Phytochemistry, Bioactivity, and Ethnopharmacology of the Genus Lepechinia Willd. (Lamiaceae): A Review
Abstract
1. Introduction
2. Research Strategies and Literature Sources
3. Results and Discussion
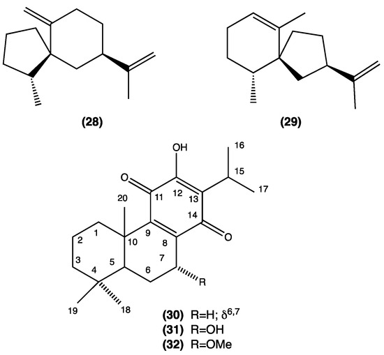
3.1. Compounds Isolated from Lepechinia spp. through Solvent Extraction and Their Biological Activities
3.2. Composition and Biological Activities of Essential Oils from Genus Lepechinia
3.3. Ethnopharmacology and Traditional Uses for the Genus Lepechinia
3.4. Geography and Aim of the Studies
4. Conclusions
Author Contributions
Funding
Data Availability Statement
Acknowledgments
Conflicts of Interest
References
- The World Health Organization WHO. Available online: https://www.who.int/initiatives/who-global-centre-for-traditional-medicine (accessed on 9 February 2023).
- Uritu, C.M.; Mihai, C.T.; Stanciu, G.D.; Dodi, G.; Stratulat, T.A.; Luca, A.; León, M.M.; Stefanescu, R.; Bild, V.; Melnic, S.; et al. Medicinal Plants of the Family Lamiaceae in Pain Therapy: A Review. Pain Res. Manag. 2018, 2018, 7801543. [Google Scholar] [CrossRef]
- Drew, B.T.; Sytsma, K.J. The South American radiation of Lepechinia (Lamiaceae): Phylogenetics, divergence times and evolution of dioecy. Bot. J. Linn. Soc. 2013, 171, 171–190. [Google Scholar] [CrossRef]
- Epling, C. A Synopsis of the Tribe Lepechinieae (Labiatae). Brittonia 1948, 6, 352–364. [Google Scholar] [CrossRef]
- Esteves, P.F.; Kuster, R.M.; Barbi, N.S.; Menezes, F.d.S. Chemical Composition and Cytotoxic Activity of Lepechinia speciosa (St. Hill) Epling. Lat. Am. J. Pharm. 2010, 29, 38–44. [Google Scholar]
- Delgado, G.; Hernández, J.; Chávez, M.I.; Alvarez, L.; Gonzaga, V.; Martínez, E. Di-and triterpenpoid acids from Lepechinia caulescens. Phytochemistry 1994, 37, 1119–1121. [Google Scholar] [CrossRef]
- Jorgensen, P.; León-Yánez, S. Catalogue of the Vascular Plants of Ecuador; Missouri Botanical Garden: St. Louis, MO, USA, 1999. [Google Scholar]
- The World Flora. Available online: https://www.worldfloraonline.org/search?query=Lepechinia (accessed on 7 January 2022).
- Page, M.J.; McKenzie, J.E.; Bossuyt, P.; Boutron, I.; Hoffmann, T.C.; Mulrow, C.D.; Shamseer, L.; Tetzlaff, J.M.; Akl, E.; Brennan, S.E.; et al. The Prisma 2020 Statement: An Updated Guideline for Reporting Systematic Reviews. Med. Flum. 2021, 57, 444–465. [Google Scholar] [CrossRef]
- Perez-Hernandez, N.; Ponce-Monter, H.; Medina, J.A.; Joseph-Nathan, P. Spasmolytic effect of constituents from Lepechinia caulescens on rat uterus. J. Ethnopharmacol. 2008, 115, 30–35. [Google Scholar] [CrossRef] [PubMed]
- Delgado, G.; Sánchez, E.; Hernández, J.; Chávez, M.I.; Alvarez, L.; Martínez, E. Abietanoid acid from Lepechinia caulescens. Phytochemistry 1992, 31, 3159–3161. [Google Scholar] [CrossRef]
- Aguirre-Crespo, F.; Vergara-Galicia, J.; Villalobos-Molina, R.; López-Guerrero, J.J.; Navarrete-Vázquez, G.; Estrada-Soto, S. Ursolic acid mediates the vasorelaxant activity of Lepechinia caulescens via NO release in isolated rat thoracic aorta. Life Sci. 2006, 79, 1062–1068. [Google Scholar] [CrossRef] [PubMed]
- Zafar, S.; Khan, K.; Hafeez, A.; Irfan, M.; Armaghan, M.; Rahman, A.u.; Gürer, E.S.; Sharifi-Rad, J.; Butnariu, M.; Bagiu, I.C.; et al. Ursolic acid: A natural modulator of signaling networks in different cancers. Cancer Cell Int. 2022, 22, 399. [Google Scholar] [CrossRef]
- Panda, S.S.; Thangaraju, M.; Lokeshwar, B.L. Ursolic Acid Analogs as Potential Therapeutics for Cancer. Molecules 2022, 27, 8981. [Google Scholar] [CrossRef] [PubMed]
- Khwaza, V.; Oyedeji, O.O.; Aderibigbe, B.A. Ursolic acid-based derivatives as potential anti-cancer agents: An update. Int. J. Mol. Sci. 2020, 21, 5920. [Google Scholar] [CrossRef]
- Hussain, H.; Green, I.R.; Ali, I.; Khan, I.A.; Ali, Z.; Al-Sadi, A.M.; Ahmed, I. Ursolic acid derivatives for pharmaceutical use: A patent review (2012–2016). Expert Opin. Ther. Pat. 2017, 27, 1061–1072. [Google Scholar] [CrossRef] [PubMed]
- Al-kuraishy, H.M.; Al-Gareeb, A.I.; Negm, W.A.; Alexiou, A.; Batiha, G.E.S. Ursolic acid and SARS-CoV-2 infection: A new horizon and perspective. Inflammopharmacology 2022, 30, 1493–1501. [Google Scholar] [CrossRef] [PubMed]
- Bruno, M.; Savona, G.; Piozzi, F.; De la Torre, M.; Rodríguez, B.; Marlier, M. Abietane diterpenoids from Lepechinia meyeni and Lepechinia hastata. Phytochemistry 1991, 30, 2339–2343. [Google Scholar] [CrossRef]
- The International Plant Names Index. Available online: https://www.ipni.org/n/1090930-2 (accessed on 7 January 2022).
