Abstract
Understanding non-target-site resistance (NTSR) to herbicides represents a pressing challenge as NTSR is widespread in many weeds. Using giant duckweed (Spirodela polyrhiza) as a model, we systematically investigated genetic and molecular mechanisms of diquat resistance, which can only be achieved via NTSR. Quantifying the diquat resistance of 138 genotypes, we revealed an 8.5-fold difference in resistance levels between the most resistant and most susceptible genotypes. Further experiments suggested that diquat uptake and antioxidant-related processes jointly contributed to diquat resistance in S. polyrhiza. Using a genome-wide association approach, we identified several candidate genes, including a homolog of dienelactone hydrolase, that are associated with diquat resistance in S. polyrhiza. Together, these results provide new insights into the mechanisms and evolution of NTSR in plants.
1. Introduction
More than 500 unique cases of herbicide resistance have been discovered worldwide [1]. Many of these herbicide resistance cases are caused by genetic changes other than the target site and are therefore referred as non-targeted-site resistance (NTSR) cases [2]. Since many NTSR cases constitute complex and polygenic traits, our current understanding of the evolution and mechanism of NTSR remains limited.
Due to their lack of target site resistance mechanisms, bipyridinium herbicides, such as diquat and paraquat, constitute an ideal system for deciphering the genetic basis of non-target-site resistance mechanisms. These herbicides act by diverting electrons from the photosystem I (PSI), thereby competing with ferredoxin for its binding place on PSI [3,4]. Upon electron acceptation from PSI, they transfer one electron to molecular oxygen, generating superoxide anions. The reactive oxygen species (ROS) produced by this Mehler-like reaction lead to the destruction of thylakoid membranes and a decrease in the photosynthesis rate of the plant, which ultimately causes cell death by the induction of apoptosis [5]. With the widespread usage of bipyridinium herbicides for weed and algae control in agriculture and aquaculture [6,7,8,9], numerous resistance cases have been reported since the 1980s [10,11]. Most of these resistance cases exhibited a cross-resistance between paraquat and diquat [6,10,12,13,14]. From a mechanistic point of view, the vast majority of these cases were due to the vacuolar sequestration/chloroplast exclusion of the herbicide [13,15,16,17,18,19], an increased activity of the plant’s antioxidant radical scavenging system [20,21], or an intracellular-uptake-associated mechanism [6,22].
Most of the known herbicide resistance mechanisms are also shown to be involved in stress responses to environmental factors such as salinity [23,24], oxidative stress [24], heavy metal exposure [25], and cold stress [24]. Most prominently, ABC transporters, a class of proteins involved in various stress responses, such as those to drought [26], exposure to heavy metals [27], and pathogens [28], are involved in paraquat resistance [25,29]. These findings suggest that NTSR might have a pleiotropic origin from stress response or secondary metabolite pathways, thus explaining the short evolutionary time scale between the commercialization of herbicides and the appearance of resistant weed species. Yet, the underlying genetic principles remain poorly understood for many cases of bipyridinium herbicide resistance.
Here, we used giant duckweed Spirodela polyrhiza (L.) Schleid. (Arales: Lemnaceae) as a model system to study the mechanisms of diquat resistance. Because of their high susceptibility towards bipyridinium herbicides [30], their small body, and fast clonal reproduction [31], duckweeds are often used for toxicological studies on herbicides. Among duckweeds, S. polyrhiza has the smallest genome size and low genetic variation [32,33]. The available large genetic diversity panel and re-sequencing data on S. polyrhiza will also enable the identification of genetic mechanisms using a genome-wide association (GWA) approach. In this study, we focused on two main questions: (1) To what extent do S. polyrhiza genotypes vary in terms of their diquat resistance levels? (2) What are the underlying molecular and genetic mechanisms of diquat resistance?
2. Results
2.1. Intraspecific Variations in Diquat Resistance in S. polyrhiza
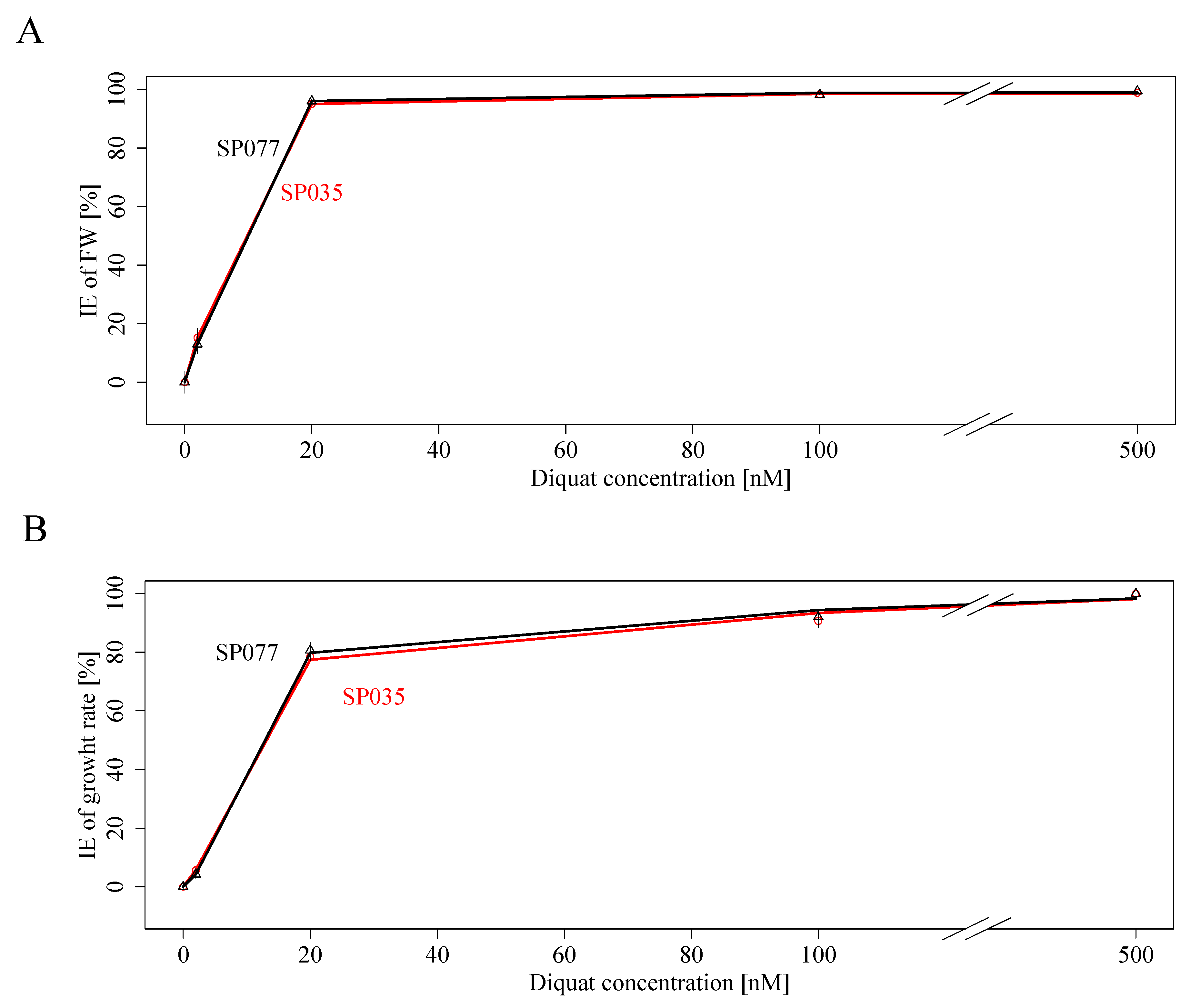
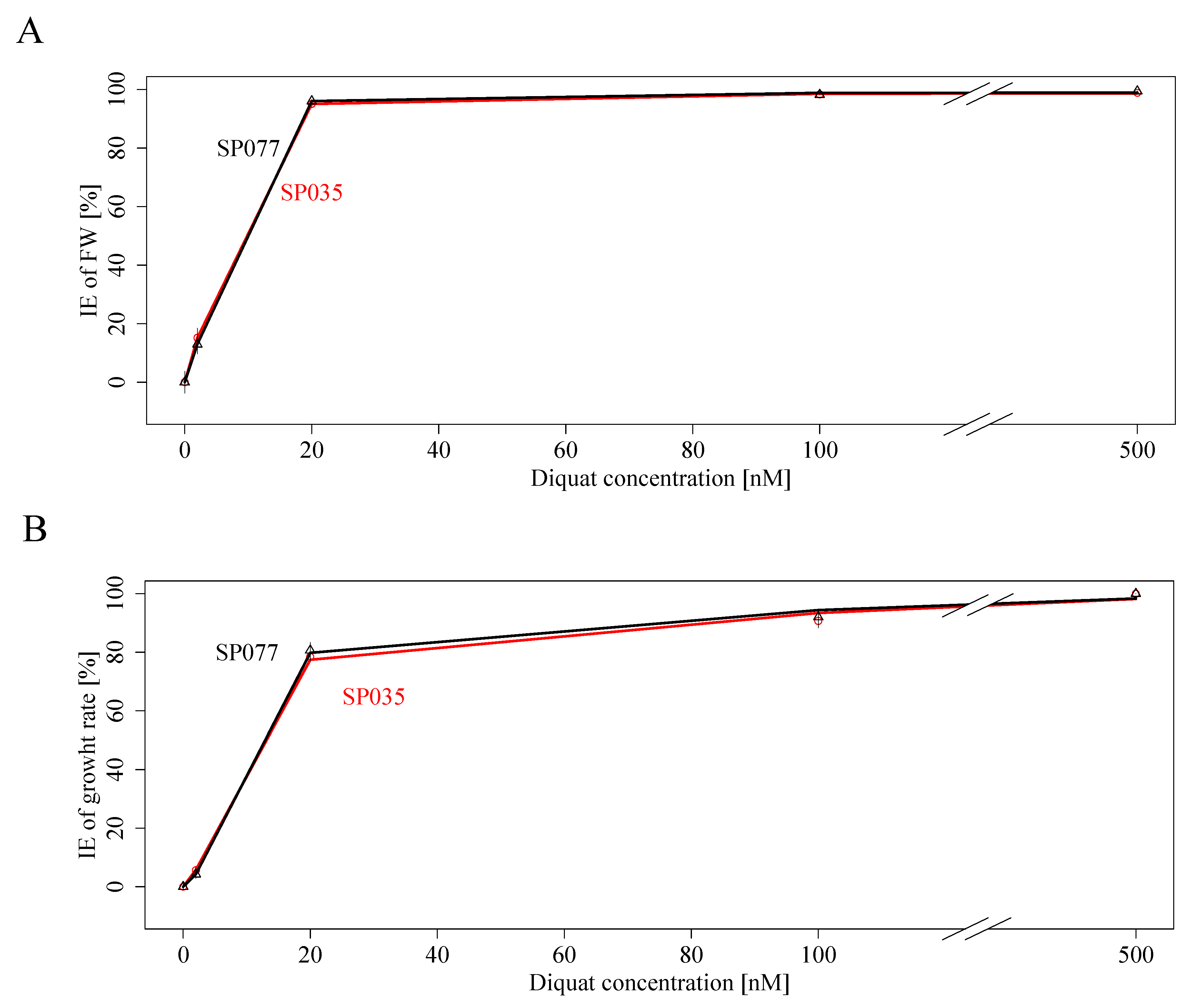
As the intra-specific variations in resistance are dependent on the applied diquat concentration, we used a stepwise approach to select the diquat concentration for screening. First, we used two randomly selected genotypes to perform a dose–response curve in S. polyrhiza. The results suggested that the EC10 and EC90 values for inhibiting FW (fresh weight) biomass in S. polyrhiza are ~1.8 nM and ~11.1 nM, respectively. Measuring the inhibition of the relative growth rate of the frond number, we obtained EC10 and EC90 values of ~2.2 nM and ~53.0 nM, respectively (Figure A1, Table A1). We then screened diquat resistance among 19 genotypes using 5 and 10 nM of diquat. We found the broad-sense heritability of diquat resistance to be higher at 10 nM (H2 = 0.98) than at 5 nM (H2 = 0.90). Furthermore, several genotypes showed hormetic effects at 5 nM of diquat concentration, whereas at 10 nM, we found a clear inhibition ranging from 22% to 84% across all genotypes (Figure A2). Therefore, we chose 10 nM as the concentration for screening diquat resistance among 138 genotypes.
