Phytotoxic Ozone Dose–Response Relationships for Durum Wheat (Triticum durum, Desf.)
Abstract
1. Introduction
2. Results
2.1. Meteoclimatic Conditions during the Experiments
2.2. The Stomatal Conductance Model of T. durum Based on Local Parameterization
2.3. Phytotoxic Ozone Dose Absorbed by Plants during the Experiments
2.4. Crop Yield
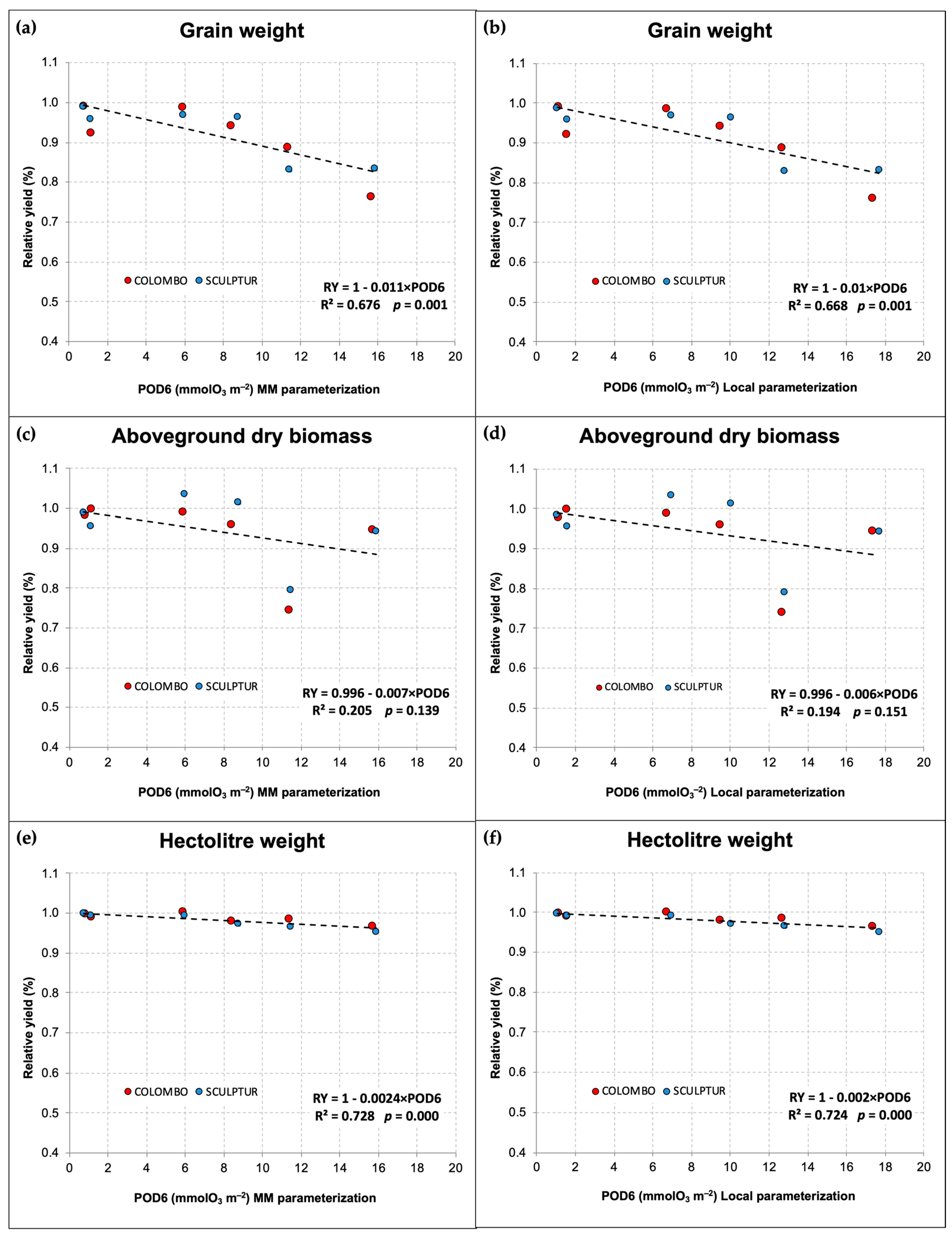
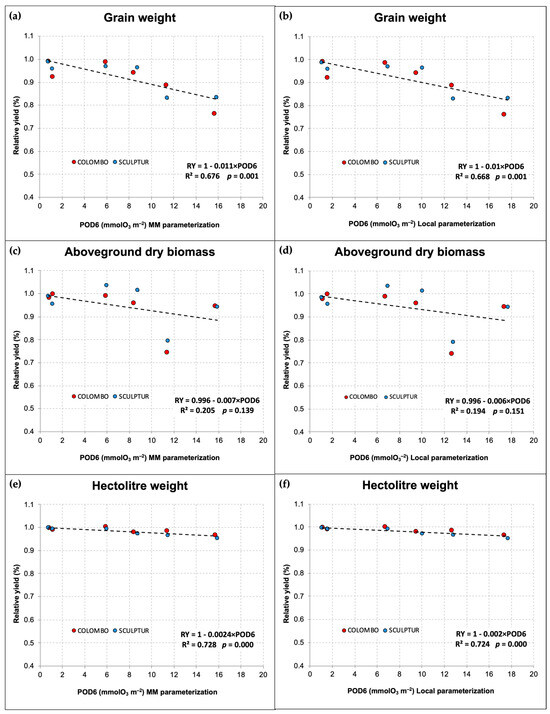
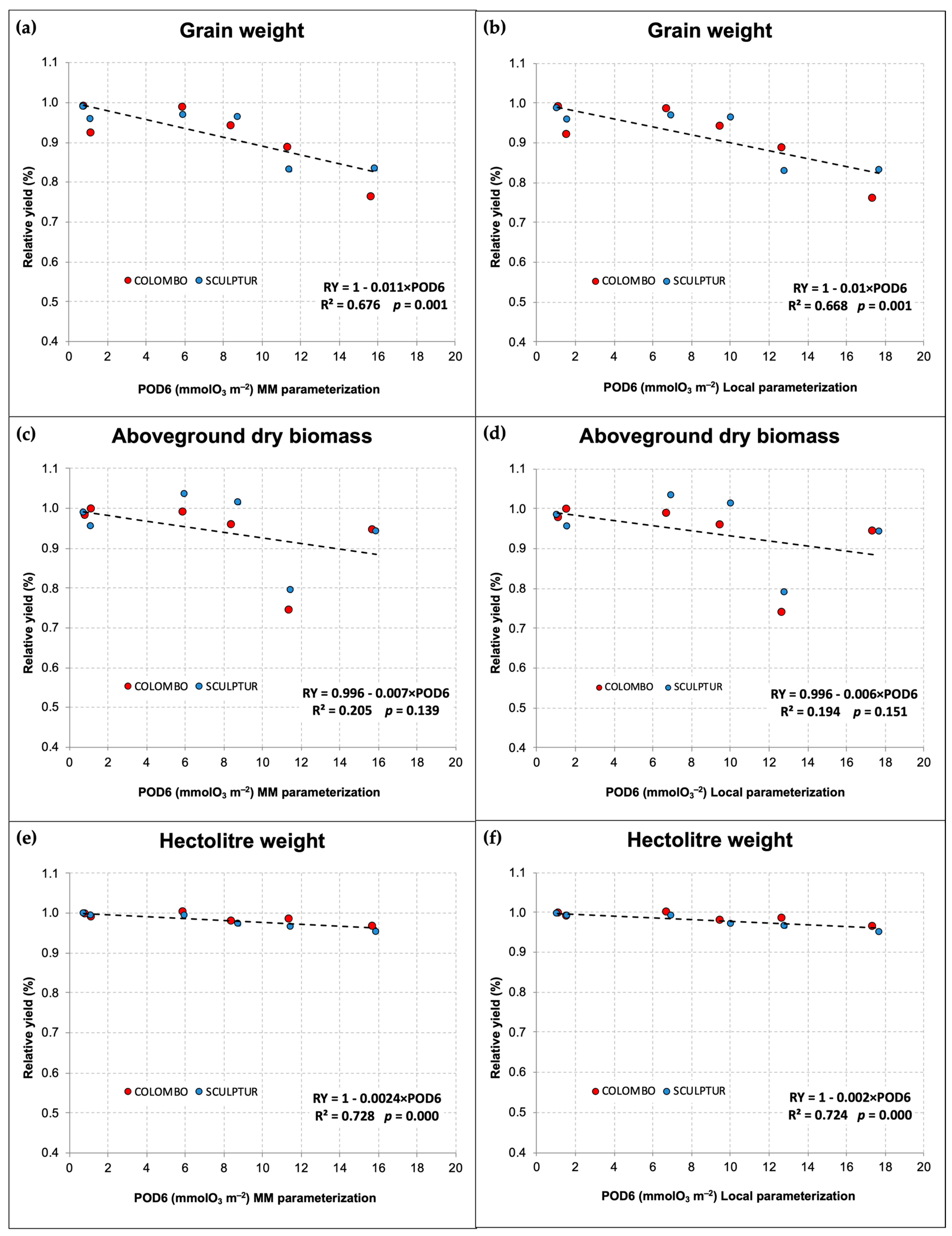
2.5. Dose–Response Relationships for Durum Wheat
3. Discussion
4. Materials and Methods
4.1. Open-Top Chambers Experiments
4.2. Ozone Metrics Calculation
4.3. Stomatal Conductance Measurements
4.4. Biomass and Grain Yield Determination
4.5. Determination of the Dose–Response Relationships
4.6. Statistical Analysis
Author Contributions
Funding
Data Availability Statement
Conflicts of Interest
References
- Emberson, L. Effects of ozone on agriculture, forests and grasslands. Philos. Trans. R. Soc. A 2020, 378, 20190327. [Google Scholar] [CrossRef]
- Ramya, A.; Dhevagi, P.; Poornima, R.; Avudainayagam, S.; Watanabe, M.; Agathokleous, E. Effect of ozone stress on crop productivity: A threat to food security. Environ. Res. 2023, 236, 116816. [Google Scholar] [CrossRef] [PubMed]
- Montes, C.M.; Demler, H.J.; Li, S.; Martin, D.G.; Ainsworth, E.A. Approaches to investigate crop responses to ozone pollution: From O3-FACE to satellite-enabled modeling. Plant J. 2022, 109, 432–446. [Google Scholar] [CrossRef] [PubMed]
- FAOSTAT—Food and Agriculture Organization of the United Nations. Available online: http://www.fao.org/faostat/en/#data (accessed on 16 January 2024).
- Xu, Y.; Kobayashi, K.; Feng, Z. Wheat yield response to elevated O3 concentrations differs between the world’s major producing regions. Sci. Total Environ. 2024, 907, 168103. [Google Scholar] [CrossRef] [PubMed]
