The Synergistic Impact of Arbuscular Mycorrhizal Fungi and Compost Tea to Enhance Bacterial Community and Improve Crop Productivity under Saline–Sodic Condition
Abstract
1. Introduction
2. Results
2.1. Biological Activities
2.1.1. Mycorrhizal Colonization, Bacterial Community and Soil Respiration Rate (SRR)
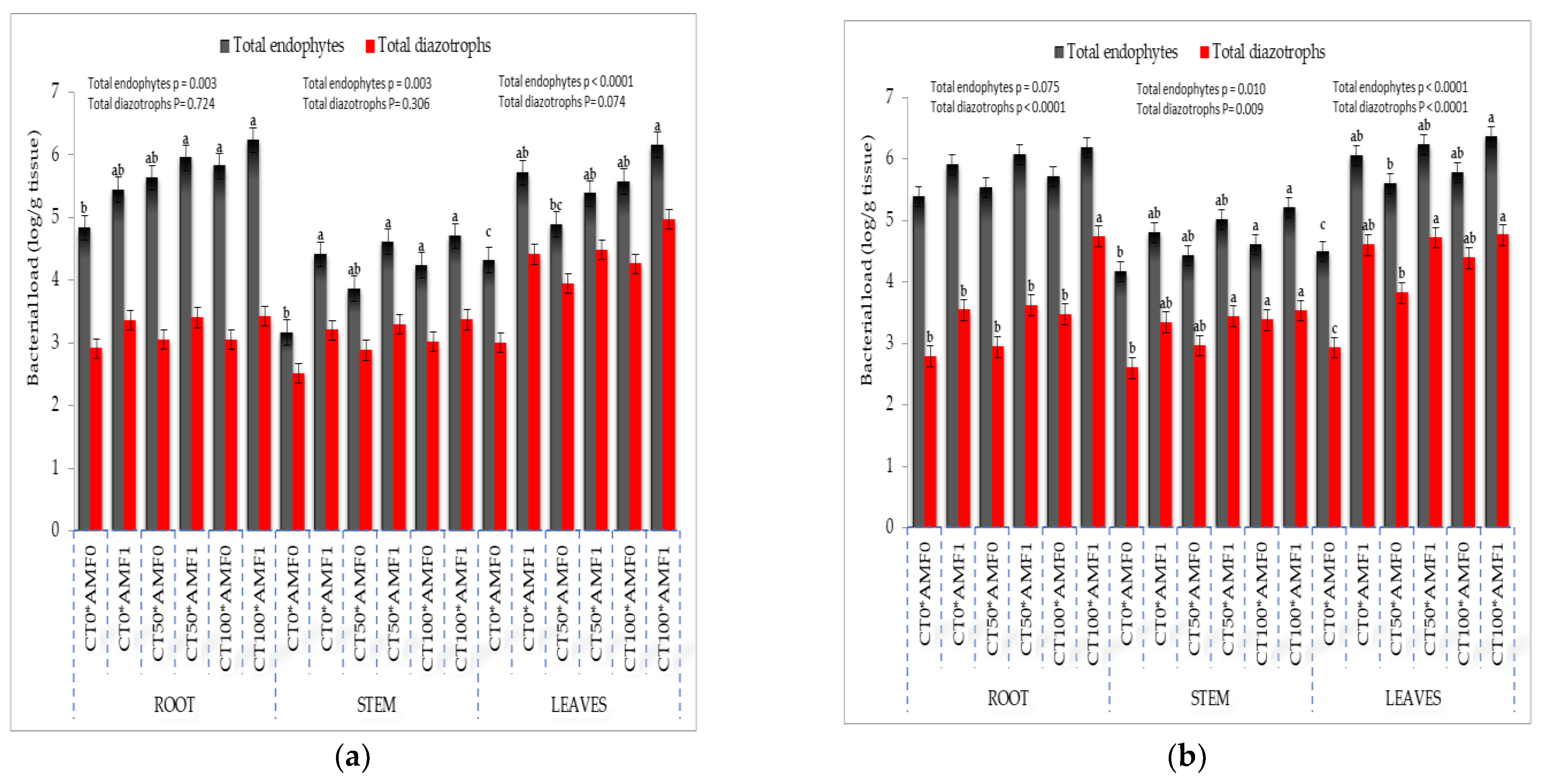
2.1.2. Endospheric Bacterial Community
2.2. Multivariable Analysis
2.2.1. Principal Component Analysis (PCA) Analysis
2.2.2. Heatmaps Cluster Analysis
2.3. Maize and Wheat Yield and Traits
2.4. Nutrient Content in Maize and Wheat Plants
2.5. Soil Characteristics
2.5.1. Chemical Characteristics
2.5.2. Biological Characteristics
3. Discussion
4. Materials and Methods
4.1. Materials
4.1.1. Soil
4.1.2. Arbuscular Mycorrhizal Fungi Inoculum
4.1.3. Compost Tea
4.2. Experimental Setup
4.3. Measurements and Analyses
4.3.1. Biological Activities
Assessment of Arbuscular Mycorrhizae Fungi Infection
Bacterial Community in Rhizosphere Soil and Soil Respiration Rate (SRR)
Counts and Isolation of Endophytic Bacteria
Phenotypic Characterization of Isolates
Evaluation of Plant Growth-Promoting (PGP) Traits
Biocontrol Activities against Potential Plant Pathogens
4.3.2. Plant Analysis
4.3.3. Soil Analysis
4.4. Statistical Analysis
5. Conclusions
Author Contributions
Funding
Data Availability Statement
Acknowledgments
Conflicts of Interest
References
- Singh, Y.P. Sustainable Reclamation and Management of Sodic Soils: Farmers’ Participatory Approaches. In Soil Salinity Management in Agriculture: Technological Advances and Applications; CRC Press: Boca Raton, FL, USA, 2017; pp. 289–315. [Google Scholar]
- Aboelsoud, H.M.; AbdelRahman, M.A.; Kheir, A.M.; Eid, M.S.; Ammar, K.A.; Khalifa, T.H.; Scopa, A. Quantitative estimation of saline-soil amelioration using remote-sensing indices in arid land for better management. Land 2022, 11, 1041. [Google Scholar] [CrossRef]
- Gupta, S.K. Living with Salts in Irrigation Water. In Soil Salinity Management in Agriculture: Technological Advances and Applications; CRC Press: Boca Raton, FL, USA, 2017; pp. 25–61. [Google Scholar]
- Berendsen, R.L.; Pieterse, C.M.; Bakker, P.A. The rhizosphere microbiome and plant health. Trends Plant Sci. 2012, 17, 478–486. [Google Scholar] [CrossRef]
- Compant, S.; Samad, A.; Faist, H.; Sessitsch, A. A review on the plant microbiome: Ecology, functions, and emerging trends in microbial application. J. Adv. Res. 2019, 19, 29–37. [Google Scholar] [CrossRef]
- Aeron, A.; Dubey, R.C.; Maheshwari, D.K.; Pandey, P.; Bajpai, V.K.; Kang, S.C. Multifarious activity of bioformulated Pseudomonas fluorescens PS1 and biocontrol of Sclerotinia sclerotiorum in Indian rapeseed (Brassica campestris L.). Eur. J. Plant Pathol. 2011, 131, 81–93. [Google Scholar] [CrossRef]
