of PCs and carotenoids, and the dissipation of excess energy as heat through NPQmax [19,79,83]. In this sense, our results show that L. spicata, in the springtime, at midday, recorded a greater decrease in the Fv/Fm ratio and an increase in TBARS levels compared to the rest of the seasons in the year, indicating a greater photosystem II photoinhibition [84] and an increase in oxidative damage at the membrane level. This stress was accompanied by a significant increase in NPQmax as well as in the contents of Chla, Chlc, carotenoids, ROSs, PCs, and DPPH. The increase in ROS production could have been driven by the high irradiance, which caused an overexcitation of the photosynthetic apparatus and the activation of multiple protective mechanisms, which is reflected in the increase of NPQmax [85]. Together with the accumulation of Chla, accessory pigments and PCs, which are associated with photoprotection and free radical neutralization, reflect an integrated defense strategy against environmental conditions [42,85]. In contrast, during the summer at midday, although a reduction in the Fv/Fm ratio was observed, NPQmax, Chla, Chlc, carotenoid, PC, DPPH, and TBARS values decreased significantly. However, no relevant changes were detected in the total concentration of ROSs. These results suggest that L. spicata, under conditions of higher temperature and light stress, reduces or suppresses metabolic reactions associated with photosynthesis and photoprotection mechanisms, which is reflected in the reduction in photosynthetic pigments, and lower ETRmax, NPP, and NPQmax. This could demonstrate that L. spicata presents a greater physiological vulnerability in the summer with implications for its ecological performance and resilience under climate change scenarios (higher irradiance and temperature). These findings agree with those reported by Figueroa et al. [44], who demonstrated that prolonged exposure to UV radiation significantly reduces the content of photosynthetic pigments, particularly Chla, in Ulva rotundata, associating this effect with photooxidative damage and the inhibition of pigment biosynthesis.
In contrast, the ETRmax values for L. spicata reported by Celis-Plá et al. [19] (100–120 μmol m−2 s−1) and Zúñiga et al. [36] (60–100 μmol m−2 s−1) during the summer were notably higher than those observed in the present study (40–65 μmol m−2 s−1). These differences may be attributed to variations in environmental conditions, such as elevated seawater temperatures or the cumulative effects of prior stress exposure. Additionally, it is important to highlight that our measurements were taken at later times of day compared to those in the referenced studies. As a result, the combined impact of peak irradiance and thermal load may have exceeded the photoprotective capacity of L. spicata, leading to more pronounced photoinhibition.
A similar trend was reported by Figueroa et al. [45], who documented a concurrent decline in Fv/Fm and ETRmax in Ulva rigida following medium-term (7-day) exposure to UVB radiation, demonstrating the cumulative effects of high irradiance on the functional integrity of the photosynthetic apparatus. Taken together, these findings suggest that under the combined influence of elevated temperatures and intense solar radiation—conditions characteristic of summer—the photoacclimation capacity of L. spicata may become compromised, ultimately impairing its photosynthetic efficiency and carbon assimilation potential.

5. Conclusions

This study provides novel evidence of the seasonal modulation of CO2 assimilation, productivity, and macronutrient biosynthesis in Lessonia spicata, underscoring its physiological plasticity in response to fluctuating environmental conditions. Spring emerged as the optimal season for photosynthetic efficiency and carbon storage, with elevated values of NPP, ETRmax, total proteins (TPs), and total lipids (TLs), driven by moderate seawater temperatures and high irradiance levels.
In contrast, the summer of 2022 was marked by extreme environmental conditions—high irradiance combined with elevated water temperatures—that negatively impacted photosynthetic performance and macronutrient synthesis. These findings suggest that simultaneous exposure to thermal and light stress may constrain the carbon sequestration potential of L. spicata.
Although previous studies have described the photoprotective strategies of this species, our results indicate that its photoacclimation capacity may be seasonally limited, especially under compounding environmental stressors. Moreover, the direct quantification of CO2 assimilation, combined with seasonal trends in macronutrient content, highlights the ecological significance of L. spicata not only as a key primary producer in intertidal ecosystems, but also as a promising nature-based solution for climate change mitigation in coastal environments.

Supplementary Materials

The following supporting information can be downloaded at https://www.mdpi.com/article/10.3390/plants14152341/s1: Table S1: ANOVA results; Table S2: Pearson correlation.

Author Contributions

M.T.: Data collection, Formal analysis, Methodology, Writing—original draft, Conceptualization. Z.L.F.: Writing—Review and Editing. F.L.F.: Conceptualization, Supervision, Writing—Review and Editing. N.K.: Writing—Review and Editing. R.D.: Writing—Review and Editing. C.N.: Methodology and Writing—Review. C.R.: Writing—Review and Editing. P.S.M.C.-P.: Conceptualization, Supervision, Writing—Review and Editing. All authors have read and agreed to the published version of the manuscript.

Funding

This work was supported by the National Fund for Scientific and Technological Development (FONDECYT) No. 11180197, Chile.

Data Availability Statement

Data is contained within the article and Supplementary Materials.

Acknowledgments

M.T. acknowledges support from the Chilean National Research and Development Agency (ANID) through the Doctoral Fellowship “BECAS/DOCTORADO NACIONAL 2123152.” The authors express their sincere gratitude to the Algal Biotechnology Laboratory at the University of São Carlos (Brazil), with special thanks to its Director, Dr. Ana Teresa Lombardi. This research was also supported by FONDEQUIP Mayor EQY200021. The authors further thank the “Programa de Apoyo para el Pago de Procesamiento de Artículos 2025”—Dirección General de Investigación, Universidad de Playa Ancha, Chile.