- Mills, G.; Sharps, K.; Simpson, D.; Pleijel, H.; Broberg, M.; Uddling, J.; Jaramillo, F.; Davies, W.J.; Dentener, F.; Van den Berg, M. Ozone pollution will compromise efforts to increase global wheat production. Global Chang. Biol. 2018, 24, 3560–3574. [Google Scholar] [CrossRef] [PubMed]
- Feng, Z.; Xu, Y.; Kobayashi, K.; Dai, L.; Zhang, T.; Agathokleous, E.; Calatayud, V.; Paoletti, E.; Mukherjee, A.; Agrawal, M. Ozone pollution threatens the production of major staple crops in East Asia. Nat. Food 2022, 3, 47–56. [Google Scholar] [CrossRef]
- Pleijel, H.; Eriksen, A.B.; Danielsson, H.; Bondesson, N.; Selldén, G. Differential ozone sensitivity in an old and a modern Swedish wheat cultivar—Grain yield and quality, leaf chlorophyll and stomatal conductance. Environ. Exp. Bot. 2006, 56, 63–71. [Google Scholar] [CrossRef]
- Monga, R.; Marzuoli, R.; Alonso, R.; Bermejo, V.; González-Fernández, I.; Faoro, F.; Gerosa, G. Varietal screening of ozone sensitivity in Mediterranean durum wheat (Triticum durum, Desf.). Atmos. Environ. 2015, 110, 18–26. [Google Scholar] [CrossRef]
- Cao, J.L.; Liang, W.; Qing, Z.; Liang, J.; Hao-Ye, T.; Zu-Bin, X.; Gang, L.; Jian-Guo, Z.; Kobayashi, K. Characteristics of photosynthesis in wheat cultivars with different sensitivities to ozone under O3-free air concentration enrichment conditions. Acta Agron. Sin. 2009, 35, 1500–1507. [Google Scholar] [CrossRef]
- Feng, Z.; Pang, J.; Kobayashi, K.; Zhu, J.; Ort, D.R. Differential responses in two varieties of winter wheat to elevated ozone concentration under fully open-air field conditions. Glob. Chang. Biol. 2011, 17, 580–591. [Google Scholar] [CrossRef]