- Areche, C.; Schmeda-hirschmann, G.; Theoduloz, C.; Rodrı, J.A. Gastroprotective effect and cytotoxicity of abietane diterpenes from the Chilean Lamiaceae Sphacele chamaedryoides (Balbis) Briq. J. Pharm. Pharmacol. 2009, 61, 1689–1697. [Google Scholar] [CrossRef] [PubMed]
- Eggers, M.D.; Sinnwell, V.; Stahl-biskup, E. (-)-Spirolepechinene, a spirosesquiterpene from Lepechinia bullata (Lamiaceae). Phytochemistry 1999, 51, 987–990. [Google Scholar] [CrossRef]
- Jonathan, L.T.; Che, C.-T.; Pezzuto, J.M.; Fong, H.H.; Farnsworth, N.R. 7-0-methylhorminone and other cytotoxic diterpene quinones from Lepechinia Bullata. J. Nat. Prod. 1989, 52, 571–575. [Google Scholar] [CrossRef]
- Parejo, I.; Caprai, E.; Bastida, J.; Viladomat, F.; Jáuregui, O.; Codina, C. Investigation of Lepechinia graveolens for its antioxidant activity and phenolic composition. J. Ethnopharmacol. 2004, 94, 175–184. [Google Scholar] [CrossRef]
- Zhao, J.; Xu, L.; Jin, D.; Xin, Y.; Tian, L.; Wang, T.; Zhao, D.; Wang, Z.; Wang, J. Rosmarinic Acid and Related Dietary Supplements: Potential Applications in the Prevention and Treatment of Cancer. Biomolecules 2022, 12, 1410. [Google Scholar] [CrossRef]
- Noor, S.; Mohammad, T.; Rub, M.A.; Raza, A.; Azum, N.; Yadav, D.K.; Hassan, M.I.; Asiri, A.M. Biomedical features and therapeutic potential of rosmarinic acid. Arch. Pharm. Res. 2022, 45, 205–228. [Google Scholar] [CrossRef]
- Ngo, Y.L.; Lau, C.H.; Chua, L.S. Review on rosmarinic acid extraction, fractionation and its anti-diabetic potential. Food Chem. Toxicol. 2018, 121, 687–700. [Google Scholar] [CrossRef] [PubMed]
- Kernou, O.N.; Azzouz, Z.; Madani, K.; Rijo, P. Application of Rosmarinic Acid with Its Derivatives in the Treatment of Microbial Pathogens. Molecules 2023, 28, 4243. [Google Scholar] [CrossRef] [PubMed]
- Gilardoni, G.; Ramírez, J.; Montalván, M.; Quinche, W.; León, J.; Benítez, L.; Morocho, V.; Cumbicus, N.; Bicchi, C. Phytochemistry of three ecuadorian lamiaceae: Lepechinia heteromorpha (Briq.) Epling, Lepechinia radula (benth.) epling and Lepechinia paniculata (Kunth) epling. Plants 2019, 8, 1. [Google Scholar] [CrossRef] [PubMed]
- Ramírez, J.; Gilardoni, G.; Ramón, E.; Tosi, S.; Picco, A.M.; Bicchi, C.; Vidari, G. Phytochemical study of the Ecuadorian species Lepechinia mutica (Benth.) epling and high antifungal activity of carnosol against Pyricularia oryzae. Pharmaceuticals 2018, 11, 33. [Google Scholar] [CrossRef] [PubMed]
- Ramírez, J.; Suarez, A.I.; Bec, N.; Armijos, C.; Gilardoni, G.; Larroque, C.; Vidari, G. Carnosol from Lepechinia mutica and tiliroside from Vallea stipularis: Two promising inhibitors of BuChE. Rev. Bras. Farmacogn. 2018, 28, 559–563. [Google Scholar] [CrossRef]
- Martins, F.O.; Esteves, P.F.; Mendes, G.S.; Barbi, N.S.; Menezes, F.S.; Romanos, M.T. Verbascoside isolated from Lepechinia speciosa has inhibitory Activity against HSV-1 and HSV-2 in vitro. Nat. Prod. Commun. 2009, 4, 1693–1696. [Google Scholar] [CrossRef] [PubMed]
- Borges, R.; Rojas, L.B.; Cegarra, J.A.; Usubillaga, A. Study of the essential oils from the leaves and flowers of Lepechinia conferta (Benth) Epl. Flavour Fragr. J. 2006, 21, 155–157. [Google Scholar] [CrossRef]
- Caballero-Gallardo, K.; Olivero-Verbel, J.; Stashenko, E.E. Repellent Activity of Essential Oils and Some of Their Individual Constituents against Tribolium castaneum Herbst. J. Agric. Food Chem. 2011, 59, 1690–1696. [Google Scholar] [CrossRef]
- Calva, J.; Cartuche, L.; González, S.; Montesinos, J.V.; Morocho, V. Chemical composition, enantiomeric analysis and anticholinesterase activity of Lepechinia betonicifolia essential oil from Ecuador. Pharm. Biol. 2022, 60, 206–211. [Google Scholar] [CrossRef]
- Lawrence, B.M.; Morton, J.K. Volatile Constituents of Lepechinia calycina. Phytochemistry 1979, 18, 1887. [Google Scholar] [CrossRef]
- Avila Acevedo, J.G.; Muñoz Lóez, J.L.; Martínez Cortés, A.; García Bores, A.; Martínez Cortés, G.; Peñalosa Castro, I. In vitro anti-Vibrio cholerae activity of essential oil from Lepechinia caulescens. Fitoterapia 2005, 76, 104–107. [Google Scholar] [CrossRef]
