Exploring the Drought Tolerant Quantitative Trait Loci in Spring Wheat
Abstract
1. Introduction
2. Results
2.1. Phenotypic Data Analysis
2.2. QTL Analysis of Agronomic Traits
2.3. Drought Tolerance Evaluation
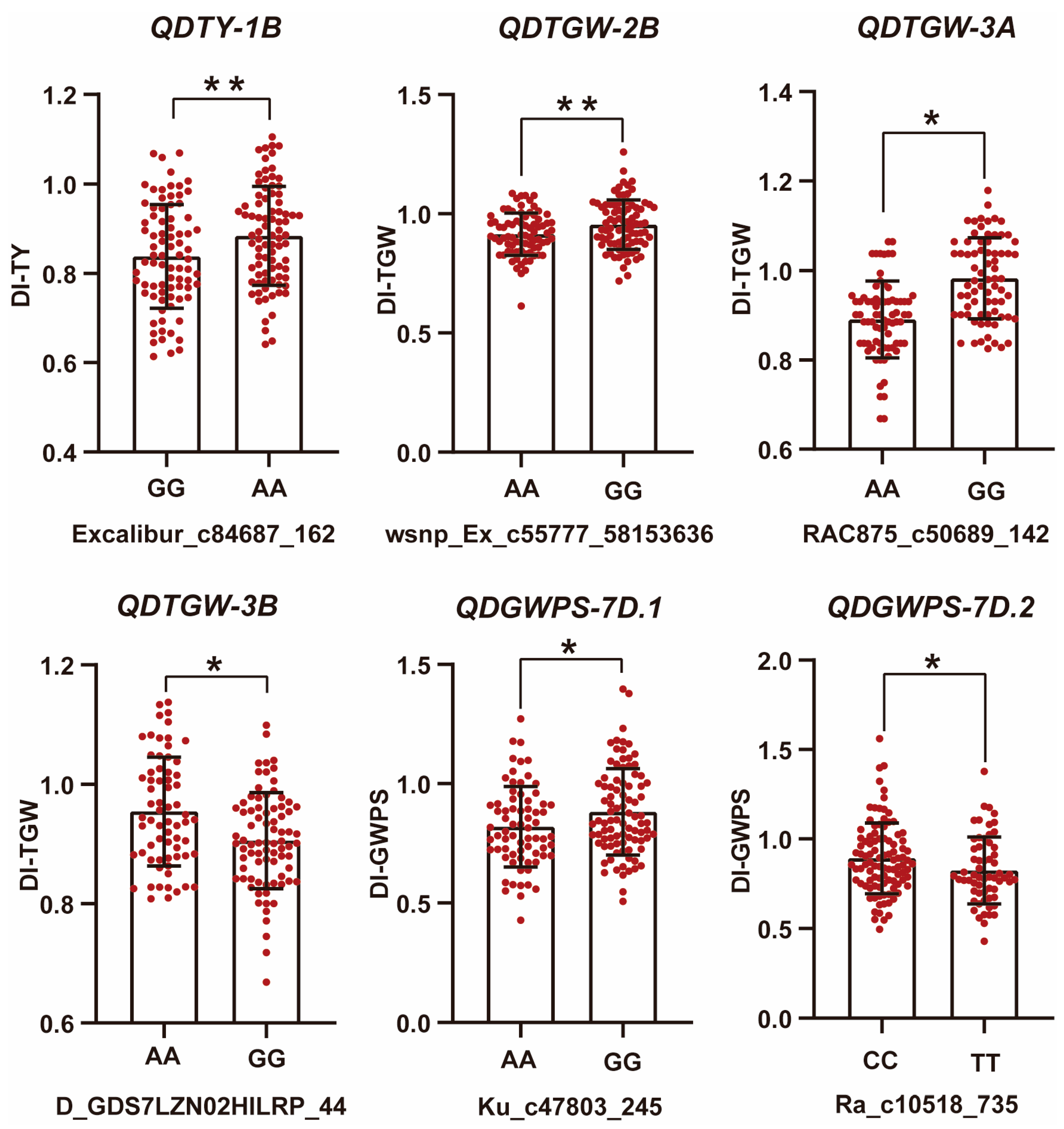
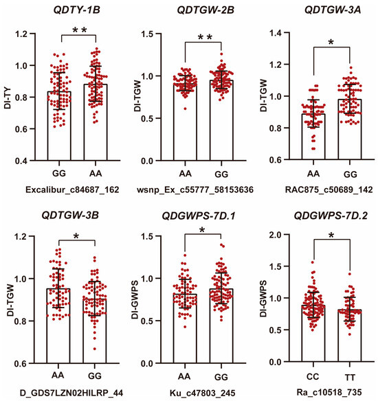
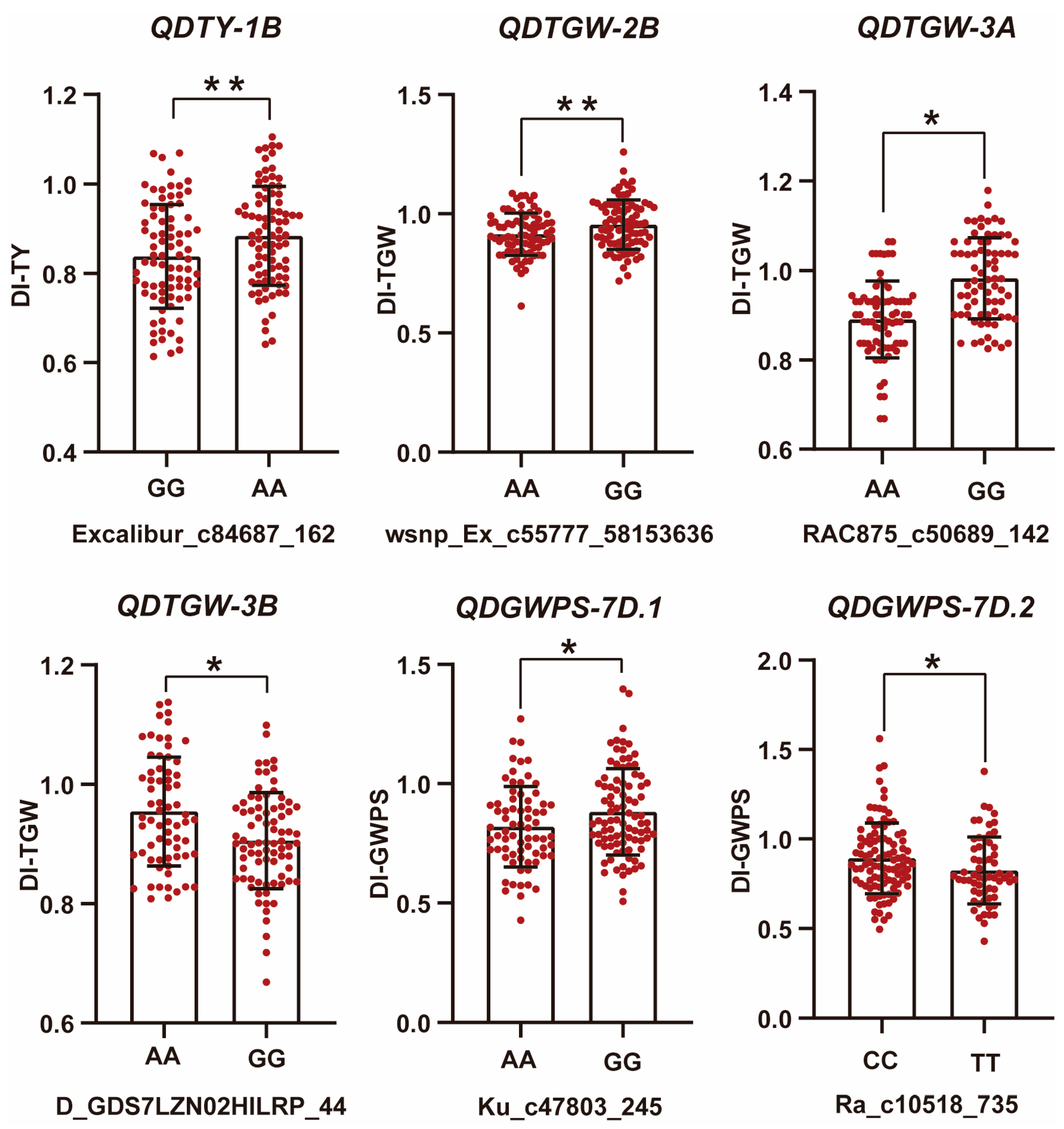
2.4. QTL Analysis of the DI
3. Discussion
4. Materials and Methods
4.1. Plant Materials and Field Trials
4.2. Phenotypic Evaluation
4.3. Statistical Analyses
4.4. SNP Genotyping
4.5. Genetic Map Construction and QTL Mapping
5. Conclusions
Supplementary Materials
Author Contributions
Funding
Data Availability Statement
Acknowledgments
Conflicts of Interest
References
- Igrejas, G.; Branlard, G. The importance of wheat. In Wheat Quality for Improving Processing and Human Health; Springer: Berlin/Heidelberg, Germany, 2020; pp. 1–7. [Google Scholar]
- Hart, J.P.; Ray, D.K.; Mueller, N.D.; West, P.C.; Foley, J.A. Yield Trends Are Insufficient to Double Global Crop Production by 2050. PLoS ONE 2013, 8, e66428. [Google Scholar] [CrossRef]
- Simmonds, J.; Scott, P.; Leverington-Waite, M.; Turner, A.S.; Brinton, J.; Korzun, V.; Snape, J.; Uauy, C. Identification and independent validation of a stable yield and thousand grain weight QTL on chromosome 6A of hexaploid wheat (Triticum aestivum L.). BMC Plant Biol. 2014, 14, 191. [Google Scholar] [CrossRef]
- Liu, Y.; Lin, Y.; Gao, S.; Li, Z.; Ma, J.; Deng, M.; Chen, G.; Wei, Y.; Zheng, Y. A genome-wide association study of 23 agronomic traits in Chinese wheat landraces. Plant J. 2017, 91, 861–873. [Google Scholar] [CrossRef]
- Reynolds, M.; Bonnett, D.; Chapman, S.C.; Furbank, R.T.; Manès, Y.; Mather, D.E.; Parry, M.A. Raising yield potential of wheat. I. Overview of a consortium approach and breeding strategies. J. Exp. Bot. 2011, 62, 439–452. [Google Scholar] [CrossRef] [PubMed]
- Holland, J. Genetic architecture of complex traits in plants. Curr. Opin. Plant Biol. 2007, 10, 156–161. [Google Scholar] [CrossRef]
- Börner, A.; Schumann, E.; Fürste, A.; Cöster, H.; Leithold, B.; Röder, S.; Weber, E. Mapping of quantitative trait loci determining agronomic important characters in hexaploid wheat (Triticum aestivum L.). Theor. Appl. Genet. 2002, 105, 921–936. [Google Scholar] [CrossRef] [PubMed]
- Kumar, N.; Kulwal, P.L.; Balyan, H.S.; Gupta, P.K. QTL mapping for yield and yield contributing traits in two mapping populations of bread wheat. Mol. Breed. 2007, 19, 163–177. [Google Scholar] [CrossRef]
- Cuthbert, J.L.; Somers, D.J.; Brûlé-Babel, A.L.; Brown, P.D.; Crow, G.H. Molecular mapping of quantitative trait loci for yield and yield components in spring wheat (Triticum aestivum L.). Theor. Appl. Genet. 2008, 117, 595–608. [Google Scholar] [CrossRef] [PubMed]
