Beneficial Effect of Exogenously Applied Calcium Pyruvate in Alleviating Water Deficit in Sugarcane as Assessed by Chlorophyll a Fluorescence Technique
Abstract
1. Introduction
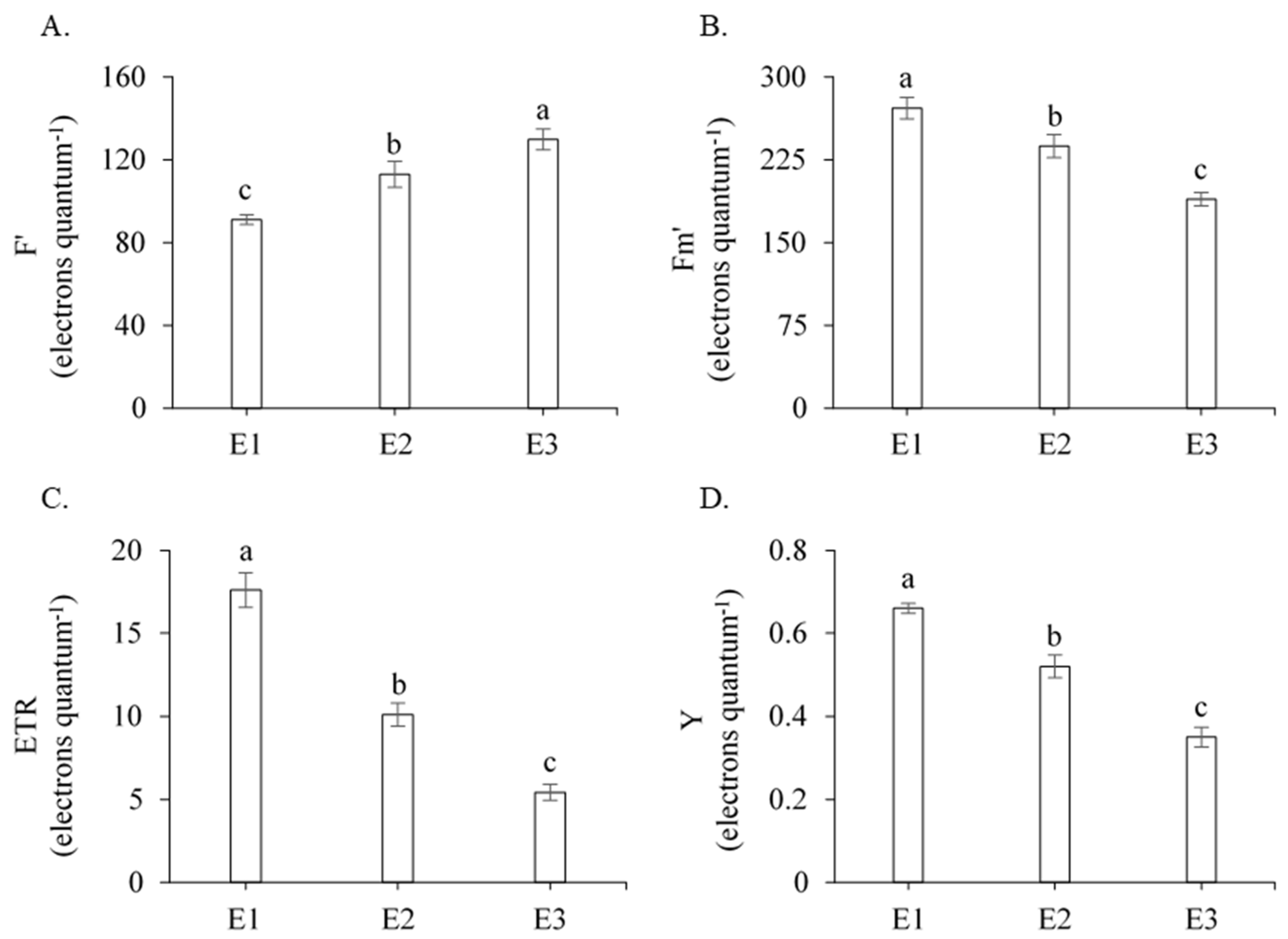
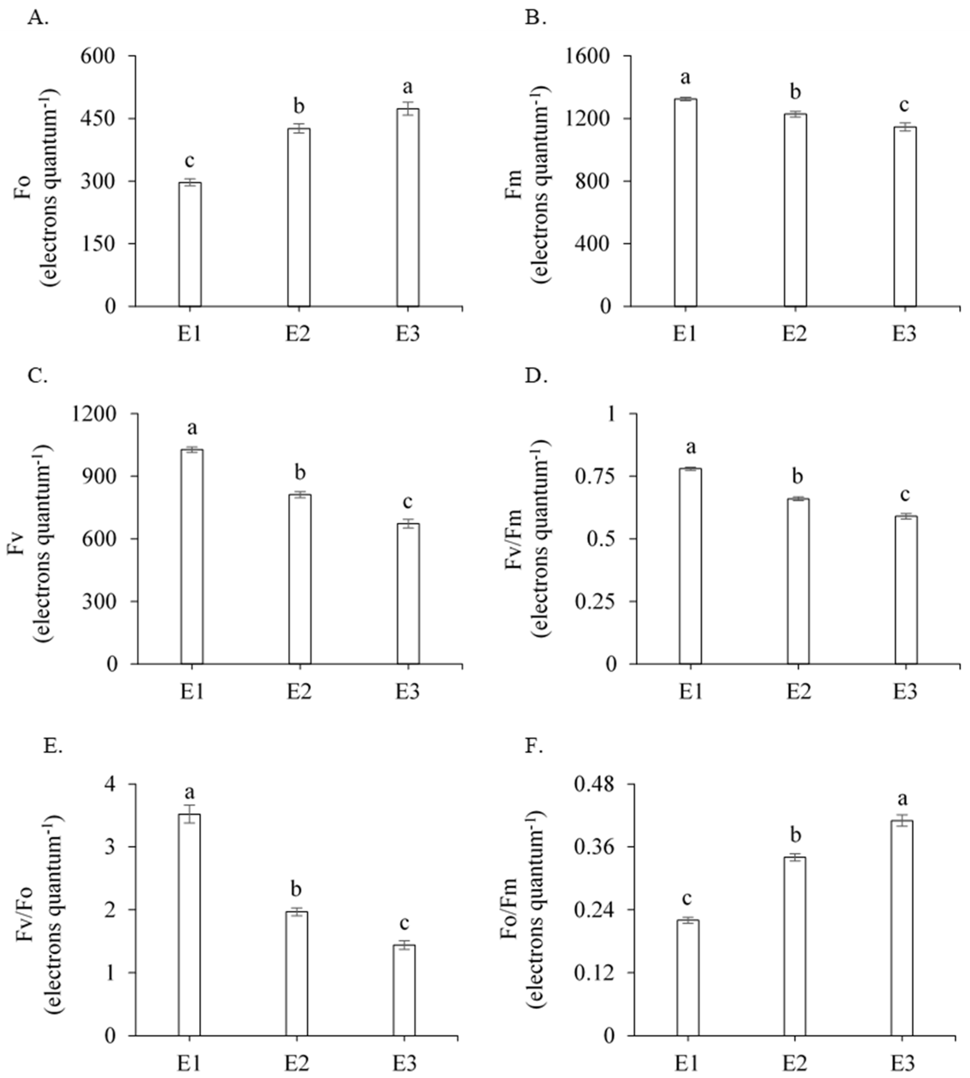
2. Results and Discussion
2.1. Multivariate Data Analysis
2.1.1. Cluster Analysis
2.1.2. Principal Component Analysis
3. Materials and Methods
3.1. Location of This Experiment
3.2. Treatments and Experimental Design
3.3. Description of the Experiment
- VI—the water volume to be used in the irrigation event (mL);
- Va—the volume applied in the previous irrigation event (mL); and
- Vd—the volume drained, quantified on the next morning (mL).