- Zhu, X.; Feng, Z.; Sun, T.; Liu, X.; Tang, H.; Zhu, J.; Guo, W.; Kobayashi, K. Effects of elevated ozone concentration on yield of four Chinese cultivars of winter wheat under fully open-air field conditions. Global Chang. Biol. 2011, 17, 2697–2706. [Google Scholar] [CrossRef]
- Bagard, M.; Jolivet, Y.; Hasenfratz-Sauder, M.; Gérard, J.; Dizengremel, P.; Le Thiec, D. Ozone exposure and flux-based response functions for photosynthetic traits in wheat, maize and poplar. Environ. Pollut. 2015, 206, 411–420. [Google Scholar] [CrossRef] [PubMed]
- Feng, Z.; Tang, H.; Uddling, J.; Pleijel, H.; Kobayashi, K.; Zhu, J.; Oue, H.; Guo, W. A stomatal ozone flux–response relationship to assess ozone-induced yield loss of winter wheat in subtropical China. Environ. Pollut. 2012, 164, 16–23. [Google Scholar] [CrossRef] [PubMed]
- Pleijel, H.; Danielsson, H.; Broberg, M.C. Benefits of the Phytotoxic Ozone Dose (POD) index in dose-response functions for wheat yield loss. Atmos. Environ. 2022, 268, 118797. [Google Scholar] [CrossRef]
- Picchi, V.; Iriti, M.; Quaroni, S.; Saracchi, M.; Viola, P.; Faoro, F. Climate variations and phenological stages modulate ozone damages in field-grown wheat. A three-year study with eight modern cultivars in Po Valley (Northern Italy). Agric. Ecosyst. Environ. 2010, 135, 310–317. [Google Scholar] [CrossRef]
- Reichenauer, T.G.; Goodman, B.A.; Kostecki, P.; Soja, G. Ozone sensitivity in Triticum durum and T. aestivum with respect to leaf injury, photosynthetic activity and free radical content. Physiol Plant. 1998, 104, 681–686. [Google Scholar] [CrossRef]
- Herbinger, K.; Tausz, M.; Wonisch, A.; Soja, G.; Sorger, A.; Grill, D. Complex interactive effects of drought and ozone stress on the antioxidant defence systems of two wheat cultivars. Plant Physiol. Biochem. 2002, 40, 691–696. [Google Scholar] [CrossRef]