Among the screened genotypes, diquat resistance varied significantly, either estimated based on the RGR (relative growth rate) of the frond number, the RGR of the frond area, or the decrease in biomass (FW) (Figure A3). Of all the quantified parameters, the RGR of the frond number was the most reproducible for quantifying diquat resistance (Figure A4). We did not detect significant differences in diquat resistance between the four genetic populations of S. polyrhiza (Tukeys HSD) identified using genome-wide markers (Figure A5). To further validate the variation in diquat resistance in our genotype accession, we performed dose-response experiments and estimated the EC50 values of the eight most resistant and eight most susceptible genotypes identified in the screening experiment (Table A2). The estimated EC50 value of the most resistant genotype (SP050, registered four-digit code: 0090) is 8.5-fold higher than that of the most susceptible genotype (SP011, registered four-digit code: 9242) (Figure 1 and Table A2). The differences in diquat resistance between SP050 and SP011 are also reflected by the decrease in two chlorophyll fluorescence parameters: Fv/Fm and Fv’/Fm’, in response to diquat. During the first 8 h of diquat treatment, SP050 has a much slower decay of Fv/Fm and Fv’/Fm’ than SP011 (Figure 1C,D). Together, these results suggest that diquat resistance greatly varied among different genotypes of S. polyrhiza.
Figure 1.
Comparison of growth kinetics of the most resistant genotype SP050 and the most susceptible genotype SP011 under diquat treatment (A) S. polyrhiza genotypes SP011 and SP050 grown under various diquat concentrations for 8 days. (B) Dose-response curves depicting the mean IE values with their corresponding standard errors calculated from three biological replicates for various diquat concentrations. We used the UCRS4c hormetic model from the drc R-package to estimate the EC50 values. The predicted functions used to derive this value were drawn as colored lines. (C,D) The development of the chlorophyll fluorescence parameters Fv/Fm (C) and Fv’/Fm’ (D) are shown over time. The data points constitute mean values from three biological replicates; error bars indicate standard error, and different significance levels were marked with asterisks: *—0.05 ≥ p-adjust > 0.01, **—0.01 ≥ p-adjust > 0.001, ***—p-adjust < 0.001 (linear mixed effect model, Tukeys HSD).
2.2. Changes in Diquat Uptake and Antioxidant Capacity Contribute to Diquat Resistance
We compared the diquat uptake and antioxidant capacities among different genotypes to understand the molecular mechanisms of variations in diquat resistance. We found that diquat concentration in whole plants significantly correlates with inhibition effects, suggesting that reduced diquat uptake capacity increases diquat resistance (Figure 2A). However, the diquat concentration in frond tissue might be lower in highly resistant genotypes due to their larger biomass accumulation compared to susceptible genotypes after the 7 days of bioassay. To address this issue, we further compared the diquat uptake kinetics between SP050 and SP011 within 48 h, during which diquat did not affect plant biomass considerably. The results showed that SP011 accumulated significantly more diquat than SP050 after 24 h (Figure 2B), indicating their differences in diquat uptake capacity. A comparison of the diquat concentration between root and frond tissue suggested that roots have an approximately three-fold higher diquat concentration than fronds (Figure 2C). However, differences in diquat uptake between SP011 and SP050 were likely not due to their differences in root/frond diquat concentration ratio, which are similar between the two genotypes (Figure 2C). A measurement of the medium concentration of diquat did not reveal large fluctuations in cultures of SP050 and SP011 within a period of 7 days (Table A3). Due to the high stability of diquat in plant tissue and medium samples, the measured uptake kinetics are unlikely to be confounded by degradation processes.
Figure 2.
Uptake and translocation mechanisms of diquat. (A) The diquat resistance calculated based on the inhibition of the RGR of the frond number is significantly correlated (F-test) with the diquat tissue concentration of 137 genotypes. (B) After 24 and 48 h of diquat exposure, SP011 accumulated significantly more diquat than SP050. *—0.05 ≥ p-adjust > 0.01, **—0.01 ≥ p-adjust > 0.001 (two-sided Student’s t-test). (C) Both genotypes showed an approximately three-fold higher concentration of diquat in root tissue compared to frond tissue. No significant difference between the two genotypes was found (two-sided Student’s t-test). The diquat tissue concentration was measured after 24 h of diquat exposure.
We then measured the antioxidant capacity by quantifying the glutathione and ascorbate content levels among eight S. polyrhiza genotypes. Glutathione and ascorbate play a central function in protecting the plant from oxidative stress via the Asada–Halliwell–Foyer cycle (Figure 3A), which controls the redox hub by detoxifying superoxide anions generated by diquat. The quenching process of ROS occurs through the synergistic action of several enzymes, including the superoxide dismutase (SOD) via the conversion of the reductive metabolites AsA and GSH to their oxidized counterparts (Figure 3A), dehydroascorbate (DHA) and oxidized glutathione (GSSG), respectively. Therefore, we used the activity of SOD together with the ratios of AsA/DHA and GSH/GSSG as proxies to estimate antioxidant stress responses to diquat [23,24,34,35]. Diquat exposure decreased the GSH/GSSG and AsA/DHA levels in SP011 but not in SP050 (Figure 3B,C). For SP011, both ratios reached a minimum after 4 h of diquat treatment, followed by a recovery to their initial value after 24 h. The decline in the ratios was mainly reflected by a decrease in GSH and AsA concentrations in plant tissue (Figure A6). Additionally, we found a significant correlation between diquat tissue concentration and GSH/GSSG levels (Figure A7A) but not AsA/DHA levels (Figure A7B). However, the GSH/GSSG and AsA/DHA values were not correlated with resistance levels (Figure A7C,D). The enhanced maintenance of antioxidant ratios in SP050 is also reflected by the genotype’s elevated SOD activity under diquat treatment over SP011 (Figure 3D). Together, these data suggest that SOD activity under diquat treatment is correlated with resistance levels to diquat (Figure A8A). However, no such association was observed for the constitutive SOD activity (Figure A8B).
Figure 3.
(A) Foyer–Asada–Halliwell cycle according to Noctor and Foyer, 1998 [36]. Enzymes are highlighted by red margins. Metabolites analyzed in this study are underlined. SOD converts superoxide anions to H2O2. Through oxidation of AsA, H2O2 is degraded to H2O by APX. AsA is regenerated by oxidation of GSH to GSSG. The latter is reconverted to GSH by GR, consuming NADPH. SOD—superoxide dismutase, APX—ascorbate peroxidase, MDHAR—monodehydroascorbate reductase, DHAR—dehydroascorbate reductase, GR—glutathione reductase. The time course of mean GSH/GSSG (B) and AsA/DHA (C) ratios of four to five replicates with their respective standard errors are shown for SP050 and SP011. SP050 exhibited a significantly increased GSH/GSSG ratio over SP011 after 4 h of diquat treatment and an increased AsA/DHA ratio after 4, 8, and 24 h of diquat treatment (unpaired two-sided Student’s t-test). (D) Mean SOD activity after 1-day incubation at 10 nM of diquat or control conditions for three biological replicates ± standard error. Genotype SP050 exhibited a significantly higher SOD activity than SP011 after 24 h of diquat exposure. *—0.05 ≥ p-adjust > 0.01, **—0.01 ≥ p-adjust > 0.001, ***—p-adjust < 0.001 (two-sided Student’s t-test).
2.3. Genetic Basis of Diquat Resistance in S. polyrhiza
To identify the genetic basis of diquat resistance, we applied a GWA approach using both the single-nucleotide polymorphisms (SNPs) and structure variations (SVs) that were identified in our previous study [37]. Among all 42,462 SNPs, only one synonymous SNP (C to T) located within the coding sequence of the guanylate-binding-protein-like 2 SpGBPL2 (SpGA2022_050909) showed a significant association with diquat resistance quantified based on FW only (Figure A9 and Figure A10, Table A4). Among the 842 SVs, we found that a 94 bp deletion located in the seventh intron of the mitochondrial sulfur dioxygenase SpETHE1 (SpGA2022_053619) is associated with diquat resistance quantified based on all growth parameters (Figure 4A–C and Figure A11, Table A5). Genotypes that are homozygous at the deletion locus were significantly more resistant to diquat than heterozygous genotypes or genotypes lacking the deletion. Also, heterozygous genotypes were on average more resistant than genotypes lacking the deletion (Figure 4D). In addition, we found a 184 bp deletion within the fourth exon and the fourth intron of the lipoxygenase 2.1 SpLOX2.1 (SpGA2022_008887) (Figure 4B, Figure A11 and Figure A12, Table A5) and a 56-bp deletion in an intergenic region (Figure 4C and Figure A11, Table A5) that is ~60 Kb far from the next open reading frame to be associated with diquat resistance. However, the 184 bp and 56 bp deletions are specific to only one of the growth parameters that were used for quantifying resistance effects.
Figure 4.
(A–C) Manhattan plots from a GWAS conducted on structure variations, highlighting the diquat resistance-associated 94 bp deletion in SpETHE1. All significant markers (Wald test) were highlighted as green dots. The Bonferroni corrected significance threshold (red line) at p < 0.05 is 5.94 × 10−5. The GWAS was conducted using normalized inhibition effects calculated based on frond number (A), frond area (B), and fresh weight (C). (D) Box plot of mean values of the norm. IE RGR of the frond number of genotypes carrying the respective alleles. On average, genotypes homozygous for the deletion were more resistant to diquat than heterozygous genotypes or genotypes without the deletion. **—0.01 ≥ p-adjust > 0.001, ***—p-adjust < 0.001 (Tukeys HSD). Heterozygous genotypes exhibited a greater mean resistance than genotypes without deletion. (E) Gene structure of SpETHE1 with the 94 bp deletion in the seventh intron highlighted as a red box.
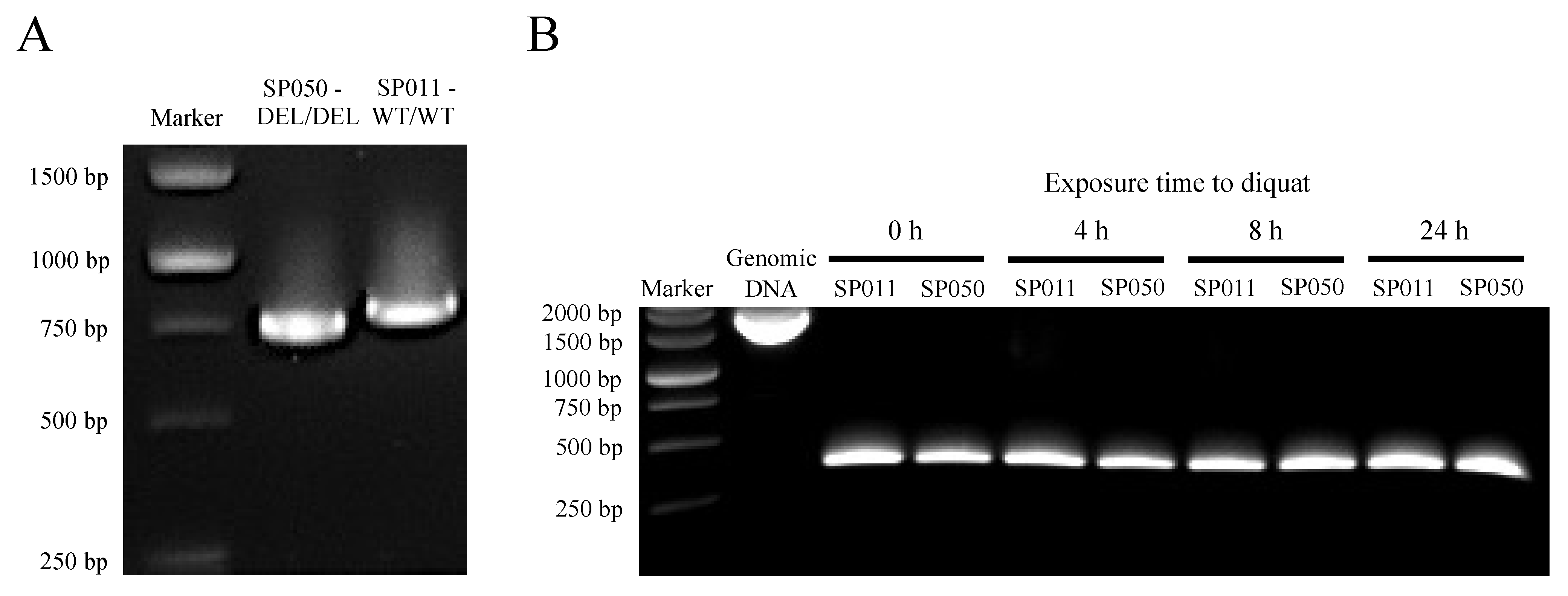
To further validate the association between the 94 bp deletion in the SpETHE1 intron and diquat resistance, we amplified the deletion region using PCR in the genomes SP050 and SP011. These two genotypes showed different levels of diquat resistance. The results confirmed that SP050 is homozygous for the identified deletion and that SP011 is lacking the deletion completely (Figure A13A). We then aimed to examine whether the deletion affected the expression or splicing of SpETHE1 using qPCR. To this end, we conducted a time-course experiment and analyzed the expression and splicing of SpETHE1 in the roots and fronds, respectively. We could not find any differences in the splicing pattern between SP050 and SP011, neither for the control nor for the diquat-treated samples (Figure A13B). We found that SpETHE1 expression was elevated in the root tissue relative to the frond tissue, approximately by a factor of three in both genotypes (Figure A14B). However, under control conditions and within 4 h of diquat treatment, the expression levels were similar between SP011 and SP050 (Figure 5 and Figure A14). After 72 h of diquat treatment, in the fronds, SpETHE1 expression was 21% lower in SP050 compared to SP011, and it showed similar expression in the roots (Figure 5A and Figure A14A). The differential expression is likely due to the differences in diquat uptake between the two genotypes.