- Valenzuela, L.; Vila, R.; Cañigueral, S.; Adzet, T. The essential oil of Sphacele chamaedryoides. Planta Med. 1992, 58, 273–274. [Google Scholar] [CrossRef]
- Suazo, G.; González, F.; Urbina, A.; Pastene, E.; Sáez, K.; Serri, H.; Chávez, R. Actividad insecticida del aceite esencial de Lepechinia chamaedryoides (Balb.) Epling en Drosophila melanogaster. Gayana Bot. 2012, 69, 256–266. [Google Scholar] [CrossRef]
- Pellegrini, M.C.; Alvarez, M.V.; Ponce, A.G.; Cugnata, N.M.; De Piano, F.G.; Fuselli, S. Anti-quorum sensing and antimicrobial activity of aromatic species from South America. J. Essent. Oil Res. 2014, 26, 458–465. [Google Scholar] [CrossRef]
- Fuselli, S.R.; García de la Rosa, S.B.; Eguaras, M.J.; Fritz, R. Susceptibility of the Honeybee Bacterial Pathogen Paenibacillus larvae to Essential Oils Distilled from Exotic and Indigenous Argentinean Plants. J. Essent. Oil Res. 2008, 20, 464–470. [Google Scholar] [CrossRef]
- Lopez Arze, J.; Collin, G.; Garneau, F.; Jean, F.; Gagnon, H. Essential Oils from Bolivia. VI. Lamiaceae: Lepechinia graveolens (Reg.) Epling, L. floribunda (Benth.) Epling, and L. meyeni (Walp.) Epling. J. Essent. Oil Res. 2009, 21, 36–40. [Google Scholar] [CrossRef]
- Velasco-Negueruela, A.; Pérez-Alonso, M.; Esteban, J.; Guzmán, C.; Zygadlo, J.; Ariza-Espinar, L. Essential Oil of Lepechinia floribunda (Benth.) Epl. J. Essent. Oil Res. 1994, 6, 539–540. [Google Scholar] [CrossRef]
- Collin, G.; Garneau, F.; Gagnon, H.; Pichette, A.; Lavoie, S. Analysis of Cymenes in Essential Oils: The Case of of Lepechinia meyeni (Walp.) Epling. J. Essent. Oil Res. 2010, 22, 310–313. [Google Scholar] [CrossRef]
- Ruiz, C.; Díaz, C.; Rojas, R. Chemical Composition of Essential Oils from 10 Peruvian aromatic plants. Rev. Soc. Quim. Perú 2015, 81, 81–94. [Google Scholar]
- Malagón, O.; Vila, R.; Iglesias, J.; Zaragoza, T.; Cañigueral, S. Composition of the essential oils of four medicinal plants from Ecuador. Flavour Fragr. J. 2003, 18, 527–531. [Google Scholar] [CrossRef]
- Ramírez, J.; Gilardoni, G.; Jácome, M.; Montesinos, J.; Rodolfi, M.; Guglielminetti, M.L.; Cagliero, C.; Bicchi, C.; Vidari, G. Chemical Composition, Enantiomeric Analysis, AEDA Sensorial Evaluation and Antifungal Activity of the Essential Oil from the Ecuadorian Plant Lepechinia mutica Benth (Lamiaceae). Chem. Biodivers. 2017, 14, e1700292. [Google Scholar] [CrossRef]
- Guzmán, L.; Malla, J.L.; Ramírez, J.; Gilardoni, G.; Calva, J.; Hidalgo, D.; Valarezo, E.; Rey-Valeirón, C. Acaricidal Efficacy of Plants from Ecuador, Ambrosia peruviana (Asteraceae) and Lepechinia mutica (Lamiaceae) against Larvae and Engorged Adult Females of the Common Cattle Tick, Rhipicephalus microplus. Vet. Sci. 2022, 9, 23. [Google Scholar] [CrossRef]
- Valarezo, E.; Castillo, A.; Guaya, D.; Morocho, V.; Malagón, O. Chemical composition of essential oils of two species of the Lamiaceae family: Scutellaria volubilis and Lepechinia paniculata from Loja, Ecuador. J. Essent. Oil Res. 2012, 24, 31–37. [Google Scholar] [CrossRef]
- Panamito, M.F.; Bec, N.; Valdivieso, V.; Salinas, M.; Calva, J.; Ramírez, J.; Larroque, C.; Armijos, C. Chemical Composition and Anticholinesterase Activity of the Essential Oil of Leaves and Flowers from the Ecuadorian Plant Lepechinia paniculata (Kunth) Epling. Molecules 2021, 26, 3198. [Google Scholar] [CrossRef]
- Morocho, V.; Toro, M.L.; Cartuche, L.; Guaya, D.; Valarezo, E.; Malagón, O.; Ramírez, J. Chemical Composition and Antimicrobial Activity of Essential Oil of Lepechinia radula Benth Epling. Rec. Nat. Prod. 2017, 11, 57–62. [Google Scholar]
- Eggers, M.D.; Orsini, G.; Stahl-biskup, E. Composition and Chemical Variation of the Essential Oil of Lepechinia salviaefolia (Kunth) Epl. from Venezuela. J. Essnt. Oil Res 2001, 13, 1–4. [Google Scholar] [CrossRef]