- Golabadi, M.; Arzani, A.; Mirmohammadi Maibody, S.A.M.; Sayed Tabatabaei, B.E.; Mohammadi, S.A. Identification of microsatellite markers linked with yield components under drought stress at terminal growth stages in durum wheat. Euphytica 2011, 177, 207–221. [Google Scholar] [CrossRef]
- Bennett, D.; Reynolds, M.; Mullan, D.; Izanloo, A.; Kuchel, H.; Langridge, P.; Schnurbusch, T. Detection of two major grain yield QTL in bread wheat (Triticum aestivum L.) under heat, drought and high yield potential environments. Theor. Appl. Genet. 2012, 125, 1473–1485. [Google Scholar] [CrossRef]
- Edae, E.A.; Byrne, P.F.; Haley, S.D.; Lopes, M.S.; Reynolds, M.P. Genome-wide association mapping of yield and yield components of spring wheat under contrasting moisture regimes. Theor. Appl. Genet. 2014, 127, 791–807. [Google Scholar] [CrossRef] [PubMed]
- Pinto, R.S.; Reynolds, M.P. Common genetic basis for canopy temperature depression under heat and drought stress associated with optimized root distribution in bread wheat. Theor. Appl. Genet. 2015, 128, 575–585. [Google Scholar] [CrossRef] [PubMed]
- Sukumaran, S.; Dreisigacker, S.; Lopes, M.; Chavez, P.; Reynolds, M.P. Genome-wide association study for grain yield and related traits in an elite spring wheat population grown in temperate irrigated environments. Theor. Appl. Genet. 2015, 128, 353–363. [Google Scholar] [CrossRef] [PubMed]
- Ahmed, H.G.M.; Zeng, Y.; Shah, A.N.; Yar, M.M.; Ullah, A.; Ali, M. Conferring of drought tolerance in wheat (Triticum aestivum L.) genotypes using seedling indices. Front. Plant Sci. 2022, 13, 961049. [Google Scholar] [CrossRef]
- Fischer, R.A.; Maurer, R. Drought Resistance in Spring Wheat Cultivars. I Grain Yield Responses. Aust. J. Agric. Res. 1978, 29, 897–912. [Google Scholar] [CrossRef]
- Guttieri, M.J.; Stark, J.C.; O’Brien, K.; Souza, E. Relative Sensitivity of Spring Wheat Grain Yield and Quality Parameters to Moisture Deficit. Crop Sci. 2001, 41, 327–335. [Google Scholar] [CrossRef]
- Bouslama, M.; Schapaugh, W.T. Stress Tolerance in Soybeans. I. Evaluation of Three Screening Techniques for Heat and Drought Tolerance. Crop Sci. 1984, 24, 933. [Google Scholar] [CrossRef]
- Fischer, R.A.; Rees, D.; Sayre, K.D.; Lu, Z.M.; Condon, A.G.; Saavedra, A.L. Wheat Yield Progress Associated with Higher Stomatal Conductance and Photosynthetic Rate, and Cooler Canopies. Crop Sci. 1998, 38, 1467–1475. [Google Scholar] [CrossRef]