- Karlsson, P.E.; Uddling, J.; Braun, S.; Broadmeadow, M.; Elvira, S.; Gimeno, B.S.; Le Thiec, D.; Oksanen, E.; Vandermeiren, K.; Wilkinson, M. New critical levels for ozone effects on young trees based on AOT40 and simulated cumulative leaf uptake of ozone. Atmos. Environ. 2004, 38, 2283–2294. [Google Scholar] [CrossRef]
- Faoro, F.; Iriti, M. Cell death behind invisible symptoms: Early diagnosis of ozone injury. Biol. Plant. 2005, 49, 585–592. [Google Scholar] [CrossRef]
- Evans, L.S.; Adamski, J.H., II; Renfro, J.R. Relationships between cellular injury, visible injury of leaves, and ozone exposure levels for several dicotyledonous plant species at Great Smoky Mountains National Park. Environ. Exp. Bot. 1996, 36, 229–237. [Google Scholar] [CrossRef]
- Biswas, D.K.; Xu, H.; Li, Y.G.; Liu, M.Z.; Chen, Y.H.; Sun, J.Z.; Jiang, G.M. Assessing the genetic relatedness of higher ozone sensitivity of modern wheat to its wild and cultivated progenitors/relatives. J. Exp. Bot. 2008, 59, 951–963. [Google Scholar] [CrossRef] [PubMed]
- Gerosa, G.; Marzuoli, R.; Rossini, M.; Panigada, C.; Meroni, M.; Colombo, R.; Faoro, F.; Iriti, M. A flux-based assessment of the effects of ozone on foliar injury, photosynthesis, and yield of bean (Phaseolus vulgaris L. cv. Borlotto Nano Lingua di Fuoco) in open-top chambers. Environ. Pollut. 2009, 157, 1727–1736. [Google Scholar] [CrossRef] [PubMed]
- Fuhrer, J.; Achermann, B. Critical levels for ozone–level II. Environ. Doc. 1999, 115. [Google Scholar]
- Massman, W.J.; Musselman, R.C.; Lefohn, A.S. A conceptual ozone dose-response model to develop a standard to protect vegetation. Atmos. Environ. 2000, 34, 745–759. [Google Scholar] [CrossRef]
- LRTAP Convention Chapter 3: Mapping Critical Levels for Vegetation. In LRTAP Convention Modelling and Mapping Manual; Federal Environmental Agency (Umweltbundesamt): Berlin, Germany, 2017.
