Competitive Pasture Species to Suppress the Growth of Annual Riceflower (Pimelea trichostachya Lindl.) at Different Planting Densities and Spatial Arrangements
Abstract
1. Introduction
2. Results
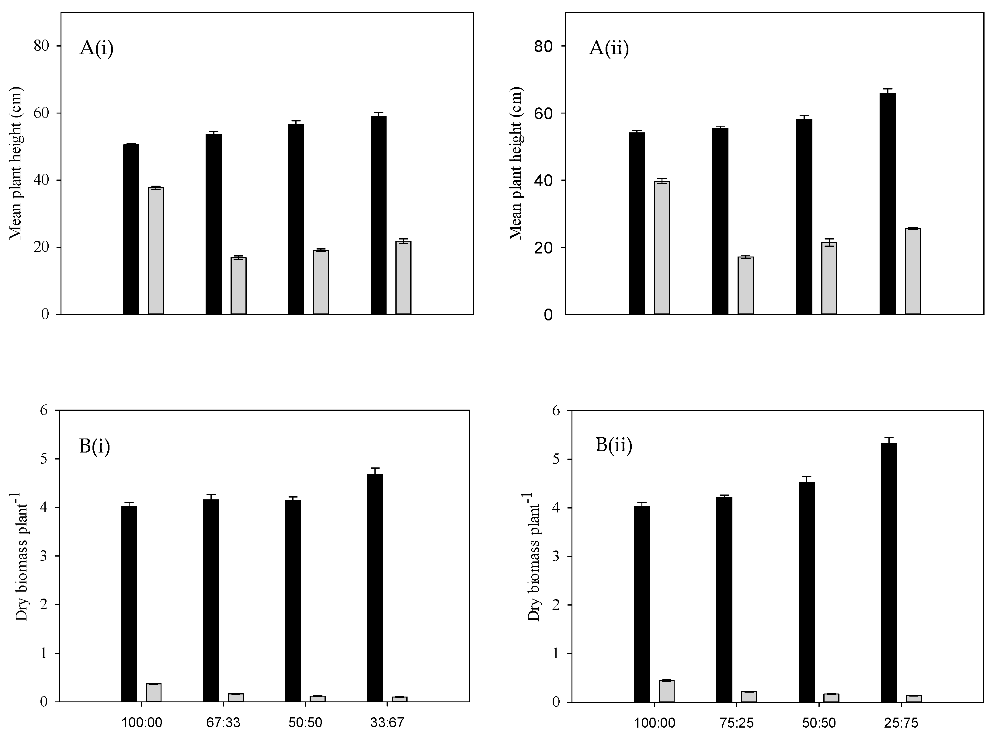
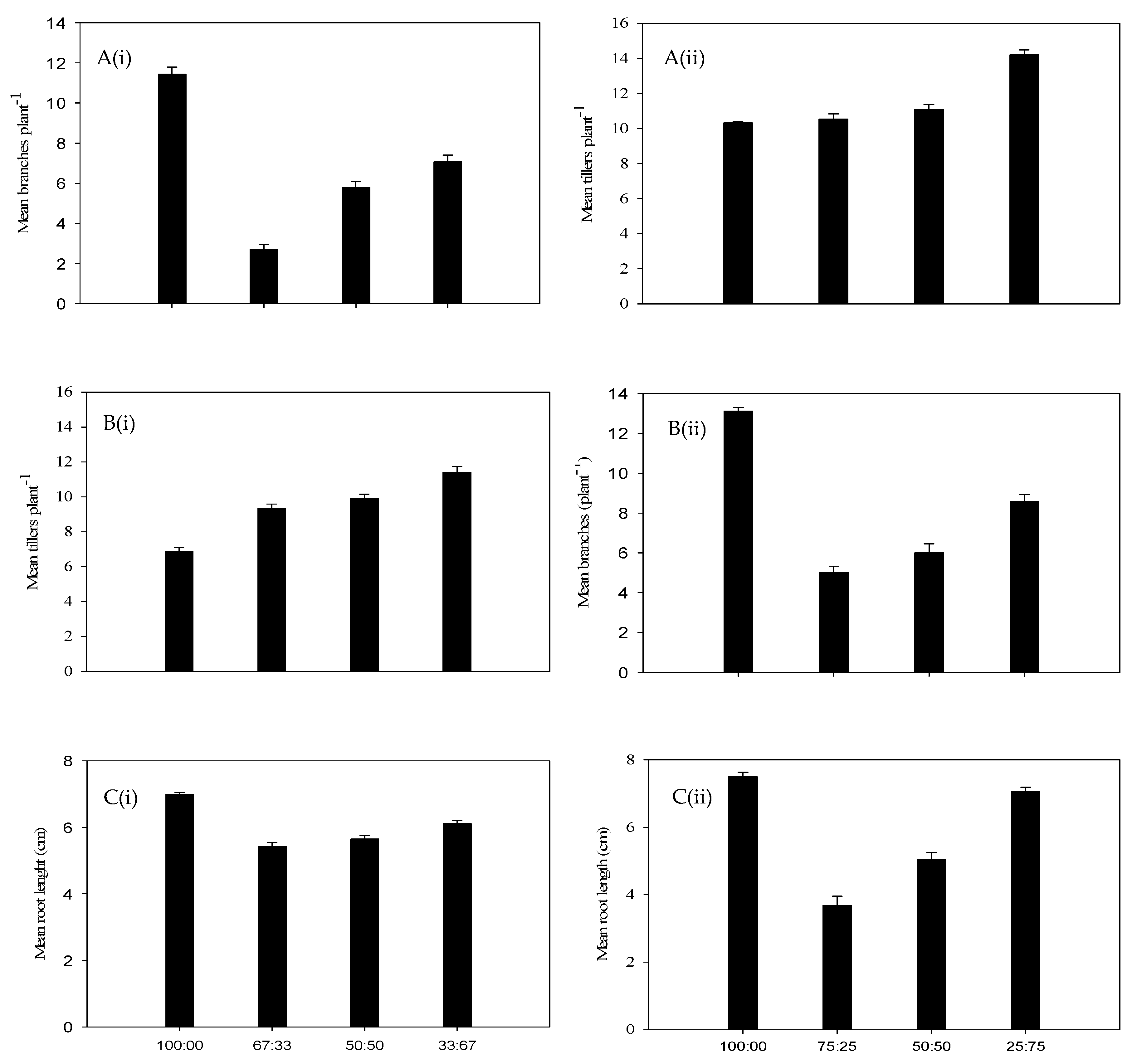
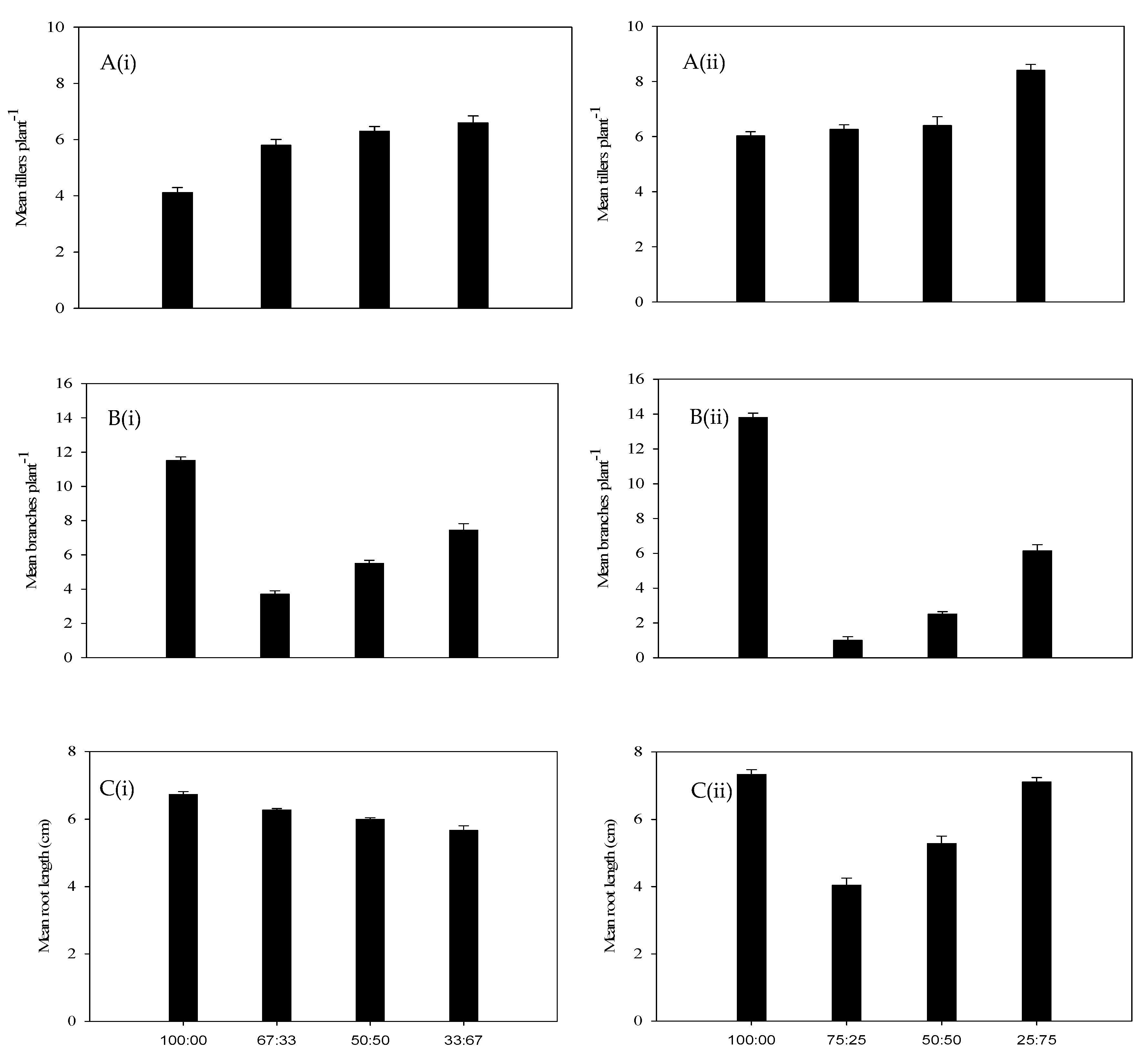
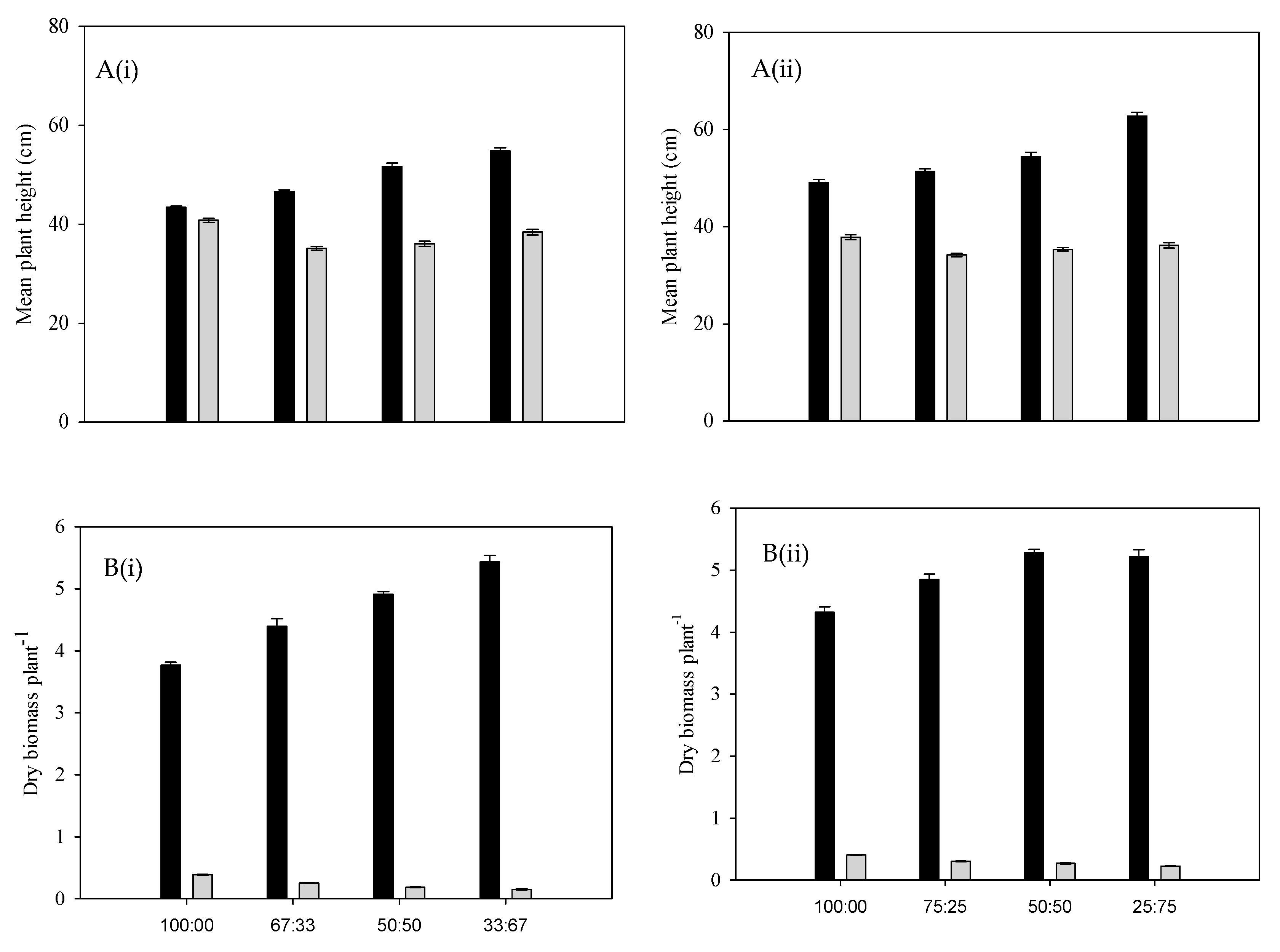
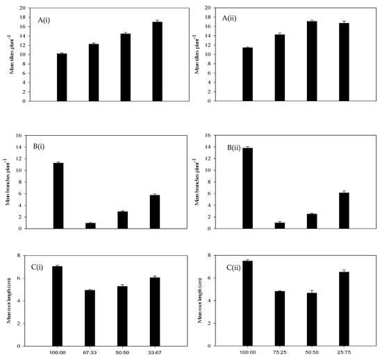
2.1. Premier Digit Grass
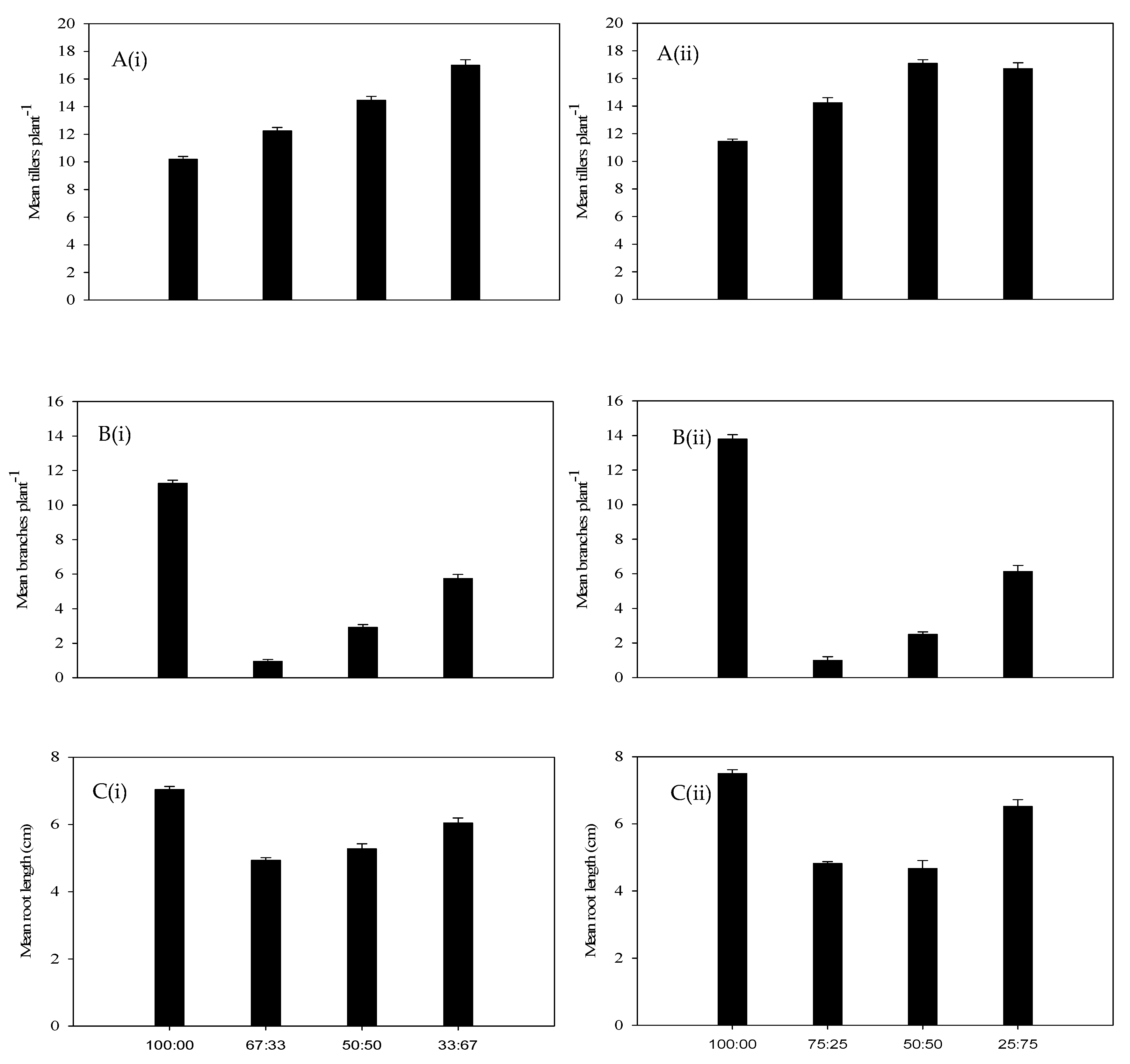
2.2. Rhodes Grass
2.3. Sabi Grass
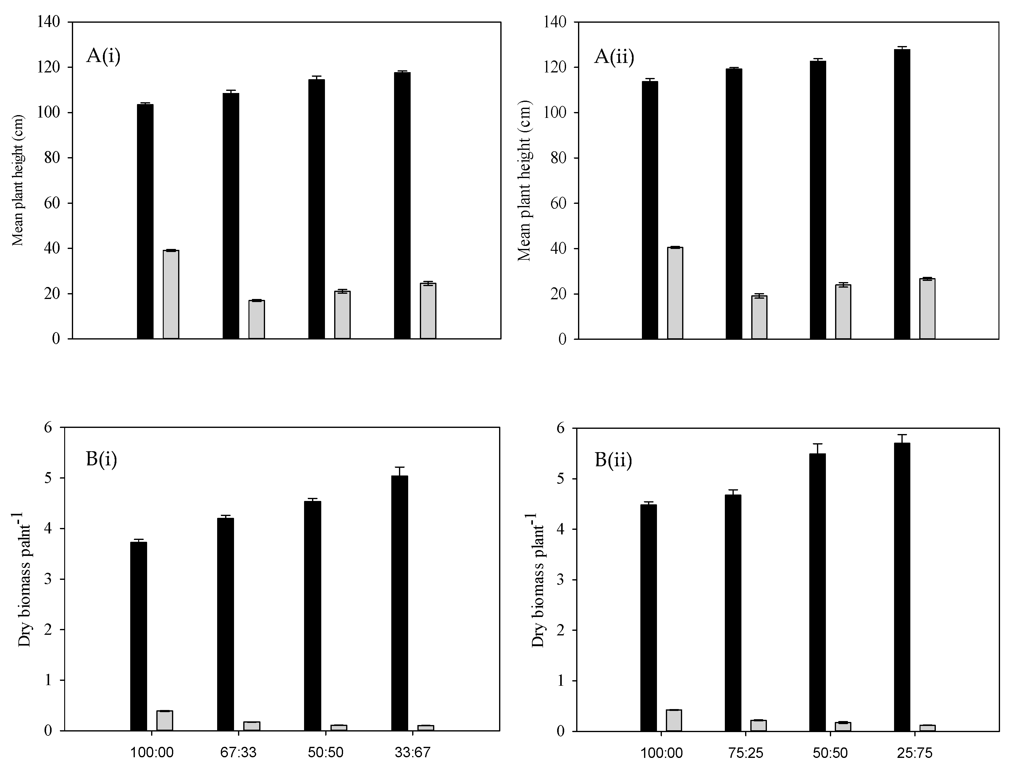
2.4. Buffel Grass
2.5. Relative Crowding Coefficients and Aggressivity Index for Grass Species
3. Discussion
4. Materials and Methods
4.1. Pasture Species
4.2. Annual Riceflower Seed Collection, Processing and Storage
4.3. Plant Preparation
4.4. Measurements
4.5. Data Analysis
5. Conclusions
Author Contributions
Funding
Data Availability Statement
Acknowledgments
Conflicts of Interest
References
- Saleem, R.; Bajwa, A.A.; Campbell, S.; Fletcher, M.T.; Kalaipandian, S.; Adkins, S.W. Poisonous Plants of the Genus Pimelea: A Menace for the Australian Livestock Industry. Toxins 2023, 15, 374. [Google Scholar] [CrossRef] [PubMed]
- Dowling, R.M.; McKenzie, R.A. Poisonous Plants: A Field Guide; Dept. of Primary Industries: Brisbane, QLD, Australia, 1993; ISBN 978-0-7242-3982-5.