- Fernandez, G.C.J. Effective selection criteria for assessing stress tolerance. In Proceedings of the International Symposium on Adaptation of Vegetables and Other Food Crops in Temperature and Water Stress Tolerance, Shanhua, Taiwan, 13–16 August 1992. [Google Scholar]
- Ramirez-Vallejo, P.; Kelly, J.D. Traits related to drought resistance in common bean. Euphytica 1998, 99, 127–136. [Google Scholar] [CrossRef]
- Maccaferri, M.; Ricci, A.; Salvi, S.; Milner, S.G.; Noli, E.; Martelli, P.L.; Casadio, R.; Akhunov, E.; Scalabrin, S.; Vendramin, V.; et al. A high-density, SNP-based consensus map of tetraploid wheat as a bridge to integrate durum and bread wheat genomics and breeding. Plant Biotechnol. J. 2015, 13, 648–663. [Google Scholar] [CrossRef]
- Qaseem, M.F.; Qureshi, R.; Shaheen, H.; Shafqat, N. Genome-wide association analyses for yield and yield-related traits in bread wheat (Triticum aestivum L.) under pre-anthesis combined heat and drought stress in field conditions. PLoS ONE 2019, 14, e0213407. [Google Scholar] [CrossRef]
- Sukumaran, S.; Reynolds, M.P.; Sansaloni, C. Genome-Wide Association Analyses Identify QTL Hotspots for Yield and Component Traits in Durum Wheat Grown under Yield Potential, Drought, and Heat Stress Environments. Front. Plant Sci. 2018, 9, 81. [Google Scholar] [CrossRef] [PubMed]
- Ballesta, P.; Mora, F.; Pozo, A.D. Association mapping of drought tolerance indices in wheat: QTL-rich regions on. Sci. Agric. 2019, 77, e20180153. [Google Scholar] [CrossRef]
- Lujan Basile, S.M.; Ramirez, I.A.; Crescente, J.M.; Conde, M.B.; Demichelis, M.; Abbate, P.; Rogers, W.J.; Pontaroli, A.C.; Helguera, M.; Vanzetti, L.S. Haplotype block analysis of an Argentinean hexaploid wheat collection and GWAS for yield components and adaptation. BMC Plant Biol. 2019, 19, 553. [Google Scholar] [CrossRef] [PubMed]
- Qin, P.; Lin, Y.; Hu, Y.; Liu, K.; Mao, S.; Li, Z.; Wang, J.; Liu, Y.; Wei, Y.; Zheng, Y. Genome-wide association study of drought-related resistance traits in Aegilops tauschii. Genet. Mol. Biol. 2016, 39, 398–407. [Google Scholar] [CrossRef]
- Hossain, A.; Skalicky, M.; Brestic, M.; Maitra, S.; Ashraful Alam, M.; Syed, M.A.; Hossain, J.; Sarkar, S.; Saha, S.; Bhadra, P.; et al. Consequences and mitigation strategies of abiotic stresses in wheat (Triticum aestivum L.) under the changing climate. Agronomy 2021, 11, 241. [Google Scholar] [CrossRef]
- Khan, S.; Anwar, S.; Yu, S.; Sun, M.; Yang, Z.; Gao, Z.Q. Development of Drought-Tolerant Transgenic Wheat: Achievements and Limitations. Int. J. Mol. Sci. 2019, 20, 3350. [Google Scholar] [CrossRef]