Conflicts of Interest

The authors declare that they have no known competing monetary interests or personal relationships that could have appeared to influence the work reported in this article.

References

  1. Lee, H.; Calvin, K.; Dasgupta, D.; Krinner, G.; Mukherji, A.; Thorne, P.; Trisos, C.; Romero, J.; Aldunce, P.; Barrett, K.; et al. Climate Change 2023: Synthesis Report: Contribution of Working Groups I, II and III to the Sixth Assessment Report of the Intergovernmental Panel on Climate Change; IPCC: Geneva, Switzerland, 2023. [Google Scholar]
  2. Masson-Delmotte, V.; Pörtner, H.O.; Skea, J.; Zhai, P.; Roberts, D.; Shukla, P.R.; Pirani, A.; Pidcock, R.; Chen, Y.; Lonnoy, E.; et al. Resumen para responsables de políticas. In Calentamiento Global de 1,5 °C, Informe Especial del IPCC Sobre los Impactos del Calentamiento Global de 1,5 °C con Respecto a los Niveles Preindustriales y las Trayectorias Correspondientes que Deberían Seguir las Emisiones Mundiales de Gases de Efecto Invernadero, en el Contexto del Reforzamiento de la Respuesta Mundial a la Amenaza del Cambio Climático, el Desarrollo Sostenible y los Esfuerzos por Erradicar la Pobreza; IPCC: Geneva, Switzerland, 2018. [Google Scholar]
  3. Gao, G.; Beardall, J.; Jin, P.; Gao, L.; Xie, S.; Gao, K. A review of existing and potential blue carbon contributions to climate change mitigation in the Anthropocene. J. Appl. Ecol. 2022, 59, 1686–1699. [Google Scholar] [CrossRef]
  4. Howard, J.; Sutton-Grier, A.E.; Smart, L.S.; Lopes, C.C.; Hamilton, J.; Kleypas, J.; Simpson, S.; McGowan, J.; Pessarrodona, A.; Alleway, H.K.; et al. Blue carbon pathways for climate mitigation: Known, emerging and unlikely. Mar. Policy 2023, 156, 105788. [Google Scholar] [CrossRef]
  5. Hall, J.R.; Albert, G.; Twigg, I.M.; Baltar, F.; Hepburn, C.D.; Martin, G. The production of dissolved organic carbon by macroalgae and its consumption by marine bacteria: Implications for coastal ecosystems. Front. Mar. Sci. 2022, 9, 934229. [Google Scholar] [CrossRef]
  6. Chandrani, S.; Drishanu, D.; Vaishnavi, G.; Gunaseelan, S.; Ashokkumar, B.; Uma Wayne, K.; Varalakshmi, P. Role of macroalgal blue carbon ecosystems in climate change mitigation. Sci. Total Environ. 2025, 958, 177751. [Google Scholar] [CrossRef]
  7. Watanabe, K.; Yoshida, G.; Hori, M.; Umezawa, Y.; Moki, H.; Kuwae, T. Macroalgal metabolism and lateral carbon flows can create significant carbon sinks. Biogeosciences 2020, 17, 2425–2440. [Google Scholar] [CrossRef]
  8. Ji, Y.; Gao, K. Effects of climate change factors on marine macroalgae: A review. Adv. Mar. Biol. 2021, 88, 91–136. [Google Scholar] [CrossRef] [PubMed]
  9. Filbee-Dexter, K.; Pessarrodona, A.; Pedersen, M.F.; Wernberg, T.; Duarte, C.M.; Assis, J.; Bekkby, T.; Burrows, M.T.; Carlson, D.F.; Gattuso, J.P.; et al. Carbon exports from seaweed forests to deep ocean sinks. Nat. Geosci. 2024, 17, 552–559. [Google Scholar] [CrossRef]
  10. Canvin, M.C.; Borrero-Santiago, A.R.; Brook, T.; Gupta, M.; Knoop, J.; Menage, G.; Moore, P.J.; O’Connor, N.E.; Ricart, A.M.; Smale, D.A. Can the Emerging European Seaweed Industry Contribute to Climate Change Mitigation by Enhancing Carbon Sequestration? Rev. Aquac. 2025, 17, e70004. [Google Scholar] [CrossRef]
  11. Biris-Dorhoi, E.S.; Michiu, D.; Pop, C.R.; Rotar, A.M.; Tofana, M.; Pop, O.L.; Socaci, S.A.; Farcas, A.C. Macroalgae—A sustainable source of chemical compounds with biological activities. Nutrients 2020, 12, 3085. [Google Scholar] [CrossRef] [PubMed]
  12. Chen, S.; Xu, K.; Ji, D.; Wang, W.; Xu, Y.; Chen, C.; Xie, C. Release of dissolved and particulate organic matter by marine macroalgae and its biogeochemical implications. Algal. Res. 2020, 52, 102096. [Google Scholar] [CrossRef]
  13. Dolliver, J.; O’Connor, N. Whole system analysis is required to determine the fate of macroalgal carbon: A systematic review. J. Phycol. 2022, 58, 364–376. [Google Scholar] [CrossRef] [PubMed]
  14. Handayani, T.; Zulpikar, F.; Kusnadi, A. The roles of macroalgae in climate change mitigation: Opportunities and challenges for marine-based carbon donor. IOP Conf. Ser. Earth Environ. Sci. 2022, 1119, 012014. [Google Scholar] [CrossRef]
  15. Pessarrodona, A.; Franco-Santos, R.M.; Wright, L.S.; Vanderklift, M.A.; Howard, J.; Pidgeon, E.; Wernberg, T.; Filbee-Dexter, K. Carbon sequestration and climate change mitigation using macroalgae: A state of knowledge review. Biol. Rev. 2023, 98, 1945–1971. [Google Scholar] [CrossRef]
  16. Sarkar, P.; Bandyopadhyay, T.K.; Gopikrishna, K.; Tiwari, O.N.; Bhunia, B.; Muthuraj, M. Algal carbohydrates: Sources, biosynthetic pathway, production, and applications. Bioresour. Technol. 2024, 413, 131489. [Google Scholar] [CrossRef]
  17. Ramos, E.; Guinda, X.; Puente, A.; de la Hoz, C.F.; Juanes, J.A. Changes in the distribution of intertidal macroalgae along a longitudinal gradient in the northern coast of Spain. Mar. Environ. Res. 2020, 157, 104930. [Google Scholar] [CrossRef]