Figure 5.
Relative transcript abundance of candidate genes in the frond tissue of S. polyrhiza. Mean values of five biological replicates are shown with their respective standard errors. (A) SpETHE1 expression in SP050 and SP011 relative to its mean expression in SP011 without diquat treatment (Ctrl) or treated with diquat for 4 h and 72 h. After 72 h, SpETHE1 was less expressed in SP050 than in SP011 (two-sided Student’s t-test). (B) The location of SpDLH, SpTRB, SpALA, SpSBE3 and the deletion in SpETHE1. The deletion is depicted as a red line. Transcript abundance of SpDLH (C), SpTRB1 (D), SpALA2 (E), and SpSBE3 (F) in SP050 relative to their mean expression in SP011. The transcript abundances of SpDLH and SpSBE3 are lower in SP050 than in SP011 (two-sided Student’s t-test).
Because the genome of S. polyrhiza is compact and cis-regulatory elements can be located further away from the gene, we examined the expression of four genes located near SpETHE1: SpDLH (SpGA2022_012161), SpALA2 (SpGA2022_053617), SpSBE3 (SpGA2022_053621), and SpTRB1 (SpGA2022_012163) (Figure 5B–F and Figure A14). Among them, the expression of SpDLH, the start codon of which is located 9.6 Kb downstream of the deletion (Figure 5B), is ~67% lower in the root tissue of SP050 compared to SP011 (Figure A14C). In the frond tissue, the expression was ~45% lower in SP050 compared to SP011 (Figure 5C). SpDLH is a homolog of dienelactone hydrolase, which is involved in the degradation of xenobiotics such as chlorocatechol [38] and might be linked to apoptotic processes as well [39]. In addition, the expression of SpSBE3, the start codon of which is located 7.7 Kb from the deletion, is 21% lower in the frond tissue of SP050 than in SP011 (Figure 5C). The expression of the other two genes was not different between SP050 and SP011.
3. Discussion
Here, we investigated the diquat resistance in S. polyrhiza using the worldwide diversity panel and identified gene candidates associated with the resistance. We found that the levels of resistance varied among genotypes by a factor of 8.5, likely due to the combination of changes in diquat uptake kinetics and antioxidant capacity. We used a GWAS approach to show that several candidate genes involved in metabolic processes or stress responses to biotic or abiotic factors are likely associated with diquat resistance.
Our results did not reveal any gene candidates with a transporter or carrier function that might have caused the observed differences in diquat uptake. Yet, since bipyridinium herbicides were also shown to bind to plant cell walls, restricted herbicide movement into the apoplast might not be exclusively explained through the plasma membrane transporter but also by the genotype’s cell wall composition as shown in paraquat-resistant biotypes of Hordeum glaucum (L.) Steud. (Poales: Poaceae) and in Rehmannia glutinosa (Gaertn.) Steud. (Lamiales: Orobanchaceae) [13,40]. Since we did not check for uptake differences on apoplast and protoplast levels separately, we cannot rule out the involvement of such extracellular movement barriers in diquat uptake. On a systemic level, increased retention of diquat in root tissue seems unlikely to explain differences in resistance levels since the root/frond ratio of the diquat concentration was similar across resistance levels. Alternatively, the observed difference in the diquat concentrations can be due to different capacities in metabolizing the herbicide.
From a physiological point of view, the increased diquat resistance of SP050 was characterized by an increased SOD activity and stable antioxidant ratios under diquat exposure compared to susceptible genotypes. Such genotypic-specific changes in AsA/DHA ratios were previously related to differences in SOD activity [35]. Since the GSH/GSSG ratio and diquat tissue concentration were significantly correlated after 24h of diquat exposure, some of the observed differences in antioxidant ratios might be influenced by diquat uptake kinetics as well. This suggests that diquat resistance in S. polyrhiza is likely facilitated by a synergistic involvement of uptake-related and antioxidant processes. Related to this, it was proposed that antioxidant processes only provide short-term protection against herbicide-mediated oxidative stress before more potent mechanisms such as sequestration or reduced uptake of the herbicide secure the long-term survival of resistant genotypes [41], which might explain why diquat-caused changes in the antioxidant ratios were only transient across different resistance levels.
From a genetic perspective, a 94-bp intronic deletion in SpETHE1 was the only marker associated with several resistance parameters. Since we did not find significant differences in gene expression or splicing patterns associated with the deletion, the direct functional involvement of SpETHE1 in diquat resistance seems unlikely. Yet, the differential expression of SpDLH and SpSBE3, two genes downstream of SpETHE1, as a potential consequence of the deletion, might suggest the involvement of long-distance gene regulation mechanisms. Such regulatory mechanisms seem to be more common in plant species with large or middle-sized genomes, such as Zea mays L. (Poales: Poaceae) [42,43] or Oryza sativa L. (Poales: Poaceae) [44] than in species with small genomes like Arabidopsis thaliana (L.) Heynh. (Brassicales: Brassicaceae) [45,46]. Yet, enhancement of transcription through chromatin looping was also shown to be established by introns [47], which might be a process more common in species with compact genomes that lack long intergenic sequences like S. polyrhiza.
Many homologs of our candidate genes were involved in various metabolic or stress response pathways. Whereas GBPLs and lipoxygenase like SpLOX2.1 are involved in response mechanisms to pathogen infection [48,49,50], SBE3 is involved in starch metabolism [51]. DLH functions in xenobiotic degradation [38,52] and apoptosis [39]. Their association with diquat tolerance suggests a pleiotropic function in herbicide resistance for these genes.
The conceptual connection of pleiotropic gene function to bipyridinium herbicide resistance was first established in Conyza canadensis (L.) Cronquist. (Asterales: Asteraceae) [53], where resistance to paraquat was inherited by a single gene that controls the regulation of multiple antioxidant enzymes [53]. In Avena fatua L. (Poales: Poaceae), multiple genes with pleiotropic functions that were involved in xenobiotic catabolism, redox maintenance, secondary metabolite pathways, and stress response pathways were differentially expressed at constitutive levels between resistant and susceptible biotypes [54]. These findings suggest that resistant genotypes benefit from a faster upregulation of their stress response when they experience herbicide exposure [54,55]. Since herbicide treatments trigger a systemic stress response, it has been argued that sub-lethal doses of herbicides will select genotypes with a constitutive upregulation of stress response-associated genes [55]. Yet, since many of our genotypes have likely never experienced direct selection through sub-lethal doses of diquat, this concept is only partially suitable for explaining the observed variation in diquat resistance. Alternatively, non-targeted-site resistance to herbicides can also be induced by heterogenous environments [56], suggesting that the observed resistance to diquat in S. polyrhiza also might have evolved from a simultaneous adaption to multiple environmental stress factors [57].
Taken together, this study paved the foundation for understanding the evolution of diquat resistance in S. polyrhiza. Further studies validating the function and mechanisms of the identified candidate genes will provide further insights into the evolution of herbicide resistance in plants and help develop more sustainable weed management strategies.
4. Materials and Methods
4.1. Plant Material and Cultivation Procedure
For pre-cultivation, we propagated plant material of S. polyrhiza in Erlenmeyer flasks for 14 days before each assay. For all assays and pre-cultivations we grew our S. polyrhiza genotypes in N-medium [58] at 26 °C, with 135 µmol photons·m−2·s−1 of light per day, a light/dark rhythm of 16h/8h and 50% humidity (GroBanks, model BB-XXL.3+cLED, CLF Plant Climatics, Wertingen, Germany) if not stated otherwise. Before each assay, we sterilized all of the analyzed genotypes via a combined protocol involving Klorix and Cefotaxime [59]. For all of the conducted assays, we grew the plants in plastic beakers (Verpackungsbecher PP, transparent, round, 250 mL, Plastikbecher.de GmbH, Giengen, Germany) filled with 150 mL N-medium (control conditions). We covered the cultures using perforated lids to allow air exchange. For the herbicide treatments, we supplemented the N-medium with the indicated concentration of diquat (Diquat-dibromide monohydrate, CAS:6385-62-2, Supelco, St. Louis, MO, USA). For all diquat measurements, the herbicide concentration is always expressed as the concentration of diquat-dibromide. Diquat was always applied as an aliquot from aqueous stocks. At the starting point of each experiment, we added fronds as colonies to the medium. If not stated otherwise, we triplicated each condition and genotype in all experiments.
4.2. Quantification of Diquat Toxicity
We expressed the diquat resistance of each genotype based on the changes in the fitness parameter relative growth rate (RGR) of frond number and frond area as well as the inhibition of fresh weight (FW) relative to an untreated control. To estimate the first two parameters, we counted the frond number and determined the surface area overgrown with fronds for each culture at the beginning and end of each assay. To this end, we took a picture of each culture at the beginning and end of each toxicity assay. To quantify the frond area, we added a reference stone with a black square of an edge size of 1 cm to each culture. At the endpoint of the cultivation, we harvested the plant material, dried it briefly with tissue paper, and stored it in pre-scaled reaction tubes to determine the FW. The procedure mentioned above applies to all toxicity assays if not stated otherwise. Based on these data, we calculated the RGR using a published method [31]:
where NE is the frond number/area at the endpoint of the toxicity test and N0 is the frond number/area at the starting point of the toxicity test.
We expressed the inhibition of the herbicide on the growth of the genotypes as an inhibitory effect (IE) defined by the following formula for all fitness parameters mentioned above:
× 100 where M is the mean of an untreated control and X is the mean of the treatment.
4.2.1. Determination of Screening Concentration
First, we aimed to identify a suitable diquat concentration that affects the growth in most of the genotypes. To make a rough estimate, we applied a diquat concentration range of 2 nM to 500 nM to two randomly selected genotypes, SP035 (registered four-digit code: 0109) and SP077 (registered four-digit code: 9508). For each replicate, we inoculated ten fronds at the start of cultivation and harvested the plant material after 10 days of cultivation. For each concentration, we quantified the growth inhibition as the IE of the FW and the RGR of the frond number. To estimate a screening concentration, we calculated the EC10 and EC90 values for both parameters and genotypes using the EC function from the “drc” R-package [60,61]. Based on the information obtained from this experiment, we further narrowed down the range of potential screening concentrations by testing the inhibition of 19 genotypes to 5 nM and 10 nM of diquat. Our criterion for choosing a suitable screening concentration was that no hormetic effects were visible for any of the 19 genotypes. To avoid the overgrowth of cultures, we decreased the cultivation time to 7 days and inoculated only six fronds at the starting point of the experiment. We quantified diquat resistance based on the IE of the RGR frond number (IE of RGR frond number), the IE of the RGR frond area (IE of RGR frond area) and the IE of the fresh weight (IE of FW). We further estimated the broad-sense heritability of diquat resistance at 5 and 10 nM according to a published method [62] using the H2cal function of the inti R-package [63].
4.2.2. Diquat Resistance Screening
We assayed 138 genotypes in five batches, each encompassing 23 to 35 genotypes, regarding their growth inhibition at a diquat concentration of 10 nM for 7 days. A list of all screened genotypes is provided in the Supplementary Materials (Table S1). At the beginning of the cultivation, we inoculated six fronds in each culture. To control for batch effects, we cultivated genotype SP028, which continuously served as an internal standard throughout all batches. We then normalized the inhibition of all genotypes to that of SP028 in the respective batch. We used these normalized the values of the IE of RGR the frond number (norm. IE RGR of frond number) and area (norm. IE of RGR frond area) and the IE of the FW (norm. IE of FW) to identify the most resistant and susceptible genotypes.