- Ahmad, A.; Aslam, Z.; Javed, T.; Hussain, S.; Raza, A.; Shabbir, R.; Mora-Poblete, F.; Saeed, T.; Zulfiqar, F.; Ali, M.M.; et al. Screening of wheat (Triticum aestivum L.) genotypes for drought tolerance through agronomic and physiological response. Agronomy 2022, 12, 287. [Google Scholar] [CrossRef]
- Farooq, M.; Hussain, M.; Siddique, K.H.M. Drought Stress in Wheat during Flowering and Grain-filling Periods. Crit. Rev. Plant Sci. 2014, 33, 331–349. [Google Scholar] [CrossRef]
- Sallam, A.; Alqudah, A.M.; Dawood, M.F.A.; Baenziger, P.S.; Börner, A. Drought Stress Tolerance in Wheat and Barley: Advances in Physiology, Breeding and Genetics Research. Int. J. Mol. Sci. 2019, 20, 3137. [Google Scholar] [CrossRef] [PubMed]
- Ozturk, A.; Aydin, F. Effect of Water Stress at Various Growth Stages on Some Quality Characteristics of Winter Wheat. J. Agron. Crop Sci. 2004, 190, 93–99. [Google Scholar] [CrossRef]
- Daryanto, S.; Wang, L.; Jacinthe, P.A. Global Synthesis of Drought Effects on Maize and Wheat Production. PLoS ONE 2016, 11, e0156362. [Google Scholar] [CrossRef]
- Gupta, P.K.; Balyan, H.S.; Sharma, S.; Kumar, R. Genetics of yield, abiotic stress tolerance and biofortification in wheat (Triticum aestivum L.). Theor. Appl. Genet. 2020, 133, 1569–1602. [Google Scholar] [CrossRef]
- Wang, S.; Wong, D.; Forrest, K.; Allen, A.; Chao, S.; Huang, B.E.; Maccaferri, M.; Salvi, S.; Milner, S.G.; Cattivelli, L.; et al. Characterization of polyploid wheat genomic diversity using a high-density 90,000 single nucleotide polymorphism array. Plant Biotechnol. J. 2014, 12, 787–796. [Google Scholar] [CrossRef]
- Marone, D.; Laidò, G.; Gadaleta, A.; Colasuonno, P.; Ficco, D.B.; Giancaspro, A.; Giove, S.; Panio, G.; Russo, M.A.; De Vita, P.; et al. A high-density consensus map of A and B wheat genomes. Theor. Appl. Genet. 2012, 125, 1619–1638. [Google Scholar] [CrossRef] [PubMed]
- Nachit, M.M.; Elouafi, I.; Pagnotta, A.; El Saleh, A.; Iacono, E.; Labhilili, M.; Asbati, A.; Azrak, M.; Hazzam, H.; Benscher, D.; et al. Molecular linkage map for an intraspecific recombinant inbred population of durum wheat (Triticum turgidum L. var. durum). Theor. Appl. Genet. 2001, 102, 177–186. [Google Scholar] [CrossRef]
- Liu, D.; Zhao, D.; Zeng, J.; Shawai, R.S.; Tong, J.; Li, M.; Li, F.; Zhou, S.; Hu, W.; Xia, X.; et al. Identification of genetic loci for grain yield-related traits in the wheat population Zhongmai 578/Jimai 22. J. Integr. Agric. 2023, 22, 1985–1999. [Google Scholar] [CrossRef]
- Negisho, K.; Shibru, S.; Matros, A.; Pillen, K.; Ordon, F.; Wehner, G. Association Mapping of Drought Tolerance Indices in Ethiopian Durum Wheat (Triticum turgidum ssp. durum). Front. Plant Sci. 2022, 13, 838088. [Google Scholar] [CrossRef] [PubMed]