- Fletcher, M.T.; Silcock, R.G.; Ossedryver, S.M.; Milson, J.; Chow, S. Understanding Pimelea Poisoning of Cattle; Department of Employment, Economic Development and Innovation: Brisbane, QLD, Australia, 2009.
- Fletcher, M.T.; Chow, K.Y.S.; Silcock, R.G.; Milson, J.A. LC/MS/MS Analysis of the Daphnane Orthoester Simplexin in Poisonous Pimelea Species of Australian Rangelands. In Poisoning by Plants, Mycotoxins and Related Toxins; Riet-Correa, F., Pfister, J., Schild, A.L., Wierenga, T., Eds.; CABI: Wallingford, UK, 2011; pp. 550–556. ISBN 978-1-84593-833-8. [Google Scholar]
- Khan, N.; O’Donnell, C.; George, D.; Adkins, S.W. Suppressive Ability of Selected Fodder Plants on the Growth of Parthenium Hysterophorus. Weed Res. 2013, 53, 61–68. [Google Scholar] [CrossRef]
- Ogg, A.G.; Seefeldt, S.S. Characterizing Traits That Enhance the Competitiveness of Winter Wheat (Triticum aestivum) against Jointed Goatgrass (Aegilops cylindrica). Weed Sci. 1999, 47, 74–80. [Google Scholar] [CrossRef]
- Vandeleur, R.K.; Gill, G.S. The Impact of Plant Breeding on the Grain Yield and Competitive Ability of Wheat in Australia. Aust. J. Agric. Res. 2004, 55, 855. [Google Scholar] [CrossRef]
- Hoad, S.; Topp, C.; Davies, K. Selection of Cereals for Weed Suppression in Organic Agriculture: A Method Based on Cultivar Sensitivity to Weed Growth. Euphytica 2008, 163, 355–366. [Google Scholar] [CrossRef]