- Raklami, A.; Bechtaoui, N.; Tahiri, A.I.; Anli, M.; Meddich, A.; Oufdou, K. Use of rhizobacteria and mycorrhizae consortium in the open field as a strategy for improving crop nutrition, productivity and soil fertility. Front. Microbiol. 2019, 10, 1106. [Google Scholar] [CrossRef] [PubMed]
- Phour, M.; Sehrawat, A.; Sindhu, S.S.; Glick, B.R. Interkingdom signaling in plant-rhizomicrobiome interactions for sustainable agriculture. Microbiol. Res. 2020, 241, 126589. [Google Scholar] [CrossRef] [PubMed]
- Bingham, C.B.; Davis, J.P. Learning sequences: Their existence, effect, and evolution. Acad. Manag. J. 2012, 55, 611–641. [Google Scholar] [CrossRef]
- Heinonsalo, J.; Sun, H.; Santalahti, M.; Bäcklund, K.; Hari, P.; Pumpanen, J. Evidences on the ability of mycorrhizal genus Piloderma to use organic nitrogen and deliver it to Scots pine. PLoS ONE 2015, 10, e0131561. [Google Scholar] [CrossRef] [PubMed]
- Talanca, H. Status Cendawan Mikoriza Vesikular Arbuskular (MVA) Pada Tanaman. Pros. Pekan Serealia Nas. 2010, 1, 353–357. [Google Scholar]
- Buechel, T.; Bloodnick, E. Mycorrhizae: Description of Types, Benefits and Uses. Plant Health. 2016. Available online: https://gpnmag.com/article/mycorrhizae-description-of-types-benefits-and-uses (accessed on 15 August 2023).
- Damaiyanti, D.R.; Aini, N.; Soelistyono, R. Effects of arbuscular mycorrhiza inoculation on growth and yield of tomato (Lycopersicum esculentum Mill.) under salinity stress. J. Degrad. Min. Lands Manag. 2015, 3, 447–452. [Google Scholar]
- Tsiknia, M.; Skiada, V.; Ipsilantis, I.; Vasileiadis, S.; Kavroulakis, N.; Genitsaris, S.; Papadopoulou, K.K.; Hart, M.; Klironomos, J.; Karpouzas, D.G.; et al. Strong host-specific selection and over-dominance characterize arbuscular mycorrhizal fungal root colonizers of coastal sand dune plants of the Mediterranean region. FEMS Microbiol. Ecol. 2021, 97, fiab109. [Google Scholar] [CrossRef]
- Pan, J.; Huang, C.; Peng, F.; Zhang, W.; Luo, J.; Ma, S.; Xue, X. Effect of arbuscular mycorrhizal fungi (AMF) and plant growth-promoting bacteria (PGPR) inoculations on Elaeagnus angustifolia L. in saline soil. Appl. Sci. 2020, 10, 945. [Google Scholar] [CrossRef]
- Sagar, A.; Rai, S.; Ilyas, N.; Sayyed, R.Z.; Al-Turki, A.I.; El Enshasy, H.A.; Simarmata, T. Halotolerant rhizobacteria for salinity-stress mitigation: Diversity, mechanisms and molecular approaches. Sustainability 2022, 14, 490. [Google Scholar] [CrossRef]
- Kuepper, G. Foliar Fertilization Current Topic, ATTRA–National Sustainable Agriculture Information Service, NCAT Agriculture Specialist. March Issue. 2003.