3.4. Variables Analyzed
- ABS470, ABS663, and ABS647—the absorbances at 480, 663, and 645 nm, respectively;
- V—the volume of 80% acetone used in extraction (mL); and
- FW—the fresh matter (g).
3.5. Statistical Analysis
4. Conclusions
Author Contributions
Funding
Data Availability Statement
Acknowledgments
Conflicts of Interest
References
- Pan, S.; Zabed, H.M.; Wei, Y.; Qi, X. Technoeconomic and environmental perspectives of biofuel production from sugarcane bagasse: Current status, challenges and future outlook. Ind. Crops Prod. 2022, 188, 115684. [Google Scholar] [CrossRef]
- Hoang, D.T.; Hiroo, T.; Yoshinobu, K. Nitrogen use efficiency and drought tolerant ability of various sugarcane varieties under drought stress at early growth stage. Plant Prod. Sci. 2019, 22, 250–261. [Google Scholar] [CrossRef]
- Mohanraj, K.; Hemaprabha, G.; Vasantha, S. Biomass yield, dry matter partitioning and physiology of commercial and Erianthus introgressed sugarcane clones under contrasting water regimes. Agric. Water Manag. 2021, 255, 107035. [Google Scholar] [CrossRef]
- Ebid, M.; Salim, B.; El-Gabry, Y. Evaluation of some sugarcane genotypes under drought condition. Sci. J. Agric. Sci. 2021, 3, 123–132. [Google Scholar] [CrossRef]
- Feijó, A.R.; Viana, V.E.; Balbinot, A.; Fipke, M.V.; Souza, G.M.; do Amarante, L.; Avila, L.A. Vegetative stage induces tolerance to high temperature during anthesis in rice. Plants 2023, 12, 3133. [Google Scholar] [CrossRef] [PubMed]
- Kumar, R.; Sagar, V.; Verma, V.C.; Kumari, M.; Gujjar, R.S.; Goswami, S.K.; Jha, S.K.; Pandey, H.; Dubey, A.K.; Srivastava, S.; et al. Drought and salinity stresses induced physio-biochemical changes in sugarcane: An overview of tolerance mechanism and mitigating approaches. Front. Plant Sci. 2023, 14, 1225234. [Google Scholar] [CrossRef] [PubMed]
- Martinazzo, E.G.; Perboni, A.T.; Oliveira, P.V.; Bianchi, V.J.; Bacarin, M.A. Photosynthetic activity in japanese plum under water deficit and flooding. Cienc. Rural 2013, 43, 35–41. [Google Scholar] [CrossRef]
- Sales, C.R.; Ribeiro, R.V.; Silveira, J.A.; Machado, E.C.; Martins, M.O.; Lagôa, A.M.M. Superoxide dismutase and ascorbate peroxidase improve the recovery of photosynthesis in sugarcane plants subjected to water deficit and low substrate temperature. Plant Physiol. Biochem. 2013, 73, 326–336. [Google Scholar] [CrossRef]
- Yang, Y.; Nan, R.; Mi, T.; Song, Y.; Shi, F.; Liu, X.; Wang, Y.; Sun, F.; Xi, Y.; Zhang, C. Rapid and nondestructive evaluation of wheat chlorophyll under drought stress using hyperspectral imaging. Int. J. Mol. Sci. 2023, 24, 5825. [Google Scholar] [CrossRef]
- Baker, N.R. Chlorophyll fluorescence: A probe of photosynthesis in vivo. Annu. Rev. Plant Biol. 2008, 59, 89–113. [Google Scholar] [CrossRef]