  18. Gao, G.; Liu, W.; Zhao, X.; Gao, K. Ultraviolet radiation stimulates activity of CO2 concentrating mechanisms in a bloom-forming diatom under reduced CO2 availability. Front. Microbiol. 2021, 12, 651567. [Google Scholar] [CrossRef] [PubMed]
  19. Celis-Plá, P.S.M.; Trabal, A.; Navarrete, C.; Troncoso, M.; Moenne, F.; Zúñiga, A.; Figueroa, F.L.; Sáez, C.A. Daily changes on seasonal ecophysiological responses of the intertidal brown macroalga Lessonia spicata: Implications of climate change. Front. Plant Sci. 2022, 13, 941061. [Google Scholar] [CrossRef]
  20. Krause-Jensen, D.; Lavery, P.; Serrano, O.; Marbà, N.; Masque, P.; Duarte, C.M. Sequestration of macroalgal carbon: The elephant in the Blue Carbon room. Biol. Lett. 2018, 14, 20180236. [Google Scholar] [CrossRef]
  21. Wu, J.; Keller, D.P.; Oschlies, A. Carbon dioxide removal via macroalgae open-ocean mariculture and sinking: An Earth system modeling study. Earth Syst. Dyn. 2023, 14, 185–221. [Google Scholar] [CrossRef]
  22. Li, H.; Feng, X.; Xiong, T.; Shao, W.; Wu, W.; Zhang, Y. Particulate organic carbon released during macroalgal growth has significant carbon sequestration potential in the ocean. Environ. Sci. Technol. 2023, 57, 19723–19731. [Google Scholar] [CrossRef] [PubMed]
  23. Murata, N.; Takahashi, S.; Nishiyama, Y.; Allakhverdiev, S.I. Photoinhibition of photosystem II under environmental stress. Biochim. Biophys. Acta (BBA)-Bioenerg. 2007, 1767, 414–421. [Google Scholar] [CrossRef]
  24. Allorent, G.; Petroutsos, D. Photoreceptor-dependent regulation of photoprotection. Curr. Opin. Plant Biol. 2017, 37, 102–108. [Google Scholar] [CrossRef]
  25. Verdura, J.; Santamaría, J.; Ballesteros, E.; Smale, D.A.; Cefalì, M.E.; Golo, R.; de Caralt, S.; Vergés, A.; Cebrian, E. Local-scale climatic refugia offer sanctuary for a habitat-forming species during a marine heatwave. J. Ecol. 2021, 109, 1758–1773. [Google Scholar] [CrossRef]
  26. Smith, K.E.; Burrows, M.T.; Hobday, A.J.; King, N.G.; Moore, P.J.; Sen Gupta, A.; Thomsen, M.S.; Wernberg, T.; Smale, D.A. Biological impacts of marine heatwaves. Annu. Rev. Mar. Sci. 2023, 15, 119–145. [Google Scholar] [CrossRef] [PubMed]
  27. Valdazo, J.; Coca, J.; Haroun, R.; Bergasa, O.; Viera-Rodríguez, M.A.; Tuya, F. Local and global stressors as major drivers of the drastic regression of brown macroalgae forests in an oceanic island. Reg. Environ. Change 2024, 24, 65. [Google Scholar] [CrossRef]
  28. Franke, K.; Kroth, F.; Karsten, U.; Bartsch, I.; Iñiguez, C.; Graiff, A. Varying photosynthetic quotients strongly influence net kelp primary production and seasonal differences increase under warming. Front. Mar. Sci. 2024, 11, 1455706. [Google Scholar] [CrossRef]
  29. Wright, L.S.; Pessarrodona, A.; Foggo, A. Climate-driven shifts in kelp forest composition reduce carbon sequestration potential. Glob. Change Biol. 2022, 28, 5514–5531. [Google Scholar] [CrossRef] [PubMed]
  30. Martins, M.; Soares, C.; Figueiredo, I.; Sousa, B.; Torres, A.C.; Sousa-Pinto, I.; Veiga, P.; Rubal, M.; Fidalgo, F. Fucoid Macroalgae Have Distinct Physiological Mechanisms to Face Emersion and Submersion Periods in Their Southern Limit of Distribution. Plants 2021, 10, 1892. [Google Scholar] [CrossRef]
  31. Lalegerie, F.; Gager, L.; Stiger-Pouvreau, V.; Connan, S. The stressful life of red and brown seaweeds on the temperate intertidal zone: Effect of abiotic and biotic parameters on the physiology of macroalgae and content variability of particular metabolites. In Advances in Botanical Research; Academic Press: Cambridge, MA, USA, 2020; Volume 95, pp. 247–287. [Google Scholar] [CrossRef]
  32. Schmid, M.; Guihéneuf, F.; Nitschke, U.; Stengel, D.B. Acclimation potential and biochemical response of four temperate macroalgae to light and future seasonal temperature scenarios. Algal Res. 2021, 54, 102190. [Google Scholar] [CrossRef]
  33. Tziveleka, L.A.; Tammam, M.A.; Tzakou, O.; Roussis, V.; Ioannou, E. Metabolites with antioxidant activity from marine macroalgae. Antioxidants 2021, 10, 1431. [Google Scholar] [CrossRef]
  34. Sáez, C.A.; Troncoso, M.; Navarrete, C.; Rodríguez-Rojas, F.; Navarro, N.; Trabal, A.; Lavergne, C.; Pardo, D.; Brown, M.T.; Gómez, I.; et al. Photoprotective responses of three intertidal Antarctic macroalgae to short-term temperature stress. Front. Mar. Sci. 2023, 10, 1223853. [Google Scholar] [CrossRef]
  35. Gómez, I.; Español, S.; Véliz, K.; Huovinen, P. Spatial distribution of phlorotannins and its relationship with photosynthetic UV tolerance and allocation of storage carbohydrates in blades of the kelp Lessonia spicata. Mar. Biol. 2016, 163, 110. [Google Scholar] [CrossRef]
  36. Zúñiga, A.; Sáez, C.A.; Trabal, A.; Figueroa, F.L.; Pardo, D.; Navarrete, C.; Rodríguez-Rojas, F.; Moenne, F.; Celis-Plá, P.S.M. Seasonal photoacclimation and vulnerability patterns in the brown macroalga Lessonia spicata (Ochrophyta). Water 2021, 13, 6. [Google Scholar] [CrossRef]