4.2.3. Dose–Response Measurements
To quantify the variation in diquat resistance levels in our 138-genotype accession, we estimated the half maximal effective concentration (EC50) values for the eight most resistant and the eight most susceptible genotypes identified in our resistance screening. We applied a concentration range from 0.5 nM to 100 nM of diquat to a population of six fronds at the starting point of the assay. The duration of the toxicity test was 8 days. To correct for the occurrence of hormetic effects, we calculated all dose–response curves using the drc R-package, applying the hormetic Cedergreen–Ritz–Streibig model UCRS.4c, which has previously been used in toxicity tests of herbicide formulations on duckweed species [64]. In contrast to normal logistic models, which are strictly monotonous functions, the UCRS4.c model takes stimulatory effects, that are caused by hormesis into account [64]. Therefore, the UCRS.4c model estimates the potency of the herbicide via a lower bound on the ED50 value [64]. Since the hormetic effects were minimal in all cases, the lower bound on ED50 provides a close approximation of the EC50. Therefore, we refer to the lower bound on ED50 as an estimate of EC50 in this manuscript.
4.3. Chlorophyll Fluorescence Measurement
We evaluated diquat resistance on a physiological level, measuring the decay of the chlorophyll fluorescence parameters Fv/Fm and Fv’/Fm’ in response to high levels of diquat. The Fv/Fm ratio indicates the decrease in the quantum yield of linear electron flow through PSII [65] and the Fv’/Fm’ ratio is an estimate of the maximum quantum yield of PSII in a light-adapted state [66]. We quantified Fv/Fm and Fv’/Fm’ for the previously identified four most resistant (R) and four most susceptible genotypes (S). For this, we acclimated all of the plant cultures at 26 °C at 110 µmol photons·m−2·s−1 of light per day and a light/dark rhythm of 16 h/8 h (Percival, model AR-41L3, CLF Plant Climatics) for two days before measurement. We used 12-well plates (Nunc, Roskilde, Denmark) filled with 6 mL of N-medium containing 40 µM of diquat for herbicide exposure of the plant material. Each well was inoculated with a duckweed colony composed of three to four fronds. Each genotype was analyzed with three biological replicates for each time point. For each replicate, three areas of interest were defined. We chose durations of 0 min, 30 min, 1 h, 2 h, 4 h, 8 h, 12 h, and 24 h as endpoints for the incubation. We conducted fluorescence measurements using an I-PAM system (M-series, MAXI version, Heinz Walz GmbH, Effeltrich, Germany), applying all settings published previously for chlorophyll fluorescence measurements in Lemna minor L. (Arales: Lemnaceae) [67]. For dark adaption, we incubated our samples in the dark for ten min before the saturation pulse. After recording Fv/Fm, we adapted the plants to actinic light at 84 PAR (photosynthetically active radiation) for 10 min, before measuring the Fv’/Fm’ ratio.
4.4. Superoxide Dismutase Activity
We measured SOD activity for the four most susceptible (S) and four most resistant (R) genotypes identified in our dose–response experiment. To determine the superoxide dismutase (SOD) activity from the plant material, we cultivated five colonies of each genotype under 10 nM of diquat or under control conditions for 24 h. Next, we suspended 10 mg (FW) of plant material from each sample in 500 µL of 0.01 M MOPS buffer (Carl Roth, Karlsruhe, Germany) at pH 7.2. We homogenized the suspension by pulsed mixing for 5 s and centrifuged each sample at 14,000× g for 1 min before analysis. For the quantification of the SOD activity, we diluted 150 µL of supernatant 1:4 in MOPS buffer pH 7.2. We measured SOD activity following the instructions of the SOD determination kit (Product 19160, SOD Assay Kit, Sigma-Aldrich, St. Louis, MO, USA). To determine the protein concentration, we diluted the supernatant 1:2 in MOPS buffer at pH 7.2 and analyzed the samples according to the manufacturer’s instructions using the Rapid Gold BCA Protein Assay Kit (Thermo Fisher Scientific, Waltham, MA, USA). We standardized SOD activity to the measured protein content. To check for the involvement of SOD activity in diquat resistance, we further correlated the SOD activity with our estimates of EC50 values.
4.5. Ascorbate and Glutathione Measurements
To measure the impact of diquat exposure on shifts in the concentration ratios of ascorbate (AsA) to dehydroascorbate (DHA) and reduced (GSH) to oxidized glutathione (GSSG), we cultivated 30 fronds from each R and S genotype for 4, 8 and 24 h under 10 nM of diquat. We grew the control samples for 24 h in N-medium without diquat. For each genotype and measurement point, we made five biological replicates. At the endpoint of the assay, we harvested all of the plants, dried them with tissue paper, transferred them into pre-scaled reaction tubes, and froze them immediately in liquid nitrogen. We stored all of the samples at −80 °C until analysis. We extracted antioxidants from samples of 20 mg FW each with 250 µL of 5% (w/v) metaphosphoric acid (Carl Roth). The extracts were diluted 1:10 with 5% (w/v) metaphosphoric acid containing 1.11 µg/mL of isotope-labeled GSH (Glutathione-Glycine-13C2,15N, Sigma-Aldrich) (labGSH). The further steps of the extraction protocol are based on a method published previously with the modifications listed below [68].
We analyzed all of the antioxidants via LC-MS. For separation, we used a Nexera X3 UHPLC system (Shimadzu, Kyoto, Japan) equipped with a Nucleodur Sphinx RP column (250 × 4.6 mm, 5 µm, Macherey-Nagel, Düren, Germany) and a Nucleodur Sphinx RP EC 4/3 guard column (5 µm, Macherey-Nagel) maintained at 25 °C. For the mobile phase, we used an aqueous solution of 0.2% (v/v) formic acid, 0.05% (v/v) acetonitrile as buffer A, and acetonitrile as buffer B. For elution, we applied a gradient mode using the following program: 0.0 min/2% B, 3.5 min/2% B, 5.0 min/100% B, 8.0 min/100% B, 8.2 min/2% B, 12.5 min/2% B at a constant rate of 1 mL/min. The injection volume was 1 µL of extract per sample. For quantification we used an LC-MS/MS-8060 (Shimadzu) with an electrospray ionization source with the following parameters: nebulizing gas flow: 3 L/min, heating gas flow: 10 L/min, drying gas flow: 10 L/min, interface temperature: 350 °C, DL temperature: 250 °C, heat block temperature: 400 °C, CID gas flow: 270 kPa, interface voltage: 4000 V. GSH and labGSH were quantified in the positive ionization mode, all other metabolites were quantified in the negative ionization mode. We operated with a mass spectrometer in multiple reaction monitoring (MRM) mode using the following settings: Ch1: 308.09 → 76.1 m/z (CE −26 V), Ch2: 308.09 → 162.1 m/z (CE −16 V) for GSH, Ch1: 311.09 → 181.95 m/z (CE −11 V), Ch2: 311.09 → 165.2 m/z (CE −14 V) for labGSH, Ch1: 173.01 → 113.20 m/z (CE 10 V), Ch2: 173.01 → 143.05 m/z (CE 12 V) for DHA, Ch1: 175.02 → 86.85 m/z (CE 22 V), Ch2: 175.02 → 115.05 m/z (CE 13 V) for AsA and Ch1: 611.14 → 305.85 m/z (CE 24 V), Ch2: 611.14 → 271.90 m/z (CE 28 V) for GSSG. For all of the metabolites, Ch1 was used as the quantifier and channel Ch2 as the qualifier. We facilitated the quantification of GSH based on the internal standard labGSH. In the case of GSSG, AsA, and DHA, we quantified them using the internal standard and a conversion factor (CF) that was determined based on external standard curves (nAnalyte = nlabGSH × CF). The empirically determined CFs were 13.1 for AsA, 652.6 for DHA and 2.2 for GSSG.
4.6. Diquat Measurement
To check the possibility of an involvement of transport-related mechanisms in diquat resistance, we quantified the diquat concentration in plant tissue for all R and S genotypes. To relate diquat resistance to tissue concentration, we extracted diquat from freeze-dried samples of 138 genotypes. We pooled all triplicates of the same genotype treated with diquat. Due to a sample being lost during diquat extraction, the total number of samples was reduced to 137. The extraction procedure follows a previously described method with minor modifications [69]. We homogenized the freeze-dried plant material (DW) in a tissue lyser (Qiagen, Venlo, The Netherlands) by adding two to three metal beads and shaking for 1 min at 25 Hz. We aliquoted 10 mg of the ground plant material in 96-well biotubes (catalog number: MTS-11-C, MTS-11-C-R, Axygen, New York, NY, USA) and resuspended each sample with 800 µL of 40% (v/v) methanol, that was acidified with 0.0375 N HCl and contained 20 ng [2H4]-diquat dibromide (03627-5 mg, Supelco) as an internal standard. We homogenized the samples in a tissue lyser (Qiagen) at 20 Hz for 10 min, followed by an incubation step at 80 °C for 15 min and a second homogenization step at 20 Hz for 10 min. After two centrifugation steps at 2000× g for 20 min at 4 °C, we transferred the supernatant to a PCR plate for analysis. Due to the adhesion of diquat to glass surfaces, we did not use glass tubes throughout the whole extraction process. Before the measurement, we performed another centrifugation step at 2000× g for 20 min at 4 °C.
Since tissue dilution effects caused by the higher propagation rates of resistant compared to susceptible genotypes in the diquat treatments might have confounded the correlation between diquat resistance and tissue concentration, we established an uptake kinetic for the R and S genotypes. We cultivated the genotypes in N-medium supplemented with 10 nM of diquat for 15 min, 30 min, 1 h, 2 h, 4 h, 8 h, 12 h, and 24 h. We triplicated each treatment, with each replicate containing 15 fronds growing in colonies. We extracted 2 mg of homogenized plant material (DW) applying the workflow described above but using only 200 µL of extraction buffer containing 1 ng of the [2H4]-diquat dibromide as the internal standard per sample.
We measured the diquat concentration in the root and frond tissue separately to look for tissue-specific translocation patterns. We cultivated the genotypes at 10 nM of diquat for 24 h. Each replicate consisted of 30 fronds growing as colonies. We dissected samples into the root and frond tissue for separate analysis. The extraction of each 2 mg of tissue per sample was performed as described in the previous paragraph.
To monitor changes in the diquat concentration of the medium, we cultivated R and S genotypes for 7 days at 10 nM of diquat. Each day, a medium sample of 400 µL was taken from each replicate and immediately frozen in liquid nitrogen. After lyophilization, we resuspended the precipitate in 400 µL extraction buffer containing 4 ng of [2H4]-diquat dibromide. We then homogenized 300 µL of the supernatant in a tissue lyser as mentioned above and continued with the extraction as described for plant tissue samples.
We analyzed the diquat via LC-MS. For separation, we used a Nexera X3 UHPLC system (Shimadzu) coupled to an LC-MS/MS-8060 with an Acclaim Trinity Q1 column (100 × 2.1 mm, 3 µm, Thermo Fisher Scientific) and a Trinity Q1 guard column (10 × 2.1 mm, 5 µm, Thermo Fisher Scientific) maintained at 30 °C. The injection volume of the sample was 0.5 µL for all measurements. For the mobile phase, we used a buffer containing 75% (v/v) acetonitrile and 25 mM ammonium acetate with a pH adjusted to 5.0 with acetic acid in an isocratic mode at a flow rate of 0.4 mL/min. For quantification, we used an LCMS-8060 (Shimadzu) with an electrospray ionization source with the following parameters: nebulizing gas flow: 3 L/min, heating gas flow: 10 L/min, drying gas flow: 10 L/min, interface temperature: 300 °C, DL temperature: 250 °C, heat block temperature: 400 °C, CID gas flow: 270 kPa, interface voltage: 1000 V. The mass spectrometer operated in multiple reaction monitoring (MRM) mode using the following settings: Ch1: 183.09 → 157.00 m/z (CE −20 V), Ch2: 183.09 → 130.10 m/z (CE −31 V) for diquat and Ch1: 186.11 → 158.00 m/z (CE −20 V), Ch2: 186.11 → 131.10 m/z (CE −33 V) for [2H4]-diquat. For this measurement channel, Ch1 was the quantifier and Ch2 the qualifier. To check for potential associations between the uptake of diquat or the diquat resistance and the antioxidant levels, we correlated the diquat tissue concentration after 24 h and the resistance levels with the GSH/GSSG and AsA/DHA levels.
4.7. GWAS
To reduce the false positive signals due to clonality, we selected all sequenced genotypes from our 138 genotype accession and grouped them into 98 genets according to a recently published method [70]. From each genet the genotype with the highest sequencing coverage was selected as representative genotype. All of the analyzed genotypes are listed in the Table S1. We used the normalized IE of FW, frond number and frond area as input parameters for the GWAS. We conducted all GWAS on the 98 representative genotypes using an univariate linear mixed model [71] implemented in the vcf2gwas package [72]. We used structural variants (SVs) (>50 nucleotides) and SNPs as input for our GWAS analyses. All genotypic data for SNPs and SVs, as well as the annotation, were part of a recent publication [37] and can be found under https://github.com/Xu-lab-Evolution/Great_duckweed_popg (accessed on 9 January 2024).