- Bapela, T.; Shimelis, H.; Tsilo, T.J.; Mathew, I. Genetic improvement of wheat for drought tolerance: Progress, challenges and opportunities. Plants 2022, 11, 1331. [Google Scholar] [CrossRef] [PubMed]
- Farshadfar, E.; Moradi, Z.; Elyasi, P. Effective selection criteria for screening drought tolerant landraces of bread wheat (Triticum aestivum L.). Ann. Biol. Res. 2012, 3, 2507–2516. [Google Scholar]
- Patel, J.M.; Patel, A.S.; Patel, C.R.; Mamrutha, H.M.; Pachchigar, K.P. Evaluation of Selection Indices in Screening Durum Wheat Genotypes Combining Drought Tolerance and High Yield Potential. Int. J. Curr. Microbiol. Appl. Sci. 2019, 8, 1165–1178. [Google Scholar] [CrossRef]
- Ayed, S.; Othmani, A.; Bouhaouel, I.; Teixeira da Silva, J.A. Multi-Environment Screening of Durum Wheat Genotypes for Drought Tolerance in Changing Climatic Events. Agronomy 2021, 11, 875. [Google Scholar] [CrossRef]
- Guan, P.; Di, N.; Mu, Q.; Shen, X.; Wang, Y.; Wang, X.; Yu, K.; Song, W.; Chen, Y.; Xin, M.; et al. Use of near-isogenic lines to precisely map and validate a major QTL for grain weight on chromosome 4AL in bread wheat (Triticum aestivum L.). Theor. Appl. Genet. 2019, 132, 2367–2379. [Google Scholar] [CrossRef] [PubMed]
- Jobson, E.M.; Johnston, R.E.; Oiestad, A.J.; Martin, J.M.; Giroux, M.J. The Impact of the Wheat Rht-B1b Semi-Dwarfing Allele on Photosynthesis and Seed Development Under Field Conditions. Front. Plant Sci. 2019, 10, 51. [Google Scholar] [CrossRef] [PubMed]
- Li, L.; Mao, X.; Wang, J.; Chang, X.; Reynolds, M.; Jing, R. Genetic dissection of drought and heat-responsive agronomic traits in wheat. Plant Cell Env. 2019, 42, 2540–2553. [Google Scholar] [CrossRef] [PubMed]
- Bao, X.; Hou, X.; Duan, W.; Yin, B.; Ren, J.; Wang, Y.; Liu, X.; Gu, L.; Zhen, W. Screening and evaluation of drought resistance traits of winter wheat in the North China Plain. Front. Plant Sci. 2023, 14, 1194759. [Google Scholar] [CrossRef]
- Sultana, S.R.; Ali, A.; Ahmad, A.; Mubeen, M.; Zia-Ul-Haq, M.; Ahmad, S.; Ercisli, S.; Jaafar, H.Z. Normalized Difference Vegetation Index as a tool for wheat yield estimation: A case study from Faisalabad, Pakistan. Sci. World J. 2014, 2014, 725326. [Google Scholar] [CrossRef] [PubMed]
- Ltaief, S.; Krouma, A. Functional Dissection of the Physiological Traits Promoting Durum Wheat (Triticum durum Desf.) Tolerance to Drought Stress. Plants 2023, 12, 1420. [Google Scholar] [CrossRef] [PubMed]
- Meng, L.; Li, H.; Zhang, L.; Wang, J. QTL IciMapping: Integrated software for genetic linkage map construction and quantitative trait locus mapping in biparental populations. Crop J. 2015, 3, 269–283. [Google Scholar] [CrossRef]