- Li, N.; Pu, K.; Ding, D.; Yang, Y.; Niu, T.; Li, J.; Xie, J. Foliar Spraying of Glycine Betaine Alleviated Growth inhibition, photoinhibition, and oxidative stress in pepper (Capsicum annuum L.) seedlings under low temperatures combined with low light. Plants 2023, 12, 2563. [Google Scholar] [CrossRef] [PubMed]
- Silva, M.A.; Santos, C.M.; Arantes, M.T.; Brunelli, M.C.; Holanda, L.A. Respostas fisiológicas de cultivares de cana-de-açúcar submetidas à deficiência hídrica e a reidratação. Rev. Caatinga 2013, 26, 28–35. [Google Scholar]
- Souza, J.L.; Santos, R.B.; Nunes, V.V.; Torres, M.F.O.; Calazans, C.C.; Junior, L.F.G.O.; Silva-Mann, R. Déficit hídrico no desenvolvimento de cultivares de cana-de-açúcar. Global Sci. Technol. 2020, 13, 196–210. [Google Scholar]
- Verma, K.K.; Anas, M.; Chen, Z.; Rajput, V.D.; Malviya, M.K.; Verma, C.L.; Singh, R.K.; Singh, P.; Song, X.P.; Li, Y.R. Silicon supply improves leaf gas exchange, antioxidant defense system and growth in Saccharum officinarum responsive to water limitation. Plants 2020, 9, 1032. [Google Scholar] [CrossRef] [PubMed]
- Leanasawat, N.; Kosittrakun, M.; Lontom, W.; Songsri, P. Physiological and agronomic traits of certain sugarcane genotypes grown under field conditions as influenced by early drought stress. Agronomy 2021, 11, 2319. [Google Scholar] [CrossRef]
- Barbosa, D.D.; Fernandes, P.D.; Marcelino, A.D.A.L.; Silva, F.A.; Dias, M.S.; Silva, C.R.C.; Santos, R.C. Exogenous pyruvate mitigates the detrimental effects of water stress in contrasting peanut genotypes. Genet. Mol. Res. 2021, 20, 1–14. [Google Scholar] [CrossRef]
- Silva, F.A.; Dias, M.S.; Fernandes, P.D.; Marcelino, A.D.A.L.; Lima, A.M.; Pereira, R.F.; Barbosa, D.D.; Silva, M.F.C.; Silva, A.A.R.; Santos, R.C. Pyruvic acid as attenuator of water deficit in cotton plants varying the phenological stage. Braz. J. Biol. 2023, 83, e272003. [Google Scholar] [CrossRef]
- Dias, M.S.; Fernandes, P.D.; Silva, F.A.; Marcelino, A.D.A.L.; Barbosa, D.D.; Santos, R.C.; Reis, L.S.; Lima, V.L.A. Pyruvate supplementation in cotton under water restriction varying the phenological phases. Acta Sci. Agron. 2023, 45, e61973. [Google Scholar] [CrossRef]
- Taiz, L.; Zeiger, E.; Moller, I.M.; Murphy, A. Fisiologia e Desenvolvimento Vegetal, 6th ed.; Artmed: Porto Alegre, Brazil, 2017; 858p. [Google Scholar]
- Baker, N.R.; Rosenqvist, E. Applications of chlorophyll fluorescence can improve crop production strategies: An examination of future possibilities. J. Exp. Bot. 2004, 55, 1607–1621. [Google Scholar] [CrossRef]
- Lima, G.S.; Dias, A.S.; Soares, L.A.A.; Gheyi, H.R.; Nobre, R.G.; Silva, A.A.R. Eficiência fotoquímica, partição de fotoassimilados e produção do algodoeiro sob estresse salino e adubação nitrogenada. Rev. Ciênc. Agrár. 2019, 43, 214–225. [Google Scholar] [CrossRef]
- Rousseau, C.; Belin, É.; Bove, E.; Rousseau, D.; Fabre, F.; Berruyer, R.; Guillaumès, J.; Manceau, C.; Jacques, M.; Boureau, T. High throughput quantitative phenotypingof plant resistance using chlorophyll fluorescence image analysis. Plant Methods 2013, 9, 17. [Google Scholar] [CrossRef] [PubMed]