We formatted the genotype SV dataset as the input for vcf2gwas according to the published protocol [73]. Before analysis, we pruned our SNP and SV datasets using the PLINK package, which is integrated in the vcf2gwas platform, applying a window size of 100 markers, a step size of 10 markers, and allowing a phased r2-threshold of 0.33. We removed all SNPs and SVs with a minor allele frequency (MAF) of less than 5%, resulting in 842 SVs and 42,462 SNPs.
To estimate differences in diquat resistance on a population level, we sorted all genotypes into four genetic populations based on previously published information [37].
4.8. RT-PCR Analysis of Splicing Pattern in SpETHE1
To validate the presence of the identified mutations in the most resistant (SP050) and the most susceptible genotype (SP011), we isolated genomic DNA from these S. polyrhiza genotypes using the DNeasy Plant mini kit (Qiagen) and genotyped them using primers 1_ETHE1_fwd and 2_ETHE1_rev (Table A6). The presence of the 94 bp deletion would yield a 705 bp product, whereas a wild-type sample would give a 799 bp product. The PCR program included an initial denaturation step at 95 °C for 3 min followed by 31 cycles of 95 °C—15 s, 60 °C—15 s, 72 °C—70 s with a single final elongation step at 72 °C for 5 min. We visualized the products on a 1% agarose gel.
To check whether SpETHE1 (SpGA2022_053619) shows different splicing patterns between SP050 and SP011, we cultivated 30 fronds of each genotype for 4, 8, and 24 h at a 10 nM diquat concentration. For each genotype, 30 fronds each were cultivated for 24 h in a medium without diquat were used as control. For all RNA sample preparations, we extracted <20 mg of FW aliquots using the InnuPREP RNA mini kit (Analytik Jena, Jena, Germany) and checked RNA integrity on a 1% agarose gel afterwards. We performed all cDNA synthesis reactions following the RevertAid First Strand cDNA synthesis kit (Takara, Shiga, Japan) using random hexameric primers to ensure cDNA synthesis from low-stability RNAs lacking polyA-tails. Next, we amplified fragments from the SpETHE1 cDNA samples with the primers 3_ETHE1_fwd and 2_ETHE1_rev (Table A6), that bind on the fourth and nineth exon. The primers are flanking the intronic sequence carrying the deletion. Correct splicing is indicated by a fragment size of 330 bp. We carried out an amplification from genomic DNA using the same primer pair as the control, expecting a product of 1848 bp. The time program for amplification from cDNA template included an initial denaturation step at 95 °C for 3 min followed by 30 cycles of 95 °C for 15 s, 60 °C for 15 s, 72 °C for 30 s with a single final elongation step at 72 °C for 5 min. For amplification from genomic DNA, the duration of the extension step at 72 °C was increased to 150 s. We separated the products on a 2% agarose gel. For all amplifications, we used the PrimeSTAR HS DNA polymerase (Takara).
4.9. RT- qPCR for Monitoring Gene Expression in Duckweed Tissue
We measured the expression differences in SpETHE1 and genes in close distance to SpETHE1 in SP050 and SP011. To analyze the diquat-induced differences in expression levels of SpETHE1 in root and frond tissue separately, we cultivated 40 fronds from each genotype for 4 and 72 h at 10 nM of diquat. As a control, we cultivate 40 fronds from each genotype at N-medium without diquat for 24 h. We made five biological replicates for each genotype and treatment. Since ETHE1 showed a potential circadian and diurnal regulation pattern [74,75], we always harvested the treated samples and controls at the same time of day. Root and frond tissue were collected from each culture separately. The root and frond tissues of the control cultures were also used to determine the constitutive expression levels of the flanking genes SpDLH (SpGA2022_012161), SpTRB1 (SpGA2022_012163), SpALA2 (SpGA2022_053617), and SpSBE3 (SpGA2022_053621). We conducted all cDNA syntheses as described in the previous section but with oligo-dT primers instead of random hexameric primers. For all qPCR experiments, we quantified SpETHE1 according to a previously published method [76] using the glycerin-aldehyde-3-phosphate dehydrogenase (SpGAPDH, SpGA2022_054082) and alpha elongation factor one (SpaEF, SpGA2022_005771) as reference genes. The primer sequences of the two reference genes were published previously [37].
We calculated the primer efficiencies based on a dilution series of cDNA templates (Table A7) and evaluated their specificity by loading the reaction mixtures on a 2% agarose gel. Before starting the RT-qPCR, we diluted all cDNA samples 1:100 in water. We carried out the RT-qPCR using a RotorGene Q system (Qiagen), using a master mix from the KAPPA SYBR FAST kit (Roche, Basel, Switzerland). For each gene and sample, we made three technical replicates. The time program for qPCR included an initial denaturation at 98 °C for 3 min followed by 40 cycles of 98 °C for 3 s of denaturation and 60 °C for 20 s of annealing/extension.
4.10. Software and Statistics
We performed all statistical analyses using R version 4.2.0. We analyzed all of the pictures used to quantify the frond areas and numbers using ImageJ (version 1.53g) running on the Fiji platform. We accomplished the measurement of chlorophyll fluorescence using ImagingWinGigE version 2.47. For all LCMS measurements, we recorded the signals using LabSolutions version 5.97. We integrated peaks using Lab Solutions Insight version 3.5 SP2. We used the FSA package of R [77] to calculate the standard errors. For the statistical analyses of differences in chlorophyll fluorescence parameters, we applied the lme4 package [78] and the multcomp R packages [79] to implement a linear mixed effect model and a Tukeys post hoc test for multiple comparisons. For all other experiments involving the most resistant and most susceptible genotype, we compared mean values using the Student’s t-test. We used the F-test to examine the significance of our regressions. We used one-way ANOVA followed by a Tukey’s HSD post hoc test for comparisons of multiple mean values. If the criterion of homogeneity of variances was violated, we used the Games Howell test to compare multiple mean values. To conduct our GWAS, we used version 0.8.7. of the vcf2gwas platform. To determine significant genetic markers with a Bonferroni-corrected p < 0.05, we used a Wald test. We converted genotype files into vcf format, which is the only accepted format in vcf2gwas, using the TASSEL platform version 5.0 [80].
5. Conclusions
The findings of this study provide insights into the genetic and physiological principles of non-targeted-site resistance to diquat in S. polyrhiza. Since the analyzed genotypes showed gradual variation in their diquat resistance that could be associated with herbicide uptake kinetics and antioxidant responses, we suggest a polygenic mechanism behind the observed phenotypic variation in resistance levels. The association of gene candidates involved in apoptosis, pathogen response, starch metabolism and xenobiotic degradation points to a pleiotropic origin of diquat resistance from stress response pathways. Since most of the analyzed genotypes have likely never experienced selection through diquat, we suggest that the detected intra-specific variation in diquat resistance might originate from an adaption to environmental stress factors such as drought, UV stress, and herbivory.
Taken together our results contribute to a better understanding of the rapid evolution of novel resistance cases around the world. Association studies on the genetic basis of herbicide resistance are required to identify novel genetic signatures which can be used for the marker-associated breeding of herbicide resistance crop species or for the development of molecular screening methods for resistant weed species.
Supplementary Materials
The following supporting information can be downloaded at: https://doi.org/10.5061/dryad.2fqz612ww. Table S1: List of genotypes screened for their diquat resistance.
Author Contributions
Conceptualization, M.H. and S.X.; methodology, M.H., S.W., and M.S.; software, Y.W. and M.H.; validation, M.H.; formal analysis, M.H.; investigation, M.H. and S.W. and Y.W.; resources, S.X.; data curation, S.X.; writing—original draft preparation, M.H.; writing—review and editing, S.X.; visualization, M.H.; supervision, S.X.; project administration, S.X.; funding acquisition, S.X. All authors have read and agreed to the published version of the manuscript.
Funding
This research was funded by the German Research Foundation (DFG), grant number 427577435 to S.X. The LC-MS instrument was funded by the German Research Foundation (DFG), grant number 435681637 to S.X.
Data Availability Statement
Publicly available datasets including Supplementary Table S1 were analyzed in this study. These data can be found here: https://doi.org/10.5061/dryad.2fqz612ww (accessed on 3 February 2024).
Acknowledgments
We thank Marie Sarazova for providing technical assistance and Alexander Kröger for his support in the toxicity assays.
Conflicts of Interest
The authors declare that the research was conducted in the absence of any commercial or financial relationships that could be construed as potential conflicts of interest.
Appendix A
Figure A1.
Dose–response curve of two S. polyrhiza genotypes (SP077 and SP035) for various diquat concentrations. Mean IE values for FW (A) and RGR of frond number (B) are shown with their respective standard errors. The curves were fitted using the hormetic UCRS4c.
Figure A1.
Dose–response curve of two S. polyrhiza genotypes (SP077 and SP035) for various diquat concentrations. Mean IE values for FW (A) and RGR of frond number (B) are shown with their respective standard errors. The curves were fitted using the hormetic UCRS4c.

Figure A2.
Distribution of IE of RGR of frond number values, here shown as growth inhibition in % from 19 genotypes cultivated at diquat concentrations of 5 nM and 10 nM. We observed hormetic effects for one genotype in the 5 nM treatment.
Figure A2.
Distribution of IE of RGR of frond number values, here shown as growth inhibition in % from 19 genotypes cultivated at diquat concentrations of 5 nM and 10 nM. We observed hormetic effects for one genotype in the 5 nM treatment.

Figure A3.
Density function of all diquat resistance cases shown by their normalized growth inhibition measured for the parameter’s norm. IE of RGR frond number (A), norm. IE of RGR frond area (B), and the norm. IE of FW (C). The growth inhibition was normalized to the internal standard genotype SP028, whose diquat resistance was set at 1.0.
Figure A3.
Density function of all diquat resistance cases shown by their normalized growth inhibition measured for the parameter’s norm. IE of RGR frond number (A), norm. IE of RGR frond area (B), and the norm. IE of FW (C). The growth inhibition was normalized to the internal standard genotype SP028, whose diquat resistance was set at 1.0.

Figure A4.
Correlation of inhibitory effect of diquat on several fitness parameters from the screening experiment with that of the dose–response curve experiment (drc) at a concentration of 10 nM: (A) RGR frond number, (B) RGR frond area, (C) FW.
Figure A4.
Correlation of inhibitory effect of diquat on several fitness parameters from the screening experiment with that of the dose–response curve experiment (drc) at a concentration of 10 nM: (A) RGR frond number, (B) RGR frond area, (C) FW.

Figure A5.
Population-wise distribution of resistance levels shown as normalized IE of RGR frond number for the 98 representative genotypes used in the GWAS.
Figure A5.
Population-wise distribution of resistance levels shown as normalized IE of RGR frond number for the 98 representative genotypes used in the GWAS.

Figure A6.
Ascorbic acid (AsA), dehydroascorbic acid (DHA), reduced (GSH), and oxidized glutathione (GSSG) plant tissue concentrations in response to diquat are shown with their respective standard errors for SP050 and SP011. Whereas the reduction of AsA concentration was compensated by an increase in DHA, both GSH and GSSG decreased after 4 h of diquat exposure. (A) AsA concentration, (B) GSH concentration, (C) DHA concentration, (D) GSSG concentration. Mean values and standard errors were derived from four or five biological replicates.
Figure A6.
Ascorbic acid (AsA), dehydroascorbic acid (DHA), reduced (GSH), and oxidized glutathione (GSSG) plant tissue concentrations in response to diquat are shown with their respective standard errors for SP050 and SP011. Whereas the reduction of AsA concentration was compensated by an increase in DHA, both GSH and GSSG decreased after 4 h of diquat exposure. (A) AsA concentration, (B) GSH concentration, (C) DHA concentration, (D) GSSG concentration. Mean values and standard errors were derived from four or five biological replicates.

Figure A7.
The diquat plant tissue concentration after 24 h of diquat treatment was correlated to the corresponding GSH/GSSG (A) and AsA/DHA (B) molar ratios for the four R and four S genotypes (Table A2). Only the GSH/GSSG molar ratio was significantly associated with the diquat tissue concentration (F-test). In (C,D), the estimates of EC50 were correlated to the GSH/GSSG (C) and ASA/DHA ratios (D).
Figure A7.
The diquat plant tissue concentration after 24 h of diquat treatment was correlated to the corresponding GSH/GSSG (A) and AsA/DHA (B) molar ratios for the four R and four S genotypes (Table A2). Only the GSH/GSSG molar ratio was significantly associated with the diquat tissue concentration (F-test). In (C,D), the estimates of EC50 were correlated to the GSH/GSSG (C) and ASA/DHA ratios (D).

Figure A8.