- Pimentel, D. (Ed.) CRC Handbook of Pest Management in Agriculture, 1, 2nd ed.; CRC Series in Agriculture; CRC Press: Boca Raton, FL, USA, 1991; ISBN 978-0-8493-3844-1. [Google Scholar]
- Fargione, J.; Tilman, D. Plant Species Traits and Capacity for Resource Reduction Predict Yield and Abundance under Competition in Nitrogen-limited Grassland. Funct. Ecol. 2006, 20, 533–540. [Google Scholar] [CrossRef]
- O’Donnell, C.; Adkins, S.W. Management of Parthenium Weed through Competitive Displacement with Beneficial Plants. Weed. Biol. Mgmt. 2005, 5, 77–79. [Google Scholar] [CrossRef]
- De Wit, C.T.; Ennik, G.C.; van den Bergh, J.P.; Sonneveld, A. Competition and Non-Persistency as Factors Affecting the Composition of Mixed Crops and Swards. In Proceedings of the 8th International Grassland Congress 1960, Reading, UK, 11–21 July 1960; pp. 736–741. [Google Scholar]
- McGilchrist, C.A. Analysis of Competition Experiments. Biometrics 1965, 21, 975. [Google Scholar] [CrossRef]
- Weigelt, A.; Jolliffe, P. Indices of Plant Competition. J. Ecol. 2003, 91, 707–720. [Google Scholar] [CrossRef]
- Zhang, G.; Yang, Z.; Dong, S. Interspecific Competitiveness Affects the Total Biomass Yield in an Alfalfa and Corn Intercropping System. Field Crops Res. 2011, 124, 66–73. [Google Scholar] [CrossRef]