- Aghamohammadi, Z.; Etesami, H.; Alikhani, H.A. Vermiwash allows reduced application rates of acaricide azocyclotin for the control of two spotted spider mite, Tetranychus urticae Koch, on bean plant (Phaseolus vulgaris L.). Ecol. Eng. 2016, 93, 234–241. [Google Scholar] [CrossRef]
- Osman, H.S.; Rady, A.M.; Awadalla, A.; Omara, A.E.; Hafez, E.M. Improving the antioxidants system, growth, and sugar beet quality subjected to long-term osmotic stress by phosphate solubilizing bacteria and compost tea. Int. J. Plant Prod. 2022, 16, 119–135. [Google Scholar] [CrossRef]
- Steinberg, P.D.; Rillig, M.C. Differential decomposition of arbuscular mycorrhizal fungal hyphae and glomalin. Soil Biol. Biochem. 2003, 35, 191–194. [Google Scholar] [CrossRef]
- Saxena, B.; Shukla, K.; Giri, B. Arbuscular mycorrhizal fungi and tolerance of salt stress in plants. Arbuscular Mycorrhizas Stress Toler. Plants 2017, 67–97. [Google Scholar]
- Miransari, M.; Bahrami, H.A.; Rejali, F.; Malakouti, M.J. Using arbuscular mycorrhiza to alleviate the stress of soil compaction on wheat (Triticum aestivum L.) growth. Soil Biol. Biochem. 2008, 40, 1197–1206. [Google Scholar] [CrossRef]
- Giri, B.; Mukerji, K.G. Mycorrhizal inoculant alleviates salt stress in Sesbania aegyptiaca and Sesbania grandiflora under field conditions: Evidence for reduced sodium and improved magnesium uptake. Mycorrhiza 2004, 14, 307–312. [Google Scholar] [CrossRef]
- Qian, K.; Wang, L.; Yin, N. Effects of AMF on soil enzyme activity and carbon sequestration capacity in reclaimed mine soil. Int. J. Min. Sci. Technol. 2012, 22, 553–557. [Google Scholar] [CrossRef]
- Thomson, B.D.; Robson, A.D.; Abbott, L.K. Mycorrhizas formed by Gigaspora calospora and Glomus fasciculatum on subterranean clover in relation to soluble carbohydrate concentrations in roots. New Phytol. 1990, 114, 217–225. [Google Scholar] [CrossRef]
- Greenway, H.; Munns, R. Mechanisms of salt tolerance in nonhalophytes. Annu. Rev. Plant Physiol. 1980, 31, 149–190. [Google Scholar] [CrossRef]
- Wright, S.F.; Upadhyaya, A. Extraction of an abundant and unusual protein from soil and comparison with hyphal protein of arbuscular mycorrhizal fungi. Soil Sci. 1996, 161, 575–586. [Google Scholar] [CrossRef]
- Coba de la Pena, T.; Fedorova, E.; Pueyo, J.J.; Lucas, M.M. The symbiosome: Legume and rhizobia co-evolution toward a nitrogen-fixing organelle? Front. Plant Sci. 2018, 8, 2229. [Google Scholar] [CrossRef] [PubMed]
- Achatz, M.; Rillig, M.C. Arbuscular mycorrhizal fungal hyphae enhance transport of the allelochemical juglone in the field. Soil Biol. Biochem. 2014, 78, 76–82. [Google Scholar] [CrossRef]
- Oliveira, R.S.; Castro, P.M.; Dodd, J.C.; Vosátka, M. Synergistic effect of Glomus intraradices and Frankia spp. on the growth and stress recovery of Alnus glutinosa in an alkaline anthropogenic sediment. Chemosphere 2005, 60, 1462–1470. [Google Scholar] [CrossRef] [PubMed]
- Coskun, D.; Britto, D.T.; Shi, W.; Kronzucker, H.J. How plant root exudates shape the nitrogen cycle. Trends Plant Sci. 2017, 22, 661–673. [Google Scholar] [CrossRef] [PubMed]
- Al-Maliki, S.; AL-Mammory, H.; Scullion, J. Interactions between humic substances and organic amendments affecting soil biological properties and growth of Zea mays L. in the arid land region. Arid. Land Res. Manag. 2018, 32, 455–470. [Google Scholar] [CrossRef]
- Rodríguez-Caballero, G.; Caravaca, F.; Fernández-González, A.J.; Alguacil, M.M.; Fernández-López, M.; Roldán, A. Arbuscular mycorrhizal fungi inoculation mediated changes in rhizosphere bacterial community structure while promoting revegetation in a semiarid ecosystem. Sci. Total Environ. 2017, 584, 838–848. [Google Scholar] [CrossRef]