The resistance levels expressed as estimates of EC50 were correlated with the SOD activity measured under 24 h diquat treatment (A) or constitutive conditions (B). We used the four S and four R genotypes shown in Table A2 for this analysis. Diquat resistance correlated significantly with the SOD activity under diquat treatment (F-test). No such effect was found for the constitutive SOD activity.
Figure A8.
The resistance levels expressed as estimates of EC50 were correlated with the SOD activity measured under 24 h diquat treatment (A) or constitutive conditions (B). We used the four S and four R genotypes shown in Table A2 for this analysis. Diquat resistance correlated significantly with the SOD activity under diquat treatment (F-test). No such effect was found for the constitutive SOD activity.

Figure A9.
Manhattan plots for a GWAS of diquat resistance calculated based on frond number (A) frond area (B) and freshweight (C). A synonymous SNP, causing a C-T transition in the coding sequence of SpGBPL2, is associated with an increased resistance measured by norm. IE of FW (Wald test). The Bonferroni corrected significance threshold (red line) was at p < 0.05 is 1.18 × 10−6. (D) Genotypes that are homozygous for the allele containing thymine instead of cytosine were significantly more resistant to diquat. ***—p-adjust < 0.001 (Games Howell test).
Figure A9.
Manhattan plots for a GWAS of diquat resistance calculated based on frond number (A) frond area (B) and freshweight (C). A synonymous SNP, causing a C-T transition in the coding sequence of SpGBPL2, is associated with an increased resistance measured by norm. IE of FW (Wald test). The Bonferroni corrected significance threshold (red line) was at p < 0.05 is 1.18 × 10−6. (D) Genotypes that are homozygous for the allele containing thymine instead of cytosine were significantly more resistant to diquat. ***—p-adjust < 0.001 (Games Howell test).

Figure A10.
QQ plots for GWAS conducted on SNPs associated with diquat resistance traits. (A) norm. IE of RGR frond number (B) norm. IE of RGR frond area (C) norm. IE of FW.
Figure A10.
QQ plots for GWAS conducted on SNPs associated with diquat resistance traits. (A) norm. IE of RGR frond number (B) norm. IE of RGR frond area (C) norm. IE of FW.

Figure A11.
QQ plots from GWAS conducted for structure variations on traits expressing diquat resistance. (A) norm. IE of RGR frond number (B) norm. IE of RGR frond area (C) norm. IE of FW.
Figure A11.
QQ plots from GWAS conducted for structure variations on traits expressing diquat resistance. (A) norm. IE of RGR frond number (B) norm. IE of RGR frond area (C) norm. IE of FW.

Figure A12.
(A) Exon—intron structure of SpLOX2.1. The 184 bp deletion is at the border between the fourth exon and fourth intron. (B) Genotypes that are heterozygous for the deletion were significantly more resistant than genotypes lacking the deletion. **—0.01 ≥ p-adjust > 0.001 (unpaired two-sided Student’s t-test). Since only one genotype was homozygous for the deletion, we did not include this sample in our statistical analysis.
Figure A12.
(A) Exon—intron structure of SpLOX2.1. The 184 bp deletion is at the border between the fourth exon and fourth intron. (B) Genotypes that are heterozygous for the deletion were significantly more resistant than genotypes lacking the deletion. **—0.01 ≥ p-adjust > 0.001 (unpaired two-sided Student’s t-test). Since only one genotype was homozygous for the deletion, we did not include this sample in our statistical analysis.

Figure A13.
Genotyping of the deletion in SpETHE1 and analysis of the gene splicing pattern in the S. polyrhiza genotypes SP050 and SP011. (A) Genomic DNA extracted from SP050 and SP011 was genotyped for the presence of the deletion in SpETHE1. The absence of the 94-bp deletion (WT/WT) results in a product of 799 bp length. As indicated by the shift of the amplicon band obtained for SP050, this genotype was homozygous for the deletion in SpETHE1. (B) A 330-bp fragment was amplified from cDNA pools with primers binding on exons flanking the intron with the 94 bp deletion for SP050 and SP011. The cDNA was synthesized with random hexameric primers to account for unstable RNA species. No products that deviated from the predicted 330-bp fragment were amplified from both genotypes. This indicates no differences in the splicing pattern of SpETHE1 between the two genotypes.
Figure A13.
Genotyping of the deletion in SpETHE1 and analysis of the gene splicing pattern in the S. polyrhiza genotypes SP050 and SP011. (A) Genomic DNA extracted from SP050 and SP011 was genotyped for the presence of the deletion in SpETHE1. The absence of the 94-bp deletion (WT/WT) results in a product of 799 bp length. As indicated by the shift of the amplicon band obtained for SP050, this genotype was homozygous for the deletion in SpETHE1. (B) A 330-bp fragment was amplified from cDNA pools with primers binding on exons flanking the intron with the 94 bp deletion for SP050 and SP011. The cDNA was synthesized with random hexameric primers to account for unstable RNA species. No products that deviated from the predicted 330-bp fragment were amplified from both genotypes. This indicates no differences in the splicing pattern of SpETHE1 between the two genotypes.

Figure A14.
Relative expression of candidate genes in the roots. (A) SpETHE1 time course expression under control conditions or after 4 and 72 h of diquat exposure. No significant differences in SpETHE1 expression were found between SP011 and SP050. (B) SpETHE1 root–frond expression ratio in SP050 and SP011 under control conditions and after diquat treatment for 4 and 72 h. SpETHE1 expression was stronger in the root than in frond tissue by factors two to four in both genotypes. Expression differences in SpDLH (C), SpTRB1 (D), SpALA2 (E), and SpSBE3 (F) between SP050 and SP011 are shown under control conditions. We detected a significantly reduced expression of SpDLH in SP050 compared to SP011.
Figure A14.
Relative expression of candidate genes in the roots. (A) SpETHE1 time course expression under control conditions or after 4 and 72 h of diquat exposure. No significant differences in SpETHE1 expression were found between SP011 and SP050. (B) SpETHE1 root–frond expression ratio in SP050 and SP011 under control conditions and after diquat treatment for 4 and 72 h. SpETHE1 expression was stronger in the root than in frond tissue by factors two to four in both genotypes. Expression differences in SpDLH (C), SpTRB1 (D), SpALA2 (E), and SpSBE3 (F) between SP050 and SP011 are shown under control conditions. We detected a significantly reduced expression of SpDLH in SP050 compared to SP011.

Appendix B
Table A1.
Estimates of EC10 and EC90 values for the two S. polyrhiza genotypes SP035 and SP077. We derived the EC values for the inhibition of the fitness parameters biomass (FW) and growth rate (RGR of frond number) from a hormetic model (USCR4c).
Table A1.
Estimates of EC10 and EC90 values for the two S. polyrhiza genotypes SP035 and SP077. We derived the EC values for the inhibition of the fitness parameters biomass (FW) and growth rate (RGR of frond number) from a hormetic model (USCR4c).
| Biomass | Growth Rate | |||
|---|---|---|---|---|
| Genotype | Standard Error [nM] | Standard Error [nM] | Standard Error [nM] | Standard Error [nM] |
| SP035 | 11.45 ± 1.65 | 1.76 ± 0.27 | 59.22 ± 31.7 | 2.20 ± 0.17 |
| SP077 | 10.71 ± 8.10 | 1.85 ± 0.82 | 46.80 ± 20.6 | 2.25 ± 0.15 |
Table A2.
The estimated EC50 values with their respective standard error are shown for 16 genotypes. According to this, we identified the four most resistant (R) and four most susceptible genotypes (S) for future experiments. The most resistant and most susceptible genotypes were SP050 and SP011, respectively.
Table A2.
The estimated EC50 values with their respective standard error are shown for 16 genotypes. According to this, we identified the four most resistant (R) and four most susceptible genotypes (S) for future experiments. The most resistant and most susceptible genotypes were SP050 and SP011, respectively.
| Genotype | Four-Digit Code | Origin of Genotype | Standard Error [nM] | Fold Change to the Most Susceptible Genotype | Classification |
|---|---|---|---|---|---|
| SP007 | 7674 | Nepal, Kathmandu | 3.31 ± 0.47 | 1.08 | S |
| SP011 | 9242 | Ecuador, Guayas Yaguachi Nuevo | 3.06 ± 0.52 | 1.00 | S |
| SP031 | 9514 | Austria, Vienna | 4.47 ± 0.53 | 1.46 | - |
| SP050 | 0090 | China, Sichuan | 26.13 ± 2.61 | 8.54 | R |
| SP078 | 9607 | Switzerland, Zurich | 12.93 ± 0.56 | 4.23 | R |
| SP109 | - | Switzerland | 10.24 ± 1.08 | 3.35 | - |
| SP165 | - | China, Dali, Yunan | 13.16 ± 0.64 | 4.30 | R |
| SP171 | - | China, Hunan, Hengyang | 3.11 ± 0.49 | 1.02 | S |
| SP185 | - | China, Jiangsu, Hongze | 4.16 ± 0.41 | 1.36 | - |
| SP196 | - | China, Jiangxi | 10.69 ± 0.17 | 3.49 | - |
| SP199 | - | China, Hainan | 4.61 ± 0.57 | 1.51 | - |
| SP202 | - | China, Shandong, Qingdao | 4.46 ± 0.25 | 1.46 | - |
| SP211 | - | China, Shandong, Jinan | 3.49 ± 0.25 | 1.14 | S |
| SP221 | 5588 | India | 13.03 ± 0.97 | 4.26 | R |
| SP236 | 5610 | India | 7.38 ± 1.13 | 2.41 | - |
| SP239 | 5613 | Israel | 7.87 ± 0.78 | 2.57 | - |
Table A3.
Diquat medium concentration measured daily within one week (d0–d7) in cultures of SP011 and SP050. The starting point of the cultivation is termed as d0.
Table A3.
Diquat medium concentration measured daily within one week (d0–d7) in cultures of SP011 and SP050. The starting point of the cultivation is termed as d0.
| Standard Error [pmol/mL] | |||
|---|---|---|---|
| Timepoint | Ctrl | SP011 | SP050 |
| d0 | 8.11 ± 0.18 | 8.23 ± 0.13 | 8.58 ± 0.02 |
| d1 | 8.47 ± 0.32 | 8.62 ± 0.18 | 8.55 ± 0.08 |
| d2 | 7.86 ± 0.14 | 8.65 ± 0.18 | 8.60 ± 0.10 |
| d3 | 8.04 ± 0.10 | 8.50 ± 0.06 | 9.00 ± 0.13 |
| d4 | 8.67 ± 0.36 | 9.13 ± 0.03 | 8.73 ± 0.34 |
| d5 | 8.73 ± 0.18 | 9.02 ± 0.17 | 9.38 ± 0.12 |
| d6 | 9.00 ± 0.22 | 8.81 ± 0.46 | 9.12 ± 0.40 |
| d7 | 8.84 ± 0.08 | 8.48 ± 0.54 | 9.60 ± 0.41 |
Table A4.
Significant SNPs associated with diquat resistance in S. polyrhiza.
Table A4.
Significant SNPs associated with diquat resistance in S. polyrhiza.
| Marker | Parameter(s) | Chromosome | Location | p-Wald | Comment |
|---|---|---|---|---|---|
| SpGBPL2-MUT | norm. IE of FW | 1 | 10117635 | 2.55 × 10−9 | Location in the coding sequence of Guanylate binding protein-like 2 (SpGBPL2) |
Table A5.
Significant SVs associated with diquat resistance in S. polyrhiza.
Table A5.
Significant SVs associated with diquat resistance in S. polyrhiza.
| Marker | Parameter(s) | Size | Chromosome | Location | p-Wald | Comment |
|---|---|---|---|---|---|---|
| SpETHE1-DEL | norm. IE of RGR frond number, norm. IE of RGR area, norm. IE of FW | 94 bp | 8 | 5199142 | 5.49 × 10−8 (norm. IE of RGR frond number), 1.23 × 10−6 (norm. IE of RGR frond area), 8.89 × 10−6 (norm. IE of FW) | Deletion located in the intronic region of SpETHE1: mitochondrial ETHE1 persulfide dioxygenase |
| Intergenic region | norm. IE of FW | 56 bp | 5 | 5617685 | 1.14 × 10−6 | Insertion intergenic region |
| SpLOX2.1-DEL | norm. IE of RGR area | 184 bp | 5 | 7048033 | 3.45 × 10−5 | Deletion located in SpLOX2.1: chloroplastic lipoxygenase 2.1 |
Table A6.
Primers used for genotyping S. polyrhiza genotypes to check the presence or absence of the intronic deletion in SpETHE1.
Table A6.
Primers used for genotyping S. polyrhiza genotypes to check the presence or absence of the intronic deletion in SpETHE1.
| Name | Sequence Primer 5′-3′ |
|---|---|
| 1_ETHE1_fwd | GGTGGAGGAGGAGAGCAAGTACAAC |
| 2_ETHE1_rev | GCACGGCCACGTCGATCATCTTC |
| 3_ETHE1_fwd | GCTGCGTAACGTATGTCACAGGCG |
Table A7.