  37. González, A.; Beltrán, J.; Hiriart-Bertrand, L.; Flores, V.; de Reviers, B.; Correa, J.A.; Santelices, B. Identification of cryptic species in the Lessonia nigrescens complex (Phaeophyceae, Laminariales). J. Phycol. 2012, 48, 1153–1165. [Google Scholar] [CrossRef] [PubMed]
  38. Rosenfeld, S.; Mendez, F.; Calderon, M.S.; Bahamonde, F.; Rodríguez, J.P.; Ojeda, J.; Marambio, J.; Gorny, M.; Mansilla, A. A new record of kelp Lessonia spicata (Suhr) Santelices in the Sub-Antarctic Channels: Implications for the conservation of the “huiro negro” in the Chilean coast. PeerJ 2019, 7, e7610. [Google Scholar] [CrossRef] [PubMed]
  39. Migné, A.; Gevaert, F.; Creach, A.; Spilmont, N.; Chevalier, E.; Davoult, D. Photosynthetic activity of intertidal microphytobenthic communities during emersion: In situ measurements of chlorophyll fluorescence (PAM) and CO2 flux (IRGA). J. Phycol. 2007, 43, 864–873. [Google Scholar] [CrossRef]
  40. Davey, P.; Lawson, T. Measurements of Carbon Assimilation in Aquatic Systems. In Photosynthesis: Methods and Protocols; Springer: New York, NY, USA, 2024; pp. 95–120. [Google Scholar] [CrossRef]
  41. Stock, S.C.; Koester, M.; Boy, J.; Godoy, R.; Nájera, F.; Matus, F.; Merino, C.; Abdallah, K.; Leuschner, C.; Spielvogel, S.; et al. Plant carbon investment in fine roots and arbuscular mycorrhizal fungi: A cross-biome study on nutrient acquisition strategies. Sci. Total Environ. 2021, 781, 146748. [Google Scholar] [CrossRef]
  42. Celis-Plá, P.S.; Bouzon, Z.L.; Hall-Spencer, J.M.; Schmidt, E.C.; Korbee, N.; Figueroa, F.L. Seasonal biochemical and photophysiological responses in the intertidal macroalga Cystoseira tamariscifolia (Ochrophyta). Mar. Environ. Res. 2016, 115, 89–97. [Google Scholar] [CrossRef]
  43. Schreiber, U.; Hormann, H.; Neubauer, C.; Klughammer, C. Assessment of photosystem II photochemical quantum yield by chlorophyll fluorescence quenching analysis. Aust. J. Plant Physiol. 1995, 22, 209–220. [Google Scholar] [CrossRef]
  44. Figueroa, F.L.; Conde-Alvarez, R.; Gómez, I. Relations between electron transport rates determined by pulse amplitude modulated chlorophyll fluorescence and oxygen evolution in macroalgae under different light conditions. Photosynth. Res. 2003, 75, 259–275. [Google Scholar] [CrossRef]
  45. Figueroa, F.L.; Domínguez-González, B.; Korbee, N. Vulnerability and acclimation to increased UVB radiation in three intertidal macroalgae of different morpho-functional groups. Mar. Environ. Res. 2014, 97, 30–38. [Google Scholar] [CrossRef]
  46. Eilers, P.H.C.; Peeters, J.C.H. A model for the relationship between light intensity and the rate of photosynthesis in phytoplankton. Ecol. Model. 1988, 42, 199–215. [Google Scholar] [CrossRef]
  47. Ritchie, R.J. Universal chlorophyll equations for estimating chlorophylls a, b, c, and d and total chlorophylls in natural assemblages of photosynthetic organisms using acetone, methanol, or ethanol solvents. Photosynthetica 2008, 46, 115–126. [Google Scholar] [CrossRef]
  48. Folin, O.; Ciocalteu, V. On tyrosine and tryptophane determinations in proteins. J. Biol. Chem. 1927, 73, 627–650. [Google Scholar] [CrossRef]
  49. Blois, M.S. Antioxidant determinations by the use of a stable free radical. Nature 1958, 181, 1199–1200. [Google Scholar] [CrossRef]
  50. Sáez, C.A.; González, A.; Contreras, R.A.; Moody, A.J.; Moenne, A.; Brown, M.T. A novel field transplantation technique reveals intra-specific metal-induced oxidative responses in strains of Ectocarpus siliculosus with different pollution histories. Environ. Pollut. 2015, 199, 130–138. [Google Scholar] [CrossRef]
  51. Bradford, M.M. A rapid and sensitive method for the quantitation of microgram quantities of protein utilizing the principle of protein-dye binding. Anal. Biochem. 1976, 72, 248–254. [Google Scholar] [CrossRef] [PubMed]
  52. Pérez-Hernández, G.; Morales, D.; Pereira-Rojas, J.; Díaz, M.J.; Blanco-Murillo, F.; Sola, I.; Rámila, C.; González, C.; González, K.; Sánchez-Lizaso, J.L.; et al. The halotolerant white sea anemone Anthothoe chilensis, highly abundant in brine discharges zones, as a promising biomonitoring species for evaluating the impacts of desalination plants. Desalination 2024, 581, 117612. [Google Scholar] [CrossRef]
  53. Slocombe, S.P.; Ross, M.; Thomas, N.; McNeill, S.; Stanley, M.S. A rapid and general method for measurement of protein in micro-algal biomass. Bioresour. Technol. 2013, 129, 51–57. [Google Scholar] [CrossRef]
  54. Bligh, E.G.; Dyer, W.J. A rapid method of total lipid extraction and purification. Can. J. Biochem. Physiol. 1959, 37, 911–917. [Google Scholar] [CrossRef] [PubMed]
  55. Albalasmeh, A.A.; Berhe, A.A.; Ghezzehei, T.A. A new method for rapid determination of carbohydrate and total carbon concentrations using UV spectrophotometry. Carbohydr. Polym. 2013, 97, 253–261. [Google Scholar] [CrossRef]