- Brand, Y.M.; Roa-Linares, V.C.; Betancur-Galvis, L.A.; Durán-García, D.C.; Stashenko, E. Antiviral activity of Colombian Labiatae and Verbenaceae family essential oils and monoterpenes on Human Herpes viruses. J. Essent. Oil Res. 2016, 28, 130–137. [Google Scholar] [CrossRef]
- Stashenko, E.E.; Cervantes, M.; Combariza, Y.; Fuentes, H.; Martínez, J. HRGC/FID and HRGC / MSD Analysis of the Secondary Metabolites Obtained by Different Extraction Methods from Lepechinia schiedeana, and in Vitro Evaluation of Its Antioxidant Activity. J. High Resol. Chromatogr. 1999, 22, 343–349. [Google Scholar] [CrossRef]
- Puertas-Mejía, M.; Hillebrand, S.; Stashenko, E.; Winterhalter, P. In vitro radical scavenging activity of essential oils from Columbian plants and fractions from oregano (Origanum vulgare L.) essential oil. Flavour Fragr. J. 2002, 17, 380–384. [Google Scholar] [CrossRef]
- Stashenko, E.E.; Puertas, M.A.; Martínez, J.R. SPME determination of volatile aldehydes for evaluation of in-vitro antioxidant activity. Anal. Bioanal. Chem. 2002, 373, 70–74. [Google Scholar] [CrossRef]
- Zanoni, T.A.; Adams, R.P. Essential Oils of Plants from Hispaniola: 5. The Volatile Leaf Oil of Lepechinia urbanii (Briq.) Epling (Lamiaceae). Flavour Fragr. J. 1991, 6, 75–77. [Google Scholar] [CrossRef]
- Louisy, E.; Khodyrieva, V.; Olivero, S.; Michelet, V.; Mija, A. Use of Limonene Epoxides and Derivatives as Promising Monomers for Biobased Polymers. ChemPlusChem 2022, 87, e202200190. [Google Scholar] [CrossRef] [PubMed]
- Ren, Y.; Liu, S.; Jin, G.; Yang, X.; Zhou, Y.J. Microbial production of limonene and its derivatives: Achievements and perspectives. Biotechnol. Adv. 2020, 44, 107628. [Google Scholar] [CrossRef] [PubMed]
- Eddin, L.B.; Jha, N.K.; Meeran, M.F.N.; Kesari, K.K.; Beiram, R.; Ojha, S. Neuroprotective potential of limonene and limonene containing natural products. Molecules 2021, 26, 4535. [Google Scholar] [CrossRef]
- Anandakumar, P.; Kamaraj, S.; Vanitha, M.K. D-limonene: A multifunctional compound with potent therapeutic effects. J. Food Biochem. 2021, 45, e13566. [Google Scholar] [CrossRef]
- Hoch, C.C.; Petry, J.; Griesbaum, L.; Weiser, T.; Werner, K.; Ploch, M.; Verschoor, A.; Multhoff, G.; Bashiri Dezfouli, A.; Wollenberg, B. 1,8-cineole (eucalyptol): A versatile phytochemical with therapeutic applications across multiple diseases. Biomed. Pharmacother. 2023, 167, 115467. [Google Scholar] [CrossRef]
- Cai, Z.M.; Peng, J.Q.; Chen, Y.; Tao, L.; Zhang, Y.Y.; Fu, L.Y.; Long, Q.D.; Shen, X.C. 1,8-Cineole: A review of source, biological activities, and application. J. Asian Nat. Prod. Res. 2021, 23, 938–954. [Google Scholar] [CrossRef]
- Juergens, L.J.; Worth, H.; Juergens, U.R. New Perspectives for Mucolytic, Anti-inflammatory and Adjunctive Therapy with 1,8-Cineole in COPD and Asthma: Review on the New Therapeutic Approach. Adv. Ther. 2020, 37, 1737–1753. [Google Scholar] [CrossRef]
- Tene, V.; Malagón, O.; Vita, P.; Vidari, G.; Armijos, C. An ethnobotanical survey of medicinal plants used in Loja and Zamora-Chinchipe, Ecuador. J. Ethnopharmacol. 2007, 111, 63–81. [Google Scholar] [CrossRef]
- Estrada-Soto, S.; Navarrete-Vázquez, G.; Léon-Rivera, I.; Rios, M.; Aguilar-Guadarrama, B.; Castillo-España, P.; Ortiz-Andrade, R.; Aguirre-Crespo, F. Antihypertensive effect of Lepechinia caulescens extract on spontaneously hypertensive rats. Phytopharmacology 2012, 2, 170–178. [Google Scholar]
- Pecher, V.; Leplanquais, V.; Lazou, K.; Dumas, M.C. Use of a Lepechinia caulescens Extract as a Cosmetic Agent, and Cosmetic Composition Containing Same. U.S. Patent 9023403B2, 3 June 2009. [Google Scholar]
- Dimayuga, R.; Garcia, S.; Nielsen, P.H.; Christophersen, C. Traditional medicine of Baja California sur (Mexico) III. Carnosol. A diterpene antibiotic from Lepechinia hastata. J. Ethnopharmacol. 1991, 31, 43–48. [Google Scholar] [CrossRef] [PubMed]
- Encarnación-Dimayuga, R.; Almada, G.; Virgen, M. Minimum antimicrobial inhibitory concentration of carnosol and of the ethanol extract from Lepichinia hastata (Lamiaceae). Phytomedicine 1998, 5, 301–305. [Google Scholar] [CrossRef] [PubMed]