- Marschner, P.; Timonen, S. Bacterial community composition and activity in rhizosphere of roots colonized by arbuscular mycorrhizal fungi. In Microbial Activity in the Rhizoshere; Springer: Berlin/Heidelberg, Germany, 2006; pp. 139–154. [Google Scholar]
- Johansson, J.F.; Paul, L.R.; Finlay, R.D. Microbial interactions in the mycorrhizosphere and their significance for sustainable agriculture. FEMS Microbiol. Ecol. 2004, 48, 1–13. [Google Scholar] [CrossRef] [PubMed]
- Wamberg, C.; Christensen, S.; Jakobsen, I.; Müller, A.K.; Sørensen, S.J. The mycorrhizal fungus (Glomus intraradices) affects microbial activity in the rhizosphere of pea plants (Pisum sativum). Soil Biol. Biochem. 2003, 35, 1349–1357. [Google Scholar] [CrossRef]
- Solís-Domínguez, F.A.; Valentín-Vargas, A.; Chorover, J.; Maier, R.M. Effect of arbuscular mycorrhizal fungi on plant biomass and the rhizosphere microbial community structure of mesquite grown in acidic lead/zinc mine tailings. Sci. Total Environ. 2011, 409, 1009–1016. [Google Scholar] [CrossRef] [PubMed]
- Pariona-Llanos, R.; de Santi Ferrara, F.I.; Gonzales, H.H.; Barbosa, H.R. Influence of organic fertilization on the number of culturable diazotrophic endophytic bacteria isolated from sugarcane. Eur. J. Soil Biol. 2010, 46, 387–393. [Google Scholar] [CrossRef]
- Rambelli, A.N. The rhizosphere of mycorrhizae. In Ectomycorrhizae: Their Ecology and Physiology; Academic Press: Cambridge, MA, USA, 1973; pp. 299–343. [Google Scholar]
- Liu, J.; Maldonado-Mendoza, I.; Lopez-Meyer, M.; Cheung, F.; Town, C.D.; Harrison, M.J. Arbuscular mycorrhizal symbiosis is accompanied by local and systemic alterations in gene expression and an increase in disease resistance in the shoots. Plant J. 2007, 50, 529–544. [Google Scholar] [CrossRef]
- Söderberg, K.H.; Olsson, P.A.; Bååth, E. Structure and activity of the bacterial community in the rhizosphere of different plant species and the effect of arbuscular mycorrhizal colonisation. FEMS Microbiol. Ecol. 2002, 40, 223–231. [Google Scholar] [CrossRef]
- Porcel, R.; Aroca, R.; Ruiz-Lozano, J.M. Salinity stress alleviation using arbuscular mycorrhizal fungi. A review. Agron. Sustain. Dev. 2012, 32, 181–200. [Google Scholar] [CrossRef]
- Hu, J.; Lin, X.; Wang, J.; Cui, X.; Dai, J.; Chu, H.; Zhang, J. Arbuscular mycorrhizal fungus enhances P acquisition of wheat (Triticum aestivum L.) in a sandy loam soil with long-term inorganic fertilization regime. Appl. Microbiol. Bio-Technol. 2010, 88, 781–787. [Google Scholar] [CrossRef]
- Hu, J.; Cui, X.; Dai, J.; Wang, J.; Chen, R.; Yin, R.; Lin, X. Interactive effects of arbuscular mycorrhizae and maize (Zea mays L.) straws on wheat (Triticum aestivum L.) growth and organic carbon storage in a sandy loam soil. Soil Water Res. 2014, 9, 119–126. [Google Scholar] [CrossRef]
- Khalifa, T.H.; Shaker, E.M.; ELmaghraby, F.M. Effectiveness of gypsum application and arbuscular mycorrhizal fungi inoculation on ameliorating saline-sodic soil characteristics and their productivity. Environ. Biodivers. Soil Secur. 2022, 6, 165–180. [Google Scholar] [CrossRef]
- Elbagory, M. Reducing the Adverse Effects of Salt Stress by Utilizing Compost Tea and Effective Microorganisms to En-hance the Growth and Yield of Wheat (Triticum aestivum L.) Plants. Agronomy 2023, 13, 823. [Google Scholar] [CrossRef]