  56. Underwood, A.J. Experiments in Ecology: Their Logical Design and Interpretation Using Analysis of Variance; Cambridge University Press: Cambridge, UK, 1997; ISBN 9780521556963. [Google Scholar]
  57. RStudio Team. RStudio: Integrated Development for R; RStudio PBC: Boston, MA, USA, 2020; Available online: http://www.rstudio.com/ (accessed on 12 July 2025).
  58. Anderson, M.J. PERMANOVA+ for PRIMER: Guide to Software and Statistical Methods; PRIMER-E; Plymouth Marine Laboratory: Plymouth, UK, 2008; 214p. [Google Scholar]
  59. Krause-Jensen, D.; Duarte, C.M. Substantial role of macroalgae in marine carbon sequestration. Nat. Geosci. 2016, 9, 737–742. [Google Scholar] [CrossRef]
  60. Lian, Y.; Wang, R.; Zheng, J.; Chen, W.; Chang, L.; Li, C.; Yim, S.C. Carbon sequestration assessment and analysis in the whole life cycle of seaweed. Environ. Res. Lett. 2023, 18, 074013. [Google Scholar] [CrossRef]
  61. Ould, E.; Caldwell, G.S. The potential of seaweed for carbon capture. CABI Rev. 2022, 17, 1–9. [Google Scholar] [CrossRef]
  62. Duarte, C.M.; Gattuso, J.P.; Hancke, K.; Gundersen, H.; Filbee-Dexter, K.; Pedersen, M.F.; Middelburg, J.J.; Burrows, M.T.; Krumhansl, K.A.; Wernberg, T.; et al. Global estimates of the extent and production of macroalgal forests. Glob. Ecol. Biogeogr. 2022, 31, 1422–1439. [Google Scholar] [CrossRef]
  63. Eger, A.M.; Marzinelli, E.M.; Beas-Luna, R.; Blain, C.O.; Blamey, L.K.; Byrnes, J.E.; Carnell, P.E.; Choi, C.G.; Hessing-Lewis, M.; Kim, K.Y.; et al. The value of ecosystem services in global marine kelp forests. Nat. Commun. 2023, 14, 1894. [Google Scholar] [CrossRef] [PubMed]
  64. Smale, D.A.; Pessarrodona, A.; King, N.; Burrows, M.T.; Yunnie, A.; Vance, T.; Moore, P. Environmental factors influencing primary productivity of the forest-forming kelp Laminaria hyperborea in the northeast Atlantic. Sci. Rep. 2020, 10, 12161. [Google Scholar] [CrossRef]
  65. Pessarrodona, A.; Assis, J.; Filbee-Dexter, K.; Burrows, M.T.; Gattuso, J.P.; Duarte, C.M.; Krause-Jensen, D.; Moore, P.J.; Wernberg, T. Global seaweed productivity. Sci. Adv. 2022, 8, eabn2465. [Google Scholar] [CrossRef]
  66. Schmitz, C.; Ramlov, F.; de Lucena, L.A.F.; Uarrota, V.; Batista, M.B.; Sissini, M.N.; Oliveira, I.; Briani, B.; Martins, C.D.L.; Nunes, J.M.D.C.; et al. UVR and PAR absorbing compounds of marine brown macroalgae along a latitudinal gradient of the Brazilian coast. J. Photochem. Photobiol. B Biol. 2018, 178, 165–174. [Google Scholar] [CrossRef]
  67. Gordalina, M.; Pinheiro, H.M.; Mateus, M.; da Fonseca, M.M.R.; Cesário, M.T. Macroalgae as protein sources—A review on protein bioactivity, extraction, purification and characterization. Appl. Sci. 2021, 11, 7969. [Google Scholar] [CrossRef]
  68. Figueroa, F.L.; Álvarez-Gómez, F.; Bonomi-Barufi, J.; Vega, J.; Massocato, T.F.; Gómez-Pinchetti, J.L.; Korbee, N. Interactive effects of solar radiation and inorganic nutrients on bio-filtration, biomass production, photosynthetic activity and the accumulation of bioactive compounds in Gracilaria cornea (Rhodophyta). Algal Res. 2022, 68, 102890. [Google Scholar] [CrossRef]
  69. Tait, L.W.; Schiel, D.R. Impacts of temperature on primary productivity and respiration in naturally structured macroalgal assemblages. PLoS ONE 2013, 8, e74413. [Google Scholar] [CrossRef]
  70. Ito, M.; Scotti, M.; Franz, M.; Barboza, F.R.; Buchholz, B.; Zimmer, M.; Guy-Haim, T.; Wahl, M. Effects of temperature on carbon circulation in macroalgal food webs are mediated by herbivores. Mar. Biol. 2019, 166, 158. [Google Scholar] [CrossRef]
  71. Chabrerie, A.; Arenas, F. What if the upwelling weakens? Effects of rising temperature and nutrient depletion on coastal assemblages. Oecologia 2024, 205, 365–381. [Google Scholar] [CrossRef]
  72. López-Figueroa, F.; Rüdiger, W. Stimulation of nitrate net uptake and reduction by red and blue light and reversion by far-red light in the green alga Ulva rigida. J. Phycol. 1991, 27, 389–394. [Google Scholar] [CrossRef]
  73. Viñegla, B.; Segovia, M.; Figueroa, F.L. Effect of artificial UV radiation on carbon and nitrogen metabolism in the macroalgae Fucus spiralis L. and Ulva olivascens Dangeard. Hydrobiologia 2006, 560, 31–42. [Google Scholar] [CrossRef]
  74. Gao, K.S.; Wu, Y.P.; Li, G.; Wu, H.Y.; Villafañe, V.E.; Helbling, E.W. Solar UV-radiation drives CO2-fixation in marine phytoplankton: A double-edged sword. Plant Physiol. 2007, 144, 54–59. [Google Scholar] [CrossRef] [PubMed]
  75. Kaur, M.; Saini, K.C.; Ojah, H.; Sahoo, R.; Gupta, K.; Kumar, A.; Bast, F. Abiotic stress in algae: Response, signaling and transgenic approaches. J. Appl. Phycol. 2022, 34, 1843–1869. [Google Scholar] [CrossRef]
  76. Migné, A.; Delebecq, G.; Davoult, D.; Spilmont, N.; Menu, D.; Gévaert, F. Photosynthetic activity and productivity of intertidal macroalgae: In situ measurements, from thallus to community scale. Aquat. Bot. 2015, 123, 6–12. [Google Scholar] [CrossRef]