- Danielsson, H.; Karlsson, P.E.; Pleijel, H. An ozone response relationship for four Phleum pratense genotypes based on modelling of the phytotoxic ozone dose (POD). Environ. Exp. Bot. 2013, 90, 70–77. [Google Scholar] [CrossRef]
- Pleijel, H.; Danielsson, H.; Emberson, L.; Ashmore, M.R.; Mills, G. Ozone risk assessment for agricultural crops in Europe: Further development of stomatal flux and flux–response relationships for European wheat and potato. Atmos. Environ. 2007, 41, 3022–3040. [Google Scholar] [CrossRef]
- Emberson, L.D.; Ashmore, M.R.; Cambridge, H.M.; Simpson, D.; Tuovinen, J. Modelling stomatal ozone flux across Europe. Environ. Pollut. 2000, 109, 403–413. [Google Scholar] [CrossRef]
- Mediavilla, S.; Escudero, A. Stomatal responses to drought of mature trees and seedlings of two co-occurring Mediterranean oaks. For. Ecol. Manag. 2004, 187, 281–294. [Google Scholar] [CrossRef]
- González-Fernández, I.; Bermejo, V.; Elvira, S.; De La Torre, D.; González, A.; Navarrete, L.; Sanz, J.; Calvete, H.; García-Gómez, H.; López, A. Modelling ozone stomatal flux of wheat under mediterranean conditions. Atmos. Environ. 2013, 67, 149–160. [Google Scholar] [CrossRef]
- Tomer, R.; Bhatia, A.; Kumar, V.; Kumar, A.; Singh, R.; Singh, B.; Singh, S.D. Impact of Elevated Ozone on Growth, Yield and Nutritional Quality of Two Wheat Species in Northern India. Aerosol Air Qual. Res. 2015, 15, 329–340. [Google Scholar] [CrossRef]
- Gerosa, G.; Marzuoli, R.; Finco, A.; Monga, R.; Fusaro, I.; Faoro, F. Contrasting effects of water salinity and ozone concentration on two cultivars of durum wheat (Triticum durum Desf.) in Mediterranean conditions. Environ. Pollut. 2014, 193, 13–21. [Google Scholar] [CrossRef]
- Mashaheet, A.M.; Burkey, K.O.; Saitanis, C.J.; Abdelrhim, A.S.; Rafiullah; Marshall, D.S. Differential ozone responses identified among key rust-susceptible wheat genotypes. Agronomy 2020, 10, 1853. [Google Scholar] [CrossRef]
- Ma, L.; Chen, C.; Cotrozzi, L.; Bu, C.; Luo, J.; Yao, G.; Chen, G.; Zhang, W.; Nali, C.; Lorenzini, G. The effects of elevated tropospheric ozone on carbon fixation and stable isotopic signatures of durum wheat cultivars with different biomass and yield stability. Plants 2022, 11, 3185. [Google Scholar] [CrossRef]
- Picchi, V.; Risoli, S.; Nali, C.; Lorenzini, G.; D’Asaro, L.; Pisuttu, C.; Pellegrini, E. Identification of key responsive leaf physiochemical traits for ozone sensitivity in 16 Italian cultivars of Triticum durum subjected to peak concentrations. J. Agron. Crop Sci. 2023, 210, 1–16. [Google Scholar] [CrossRef]
- Picchi, V.; Monga, R.; Marzuoli, R.; Gerosa, G.; Faoro, F. The ozone-like syndrome in durum wheat (Triticum durum Desf.): Mechanisms underlying the different symptomatic responses of two sensitive cultivars. Plant Physiol. Biochem. 2017, 112, 261–269. [Google Scholar] [CrossRef]
- Barnes, J.; Bender, J.; Lyons, T.; Borland, A. Natural and man-made selection for air pollution resistance. J. Exp. Bot. 1999, 50, 1423–1435. [Google Scholar] [CrossRef]
- Marzuoli, R.; Gerosa, G.; Bussotti, F.; Pollastrini, M. Assessing the impact of ozone on forest trees in an integrative perspective: Are foliar visible symptoms suitable predictors for growth reduction? A critical review. Forests 2019, 10, 1144. [Google Scholar] [CrossRef]
- Rai, R.; Agrawal, M.; Agrawal, S.B. Assessment of yield losses in tropical wheat using open top chambers. Atmos. Environ. 2007, 41, 9543–9554. [Google Scholar] [CrossRef]
- EUROSTAT—Crop Production in EU Standard Humidity [apro_cpsh1]. Available online: https://ec.europa.eu/eurostat/data/database (accessed on 15 October 2023).