- Rojas, R.; Bustamante, B.; Bauer, J.; Fernández, I.; Albán, J.; Lock, O. Antimicrobial activity of selected Peruvian medicinal plants. J. Ethnopharmacol. 2003, 88, 199–204. [Google Scholar] [CrossRef]
- Chirinos, R.; Pedreschi, R.; Rogez, H.; Larondelle, Y.; Campos, D. Phenolic compound contents and antioxidant activity in plants with nutritional and/or medicinal properties from the Peruvian Andean region. Ind. Crops Prod. 2013, 47, 145–152. [Google Scholar] [CrossRef]
- Cicció, J.F.; Soto, V.H.; Poveda, L.J. Essential oil of Lepechinia schiedeana (Lamiaceae) from Costa Rica. Rev. Biol. Trop. 1999, 47, 373–375. [Google Scholar] [CrossRef]
- Armijos, C.; Ramírez, J.; Salinas, M.; Vidari, G.; Suárez, A. Pharmacology and Phytochemistry of Ecuadorian Medicinal Plants: An Update and Perspectives. Pharmaceuticals 2021, 14, 1145. [Google Scholar] [CrossRef]
- Estrada-Soto, S.; Rodríguez-Avilez, A.; Castañeda-Ávila, C.; Castillo-España, P.; Navarrete-Vázquez, G.; Hernández, L.; Aguirre-Crespo, F. Spasmolytic action of Lepechinia caulescens is through calcium channel blockade and NO release. J. Ethnopharmacol. 2007, 114, 364–370. [Google Scholar] [CrossRef]
- Camina, J.; Dambolena, J.S.; Zygadlo, J.A.; Ashworth, L. Cheminal Composition of essential oils of peltate glandular trichomes from leaves and flowers of Lepechinia floribunda (Lamiaceae). Bol. Soc. Argent. Bot. 2018, 53, 375–384. [Google Scholar] [CrossRef]
- Solano-Cueva, N.; Figueroa, J.G.; Loja, C.; Armijos, C.; Vidari, G.; Ramírez, J. A Validated HPLC-UV-ESI-IT-MS Method for the Quantification of Carnosol in Lepechinia mutica, a Medicinal Plant Endemic to Ecuador. Molecules 2023, 28, 6701. [Google Scholar] [CrossRef] [PubMed]











| Lepechinia spp. | Place of Collection | Essential Oil | Main Compounds (>5%) | Biological Activities |
|---|---|---|---|---|
| L. bullata | Santo Domingo (Estate of Mérida, Venezuela) | Leaves (hydrodistillation) | (-)-spirolepechinene (20%), (-)-premnaspirodiene (45%) [21] | - |
| L. betonicifolia | Bucaramanga (Colombia) and Loja (Ecuador) | Aerial parts (Microwave-assisted hydrodistillation) | Limonene (27.5%), a-pinene (19.4%), β-pinene (9.5%), and trans-β-caryophyllene (6.8%) [33] β-pinene (30.45%), sabinene (27.98%), α-pinene (4.97%), β-phellandrene (4.79%), E-caryophyllene (4.44%), and limonene (3.84%) [34] | Registers repellency percentages > 90% after 2 and 4 h against Tribolium castaneum [33] EO exerted a strong inhibitory effect over the AChE enzyme, with an IC50 value of 74.97 ± 1.17 lg/mL [34] |
| L. calycina | California (North America), University of California Botanical Gardens | - | 1,8-cineole (19.7%), camphor (17.5%), d-3-carene (17.4%), camphene (7.8%), α-pinene (6.5%), and caryophyllene (5.7%) [35] | - |
| L. caulescens | Michoacán (México) | Aerial parts | Borneol (16.38%), camphor (15.16%), trans-caryophyllene (15.14%), spathulenol (8.51%), and aromadendrene (8.01%) [36] | Active against some strains of Vibrio cholerae [36] |
| L. conferta | Páramo of La Negra (Venezuela) | Leaves and flowers (hydrodistillation) | The concentration of sesquiterpenes is slightly higher in the flowers (57.5%) than in the leaves (53.5%); the most abundant constituents are the same in both: ledol (28.9% and 24.2%), δ3-carene (10.5% and 11.0%), β-phellandrene (11.7% and 9.7%), and aromadendrene (3.6% and 4.5%), respectively [32] | - |
| L. chamaedryoides | Tomé (Concepción, Chile) | Aerial parts (hydrodistillation) | α-phellandrene (13.0%), β-caryophyllene (10.3%), T-cadinol (10.4%), spathulenol (6.4%), limonene (6.0%), and g-cadinene (5.9%) [37] | Insecticidal activity on Diptera larvae, Drosophila melanogaster Meigen [36] |
| L. floribunda | Cordoba, San Luis, and Buenos Aires Provinces (Argentina) [39,40,42] and Mizque (Bolivia) [41] | Aerial parts (hydrodistillation) | 1,8-cineole (27.5%), camphene (16.6%), and camphor (12.9%) for L. floribunda from Argentina [32,39,40]. Bornyl acetate (11–12%), β-caryophyllene (9–10%), and camphene (5.7%) for L. floribunda from Bolivia [41] | Anti-quorum sensing (QS) [39] and antimicrobial activity against Paenibacillus larvae [40] |