- Banik, P.; Midya, A.; Sarkar, B.K.; Ghose, S.S. Wheat and Chickpea Intercropping Systems in an Additive Series Experiment: Advantages and Weed Smothering. Eur. J. Agron. 2006, 24, 325–332. [Google Scholar] [CrossRef]
- Luna, I.M.; Fernández-Quintanilla, C.; Dorado, J. Is Pasture Cropping a Valid Weed Management Tool? Plants 2020, 9, 135. [Google Scholar] [CrossRef]
- Kruidhof, H.M.; Bastiaans, L.; Kropff, M.J. Ecological Weed Management by Cover Cropping: Effects on Weed Growth in Autumn and Weed Establishment in Spring. Weed Res. 2008, 48, 492–502. [Google Scholar] [CrossRef]
- Shabbir, A.; Ali, S.; Khan, I.A.; Belgeri, A.; Khan, N.; Adkins, S. Suppressing Parthenium Weed with Beneficial Plants in Australian Grasslands. Int. J. Pest Manag. 2021, 67, 114–120. [Google Scholar] [CrossRef]
- Khan, N. Long Term, Sustainable Management of Parthenium Weed (Parthenium hysterophorus L.) Using Suppressive Pasture Plants. Ph.D. Thesis, The University of Queensland, Brisbane, QLD, Australia, 2011. [Google Scholar]
- Rębilas, K.; Klimek-Kopyra, A.; Bacior, M.; Zając, T. A Model for the Yield Losses Estimation in an Early Soybean (Glycine max (L.) Merr.) Cultivar Depending on the Cutting Height at Harvest. Field Crops Res. 2020, 254, 107846. [Google Scholar] [CrossRef]