- ISTAT—Estimation of the Area and Production of Agricultural and Floral Cultivation, and Pot Plants. Available online: http://dati.istat.it/Index.aspx?QueryId=33702# (accessed on 15 December 2023).
- Grünhage, L.; Pleijel, H.; Mills, G.; Bender, J.; Danielsson, H.; Lehmann, Y.; Castell, J.; Bethenod, O. Updated stomatal flux and flux-effect models for wheat for quantifying effects of ozone on grain yield, grain mass and protein yield. Environ. Pollut. 2012, 165, 147–157. [Google Scholar] [CrossRef] [PubMed]
- UNI 10709: 1998; Durum Wheat Grains. Qualitative Requirements, Classification and Test Methods. Italian National Unification Body: Milan, Italy, 1998.
- Marzuoli, R.; Monga, R.; Finco, A.; Gerosa, G. Biomass and physiological responses of Quercus robur (L.) young trees during 2 years of treatments with different levels of ozone and nitrogen wet deposition. Trees—Struct. Funct. 2016, 30, 1995–2010. [Google Scholar] [CrossRef]
- Pleijel, H. Reduced ozone by air filtration consistently improved grain yield in wheat. Environ. Pollut. 2011, 159, 897–902. [Google Scholar] [CrossRef]
- Olszyk, D.M.; Bytnerowicz, A.; Takemoto, B.K. Photochemical oxidant pollution and vegetation: Effects of mixtures of gases, fog and particles. Environ. Pollut. 1989, 61, 11–29. [Google Scholar] [CrossRef] [PubMed]
- Agathokleous, E.; Araminiene, V.; Belz, R.G.; Calatayud, V.; De Marco, A.; Domingos, M.; Feng, Z.; Hoshika, Y.; Kitao, M.; Koike, T. A quantitative assessment of hormetic responses of plants to ozone. Environ. Res. 2019, 176, 108527. [Google Scholar] [CrossRef] [PubMed]
- Massman, W.J. A review of the molecular diffusivities of H2O, CO2, CH4, CO, O3, SO2, NH3, N2O, NO, and NO2 in air, O2 and N2 near STP. Atmos. Environ. 1998, 32, 1111–1127. [Google Scholar] [CrossRef]
- Nobel, P.S. Physicochemical & Environmental Plant Physiology; Academic Press: London, UK, 1999; pp. 449–451. [Google Scholar]
- McNaughton, K.G.; Van den Hurk, B. A ‘Lagrangian’revision of the resistors in the two-layer model for calculating the energy budget of a plant canopy. Bound.-Layer Meteorol. 1995, 74, 261–288. [Google Scholar] [CrossRef]
- De la Torre, D. Relative yield loss calculations in wheat (Triticum durum Desf. cv. Camacho) due to ozone exposure. Sci. World J. 2010, 10, 103–115. [Google Scholar] [CrossRef]
- Fuhrer, J. The Critical Level for Ozone to Protect Agricultural Crops—An Assessment of Data from European Open-Top Chamber Experiments, Critical Levels for Ozone: A UN-ECE Workshop Report; Swiss Federal Research Station for Agricultural Chemistry and Environmental Hygiene: Liebefeld-Bern, Switzerland, 1994; pp. 42–57. [Google Scholar]





| Function | Parameter | Unit | Local Param. | MM Param. |
|---|---|---|---|---|
| gmax | mmolO3 m−2 s−1 | 465 | 410 | |
| fmin | fraction | 0.01 | 0.01 | |
| fLight | a | Adim. | 0.0085 | 0.0105 |
| fTemp | Tmin | °C | 13 | 11 |
| Topt | °C | 27 | 28 | |
| Tmax | °C | 45 | 45 | |
| fVPD | VPDmax | kPa | 2.5 | 3.1 |
| VPDmin | kPa | 5.4 | 4.9 | |
| ΣVPDcrit | kPa | 16 | 16 | |