  77. Wu, H.; Feng, J.; Li, X.; Zhao, C.; Liu, Y.; Yu, J.; Xu, J. Effects of increased CO2 and temperature on the physiological characteristics of the golden tide blooming macroalgae Sargassum horneri in the Yellow Sea, China. Mar. Pollut. Bull. 2019, 146, 639–644. [Google Scholar] [CrossRef] [PubMed]
  78. Li, G.; Qin, Z.; Zhang, J.; Lin, Q.; Ni, G.; Tan, Y.; Zou, D. Algal density mediates the photosynthetic responses of a marine macroalga Ulva conglobata (Chlorophyta) to temperature and pH changes. Algal Res. 2020, 46, 101797. [Google Scholar] [CrossRef]
  79. Figueroa, F.L.; Bonomi-Barufi, J.; Celis-Plá, P.S.; Nitschke, U.; Arenas, F.; Connan, S.; Abreu, M.H.; Malta, E.J.; Conde-Álvarez, R.; Chow, F.; et al. Short-term effects of increased CO2, nitrate and temperature on photosynthetic activity in Ulva rigida (Chlorophyta) estimated by different pulse amplitude modulated fluorometers and oxygen evolution. J. Exp. Bot. 2021, 72, 491–509. [Google Scholar] [CrossRef] [PubMed]
  80. Twigg, G.; Fedenko, J.; Hurst, G.; Stanley, M.S.; Hughes, A.D. A review of the current potential of European brown seaweed for the production of biofuels. Energy Sustain. Soc. 2024, 14, 21. [Google Scholar] [CrossRef]
  81. Meng, W.; Mu, T.; Sun, H.; Garcia-Vaquero, M. Evaluation of the chemical composition and nutritional potential of brown macroalgae commercialised in China. Algal Res. 2022, 64, 102683. [Google Scholar] [CrossRef]
  82. Bonomi-Barufi, J.; Figueroa, F.L.; Korbee, N.; Momoli, M.M.; Martins, A.P.; Colepicolo, P.; Van Sluys, M.A.; Oliveira, M.C. How macroalgae can deal with radiation variability and photoacclimation capacity: The example of Gracilaria tenuistipitata (Rhodophyta) in laboratory. Algal Res. 2020, 50, 102007. [Google Scholar] [CrossRef]
  83. Endo, H.; Moriyama, H.; Okumura, Y. Photoinhibition and photoprotective responses of a brown marine macroalga acclimated to different light and nutrient regimes. Antioxidants 2023, 12, 357. [Google Scholar] [CrossRef]
  84. Hanelt, D.; Li, J.; Nultsch, W. Tidal dependence of photoinhibition of photosynthesis in marine macrophytes of the South China Sea. Bot. Acta 1994, 107, 66–72. [Google Scholar] [CrossRef]
  85. Goss, R.; Lepetit, B. Biodiversity of NPQ. J. Plant Physiol. 2015, 172, 13–32. [Google Scholar] [CrossRef]
Figure 1. (A) Location of the sampling site: Playa Cochoa, Viña del Mar, Valparaíso region (32°57′S, 71°32′W). (B) Scheme of the in-situ experiment for the quantification of the CO2 assimilation of L. spicata. (C) Specie of study. (D) Set up experimental CO2 assimilation with IRGA and cambers with temperature control. (E) Details of the chamber to measure CO2 assimilation.
Figure 1. (A) Location of the sampling site: Playa Cochoa, Viña del Mar, Valparaíso region (32°57′S, 71°32′W). (B) Scheme of the in-situ experiment for the quantification of the CO2 assimilation of L. spicata. (C) Specie of study. (D) Set up experimental CO2 assimilation with IRGA and cambers with temperature control. (E) Details of the chamber to measure CO2 assimilation.
Plants 14 02341 g001
Figure 2. (A) NPPmacroalge (mg C–CO2 kg−1 FW h−1) and (B) maximal electron transport rate (ETRmax; µmol electrons m−2 s−1) in L. spicata measured in 2022 at Cochoa Beach, Viña del Mar, Chile, during the daily cycle experiments in the autumn, winter, spring, and summer. Letters indicate significant differences after the Tukey test (p < 0.01).
Figure 2. (A) NPPmacroalge (mg C–CO2 kg−1 FW h−1) and (B) maximal electron transport rate (ETRmax; µmol electrons m−2 s−1) in L. spicata measured in 2022 at Cochoa Beach, Viña del Mar, Chile, during the daily cycle experiments in the autumn, winter, spring, and summer. Letters indicate significant differences after the Tukey test (p < 0.01).
Plants 14 02341 g002
Figure 3. (A) Maximal quantum yield (Fv/Fm) and (B) non-photochemical quenching (NPQmax) in L. spicata measured in 2022 at Cochoa Beach, Viña del Mar, Chile, during the daily cycle experiments in the autumn, winter, spring, and summer. Letters indicate significant differences after the Tukey test (p < 0.01).
Figure 3. (A) Maximal quantum yield (Fv/Fm) and (B) non-photochemical quenching (NPQmax) in L. spicata measured in 2022 at Cochoa Beach, Viña del Mar, Chile, during the daily cycle experiments in the autumn, winter, spring, and summer. Letters indicate significant differences after the Tukey test (p < 0.01).
Plants 14 02341 g003
Figure 4. (A) Chlorophyll a (mg g−1 DW), (B) chlorophyll c (mg g−1 DW) and (C) carotenoids (mg g−1 DW) in L. spicata measured in 2022 at Cochoa Beach, Viña del Mar, Chile, during the daily cycle experiments in the autumn, winter, spring, and summer. Letters indicate significant differences after the Tukey test (p < 0.01).
Figure 4. (A) Chlorophyll a (mg g−1 DW), (B) chlorophyll c (mg g−1 DW) and (C) carotenoids (mg g−1 DW) in L. spicata measured in 2022 at Cochoa Beach, Viña del Mar, Chile, during the daily cycle experiments in the autumn, winter, spring, and summer. Letters indicate significant differences after the Tukey test (p < 0.01).