- Walk, J.L.; Baskin, J.M.; Baskin, C.C. Ecology of the Endangered Species Solidago Shortii. VI. Effects of Habitat Type, Leaf Litter, and Soil Type on Seed Germination. JTBS 1999, 126, 117. [Google Scholar] [CrossRef]
- Thomas, H.; Sadras, V.O. The Capture and Gratuitous Disposal of Resources by Plants. Funct. Ecol. 2001, 15, 3–12. [Google Scholar] [CrossRef]
- Lockerman, R.H.; Putnam, A.R. Mechanisms for Differential Interference among Cucumber (Cucumis sativus L.) Accessions. Bot. Gaz. 1981, 142, 427–430. [Google Scholar] [CrossRef]
- Guido, A.; Hoss, D.; Pillar, V.D. Competitive Effects and Responses of the Invasive Grass Eragrostis plana in Río de La Plata Grasslands. Austral Ecol. 2019, 44, 1478–1486. [Google Scholar] [CrossRef]
- Spitters, C.J.T. An Alternative Approach to the Analysis of Mixed Cropping Experiments. 2. Marketable Yield. NJAS 1983, 31, 143–155. [Google Scholar] [CrossRef]
- Dhima, K.V.; Lithourgidis, A.S.; Vasilakoglou, I.B.; Dordas, C.A. Competition Indices of Common Vetch and Cereal Intercrops in Two Seeding Ratio. Field Crops Res. 2007, 100, 249–256. [Google Scholar] [CrossRef]
- Rezaei-Chianeh, E.; Dabbagh, A.; Nassab, M.; Shakiba, M.R.; Ghassemi-Golezani, K.; Aharizad, S.; Shekari, F. Intercropping of Maize (Zea mays L.) and Faba Bean (Vicia faba L.) at Different Plant Population Densities. Afr. J. Agric. Res. 2011, 6, 1786–1793. [Google Scholar]