| Traits | Adequate Irrigation | Drought Stress | ||||||
|---|---|---|---|---|---|---|---|---|
| Range | Mean | SD | CV (%) | Range | Mean | SD | CV (%) | |
| HD | 38.00–59.00 | 50.44 | 4.47 | 3.79 | 39.00–59.00 | 50.28 | 4.53 | 3.01 |
| PH | 66.90–130.00 | 102.88 | 11.41 | 8.37 | 63.70–122.00 | 96.11 | 10.23 | 8.48 |
| GNPS | 32.30–59.84 | 44.09 | 4.98 | 11.29 | 28.62–56.30 | 39.43 | 4.43 | 11.22 |
| GF | 2.00–8.00 | 4.78 | 1.19 | 12.39 | 2.00–8.00 | 4.28 | 1 | 11.81 |
| BSS | 0.00–4.00 | 1.41 | 0.69 | 34.55 | 0.00–5.20 | 1.79 | 0.86 | 33.01 |
| TGW | 23.20–58.40 | 40.09 | 6.38 | 8.04 | 20.40–53.60 | 37.65 | 5.83 | 8.06 |
| GWPS | 0.38–3.66 | 1.76 | 0.5 | 12.69 | 0.40–3.32 | 1.47 | 0.4 | 11.11 |
| TY | 2.21–12.03 | 6.75 | 1.91 | 8.82 | 2.29–10.39 | 5.8 | 1.53 | 7.81 |
| HD-CT | 13.90–26.90 | 20.11 | 1.97 | 2.55 | 16.70–31.00 | 23.42 | 2.48 | 2.66 |
| EF-CT | 20.85–27.10 | 23.55 | 0.91 | 1.57 | 22.53–32.57 | 27.98 | 1.68 | 2.29 |
| MF-CT | 20.58–32.10 | 25.06 | 2.46 | 1.91 | 23.20–31.00 | 27.33 | 1.66 | 1.43 |
| HD-SPAD | 38.90–69.30 | 49.26 | 2.79 | 3.63 | 42.40–61.10 | 51.8 | 2.45 | 3.17 |
| EF-SPAD | 41.90–60.00 | 50.82 | 2.54 | 3.5 | 43.40–62.40 | 53.86 | 2.52 | 3.09 |
| MF-SPAD | 7.40–63.80 | 40.16 | 16.97 | 4.51 | 5.10–64.20 | 43.29 | 15.57 | 8.25 |
| ES-NDVI | 0.13–0.65 | 0.31 | 0.13 | 9.96 | 0.11–0.65 | 0.33 | 0.14 | 12.01 |
| HD-NDVI | 0.44–0.93 | 0.85 | 0.05 | 2.93 | 0.63–0.93 | 0.84 | 0.04 | 2.71 |
| EF-NDVI | 0.48–0.92 | 0.79 | 0.05 | 3.43 | 0.38–0.91 | 0.68 | 0.11 | 5.96 |
| MF-NDVI | 0.29–0.88 | 0.68 | 0.11 | 7.45 | 0.18–0.83 | 0.49 | 0.13 | 11.72 |
| Chromosome | No. of Markers | Map Distance (cM) | Map Density (marker/cM) | Max Gap (cM) | Gap < 5 cM |
|---|---|---|---|---|---|
| 1A | 88 | 75.18 | 1.17 | 18.44 | 97.73% |
| 2A | 43 | 134.94 | 0.32 | 34.93 | 90.70% |
| 3A | 114 | 182.13 | 0.63 | 44.00 | 94.74% |
| 4A | 85 | 58.01 | 1.47 | 6.88 | 98.82% |
| 5A | 47 | 107.93 | 0.44 | 16.37 | 89.36% |
| 6A | 26 | 82.94 | 0.31 | 28.59 | 84.62% |
| 7A | 59 | 90.93 | 0.65 | 14.48 | 94.92% |
| 1B | 66 | 170.98 | 0.39 | 31.86 | 90.91% |
| 2B | 88 | 128.31 | 0.69 | 34.66 | 93.18% |
| 3B | 88 | 157.46 | 0.56 | 29.13 | 92.05% |
| 4B | 14 | 148.68 | 0.09 | 47.48 | 64.29% |
| 5B | 71 | 170.78 | 0.42 | 35.00 | 90.14% |
| 6B | 34 | 42.49 | 0.80 | 16.02 | 97.06% |
| 7B | 110 | 109.54 | 1.00 | 12.68 | 96.36% |
| 1D | 37 | 150.87 | 0.25 | 39.70 | 83.78% |
| 2D | 19 | 102.39 | 0.19 | 37.67 | 84.21% |
| 3D | 20 | 73.74 | 0.27 | 29.91 | 80.00% |
| 5D | 11 | 58.68 | 0.19 | 58.12 | 90.91% |
| 6D | 15 | 26.40 | 0.57 | 10.54 | 86.67% |