| L. graveolens | Cochabamba region of Chapare (Inkachaca-Bolivia) | Aerial parts (hydrodistillation) | β-caryophyllene (22.1%), d-cadinene (6.1%), α-humulene (5.6%), β-phellandrene (5.3%), and g-cadinene (5.3%) [41] | - |
| L. heteromorfa | Saruguro, Province of Loja (Ecuador) | Leaves (hydrodistillation) | Viridiflorene (27.3%), (-)-Ledol (21.2%), Spirolepechinene and (E)-β-caryophyllene (7.1% each), and allo-aromadendrene (6.1%) [28] | - |
| L. meyenii | Arani (Cochabamba, Bolivia) [41,43] San Martín de Porras (Perú) [44] | Leaves (hydrodistillation) | β-pinene (12.6%) and limonene (~5%) [43]. β-Pinene (12.6%), α-pinene (9.7%), and d-3-carene (6.9%) were the main constituents of the A oil, whereas α-pinene (25.0%), β-pinene (9.2%), and limonene (8.3%) were the most important products in the B oil. In both cases, tau-cadinol and epi-α-bisabolol (~9–12% each) were the main constituents; g-cadinene (~5–6%) was the main constituent in both oils [41]. α-Pinene (29.87%), Eucalyptol (13.25%), and β-Pinene (9.64%) [43] | Antioxidant activity [44] |
| L. mutica | Cerro el Villonaco (Loja, Ecuador) [45] Quilanga Region in Loja Province, Ecuador [29,46,47] | Leaves and flowers (hydrodistillation) | β-phellandrene (30%), camphene (13%), limonene (8%), 3-carene (6%), α-pinene (6%), and isocaryophyllene (5%) [44]. Shyobunol (10.80%), D3-carene (8.69%), d-cadinene (6.96%), and globulol (5.91%) [46,47] δ-3-carene (24.2%), eudesm-7(11)-en-4-ol (13.0%), thujopsan-2-α-ol (11.9%), β-pinene (8.0%), and valerianol (5.2%) for the flower essential oil [29] | Moderate in vitro activity against five fungal strains, especially against M. canis, a causal agent for pet and human infections [46]. Promissory acaricidal activity against larvae and engorged adult females of the common cattle tick, Rhipicephalus microplus [47] |
| L. paniculata | Barrio Acacana of San Lucas (Loja, Ecuador) [48]. El Tablon (Loja, Ecuador) [49] | Leaves and flowers (hydrodistillation and steam distillation) | Aromadendrene (24.6%), viridiflorene (12.4%), β-selinene (7.4%), valencene (6.7%), and β-phellandrene (7.7%) [48]. 1,8-Cineole (18.73%), β-Pinene (16.27%), δ-3-Carene (12.44%), α-Pinene (11.10%), (E)-Caryophyllene (9.88%), β-Phellandrene (8.62%), and Guaiol (8.58%) [49] | Moderate inhibitory activity against anticholinesterase activity, with IC50 values of 38.2 ± 2.9 mg/mL against AChE and 47.4 ± 2.3 mg/mL against BuChE, whereas in the EO of the flowers, the inhibitory activity was much more marked, with IC50 values of 28.2 ± 1.8 µg/mL against AChE and 28.8 ± 1.5 µg/mL against BuChE [49] |
| L. radula | Guachanamá (Loja, Ecuador) | Aerial parts (hydrodistillation) | δ-3-carene (19.9%), β-pinene (17.0%), (E)-β-caryophyllene (9.7%), and (E-E)-α-farnesene (9.4%) [50] | Strong antifungal activity against Trichophyton rubrum and Trichophyton mentagrophytes [50] |
| L. salviaefolia | Mérida, Venezuela | Leaves (hydrodistillation) | The major constituents of the palustrol-type (28 samples) were (-)-palustrol (19.1%), β-phellandrene (13.8%), borneol (11.8%), and camphene (7.2%). The oil of the premnaspirodiene-type (27 samples) was dominated by β-phellandrene (13.3%), borneol (12.3%), (-)-premnaspirodiene (9.4%), and cainphene (8.5%). The presence of a third chemotype (5 samples) with d-3-carene (12.9%), T-cadinol (9.1%), and borneol (8.4%) [51] | - |
| L. salvifolia | Sogamoso, Boyacá, and Bogotá D.C., Cundinamarca, Colombia | Whole plant (microwave-radiation-assisted hydrodistillation (MWHD)) | Camphor (10.3%), Limonene (9.7%), p-Mentha-1(7),8-diene (7.4%), α-Pinene (6.9%), γ-Terpinene (6.7%), Camphene (5.9%), β-Pinene (5.3%), and trans-Caryophyllene (5.1%) [52] | Moderate antiviral activity against human herpes viruses (HHV-1 and HHV-2) at the concentration of 100 mg/mL [52] |