Plants 14 02341 g004
Figure 5. (A) Phenolic compounds (mg g−1 DW) and (B) DPPH (µM TEAC g−1 DW) in L. spicata measured in 2022 at Cochoa Beach, Viña del Mar, Chile, during the daily cycle experiments in the autumn, winter, spring, and summer. Letters indicate significant differences after the Tukey test (p < 0.01).
Figure 5. (A) Phenolic compounds (mg g−1 DW) and (B) DPPH (µM TEAC g−1 DW) in L. spicata measured in 2022 at Cochoa Beach, Viña del Mar, Chile, during the daily cycle experiments in the autumn, winter, spring, and summer. Letters indicate significant differences after the Tukey test (p < 0.01).
Plants 14 02341 g005
Figure 6. (A) Thiobarbituric acid reactive substances (TBARSs) (nmol g−1 DW) and (B) total reactive oxygen species (ROSs) in L. spicata exposed to daily cycle experiments in the autumn, winter, spring, and summer of 2022 at Cochoa Beach, Viña del Mar, Chile. Letters indicate significant differences after the Tukey test (p < 0.01).
Figure 6. (A) Thiobarbituric acid reactive substances (TBARSs) (nmol g−1 DW) and (B) total reactive oxygen species (ROSs) in L. spicata exposed to daily cycle experiments in the autumn, winter, spring, and summer of 2022 at Cochoa Beach, Viña del Mar, Chile. Letters indicate significant differences after the Tukey test (p < 0.01).
Plants 14 02341 g006
Figure 7. C:N ratio to L. spicata measured in 2022 at Cochoa Beach, Viña del Mar, Chile, during the daily cycle experiments in the autumn, winter, spring, and summer. Letters indicate significant differences after the Tukey test (p < 0.01).
Figure 7. C:N ratio to L. spicata measured in 2022 at Cochoa Beach, Viña del Mar, Chile, during the daily cycle experiments in the autumn, winter, spring, and summer. Letters indicate significant differences after the Tukey test (p < 0.01).
Plants 14 02341 g007
Figure 8. (A) Total protein (mg g−1 DW), (B) total carbohydrate (mg g−1 DW), and (C) total lipid contents in L. spicata exposed to daily cycle experiments in the autumn, winter, spring, and summer times. Letters indicate significant differences after the Tukey test (p < 0.01).
Figure 8. (A) Total protein (mg g−1 DW), (B) total carbohydrate (mg g−1 DW), and (C) total lipid contents in L. spicata exposed to daily cycle experiments in the autumn, winter, spring, and summer times. Letters indicate significant differences after the Tukey test (p < 0.01).
Plants 14 02341 g008
Figure 9. Principal components diagram based on 17 ecophysiological variables (NPP, ETRmax, Fv/Fm, NPQmax, C, N, C/N, Chla, Chlc, Car, PCs, DPPH, TBARSs, TCs, TPs, TLs, and ROS) and treatment data from Lessonia spicata experiments.
Figure 9. Principal components diagram based on 17 ecophysiological variables (NPP, ETRmax, Fv/Fm, NPQmax, C, N, C/N, Chla, Chlc, Car, PCs, DPPH, TBARSs, TCs, TPs, TLs, and ROS) and treatment data from Lessonia spicata experiments.
Plants 14 02341 g009
Table 1. Abiotic parameters: temperature (°C), pH, salinity, photosynthetically active radiation (PAR; µmol photons m−2 s−1), and ultraviolet-A radiation (UVA; W m−2) at Cochoa Beach in Valparaíso Bay during the daily cycle in the autumn, winter, spring, and summer (2022). Letters indicate significant differences after the Tukey test (p < 0.01).
Table 1. Abiotic parameters: temperature (°C), pH, salinity, photosynthetically active radiation (PAR; µmol photons m−2 s−1), and ultraviolet-A radiation (UVA; W m−2) at Cochoa Beach in Valparaíso Bay during the daily cycle in the autumn, winter, spring, and summer (2022). Letters indicate significant differences after the Tukey test (p < 0.01).
Season Dayle Cycle Temperature
(°C)
pH Salinity PAR
(µmol m−2 s−1)
UVA
(W m−2)
Autumn10:0012.9 ± 0.1 c7.9 ± 0.134.4 ± 0.1335.37 ± 8.99 ab4.77 ± 0.09 a
14:0013.6 ± 0.1 e8.1 ± 0.134.4 ± 0.1989.16 ± 19.04 cd10.0 ± 0.1 a
18:0013.2 ± 0.1 d8.1 ± 0.134.3 ± 0.1332.58 ± 14.48 bc4.54 ± 0.21 a
Winter10:0012.0 ± 0.1 c7.8 ± 0.134.5 ± 0.1269.12 ± 8.63 ab4.66 ± 0.10 c
14:0013.2 ± 0.1 d8.0 ± 0.134.7 ± 0.1375.10 ± 11.93 ab5.61 ± 0.13 d
18:0013.4 ± 0.1 de8.1 ± 0.134.7 ± 0.10.24 ± 0.04 a4.25 ± 0.21 a
Spring10:0012.5 ± 0.1 b7.7 ± 0.136.0 ± 0.1457.01 ± 16.48 ab2.70 ± 0.08 b
14:0013.6 ± 0.1 e8.4 ± 0.135.6 ± 0.11323.7 ± 23.3 d11.3 ± 1.7 a
18:0013.4 ± 0.1 de8.2 ± 0.136.3 ± 0.1228.56 ± 6.39 ab4.21 ± 0.07 a
Summer10:0012.5 ± 0.1 b7.8 ± 0.134.9 ± 0.1224.26 ± 12.44 ab2.70 ± 0.14 a
14:0014.3 ± 0.1 f8.0 ± 0.134.9 ± 0.11259.7 ± 30.8 d9.77 ± 0.09 a
18:0014.9 ± 0.1 g8.2 ± 0.134.9 ± 0.1134.28 ± 12.05 cd1.99 ± 0.02 a
Disclaimer/Publisher’s Note: The statements, opinions and data contained in all publications are solely those of the individual author(s) and contributor(s) and not of MDPI and/or the editor(s). MDPI and/or the editor(s) disclaim responsibility for any injury to people or property resulting from any ideas, methods, instructions or products referred to in the content.