- Friedli, J.; Bacher, S. Direct and Indirect Effects of a Shoot-Base Boring Weevil and Plant Competition on the Performance of Creeping Thistle, Cirsium Arvense. Biol. Control 2001, 22, 219–226. [Google Scholar] [CrossRef]
- Gordon, D.R.; Rice, K.J. Partitioning of Space and Water between Two California Annual Grassland Species. Am. J. Bot. 1992, 79, 967–976. [Google Scholar] [CrossRef]
- Berendse, F. Competition between Plant Populations with Different Rooting Depths: III. Field Experiments. Oecologia 1982, 53, 50–55. [Google Scholar] [CrossRef] [PubMed]
- Nyfeler, D.; Huguenin-Elie, O.; Suter, M.; Frossard, E.; Connolly, J.; Lüscher, A. Strong Mixture Effects Among Four Species in Fertilized Agricultural Grassland Led to Persistent and Consistent Transgressive Overyielding. J. Appl. Ecol. 2009, 46, 683–691. [Google Scholar] [CrossRef]
- RyanSalter, T.P.; Black, A.D. Yield of Italian ryegrass mixed with red clover and balansa clover. Proc. N. Z. Grassl. Assoc. 2012, 74, 201–208. [Google Scholar] [CrossRef]
- Cook, B.G.; Pengelly, B.C.; Brown, S.; Donnelly, J.; Eagles, D.; Franco, A.; Hanson, J.; Mullen, B.; Partridge, I.; Peters, M.; et al. Tropical Forages.: An Interactive Selection Tool. Available online: http://www.tropicalforages.info/ (accessed on 6 February 2022).