Primers used for RT-qPCR studies. The sequences of the primer pairs for SpaEF and SpGAPDH were published previously [37].
Table A7.
Primers used for RT-qPCR studies. The sequences of the primer pairs for SpaEF and SpGAPDH were published previously [37].
| Fwd Primer 5′-3′ | Rev Primer 5′-3′ | Gene | Gene ID | Product Size | Efficiency |
|---|---|---|---|---|---|
| TCGAAGCCGGCATTTCCAAGGACG | TCGCCTTCGAGTACTTGGGTGTCG | SpaEF | SpGA2022_005771 | 129 bp | 99.8% |
| AGCATCCAAGAAGGTGAAGATCGGC | TTGTAGTCGGTCGTGATGAAGGGG | SpGAPDH | SpGA2022_054082 | 132 bp | 104.4% |
| ACCTACACCTACTTGCTTGCCGACG | GCCTGTTCCAGTGACATGGTCAGC | SpETHE1 | SpGA2022_053619 | 171 bp | 99.0% |
| GCTTCAGCCGAGTGGCTCAAGTC | AGCAGCATCCACTTCAGGGACCAG | SpDLH | SpGA2022_012161 | 117 bp | 106.8% |
| CGAAGCAGAAGTGGCGACCTGAAG | CCCGAGATCCCCAACCGTTAGC | SpTRB1 | SpGA2022_012163 | 189 bp | 102.1% |
| GTCAGTGGTTGTCAGAGACTGTCAG | TCACGCCATGCCAAACATAGCGTAC | SpALA2 | SpGA2022_053617 | 171 bp | 83.8% |
| ACCGCCACAGGCAACACAGAGTG | CATCTGCTTCTTGTCCCTCTCTTAGC | SpSBE3 | SpGA2022_053621 | 192 bp | 97.1% |
References
- Heap, I. The International Survey of Herbicide Resistant Weeds. Available online: www.weedscience.org (accessed on 25 February 2024).
- Jugulam, M.; Shyam, C. Non-Target-Site Resistance to Herbicides: Recent Developments. Plants 2019, 8, 417. [Google Scholar] [CrossRef] [PubMed]
- Hawkes, T.R. Mechanisms of resistance to paraquat in plants. Pest Manag. Sci. 2014, 70, 1316–1323. [Google Scholar] [CrossRef] [PubMed]
- Fujii, T.; Yokoyama, E.-I.; Inoue, K.; Sakurai, H. The sites of electron donation of Photosystem I to methyl viologen. Biochim. Biophys. Acta Bioenerg. 1990, 1015, 41–48. [Google Scholar] [CrossRef]
- Chen, S.; Dickman, M.B. Bcl-2 family members localize to tobacco chloroplasts and inhibit programmed cell death induced by chloroplast-targeted herbicides. J. Exp. Bot. 2004, 55, 2617–2623. [Google Scholar] [CrossRef] [PubMed]
- Tyler, J.K.; Haller, W.T.; Les, G. Documentation of Landoltia (Landoltia punctata) Resistance to Diquat. Weed Sci. 2006, 54, 615–619. [Google Scholar]
- Chiconela, T.; Haller, W. Herbicide combinations for the enhancement of diquat phytotoxicity for hydrilla control. ARPN J. Agric. Biol. Sci. 2013, 8, 555–562. [Google Scholar]
- Blackburn, R.D. Evaluating Herbicides Against Aquatic Weeds. Weeds 1963, 11, 21–24. [Google Scholar] [CrossRef]
- Ganascini, D.; Mendes, I.; Caon, I.; Cattani, C.; Mercante, E.; Coelho, S.; Viana, O.; Prudente, V. Evaluation of bean desiccation plants with diquat and glufosinate-ammonium using terrestrial hyperspectral sensor. Aust. J. Crop. Sci. 2022, 16, 216. [Google Scholar] [CrossRef]
- Itoh, K. Paraquat Resistance in Erigeron philadelphicus L. Weed Res. 1984, 29, 301–307. [Google Scholar] [CrossRef]
- Fuerst, E.; Nakatani, H.; Dodge, A.; Penner, D.; Arntzen, C. Paraquat Resistance in Conyza. Plant Physiol. 1985, 77, 984–989. [Google Scholar] [CrossRef]
- Powles, S.B.; Edwin, S.T.; Tom, R.M. A Capeweed (Arctotheca calendula) Biotype in Australia Resistant to Bipyridyl Herbicides. Weed Sci. 1989, 37, 60–62. [Google Scholar] [CrossRef]
- Preston, C.; Holtum, J.A.; Powles, S.B. On the Mechanism of Resistance to Paraquat in Hordeum glaucum and H. leporinum: Delayed Inhibition of Photosynthetic O2 Evolution after Paraquat Application. Plant Physiol. 1992, 100, 630–636. [Google Scholar] [CrossRef] [PubMed]
- Purba, E.; Preston, C.; Powles, S. Paraquat resistance in a biotype of Vulpia bromoides (L.) S. F. Gray. Weed Res. 2006, 33, 409–413. [Google Scholar] [CrossRef]
- Yu, Q.; Huang, S.; Powles, S. Direct measurement of paraquat in leaf protoplasts indicates vacuolar paraquat sequestration as a resistance mechanism in Lolium rigidum. Pestic. Biochem. Physiol. 2010, 98, 104–109. [Google Scholar] [CrossRef]
- Brunharo, C.; Hanson, B.D. Vacuolar Sequestration of Paraquat Is Involved in the Resistance Mechanism in Lolium perenne L. spp. multiflorum. Front. Plant Sci. 2017, 8, 1485. [Google Scholar] [CrossRef] [PubMed]
- Halász, K.; Soós, V.; Jóri, B.; Racz, I.; Lasztity, D.; Szigeti, Z. Effect of transporter inhibitors on paraquat resistance of horseweed (Conyza canadensis/L./Cronq.). Acta Biol. Szeged. 2002, 46, 23–24. [Google Scholar]
- Jóri, B.; Soós, V.; Szegő, D.; Páldi, E.; Szigeti, Z.; Rácz, I.; Lásztity, D. Role of transporters in paraquat resistance of horseweed Conyza canadensis (L.) Cronq. Pestic. Biochem. Physiol. 2007, 88, 57–65. [Google Scholar] [CrossRef]
- Visnovitz, T.; Soós, V.; Jóri, B.; Racz, I.; Szigeti, Z. Staying alive: Insight into the resistance mechanism of Conyza canadensis to xenobiotic paraquat. Acta Herbol. 2008, 17, 173–178. [Google Scholar]
- Shaaltiel, Y.; Gressel, J. Multienzyme oxygen radical detoxifying system correlated with paraquat resistance in Conyza bonariensis. Pestic. Biochem. Physiol. 1986, 26, 22–28. [Google Scholar] [CrossRef]
- Jansen, M.A.; Shaaltiel, Y.; Kazzes, D.; Canaani, O.; Malkin, S.; Gressel, J. Increased Tolerance to Photoinhibitory Light in Paraquat-Resistant Conyza bonariensis Measured by Photoacoustic Spectroscopy and CO2-Fixation. Plant Physiol. 1989, 91, 1174–1178. [Google Scholar] [CrossRef]
- Dong, S.; Hu, H.; Wang, Y.; Xu, Z.; Zha, Y.; Cai, X.; Peng, L.; Feng, S. A pqr2 mutant encodes a defective polyamine transporter and is negatively affected by ABA for paraquat resistance in Arabidopsis thaliana. J. Plant Res. 2016, 129, 899–907. [Google Scholar] [CrossRef] [PubMed]
- Lee, Y.P.; Kim, S.H.; Bang, J.W.; Lee, H.S.; Kwak, S.S.; Kwon, S.Y. Enhanced tolerance to oxidative stress in transgenic tobacco plants expressing three antioxidant enzymes in chloroplasts. Plant Cell Rep. 2007, 26, 591–598. [Google Scholar] [CrossRef] [PubMed]
- Kwon, S.-Y.; Choi, S.-M.; Ahn, Y.-O.; Lee, H.-S.; Lee, H.-B.; Park, Y.-M.; Kwak, S.-S. Enhanced stress-tolerance of transgenic tobacco plants expressing a human dehydroascorbate reductase gene. J. Plant Physiol. 2003, 160, 347–353. [Google Scholar] [CrossRef] [PubMed]
- Xi, J.; Xu, P.; Xiang, C.B. Loss of AtPDR11, a plasma membrane-localized ABC transporter, confers paraquat tolerance in Arabidopsis thaliana. Plant J. 2012, 69, 782–791. [Google Scholar] [CrossRef] [PubMed]
- Kim, D.Y.; Jin, J.Y.; Alejandro, S.; Martinoia, E.; Lee, Y. Overexpression of AtABCG36 improves drought and salt stress resistance in Arabidopsis. Physiol. Plant 2010, 139, 170–180. [Google Scholar] [CrossRef] [PubMed]
- Kim, D.Y.; Bovet, L.; Maeshima, M.; Martinoia, E.; Lee, Y. The ABC transporter AtPDR8 is a cadmium extrusion pump conferring heavy metal resistance. Plant J. 2007, 50, 207–218. [Google Scholar] [CrossRef] [PubMed]
- Khare, D.; Choi, H.; Huh, S.U.; Bassin, B.; Kim, J.; Martinoia, E.; Sohn, K.H.; Paek, K.H.; Lee, Y. Arabidopsis ABCG34 contributes to defense against necrotrophic pathogens by mediating the secretion of camalexin. Proc. Natl. Acad. Sci. USA 2017, 114, E5712–E5720. [Google Scholar] [CrossRef]
- Prosecka, J.; Orlov, A.V.; Fantin, Y.S.; Zinchenko, V.V.; Babykin, M.M.; Tichy, M. A novel ATP-binding cassette transporter is responsible for resistance to viologen herbicides in the cyanobacterium Synechocystis sp. PCC 6803. FEBS J. 2009, 276, 4001–4011. [Google Scholar] [CrossRef]
- Cedergreen, N.; Abbaspoor, M.; Sørensen, H.; Streibig, J.C. Is mixture toxicity measured on a biomarker indicative of what happens on a population level? A study with Lemna minor. Ecotoxicol. Environ. Saf. 2007, 67, 323–332. [Google Scholar] [CrossRef]
- Ziegler, P.; Adelmann, K.; Zimmer, S.; Schmidt, C.; Appenroth, K.J. Relative in vitro growth rates of duckweeds (Lemnaceae)—The most rapidly growing higher plants. Plant Biol. 2015, 17, 33–41. [Google Scholar] [CrossRef]
- Wang, W.; Haberer, G.; Gundlach, H.; Gläßer, C.; Nussbaumer, T.; Luo, M.C.; Lomsadze, A.; Borodovsky, M.; Kerstetter, R.A.; Shanklin, J.; et al. The Spirodela polyrhiza genome reveals insights into its neotenous reduction fast growth and aquatic lifestyle. Nat. Commun. 2014, 5, 3311. [Google Scholar] [CrossRef] [PubMed]
- Xu, S.; Stapley, J.; Gablenz, S.; Boyer, J.; Appenroth, K.J.; Sree, K.S.; Gershenzon, J.; Widmer, A.; Huber, M. Low genetic variation is associated with low mutation rate in the giant duckweed. Nat. Commun. 2019, 10, 1243. [Google Scholar] [CrossRef] [PubMed]
- Katerova, Z.I.; Miteva, L.P.-E. Glutathione and Herbicide Resistance in Plants. In Ascorbate-Glutathione Pathway and Stress Tolerance in Plants; Anjum, N.A., Chan, M.-T., Umar, S., Eds.; Springer: Dordrecht, The Netherlands, 2010; pp. 191–207. [Google Scholar]
- Melicher, P.; Dvořák, P.; Krasylenko, Y.; Shapiguzov, A.; Kangasjärvi, J.; Šamaj, J.; Takáč, T. Arabidopsis Iron Superoxide Dismutase FSD1 Protects Against Methyl Viologen-Induced Oxidative Stress in a Copper-Dependent Manner. Front. Plant Sci. 2022, 13, 823561. [Google Scholar] [CrossRef] [PubMed]
- Noctor, G.; Foyer, C.H. Ascorbate and Glutathione: Keeping Active Oxygen Under Control. Annu. Rev. Plant Physiol. Plant Mol. Biol. 1998, 49, 249–279. [Google Scholar] [CrossRef] [PubMed]
- Wang, Y.; Duchen, P.; Chávez, A.; Sree, S.K.; Appenroth, K.J.; Zhao, H.; Widmer, A.; Huber, M.; Xu, S. Population genomics and epigenomics provide insights into the evolution of facultative asexuality in plants. bioRxiv 2023. [Google Scholar] [CrossRef]
- Liao, Y.; Zhou, X.; Yu, J.; Cao, Y.; Li, X.; Kuai, B. The Key Role of Chlorocatechol 1,2-Dioxygenase in Phytoremoval and Degradation of Catechol by Transgenic Arabidopsis. Plant Physiol. 2006, 142, 620–628. [Google Scholar] [CrossRef] [PubMed]