- Nadeem, S.M.; Ahmad, M.; Zahir, Z.A.; Javaid, A.; Ashraf, M. The role of mycorrhizae and plant growth promoting rhizobacteria (PGPR) in improving crop productivity under stressful environments. Biotechnol. Adv. 2014, 32, 429–448. [Google Scholar] [CrossRef]
- Yang, W.; Gu, S.; Xin, Y.; Bello, A.; Sun, W.; Xu, X. Compost addition enhanced hyphal growth and sporulation of arbuscular mycorrhizal fungi without affecting their community composition in the soil. Front. Microbiol. 2018, 9, 169. [Google Scholar] [CrossRef]
- Yu, Y.Y.; Li, S.M.; Qiu, J.P.; Li, J.G.; Luo, Y.M.; Guo, J.H. Combination of agricultural waste compost and biofertilizer improves yield and enhances the sustainability of a pepper field. J. Plant Nutr. Soil Sci. 2019, 182, 560–569. [Google Scholar] [CrossRef]
- Etesami, H.; Jeong, B.R.; Glick, B.R. Contribution of arbuscular mycorrhizal fungi, phosphate–solubilizing bacteria, and silicon to P uptake by plant. Front. Plant Sci. 2021, 12, 699618. [Google Scholar] [CrossRef]
- Liu, Y.; Zhang, G.; Luo, X.; Hou, E.; Zheng, M.; Zhang, L.; He, X.; Shen, W.; Wen, D. Mycorrhizal fungi and phosphatase involvement in rhizosphere phosphorus transformations improves plant nutrition during subtropical forest succession. Soil Biol. Biochem. 2021, 153, 108099. [Google Scholar] [CrossRef]
- Sun, J.; Jia, Q.; Li, Y.; Zhang, T.; Chen, J.; Ren, Y.; Dong, K.; Xu, S.; Shi, N.N.; Fu, S. Effects of arbuscular mycorrhizal fungi and biochar on growth, nutrient absorption, and physiological properties of maize (Zea mays L.). J. Fungi 2022, 8, 1275. [Google Scholar] [CrossRef] [PubMed]
- Rillig, M.C.; Steinberg, P.D. Glomalin production by an arbuscular mycorrhizal fungus: A mechanism of habitat modification? Soil Biol. Biochem. 2002, 34, 1371–1374. [Google Scholar] [CrossRef]
- Gerdemann, J.W.; Nicolson, T.H. Spores of mycorrhizal endogone species extracted from soil by wet sieving and decanting. Trans. Br. Mycol. Soc. 1963, 46, 235–244. [Google Scholar] [CrossRef]
- Naidu, Y.; Meon, S.; Kadir, J.; Siddiqui, Y. Microbial starter for the enhancement of biological activity of compost tea. Int. J. Agric. Biol. 2010, 12, 51–56. [Google Scholar]
- Omara, A.E.; Hadifa, A.; Ali, D.F. The Integration Efficacy between Beneficial Bacteria and Compost Tea on Soil Biological Activities, Growth and Yield of Rice Under Drought Stress Conditions. J. Agric. Chem. Biotechnol. 2022, 13, 39–49. [Google Scholar] [CrossRef]
- Phillips, J.M.; Hayman, D.S. Improved procedures for clearing roots and staining parasitic and vesicular-arbuscular mycorrhizal fungi for rapid assessment of infection. Trans. Br. Mycol. Soc. 1970, 55, 158-IN18. [Google Scholar] [CrossRef]
- Giovannetti, M.; Mosse, B. An evaluation of techniques for measuring vesicular arbuscular mycorrhizal infection in roots. New Phytol. 1980, 84, 489–500. [Google Scholar] [CrossRef]
- Olsen, R.A.; Bakken, L.R. Viability of soil bacteria: Optimization of plate-counting technique and comparison between total counts and plate counts within different size groups. Microb. Ecol. 1987, 13, 59–74. [Google Scholar] [CrossRef] [PubMed]
- Allen, O.M. Experiments in Soil Bacteriology; Burgss Publishing Co.: Minneapolis, MN, USA, 1959. [Google Scholar]
- Cavalcante, V.A.; Dobereiner, J. A new acid-tolerant nitrogen-fixing bacterium associated with sugarcane. Plant Soil 1988, 108, 23–31. [Google Scholar] [CrossRef]
- Jaggi, W. Die Bestimmung der CO_2-Bildung als Maβ der bodenbiologischen Aktivitat. Schweiz Landwietschaft Forsch. Band 1976, 15, 317–380. [Google Scholar]
- Bergey, D.H. Bergey’s Manual of Determinative Bacteriology; Lippincott Williams & Wilkins: Philadelphia, PA, USA, 1994. [Google Scholar]