Share and Cite

MDPI and ACS Style

Troncoso, M.; Fleming, Z.L.; Figueroa, F.L.; Korbee, N.; Durán, R.; Navarrete, C.; Rivera, C.; Celis-Plá, P.S.M. Environmental Stressors Modulating Seasonal and Daily Carbon Dioxide Assimilation and Productivity in Lessonia spicata. Plants 2025, 14, 2341. https://doi.org/10.3390/plants14152341

AMA Style

Troncoso M, Fleming ZL, Figueroa FL, Korbee N, Durán R, Navarrete C, Rivera C, Celis-Plá PSM. Environmental Stressors Modulating Seasonal and Daily Carbon Dioxide Assimilation and Productivity in Lessonia spicata. Plants. 2025; 14(15):2341. https://doi.org/10.3390/plants14152341

Chicago/Turabian Style

Troncoso, Macarena, Zoë L. Fleming, Félix L. Figueroa, Nathalie Korbee, Ronald Durán, Camilo Navarrete, Cecilia Rivera, and Paula S. M. Celis-Plá. 2025. "Environmental Stressors Modulating Seasonal and Daily Carbon Dioxide Assimilation and Productivity in Lessonia spicata" Plants 14, no. 15: 2341. https://doi.org/10.3390/plants14152341

APA Style

Troncoso, M., Fleming, Z. L., Figueroa, F. L., Korbee, N., Durán, R., Navarrete, C., Rivera, C., & Celis-Plá, P. S. M. (2025). Environmental Stressors Modulating Seasonal and Daily Carbon Dioxide Assimilation and Productivity in Lessonia spicata. Plants, 14(15), 2341. https://doi.org/10.3390/plants14152341

Note that from the first issue of 2016, this journal uses article numbers instead of page numbers. See further details here.

Article Metrics

Back to TopTop