- Basmaciyan, L.; Jacquet, P.; Azas, N.; Casanova, M. A novel hydrolase with a pro-death activity from the protozoan parasite Leishmania major. Cell Death Discov. 2019, 5, 99. [Google Scholar] [CrossRef]
- Chun, J.C.; Ma, S.Y.; Kim, S.E.; Lee, H.J. Physiological Responses of Rehmannia glutinosa to Paraquat and Its Tolerance Mechanisms. Pestic. Biochem. Physiol. 1997, 59, 51–63. [Google Scholar] [CrossRef]
- Szigeti, Z. Mechanism of paraquat resistance—From the antioxidant enzymes to the transporters. Acta Biol. Szeged. 2005, 49, 177–179. [Google Scholar]
- Liu, L.; Du, Y.; Shen, X.; Li, M.; Sun, W.; Huang, J.; Liu, Z.; Tao, Y.; Zheng, Y.; Yan, J.; et al. KRN4 Controls Quantitative Variation in Maize Kernel Row Number. PLoS Genet. 2015, 11, e1005670. [Google Scholar] [CrossRef]
- Ricci, W.A.; Lu, Z.; Ji, L.; Marand, A.P.; Ethridge, C.L.; Murphy, N.G.; Noshay, J.M.; Galli, M.; Mejía-Guerra, M.K.; Colomé-Tatché, M.; et al. Widespread long-range cis-regulatory elements in the maize genome. Nat. Plants 2019, 5, 1237–1249. [Google Scholar] [CrossRef]
- Ishii, T.; Numaguchi, K.; Miura, K.; Yoshida, K.; Thanh, P.T.; Htun, T.M.; Yamasaki, M.; Komeda, N.; Matsumoto, T.; Terauchi, R.; et al. OsLG1 regulates a closed panicle trait in domesticated rice. Nat. Genet. 2013, 45, 462–465. [Google Scholar] [CrossRef] [PubMed]
- Liu, C.; Wang, C.; Wang, G.; Becker, C.; Zaidem, M.; Weigel, D. Genome-wide analysis of chromatin packing in Arabidopsis thaliana at single-gene resolution. Genome Res. 2016, 26, 1057–1068. [Google Scholar] [CrossRef] [PubMed]
- Marand, A.P.; Eveland, A.L.; Kaufmann, K.; Springer, N.M. cis-Regulatory Elements in Plant Development, Adaptation, and Evolution. Annu. Rev. Plant Biol. 2023, 74, 111–137. [Google Scholar] [CrossRef] [PubMed]
- Moabbi, A.M.; Agarwal, N.; El Kaderi, B.; Ansari, A. Role for gene looping in intron-mediated enhancement of transcription. Proc. Natl. Acad. Sci. USA 2012, 109, 8505–8510. [Google Scholar] [CrossRef] [PubMed]
- Huang, S.; Zhu, S.; Kumar, P.; MacMicking, J.D. A phase-separated nuclear GBPL circuit controls immunity in plants. Nature 2021, 594, 424–429. [Google Scholar] [CrossRef] [PubMed]
- Zabbai, F.; Jarosch, B.; Schaffrath, U. Over-expression of chloroplastic lipoxygenase RCI1 causes PR1 transcript accumulation in transiently transformed rice. Physiol. Mol. Plant Pathol. 2004, 64, 37–43. [Google Scholar] [CrossRef]
- Mochizuki, S.; Sugimoto, K.; Koeduka, T.; Matsui, K. Arabidopsis lipoxygenase 2 is essential for formation of green leaf volatiles and five-carbon volatiles. FEBS Lett. 2016, 590, 1017–1027. [Google Scholar] [CrossRef]
- Shim, K.-C.; Adeva, C.; Kang, J.-W.; Luong, N.H.; Lee, H.-S.; Cho, J.-H.; Kim, H.; Tai, T.H.; Ahn, S.-N. Interaction of starch branching enzyme 3 and granule-bound starch synthase 1 alleles increases amylose content and alters physico-chemical properties in japonica rice (Oryza sativa L.). Front. Plant Sci. 2022, 13, 968795. [Google Scholar] [CrossRef]
- Fukao, Y.; Ferjani, A.; Fujiwara, M.; Nishimori, Y.; Ohtsu, I. Identification of Zinc-Responsive Proteins in the Roots of Arabidopsis thaliana Using a Highly Improved Method of Two-Dimensional Electrophoresis. Plant Cell Physiol. 2009, 50, 2234–2239. [Google Scholar] [CrossRef]
- Shaaltiel, Y.; Chua, N.H.; Gepstein, S.; Gressel, J. Dominant pleiotropy controls enzymes co-segregating with paraquat resistance in Conyza bonariensis. Theor. Appl. Genet. 1988, 75, 850–856. [Google Scholar] [CrossRef]
- Keith, B.K.; Burns, E.E.; Bothner, B.; Carey, C.C.; Mazurie, A.J.; Hilmer, J.K.; Biyiklioglu, S.; Budak, H.; Dyer, W.E. Intensive herbicide use has selected for constitutively elevated levels of stress-responsive mRNAs and proteins in multiple herbicide-resistant Avena fatua L. Pest Manag. Sci. 2017, 73, 2267–2281. [Google Scholar] [CrossRef] [PubMed]
- Dyer, W.E. Stress-induced evolution of herbicide resistance and related pleiotropic effects. Pest Manag. Sci. 2018, 74, 1759–1768. [Google Scholar] [CrossRef] [PubMed]
- Comont, D.; Lowe, C.; Hull, R.; Crook, L.; Hicks, H.L.; Onkokesung, N.; Beffa, R.; Childs, D.Z.; Edwards, R.; Freckleton, R.P.; et al. Evolution of generalist resistance to herbicide mixtures reveals a trade-off in resistance management. Nat. Commun. 2020, 11, 3086. [Google Scholar] [CrossRef] [PubMed]
- Mittler, R.; Zandalinas, S.I.; Fichman, Y.; Van Breusegem, F. Reactive oxygen species signalling in plant stress responses. Nat. Rev. Mol. Cell Biol. 2022, 23, 663–679. [Google Scholar] [CrossRef] [PubMed]
- Appenroth, K.J. Media for in vitro-cultivation of duckweed. Duckweed Forum 2015, 3, 180–186. [Google Scholar]
- Lam, E.; Acosta, K. Useful methods: Cefotaxime: A useful antibiotic for duckweed culture management. Duckweed Forum 2019, 7, 52–54. [Google Scholar]
- Streibig, J.; Ritz, C. Bioassay Analysis Using R. J. Stat. Softw. 2010, 12, 1–22. [Google Scholar] [CrossRef]
- Ritz, C.; Baty, F.; Streibig, J.C.; Gerhard, D. Dose-Response Analysis Using R. PLoS ONE 2016, 10, e0146021. [Google Scholar] [CrossRef]
- Cullis, B.R.; Smith, A.B.; Coombes, N.E. On the Design of Early Generation Variety Trials with Correlated Data. J. Agric. Biol. Environ. Stat. 2006, 11, 381–393. [Google Scholar] [CrossRef]
- Lozano-Isla, F. Inti: Tools and Statistical Procedures in Plant Science, R package version 0.6.3; R Package Vignette: Madison, WI, USA, 2023. [Google Scholar]
- Cedergreen, N.; Ritz, C.; Streibig, J.C. Improved empirical models describing hormesis. Environ. Toxicol. Chem. 2005, 24, 3166–3172. [Google Scholar] [CrossRef] [PubMed]
- Genty, B.; Briantais, J.-M.; Baker, N.R. The relationship between the quantum yield of photosynthetic electron transport and quenching of chlorophyll fluorescence. Biochim. Biophys. Acta Gen. Subj. 1989, 990, 87–92. [Google Scholar] [CrossRef]
- Baker, N.R. Chlorophyll Fluorescence: A Probe of Photosynthesis In Vivo. Annu. Rev. Plant Biol. 2008, 59, 89–113. [Google Scholar] [CrossRef]
- Küster, A.; Pohl, K.; Altenburger, R. A fluorescence-based bioassay for aquatic macrophytes and its suitability for effect analysis of non-photosystem II inhibitors. Environ. Sci. Pollut. Res. Int. 2007, 14, 377–383. [Google Scholar] [CrossRef]
- Asudi, G.O.; Omenge, K.M.; Paulmann, M.K.; Reichelt, M.; Grabe, V.; Mithöfer, A.; Oelmüller, R.; Furch, A.C.U. The Physiological and Biochemical Effects on Napier Grass Plants Following Napier Grass Stunt Phytoplasma Infection. Phytopathology 2021, 111, 703–712. [Google Scholar] [CrossRef] [PubMed]
- Chamkasem, N.; Harmon, T. Determination of Paraquat and Diquat in Potato by Liquid Chromatography/Tandem Mass Spectrometer. J. Regul. Sci. 2017, 5, 1–8. [Google Scholar] [CrossRef]
- Ho, E.K.H.; Bartkowska, M.; Wright, S.I.; Agrawal, A.F. Population genomics of the facultatively asexual duckweed Spirodela polyrhiza. New Phytol. 2019, 224, 1361–1371. [Google Scholar] [CrossRef]
- Zhou, X.; Stephens, M. Genome-wide efficient mixed-model analysis for association studies. Nat. Genet. 2012, 44, 821–824. [Google Scholar] [CrossRef]
- Vogt, F.; Shirsekar, G.; Weigel, D. Vcf2gwas-python API for comprehensive GWAS analysis using GEMMA. Bioinformatics 2021, 38, 839–840. [Google Scholar] [CrossRef]
- Lemay, M.-A.; Malle, S. A Practical Guide to Using Structural Variants for Genome-Wide Association Studies. In Genome-Wide Association Studies; Torkamaneh, D., Belzile, F., Eds.; Springer: New York, NY, USA, 2022; pp. 161–172. [Google Scholar]
- Kaur, C.; Singla-Pareek, S.L.; Sopory, S.K. Stress response of OsETHE1 is altered in response to light and dark conditions. Plant Signal. Behav. 2014, 9, e973820. [Google Scholar] [CrossRef]
- Krüßel, L.; Junemann, J.; Wirtz, M.; Birke, H.; Thornton, J.D.; Browning, L.W.; Poschet, G.; Hell, R.; Balk, J.; Braun, H.P.; et al. The mitochondrial sulfur dioxygenase ETHYLMALONIC ENCEPHALOPATHY PROTEIN1 is required for amino acid catabolism during carbohydrate starvation and embryo development in Arabidopsis. Plant Physiol. 2014, 165, 92–104. [Google Scholar] [CrossRef]
- Hellemans, J.; Mortier, G.; De Paepe, A.; Speleman, F.; Vandesompele, J. qBase relative quantification framework and software for management and automated analysis of real-time quantitative PCR data. Genome Biol. 2007, 8, R19. [Google Scholar] [CrossRef]
- Ogle, D.H.; Doll, J.C.; Wheeler, P.; Dinno, A. FSA: Fisheries Stock Analysis, R package version 0.9.5; R Package Vignette: Madison, WI, USA, 2023. [Google Scholar]
- Bates, D.; Mächler, M.; Bolker, B.; Walker, S. Fitting Linear Mixed-Effects Models Using lme4. J. Stat. Softw. 2015, 67, 1–48. [Google Scholar] [CrossRef]
- Hothorn, T.; Bretz, F.; Westfall, P. Simultaneous inference in general parametric models. Biom. J. 2008, 50, 346–363. [Google Scholar] [CrossRef]
- Bradbury, P.J.; Zhang, Z.; Kroon, D.E.; Casstevens, T.M.; Ramdoss, Y.; Buckler, E.S. TASSEL: Software for association mapping of complex traits in diverse samples. Bioinformatics 2007, 23, 2633–2635. [Google Scholar] [CrossRef]
Disclaimer/Publisher’s Note: The statements, opinions and data contained in all publications are solely those of the individual author(s) and contributor(s) and not of MDPI and/or the editor(s). MDPI and/or the editor(s) disclaim responsibility for any injury to people or property resulting from any ideas, methods, instructions or products referred to in the content. |
© 2024 by the authors. Licensee MDPI, Basel, Switzerland. This article is an open access article distributed under the terms and conditions of the Creative Commons Attribution (CC BY) license (https://creativecommons.org/licenses/by/4.0/).