| 7D | 12 | 115.97 | 0.10 | 41.63 | 58.33% |
| A genome | 462 | 732.06 | 0.63 | 44.00 | 94.59% |
| B genome | 471 | 928.24 | 0.51 | 47.78 | 92.36% |
| D genome | 114 | 528.05 | 0.22 | 58.12 | 81.58% |
| Total | 1047 | 2188.35 | 0.48 | 29.40 | 92.17% |
| Trait | QTLs | Chr | Left Marker | Right Marker | LOD | PVE (%) | Add | Environment |
|---|---|---|---|---|---|---|---|---|
| HD | QHD-2A.1 | 2A | BS00068196_51 | BobWhite_c1611_1685 | 13.23–13.56 | 11.77–11.83 | 0.73 | NE1, NE4 |
| QHD-2A.2 | 2A | BS00076693_51 | BS00068139_51 | 6.96–9.94 | 5.53–7.93 | −0.55 | NE1, NE4 | |
| QHD-2B | 2B | wsnp_Ex_c16144_24583060 | RAC875_c35399_497 | 4.23–9.30 | 7.41–11.32 | −0.61 | NE1, NE4, D3, D4 | |
| QHD-3D | 3D | Excalibur_c27702_282 | wsnp_Ra_rep_c116793_96612614 | 2.71–5.95 | 0.44–12.6 | 0.44 | NE1, NE2, NE3, NE4, DE1, DE2, DE4 | |
| QHD-5B.1 | 5B | wsnp_BJ224975A_Ta_2_2 | wsnp_Ex_c8543_14357051 | 5.43–19.87 | 1.80–34.62 | −0.91 | NE1, NE2, NE3, NE4, DE2, DE3, DE4 | |
| QHD-5B.2 | 5B | TA001900-1836 | Tdurum_contig49576_75 | 5.12–5.58 | 4.36–7.61 | −0.54 | NE2, NE3, NE4, DE4 | |
| QHD-5B.3 | 5B | Tdurum_contig44343_1039 | wsnp_Ku_c21275_31007309 | 6.96–7.14 | 0.73–11.7 | −0.55 | NE1, DE1, DE2 | |
| QHD-6A | 6A | TA004558-1018 | tplb0028p11_1104 | 2.88–4.01 | 3.04–4.15 | 0.39 | NE3, NE4, DE4 | |
| PH | QPH-4B | 4B | wsnp_Ex_c26807_36031771 | RAC875_rep_c72961_977 | 3.37–4.74 | 8.27–9.66 | −2.8 | NE2, NE3, NE4, DE1, DE2, DE3, DE4 |
| QPH-5B | 5B | wsnp_RFL_Contig3939_4369467 | BS00072155_51 | 2.51–4.47 | 5.47–10.3 | 2.5 | NE1, NE2, NE4, DE1, DE4 | |
| GF | QGF-4B | 4B | wsnp_Ex_c26807_36031771 | RAC875_rep_c72961_977 | 3.41–4.95 | 8.91–10.41 | −0.19 | NE3, NE4 |
| QGF-1A | 1A | IACX662 | BS00012283_51 | 2.99–4.34 | 7.73–10.26 | 0.16 | NE4, DE1, DE3, DE4 | |
| BSS | QBSS-1A | 1A | RAC875_c50864_1921 | wsnp_Ex_c57322_59083238 | 4.69–5.63 | 9.54–10.45 | −0.18 | NE3, NE4 |
| QBSS-5B | 5B | wsnp_Ex_c8543_14357051 | IAAV619 | 3.31–4.35 | 6.40–9.93 | −0.16 | DE3, NE3, NE4 | |
| TGW | QTGW-1A | 1A | wsnp_Ex_c33246_41764093_2 | wsnp_Ku_c18923_28319203_2 | 17.14–18.69 | 8.34–8.38 | −2.25 | NE2, NE4 |
| QTGW-2B | 2B | Jagger_c1059_300 | TA003703-0582 | 2.54–30.4 | 4.66–16.2 | −2.29 | NE2, NE3, NE4 | |
| QTGW-4B | 4B | wsnp_Ex_c26807_36031771 | RAC875_rep_c72961_977 | 3.01–5.47 | 1.75–10.39 | −1.08 | NE1, NE3, NE4 | |
| TY | QTY-1A | 1A | BS00022698_51 | RAC875_c400_3378 | 3.15–3.18 | 7.90–7.96 | 0.18 | NE4, DE1, DE4 |
| HD-SPAD | QHD-SPAD-4B | 4B | wsnp_Ex_c26807_36031771 | RAC875_rep_c72961_977 | 3.01–6.00 | 4.76–14.67 | 0.61 | NE2, NE3, NE4, DE1, DE2, DE3, DE4 |