- Claus, G.W. Understanding Microbes: A Laboratory Textbook for Microbiology; Macmillan: New York, NY, USA, 1989. [Google Scholar]
- Lusty, C.J.; Doudoroff, M. Poly-beta-hydroxybutyrate depolymerases of Pseudomonas lemoignei. Proc. Natl. Acad. Sci. USA 1966, 56, 960–965. [Google Scholar] [CrossRef]
- Farkaš, V.; Lišková, M.; Biely, P. Novel media for detection of microbial producers of cellulase and xylanase. FEMS Microbiol. Lett. 1985, 28, 137–140. [Google Scholar] [CrossRef]
- Collmer, A.; Ried, J.L.; Mount, M.S. Assay methods for pectic enzymes. In Methods in Enzymology; Academic Press: Cambridge, MA, USA, 1988; Volume 161, pp. 329–335. [Google Scholar]
- Zhou, S.N.; Yang, C.Y.; Lu, Y.J.; Huang, L.; Cai, C.H.; Lin, Y.C. Isolation and characterization of chitinase from a marine bacterium Vibrio sp. World J. Microbiol. Biotechnol. 1999, 15, 745–746. [Google Scholar] [CrossRef]
- Ortiz, J.; Soto, J.; Almonacid, L.; Fuentes, A.; Campos-Vargas, R.; Arriagada, C. Alleviation of metal stress by Pseudomonas orientalis and Chaetomium cupreum strains and their effects on Eucalyptus globulus growth promotion. Plant Soil 2019, 436, 449–461. [Google Scholar] [CrossRef]
- Bakker, A.W.; Schippers, B.O. Microbial cyanide production in the rhizosphere in relation to potato yield reduction and Pseudomonas spp-mediated plant growth-stimulation. Soil Biol. Biochem. 1987, 19, 451–457. [Google Scholar] [CrossRef]
- Milagres, A.M.; Machuca, A.; Napoleao, D. Detection of siderophore production from several fungi and bacteria by a modification of chrome azurol S (CAS) agar plate assay. J. Microbiol. Methods 1999, 37, 1–6. [Google Scholar] [CrossRef] [PubMed]
- Phetcharat, P.; Duangpaeng, A. Screening of endophytic bacteria from organic rice tissue for indole acetic acid production. Procedia Eng. 2012, 32, 177–183. [Google Scholar] [CrossRef]
- Sijam, K.A.; Dikin, A. Biochemical and physiological characterization of Burkholderia cepacia as biological control agent. Int. J. Agric. Biol. 2005, 7, 385–388. [Google Scholar]
- Page, A.L.; Miller, R.H.; Keeney, D.R. Methods of Soil Analysis, Part 2: Chemical and Microbiological Properties; American Society of Agronomy, Inc., and Soil Science Society of America, Inc. Publisher: Madison, WI, USA, 1982; p. 1159. [Google Scholar]
- Dewis, J.; Freitas, F. Physical and chemical methods of soil and water analysis. FAO Soils Bull. 1970, 10, 275. [Google Scholar]





| Treatments | Maize (Season 2022) | Wheat (Season 2022/2023) | ||||||||||||
|---|---|---|---|---|---|---|---|---|---|---|---|---|---|---|
| G.Y | S.Y | PH | 100 G.W | N% | P% | K% | G.Y | S.Y | PH | 100 G.W | N% | P% | K% | |
| Compost tea foliar spray (A) | ||||||||||||||
| CT0 | 9.23 c | 10.34 b | 255.33 c | 38.36 c | 3.17 c | 0.881 c | 2.55 c | 6.72 b | 8.81 c | 75.17 c | 4.12 c | 2.11 c | 0.583 c | 3.09 c |
| CT50 | 10.50 b | 11.01 ab | 265.17 b | 40.63 b | 3.70 b | 0.927 b | 2.74 b | 7.70 a | 9.51 b | 86.17 b | 4.29 b | 2.21 b | 0.663 b | 3.58 b |
| CT100 | 11.21 a | 11.26 a | 274.83 a | 41.88 c | 3.97 a | 0.955 a | 2.90 a | 7.97 a | 10.28 a | 90.83 a | 4.47 a | 2.44 a | 0.730 a | 3.83 a |
| F-Value | 102.9 | 3.72 | 23.77 | 33.95 | 64.18 | 27.35 | 32.46 | 33.85 | 41.69 | 116.47 | 85.79 | 296.61 | 67.68 | 131.4 |
| p-Value | <0.0001 | 0.055 | <0.0001 | <0.0001 | <0.0001 | <0.0001 | <0.0001 | <0.0001 | <0.0001 | <0.0001 | <0.0001 | <0.0001 | <0.0001 | <0.0001 |
| Arbuscular Mycorrhizal Fungi (B) | ||||||||||||||