| fSWC | SWCmax | %vol | 19 | 18 |
| SWCmin | %vol | 3 | 4.1 | |
| fPhen | fPhen_a | fraction | 0.0 | 0.0 |
| fPhen_b | fraction | - | - | |
| fPhen_c | fraction | - | - | |
| fPhen_d | fraction | - | - | |
| fPhen_e | fraction | 0.99 | 0.99 | |
| fPhen_1_ETS | °C day | −300 | −300 | |
| fPhen_2_ETS | °C day | 0 | 0 | |
| fPhen_3_ETS | °C day | 100 | 100 | |
| fPhen_4_ETS | °C day | 0 | 0 | |
| fPhen_5_ETS | °C day | 675 | 675 | |
| Leaf dimension | cm | 2 | 2 |
| 2013 | 2014 | ||||
|---|---|---|---|---|---|
| Colombo | Sculptur | Colombo | Sculptur | ||
| Sowing | Date | 9 March | 9 March | 3 March | 3 March |
| Plant Emergence | DAS | 12 | 12 | 10 | 10 |
| Plant raising | DAS | 48 | 45 | 42 | 42 |
| Start of O3 treatments | DAS | 58 | 58 | 51 | 51 |
| Flag leaf emergence | DAS | 67 | 64 | 61 | 58 |
| Earing | DAS | 77 | 74 | 72 | 69 |
| Anthesis | DAS | 85 | 82 | 78 | 75 |
| End of O3 treatments | DAS | 113 | 113 | 113 | 113 |
| Harvest | DAS | 128 | 128 | 117 | 117 |
| O3 treatment duration | Days | 56 | 56 | 56 | 56 |
| Colombo | Sculptur | ||||
|---|---|---|---|---|---|
| MM Param. | Local Param. | MM Param. | Local Param. | AOT40 | |
| unit | mmolO3 m−2 | mmolO3 m−2 | mmolO3 m−2 | mmolO3 m−2 | ppm.h |
| 2013 | |||||
| CF-OTC | 0.80 | 1.09 | 0.76 | 1.05 | 0.83 |
| OZ++ OTC | 11.35 | 12.66 | 11.47 | 12.80 | 21.12 |
| 2014 | |||||
| CF-OTC | 1.15 | 1.50 | 1.14 | 1.55 | 0.96 |
| NF OTC | 5.88 | 6.69 | 5.96 | 6.95 | 6.38 |
| OZ+ OTC | 8.39 | 9.46 | 8.76 | 10.03 | 9.78 |
| OZ++ OTC | 15.68 | 17.31 | 15.90 | 17.68 | 22.60 |
Disclaimer/Publisher’s Note: The statements, opinions and data contained in all publications are solely those of the individual author(s) and contributor(s) and not of MDPI and/or the editor(s). MDPI and/or the editor(s) disclaim responsibility for any injury to people or property resulting from any ideas, methods, instructions or products referred to in the content. |
© 2024 by the authors. Licensee MDPI, Basel, Switzerland. This article is an open access article distributed under the terms and conditions of the Creative Commons Attribution (CC BY) license (https://creativecommons.org/licenses/by/4.0/).
Share and Cite
Marzuoli, R.; Faoro, F.; Picchi, V.; Gerosa, G.A. Phytotoxic Ozone Dose–Response Relationships for Durum Wheat (Triticum durum, Desf.). Plants 2024, 13, 573. https://doi.org/10.3390/plants13050573
Marzuoli R, Faoro F, Picchi V, Gerosa GA. Phytotoxic Ozone Dose–Response Relationships for Durum Wheat (Triticum durum, Desf.). Plants. 2024; 13(5):573. https://doi.org/10.3390/plants13050573
Chicago/Turabian StyleMarzuoli, Riccardo, Franco Faoro, Valentina Picchi, and Giacomo A. Gerosa. 2024. "Phytotoxic Ozone Dose–Response Relationships for Durum Wheat (Triticum durum, Desf.)" Plants 13, no. 5: 573. https://doi.org/10.3390/plants13050573
APA StyleMarzuoli, R., Faoro, F., Picchi, V., & Gerosa, G. A. (2024). Phytotoxic Ozone Dose–Response Relationships for Durum Wheat (Triticum durum, Desf.). Plants, 13(5), 573. https://doi.org/10.3390/plants13050573