- Loch, D.S.; Rethman, N.F.G.; Van Niekerk, W.A. Rhodesgrass. In Agronomy Monographs; Moser, L.E., Burson, B.L., Sollenberger, L.E., Eds.; American Society of Agronomy, Crop Science Society of America, Soil Science Society of America: Madison, WI, USA, 2004; pp. 833–872. ISBN 978-0-89118-237-5. [Google Scholar]
- Kumar, A.; Mulatu, F.; Assefa, Y.; Hanson, J.; Jones, C.S. First Report of Johnsongrass Mosaic Virus Infecting Urochloa mosambicensis in Ethiopia. Plant Dis. 2018, 102, 459. [Google Scholar] [CrossRef]
- Marshall, V.M.; Lewis, M.M.; Ostendorf, B. Buffel Grass (Cenchrus ciliaris) as an Invader and Threat to Biodiversity in Arid Environments: A Review. J. Arid Environ. 2012, 78, 1–12. [Google Scholar] [CrossRef]
- Wortman, S.E. Integrating Weed and Vegetable Crop Management with Multifunctional Air-Propelled Abrasive Grits. Weed Technol. 2014, 28, 243–252. [Google Scholar] [CrossRef]








| Planting Density | Six Plants Pot−1 Percent Decrease in Dry Biomass (g) | ||||||||
| Test plant to ARF * | Premier digit | ARF | Rhodes | ARF | Sabi | ARF | Buffel | ARF | Mean |
| 66:33 | 16.3 | 73.7 | 74.9 | 82.5 | 35.3 | 73.7 | 44.1 | 60.6 | 57.7 |
| 50:50 | 3.1 | 68.2 | 48.0 | 72.4 | 21.8 | 71.9 | 30.2 | 52.0 | 46.0 |
| 33:66 | 3.3 | 55.9 | 42.3 | 62.7 | 12.7 | 55.5 | 16.7 | 34.6 | 35.5 |
| Mean test plants | 5.7 | 41.3 | 17.5 | 22.7 | |||||
| Mean ARF | 49.5 | 54.4 | 50.3 | 36.8 | |||||
| Planting Density | Four Plants Pot−1 Percent Decrease in Dry Biomass (g) | ||||||||
| Test plant to ARF | Premier digit | ARF | Rhodes | ARF | Sabi | ARF | Buffel | ARF | Mean |
| 75:25 | 31.8 | 69.1 | 82.9 | 79.8 | 27.2 | 71.0 | 20.8 | 44.5 | 53.4 |
| 50:50 | 12.02 | 61.5 | 61.2 | 73.2 | 22.5 | 58.5 | 22.2 | 33.0 | 43.1 |
| 25:75 | 4.4 | 50.8 | 27.0 | 63.5 | 4.3 | 48.3 | 12.2 | 25.4 | 29.5 |
| Mean test plants | 12.0 | 42.8 | 13.5 | 13.8 | |||||
| ARF | 45.3 | 54.1 | 44.4 | 25.8 | |||||
| Test Species | Six Plant Pot−1 | Four Plant Pot−1 | ||
|---|---|---|---|---|
| Grass or Pimelea | RCC | AI | RCC | AI |
| Premier digit | −33.5 | 35.6 | −9.3 | 36.7 |
| Annual riceflower | 0.5 | −35.6 | 0.6 | −36.7 |
| Rhodes | −3.1 | 60.2 | −2.6 | 67.2 |
| Annual riceflower | 0.4 | −60.2 | 0.4 | −67.2 |
| sabi | −5.6 | 46.9 | −5.4 | 40.5 |
| Annual riceflower | 0.4 | −46.9 | 0.7 | −40.5 |
| buffel | −4.3 | 41.1 | −5.5 | 27.9 |
| Annual riceflower | 0.9 | −41.1 | 2.0 | −27.9 |
| Species | Brief Description and Reasons for Selection |
|---|---|
| Premier digit grass (Digiteria eriantha Steud.) | Premier digit grass (Digitaria eriantha spp. eriantha) is a perennial summer-growing grass. It is adapted to low fertility on granite, sandstone, and traprock soils of South East Queensland (SEQ) and the more fertile, scrub, and lighter clay soils of the Darling Downs, the Maranoa and Western Downs. It is not suitable for heavy alkaline clay soils. Premier digit grass grows well at minimum of 600 mm annual rainfall (Department of Agriculture and Fisheries, Queensland,). |
| Rhodes grass (Chloris gayana Kunth.) | Rhodes grass (Chloris gayana Kunth.) has become one of the major forage grasses planted throughout the tropical and sub-tropical regions of the globe and can be grazed with moderate to high feed quality [34]. Rhodes grass flourishes in areas with an annual rainfall of 600 to 1600 mm. The grass can be grown on a varied range of soils, from clays to sandy loams. It grows well under irrigation and is moderately tolerant to flooding. The grass is palatable to animals with good nutritive value, especially in the early growth stages [35]. |