| L. schiedeana | Herbario Nacional Colombiano, Universidad Nacional de Colombia, Bogotá, Colombia | Whole plant (steam distillation (SD), simultaneous steam distillation–solvent extraction (SDE), supercritical fluid extraction (SFE) and microwave-assisted solvent extraction (MWE)) [52] | Ledol (36.9% for SD), d-3-Carene (22.0% for SDE), β-Pinene (8.04% for SDE), α-Terpinene (6.1% for SDE), and Myrcene (~5% for SD) [53]. In other research: Δ3-carene (21.4%), ledol (16.3%), β-pinene (11.3%), β-phellandrene (11.1%), and γ-terpinene (9.5%) [53] | Exhibited in vitro antioxidant activity [53,54]. Antioxidants BHA, vitamin E, and Trolox. The essential oils had a stronger protective effect against lipid peroxidation than BHA, vitamin E, and Trolox within the range of concentrations examined (1–20 g L–1) [55] |
| L. urbanii | La Vega, Dominican Republic | Leaves (steam distillation) | d-car-3-ene (32.55%), α-copaene (13.82), and d- cadinene (12.51) [56] | - |
| L. vulcanicola | Bogotá D.C., Cundinamarca, Colombia | Whole plant (microwave-radiation-assisted hydrodistillation (MWHD)) | Limonene (18.9%), Germacrene D (10.4%), 1-Octen-3-ol (8.8%), trans-β-Caryophyllene (8.7%), α-Pinene (8.2%), and Bicyclogermacrene (5%) [52] | Anti-herpetic activity, with Rf values of 1 × 102 and 1 × 103 against one Tissue Culture Infectious Dose 50 (TCID50) of HHV-1 and HHV-2 [52] |
| Scientific Name | Common Name | Ethnopharmacology and Traditional Uses |
|---|---|---|
| L. caulescens | Commonly known as “Bretónica” [70] | Different morphological structures and preparations are used for gastrointestinal ailments, diarrhea, and hypoglycemia [36]; for vomiting, diabetes, hypertension, and related diseases [71,72,73]; for dysmenorrhea and as an abortifacient [10]; and for stomach ailments [6] |
| L. chamaedryoides | Known as “Alhuelahuén” or “Male sage” | Emmenagogue and anti-inflammatory properties as an infusion [38] |
| L. floribunda | Local name: “Salvia morada” [42] | Antiseptic properties [74] |
| L. graveolens | White sage | As an infusion for the treatment of stomach ailments [23] |
| L. hastata | Locally known as “Chicura de la Sierra”, “Lavanda”, and “Lengua de buey” | Uterine infections as a root decoction [73] |
| L. meyeni | “Pampa salvia”, “Saluya” [41] | Treatment of coughs and diarrhea, antispasmodic [66]; digestive and carminative [67] |
| L. mutica | “Shalshon” in Kichwa or “Casa casa” in Spanish | “Espanto” (startle) [72] |
| L. paniculata | “Yayllon” or “Llanllum” in Kichwa | “Mal de aire”, a sort of evil eye, and against headache; flower infusions are used to treat nervous diseases [72] |
| L. radula | “Shalshon” or “Zhalshon” in Kichwa | The leaves are used to treat “mal de aire” and aches in muscles and bones [72] |
| L. schiedeana | “Salvia negra” | Skin irritations, muscle fatigue, and as a diuretic [53]; decoction used as a remedy for stomachache and kidney infections [71] |
| Country | Lepechinia spp. | Part of Plant | Extraction | Type of Study | Reference |
|---|---|---|---|---|---|
| Colombia, Ecuador | L. betonicifolia | Aerial parts | Hydrodistillation, microwave-assisted hydrodistillation (MWHD) | Essential oil and biological activity (insecticide repellent, anticholinesterase activity) | [33,34] |
| Colombia, Venezuela | L. bullata | Leaves | Hydrodistillation, petroleum ether (PE) extract | Essential oil and phytochemistry | [21,22] |
| United States | L. calycina | Aerial parts | Hydrodistillation | Essential oil | [35] |
| Mexico | L. caulescens | Aerial parts, inflorescences, leaves | Acetone, dichloromethane, hexane, ethyl Acetate (EtOAc), and methanol (MeOH) extracts, hydrodistillation | phytochemistry, biological acivitity (spasmolytic effect, vasorelaxant activity, anti-vibrio cholerae activity) | [6,10,11,12,36,65,73] |
| Chile | L. chamaedryoides | Aerial parts, leaves | Hydrodistillation, petroleum ether (PE), and EtOAc extracts | Essential oil, biological acivitity (gastroprotective effect, cytotoxicity activity, and insecticidal activity) | [20,37,38] |
| Venezuela | L. conferta | Leaves, flowers | Hydrodistillation | Essential oil | [32] |