| AMF0 | 9.26 b | 10.34 b | 255.78 b | 38.24 b | 3.17 b | 0.872 b | 2.51 b | 6.86 b | 8.59 b | 79.89 b | 4.13 b | 2.08 b | 0.570 b | 3.15 b |
| AMF1 | 11.37 a | 11.40 a | 274.44 a | 42.33 a | 4.05 a | 0.970 a | 2.95 a | 8.07 a | 10.47 a | 88.22 a | 4.46 a | 2.42 a | 0.747 a | 3.86 a |
| F-Value | 342.9 | 9.45 | 65.33 | 133.59 | 225.3 | 143.36 | 164.1 | 85.37 | 201.5 | 93.75 | 218.39 | 887.04 | 290.59 | 347.3 |
| p-Value | <0.0001 | 0.01 | <0.0001 | <0.0001 | <0.0001 | <0.0001 | <0.0001 | <0.0001 | <0.0001 | <0.0001 | <0.0001 | <0.0001 | <0.0001 | <0.0001 |
| Interaction (A × B) | ||||||||||||||
| CT0 *AMF0 | 7.68 d | 9.88 b | 242.67 c | 36.16 d | 3.11 c | 0.839 c | 2.28 e | 6.19 c | 7.59 e | 72.67 e | 4.02 d | 1.88 d | 0.485 e | 2.53 e |
| CT0 *AMF1 | 10.79 b | 10.79 b | 268.00 ab | 40.56 bc | 3.23 c | 0.923 b | 2.83 bc | 7.26 b | 10.02 bc | 77.67 de | 4.22 c | 2.33 b | 0.680 c | 3.65 bc |
| CT50 *AMF0 | 9.46 c | 10.41 b | 256.00 bc | 38.66 c | 3.12 c | 0.876 bc | 2.54 d | 7.02 b | 8.43 d | 81.67 cd | 4.16 c | 2.04 c | 0.580 d | 3.32 d |
| CT50 *AMF1 | 11.54 a | 11.61 ab | 274.33 a | 42.59 ab | 4.29 b | 0.978 a | 2.93 a | 8.37 a | 10.58 ab | 90.67 b | 4.42 b | 2.39 b | 0.745 b | 3.85 b |
| CT100 *AMF0 | 10.64 b | 10.72 b | 268.67 ab | 39.91 c | 3.30 c | 0.900 b | 2.70 cd | 7.38 b | 9.76 c | 85.33 c | 4.22 c | 2.33 b | 0.645 c | 3.59 c |
| CT100 *AMF1 | 11.78 a | 11.79 a | 281.00 a | 43.85 a | 4.64 a | 1.01 a | 3.10 a | 8.57 a | 10.81 a | 96.33 a | 4.72 a | 2.54 a | 0.815 a | 4.08 a |
| F-Value | 119.68 | 4.49 | 23.36 | 40.38 | 42.19 | 39.96 | 46.64 | 30.76 | 61.04 | 67.02 | 85.13 | 311.22 | 85.51 | 133.25 |
| p-Value | <0.0001 | 0.015 | <0.0001 | <0.0001 | <0.0001 | <0.0001 | <0.0001 | <0.0001 | <0.0001 | <0.0001 | <0.0001 | <0.0001 | <0.0001 | <0.0001 |
| Variable Measured | Maize 2022 | Wheat 2022/2023 | ||||||||||||||
|---|---|---|---|---|---|---|---|---|---|---|---|---|---|---|---|---|
| pH | S.O.C | T. N | A-P | A-K | A-Ca | TBC | DZ | pH | S.O.C | T. N | A-P | A-K | A-Ca | TBC | DZ | |
| Compost tea foliar spray (A) | ||||||||||||||||
| CT0 | 8.41 | 4.97 | 0.677 a | 7.48 a | 267.67 a | 15.49 a | 6.64 | 4.06 c | 8.39 | 4.87 a | 0.663 a | 7.51 a | 267.67 | 15.29 a | 6.72 | 4.36 b |
| CT50 | 8.42 | 4.91 | 0.669 a | 7.38 ab | 261.00 ab | 15.34 ab | 6.66 | 4.57 b | 8.4 | 4.85 a | 0.660 a | 7.38 b | 263.83 | 15.05 ab | 6.85 | 4.90 a |
| CT100 | 8.4 | 4.92 | 0.671 a | 7.31 b | 256.83 b | 15.20 b | 6.86 | 4.89 a | 8.36 | 4.84 a | 0.659 a | 7.35 b | 262 | 14.95 b | 7.04 | 4.97 a |
| F-Value | 0.6 | 1.05 | 1.05 | 10.08 | 5.91 | 4.03 | 0.19 | 18.13 | 1.07 | 0.4 | 0.4 | 14.71 | 0.94 | 6.09 | 0.33 | 12.38 |
| p-Value | 0.566 | 0.381 | 0.381 | 0.003 | 0.016 | 0.046 | 0.831 | 0.0002 | 0.372 | 0.679 | 0.679 | 0.001 | 0.417 | 0.015 | 0.726 | 0.0012 |
| Arbuscular Mycorrhizal Fungi (B) | ||||||||||||||||
| F0 | 8.38 b | 4.80 b | 0.653 b | 7.04 b | 256.22 b | 15.51 a | 6.35b | 3.87 a | 8.34 b | 4.76 b | 0.648b | 6.99 b | 250.22 b | 15.25 a | 6.47 b | 4.32 b |
| F1 | 8.44 a | 5.07 a | 0.691 a | 7.75 a | 266.78 a | 15.17b | 7.08 a | 5.14b | 8.42 a | 4.94 a | 0.673 a | 7.84 a | 278.78 a | 14.94 b | 7.27 a | 5.17 a |
| F-Value | 12.76 | 71.84 | 71.84 | 462.81 | 20.28 | 16.92 | 4.99 | 123.35 | 27.13 | 57.68 | 57.68 | 1082.04 | 68.94 | 14.44 | 6.13 | 61.01 |
| p-Value | 0.004 | <0.0001 | <0.0001 | <0.0001 | 0.004 | 0.001 | 0.045 | <0.0001 | <0.0001 | <0.0001 | <0.0001 | <0.0001 | <0.0001 | 0.003 | 0.029 | <0.0001 |
| Interaction (A × B) | ||||||||||||||||
| CT0 *AMF0 | 8.38 | 4.84 b | 0.660 b | 7.11 c | 261.33 abc | 15.70 a | 6.18 | 3.18 d | 8.36 ab | 4.79 b | 0.653 b | 7.05 c | 257.33 b | 15.50 a | 6.25 | 3.68 d |