| Sabi grass (Urochloa mosambicensis Hack.) | Urochloa mosambicensis (Hack.) Dandy, commonly known as sabi grass, is a robust perennial grass with a creeping, stoloniferous growth pattern. It is widely utilized in southern Africa for various purposes, including as livestock forage, a cereal crop, soil erosion prevention, and the rehabilitation of degraded areas such as mine sites. Renowned for its rapid growth, drought and salinity resistance, adaptability to diverse soils and fertility levels, tolerance to heavy grazing, and efficient seed production, sabi grass stands out as a promising pasture grass for semiarid tropical regions [36]. |
| Buffel grass (Pennisetum ciliare L.) | Buffel grass (Pennisetum ciliare L.) is extensively cultivated across tropical and subtropical arid rangelands worldwide due to its exceptional drought tolerance and resilience under heavy grazing. However, beyond its natural habitat, it can aggressively spread into native ecosystems, roadsides, and urban areas, disrupting wildfire regimes and outcompeting native plant and animal species [37]. |
| Species g (Grass) | Species p (Pimelea) | Meaning |
|---|---|---|
| +Kgp (Kgp > Kpg) | +Kpg | Both species exhibit weak inter-specific competitiveness, but species g is stronger than species p |
| –Kgp (Kgp > Kpg) | 0 –Kpg | Both species exhibit strong inter-specific competitiveness, but species p is stronger than species g |
| +Kgp | –Kpg | Species g exhibits weak inter-specific competitiveness, species p is competitively strong in inter-specific interactions |
| Kgp = 0 | Kpg = 0 | Both species do not affect each other |
| Kgp = 0 | +Kpg | Species g does not affect species p, while the latter exhibits weak inter-specific competitiveness |
| Kgp = 0 | –Kpg | Species g does not affect species p, while the latter exhibits strong inter-specific competitiveness |
Disclaimer/Publisher’s Note: The statements, opinions and data contained in all publications are solely those of the individual author(s) and contributor(s) and not of MDPI and/or the editor(s). MDPI and/or the editor(s) disclaim responsibility for any injury to people or property resulting from any ideas, methods, instructions or products referred to in the content. |
© 2024 by the authors. Licensee MDPI, Basel, Switzerland. This article is an open access article distributed under the terms and conditions of the Creative Commons Attribution (CC BY) license (https://creativecommons.org/licenses/by/4.0/).
Share and Cite
Saleem, R.; Bajwa, A.; Campbell, S.; Fletcher, M.T.; Kalaipandian, S.; Adkins, S.W. Competitive Pasture Species to Suppress the Growth of Annual Riceflower (Pimelea trichostachya Lindl.) at Different Planting Densities and Spatial Arrangements. Plants 2025, 14, 82. https://doi.org/10.3390/plants14010082
Saleem R, Bajwa A, Campbell S, Fletcher MT, Kalaipandian S, Adkins SW. Competitive Pasture Species to Suppress the Growth of Annual Riceflower (Pimelea trichostachya Lindl.) at Different Planting Densities and Spatial Arrangements. Plants. 2025; 14(1):82. https://doi.org/10.3390/plants14010082
Chicago/Turabian StyleSaleem, Rashid, Ali Bajwa, Shane Campbell, Mary T. Fletcher, Sundaravelpandian Kalaipandian, and Steve W. Adkins. 2025. "Competitive Pasture Species to Suppress the Growth of Annual Riceflower (Pimelea trichostachya Lindl.) at Different Planting Densities and Spatial Arrangements" Plants 14, no. 1: 82. https://doi.org/10.3390/plants14010082
APA StyleSaleem, R., Bajwa, A., Campbell, S., Fletcher, M. T., Kalaipandian, S., & Adkins, S. W. (2025). Competitive Pasture Species to Suppress the Growth of Annual Riceflower (Pimelea trichostachya Lindl.) at Different Planting Densities and Spatial Arrangements. Plants, 14(1), 82. https://doi.org/10.3390/plants14010082