| Argentina, Bolivia | L. floribunda | Aerial parts, dry flowers, leaves | Hydrodistillation, steam distillation (SD) | Essential oil and biological activity (antimicrobial activity, antibacterial activity) | [39,40,41,42,74] |
| Bolivia | L. graveolens | Aerial parts, leaves | MeOH extract, steam distillation (SD) | Biological activity (antioxidant activity), essential oil, phytochemistry | [23,41] |
| Mexico, United States | L. hastata | Aerial parts | Acetone extract, petroleum ether (PE), chloroform and ethanol extracts | Phytochemistry, biological activity (antimicrobial activity) | [18,67,68] |
| Ecuador | L. heteromorpha | Aerial parts | Hydrodistillation | Essential oil | [28] |
| Bolivia, Peru | L. meyenii | Leaves, aerial parts | Acetone extract, steam distillation (SD), ethanol, MeOH and water extracts | Essential oil, phytochemistry, biological activity (antimicrobial activity, antioxidant activity), phenolic compounds) | [18,41,43,44,69,70] |
| Ecuador | L. mutica | Leaves and flowers | Ethyl Acetate (EtOAc) extract and hydrodistillation | Essential oil, phytochemistry, and biological activity (Antifungal activity, anticholinesterase activity, acaricidal activity) | [29,30,45,46,47,75] |
| Ecuador | L. paniculata | Aerial parts, leaves | Ethyl Acetate (EtOAc) extract, hydrodistillation | Essential oil, phytochemistry | [28,48,49] |
| Ecuador | L. radula | Aerial parts, leaves | Ethyl Acetate (EtOAc) extract, hydrodistillation | Essential oil, phytochemistry | [28,50] |
| Venezuela | L. salviaefolia | Leaves | Hydrodistillation | Essential oil | [51] |
| Colombia | L. salvifolia | Whole plants | Microwave-radiation-assisted hydrodistillation (MWHD) | Essential oil and biological activity (antiviral activity) | [52] |
| Colombia, Costa Rica | L. schiedeana | Aerial parts, leaves, flowers, whole plants | Hydrodistillation, steam distillation (SD) | Essential oil and biological activity (antiviral activity, antioxidant activity, radical scavenging activity) | [53,54,55,71] |
| Brazil | L. speciosa | Aerial parts | Ethanol extract | Phytochemistry and biological activity (antiviral and cytotoxic activity) | [5,31] |
| Dominican Republic | L. urbanii | Leaves | Steam distillation (SD) | Essential oil | [56] |
| Colombia | L. vulcanicola | Whole plants | Microwave-radiation-assisted hydrodistillation (MWHD) | Biological activity (antiviral activity) | [52] |
Disclaimer/Publisher’s Note: The statements, opinions and data contained in all publications are solely those of the individual author(s) and contributor(s) and not of MDPI and/or the editor(s). MDPI and/or the editor(s) disclaim responsibility for any injury to people or property resulting from any ideas, methods, instructions or products referred to in the content. |
© 2024 by the authors. Licensee MDPI, Basel, Switzerland. This article is an open access article distributed under the terms and conditions of the Creative Commons Attribution (CC BY) license (https://creativecommons.org/licenses/by/4.0/).
Share and Cite
Ramírez, J.; Gilardoni, G.; Radice, M.; Morocho, V. Phytochemistry, Bioactivity, and Ethnopharmacology of the Genus Lepechinia Willd. (Lamiaceae): A Review. Plants 2024, 13, 481. https://doi.org/10.3390/plants13040481
Ramírez J, Gilardoni G, Radice M, Morocho V. Phytochemistry, Bioactivity, and Ethnopharmacology of the Genus Lepechinia Willd. (Lamiaceae): A Review. Plants. 2024; 13(4):481. https://doi.org/10.3390/plants13040481
Chicago/Turabian StyleRamírez, Jorge, Gianluca Gilardoni, Matteo Radice, and Vladimir Morocho. 2024. "Phytochemistry, Bioactivity, and Ethnopharmacology of the Genus Lepechinia Willd. (Lamiaceae): A Review" Plants 13, no. 4: 481. https://doi.org/10.3390/plants13040481
APA StyleRamírez, J., Gilardoni, G., Radice, M., & Morocho, V. (2024). Phytochemistry, Bioactivity, and Ethnopharmacology of the Genus Lepechinia Willd. (Lamiaceae): A Review. Plants, 13(4), 481. https://doi.org/10.3390/plants13040481