| CT0 *AMF1 | 8.43 | 5.09 a | 0.693 a | 7.86 a | 272.00 a | 15.27 ab | 7.09 | 4.94 a | 8.42 a | 4.94 a | 0.673 a | 7.97 a | 278.00 a | 15.09 ab | 7.19 | 5.05 ab |
| CT50 *AMF0 | 8.4 | 4.77 b | 0.650 a | 7.05 c | 255.33 bc | 15.46 ab | 6.32 | 3.97 c | 8.35 ab | 4.75 b | 0.647 b | 7.00 c | 248.00 b | 15.20 ab | 6.42 | 4.58 c |
| CT50 *AMF1 | 8.45 | 5.05 a | 0.688 a | 7.72 ab | 266.67 ab | 15.23 ab | 6.99 | 5.16 a | 8.44 a | 4.95 a | 0.674 a | 7.77 b | 279.67 a | 14.90 b | 7.27 | 5.22 a |
| CT100 *AMF0 | 8.37 | 4.78 b | 0.651 b | 6.96 c | 252.00c | 15.38 ab | 6.56 | 4.47 b | 8.31 b | 4.74 b | 0.646 b | 6.93c | 245.33 b | 15.07 ab | 6.73 | 4.70 bc |
| CT100 *AMF1 | 8.43 | 5.08 a | 0.692 a | 7.66 b | 261.67 abc | 15.01 b | 7.15 | 5.31 a | 8.42 a | 4.94 a | 0.673 a | 7.77 b | 278.67 a | 14.83 b | 7.35 | 5.24 a |
| F-Value | 0.07 | 0.25 | 0.25 | 0.59 | 0.04 | 0.46 | 0.09 | 5.52 | 0.66 | 0.58 | 0.58 | 3.26 | 1.34 | 0.35 | 0.09 | 5.75 |
| p-Value | 0.936 | 0.78 | 0.78 | 0.569 | 0.958 | 0.641 | 0.916 | 0.0199 | 0.536 | 0.576 | 0.576 | 0.074 | 0.3 | 0.712 | 0.918 | 0.0178 |
| Soil Properties | Available Macro Nutrients (mg kg−1) | ||||
|---|---|---|---|---|---|
| pH | ECs (ds m−1) | ESP (%) | P | K | Ca |
| 8.37 | 7.94 | 19.44 | 7.12 | 266 | 16.1 |
| Particle Size Distribution (g kg−1) | |||||
| S.O.C (g kg−1) | Total N (g kg−1) | Clay | Silt | Sand | Texture grade |
| 6.85 | 0.59 | 523.9 | 296.8 | 179.30 | Clayey |
| Biological properties (log cfu g−1 dry soil) | |||||
| Total microbial count | Diazotrophic counts | ||||
| Bacteria | Actinomycetes | Fungi | JNfb | LGI | |
| 7.67 | 4.20 | 4.35 | 3.72 | 4.3 | |
Disclaimer/Publisher’s Note: The statements, opinions and data contained in all publications are solely those of the individual author(s) and contributor(s) and not of MDPI and/or the editor(s). MDPI and/or the editor(s) disclaim responsibility for any injury to people or property resulting from any ideas, methods, instructions or products referred to in the content. |
© 2024 by the authors. Licensee MDPI, Basel, Switzerland. This article is an open access article distributed under the terms and conditions of the Creative Commons Attribution (CC BY) license (https://creativecommons.org/licenses/by/4.0/).
Share and Cite
El-maghraby, F.M.; Shaker, E.M.; Elbagory, M.; Omara, A.E.-D.; Khalifa, T.H. The Synergistic Impact of Arbuscular Mycorrhizal Fungi and Compost Tea to Enhance Bacterial Community and Improve Crop Productivity under Saline–Sodic Condition. Plants 2024, 13, 629. https://doi.org/10.3390/plants13050629
El-maghraby FM, Shaker EM, Elbagory M, Omara AE-D, Khalifa TH. The Synergistic Impact of Arbuscular Mycorrhizal Fungi and Compost Tea to Enhance Bacterial Community and Improve Crop Productivity under Saline–Sodic Condition. Plants. 2024; 13(5):629. https://doi.org/10.3390/plants13050629
Chicago/Turabian StyleEl-maghraby, Fatma M., Eman M. Shaker, Mohssen Elbagory, Alaa El-Dein Omara, and Tamer H. Khalifa. 2024. "The Synergistic Impact of Arbuscular Mycorrhizal Fungi and Compost Tea to Enhance Bacterial Community and Improve Crop Productivity under Saline–Sodic Condition" Plants 13, no. 5: 629. https://doi.org/10.3390/plants13050629
APA StyleEl-maghraby, F. M., Shaker, E. M., Elbagory, M., Omara, A. E.-D., & Khalifa, T. H. (2024). The Synergistic Impact of Arbuscular Mycorrhizal Fungi and Compost Tea to Enhance Bacterial Community and Improve Crop Productivity under Saline–Sodic Condition. Plants, 13(5), 629. https://doi.org/10.3390/plants13050629