| QHD-SPAD-5B | 5B | Excalibur_rep_c111129_125 | RAC875_c30566_230 | 4.61–6.11 | 8.82–8.87 | 0.67 | NE3, NE4 | |
| EF-SPAD | QEF-SPAD-5B.1 | 5B | wsnp_Ra_c13_24911 | wsnp_Ex_rep_c68515_67349904_2 | 2.74–4.72 | 5.61–8.44 | 0.50 | DE2, DE3, DE4 |
| QEF-SPAD-5B.2 | 5B | Excalibur_c6279_381 | Kukri_c52049_277 | 3.25–6.06 | 6.41–11.2 | −0.54 | NE4, DE2, DE4 | |
| MF-SPAD | QMF-SPAD-3D | 3D | RAC875_c35873_1828 | Excalibur_c9472_217 | 3.50–4.28 | 8.58–8.80 | −0.59 | NE1, NE4 |
| QMF-SPAD-5B | 5B | Tdurum_contig44343_1039 | wsnp_Ku_c21275_31007309 | 5.77–8.18 | 9.75–18.92 | −2.40 | DE3, DE4 | |
| ES-NDVI | QES-NDVI-1A.3 | 1A | Tdurum_contig10036_474 | BS00067525_51 | 6.09–6.59 | 11.45–14.21 | 0.13 | NE4, DE3, DE4 |
| HD-NDVI | QHD-NDVI-5B | 5B | wsnp_Ex_c8543_14357051 | IAAV619 | 3.64–9.44 | 8.42–19.79 | −0.01 | NE3, NE4, DE2, DE3, DE4 |
| EF-NDVI | QEF-NDVI-5B.1 | 5B | wsnp_BJ224975A_Ta_2_2 | wsnp_Ex_c8543_14357051 | 3.28–8.24 | 7.60–19.72 | −0.01 | NE3, NE4, DE2, DE4 |
| QEF-NDVI-5B.2 | 5B | BS00003944_51 | BS00049719_51 | 2.59–2.65 | 3.61–6.36 | −0.01 | DE3, DE4 |
Disclaimer/Publisher’s Note: The statements, opinions and data contained in all publications are solely those of the individual author(s) and contributor(s) and not of MDPI and/or the editor(s). MDPI and/or the editor(s) disclaim responsibility for any injury to people or property resulting from any ideas, methods, instructions or products referred to in the content. |
© 2024 by the authors. Licensee MDPI, Basel, Switzerland. This article is an open access article distributed under the terms and conditions of the Creative Commons Attribution (CC BY) license (https://creativecommons.org/licenses/by/4.0/).
Share and Cite
Wang, Z.; Lai, X.; Wang, C.; Yang, H.; Liu, Z.; Fan, Z.; Li, J.; Zhang, H.; Liu, M.; Zhang, Y. Exploring the Drought Tolerant Quantitative Trait Loci in Spring Wheat. Plants 2024, 13, 898. https://doi.org/10.3390/plants13060898
Wang Z, Lai X, Wang C, Yang H, Liu Z, Fan Z, Li J, Zhang H, Liu M, Zhang Y. Exploring the Drought Tolerant Quantitative Trait Loci in Spring Wheat. Plants. 2024; 13(6):898. https://doi.org/10.3390/plants13060898
Chicago/Turabian StyleWang, Zhong, Xiangjun Lai, Chunsheng Wang, Hongmei Yang, Zihui Liu, Zheru Fan, Jianfeng Li, Hongzhi Zhang, Manshuang Liu, and Yueqiang Zhang. 2024. "Exploring the Drought Tolerant Quantitative Trait Loci in Spring Wheat" Plants 13, no. 6: 898. https://doi.org/10.3390/plants13060898
APA StyleWang, Z., Lai, X., Wang, C., Yang, H., Liu, Z., Fan, Z., Li, J., Zhang, H., Liu, M., & Zhang, Y. (2024). Exploring the Drought Tolerant Quantitative Trait Loci in Spring Wheat. Plants, 13(6), 898. https://doi.org/10.3390/plants13060898