- Bolhàr-Nordenkampf, H.R.; Long, S.P.; Baker, N.R.; Öquist, G.; Schreider, U.; Lechner, E.G. Chlorophyll fluorescence as probe of the photosynthetic competence of leaves in the field: A review of current instrument. Funct. Ecol. 1989, 3, 497–514. [Google Scholar] [CrossRef]
- Silva, M.A.; Jifon, J.L.; Silva, J.A.G.; Santos, C.M.; Sharma, V. Relationships between physiological traits and productivity of sugarcane in response to water deficit. J. Agric. Sci. 2014, 152, 104–118. [Google Scholar] [CrossRef]
- García-Sánchez, F.; Simón-Grao, S.; Martínez-Nicolás, J.J.; Alfosea-Simón, M.; Liu, C.; Chatzissavvidis, C.; Pérez-Pérez, J.G.; Cámara-Zapata, J.M. Multiple stresses occurring with boron toxicity and deficiency in plants. J. Hazard. Mater. 2020, 397, e122713. [Google Scholar] [CrossRef] [PubMed]
- Silva, P.P.; Soares, L.; Costa, J.G.; Silva Viana, L.; Andrade, J.C.F.; Gonçalves, E.R.; Santos, J.M.; Barbosa, G.V.S.; Nascimento, V.X.; Todaro, A.R.; et al. Path analysis for selection of drought tolerant sugarcane genotypes through physiological components. Ind. Crops Prod. 2012, 37, 11–19. [Google Scholar] [CrossRef]
- Kumar, D.; Singh, H.; Raj, S.; Soni, V. Chlorophyll a fluorescence kinetics of mung bean (Vigna radiata L.) grown under artificial continuous light. Biochem. Biophys. Rep. 2020, 24, e100813. [Google Scholar] [CrossRef]
- Herritt, M.T.; Pauli, D.; Mockler, T.C.; Thompson, A.L. Chlorophyll fluorescence imaging captures photochemical efficiency of grain sorghum (Sorghum bicolor) in a field setting. Plant Methods 2020, 16, 109. [Google Scholar] [CrossRef]
- Verma, K.K.; Song, X.P.; Zeng, Y.; Guo, D.J.; Singh, M.; Rajput, V.D.; Malviya, M.K.; Wei, K.J.; Sharma, A.; Li, D.P.; et al. Foliar application of silicon boosts growth, photosynthetic leaf gas exchange, antioxidative response and resistance to limited water irrigation in sugarcane (Saccharum officinarum L.). Plant Physiol. Biochem. 2021, 166, 582–592. [Google Scholar] [CrossRef]
- Ruban, A.V. Nonphotochemical chlorophyll fluorescence quenching: Mechanism and effectiveness in protecting plants from photodamage. Plant Physiol. 2016, 170, 1903–1916. [Google Scholar] [CrossRef]
- Simkin, A.J.; Kapoor, L.; Doss, C.G.P.; Hofmann, T.A.; Lawson, T.; Ramamoorthy, S. The role of photosynthesis related pigments in light harvesting, photoprotection and enhancement of photosynthetic yield in planta. Photosynth. Res. 2022, 152, 23–42. [Google Scholar] [CrossRef]
- Verma, K.K.; Song, X.P.; Lin, B.; Guo, D.J.; Singh, M.; Rajput, V.D.; Singh, R.K.; Singh, P.; Sharma, A.; Malviya, M.K.; et al. Silicon induced drought tolerance in crop plants: Physiological adaptation strategies. Silicon 2022, 14, 2473–2487. [Google Scholar] [CrossRef]
- Spinoso-Castillo, J.L.; Moreno-Hernández, M.D.R.; Mancilla-Álvarez, E.; Sánchez-Segura, L.; Sánchez-Páez, R.; Bello-Bello, J.J. Arbuscular Mycorrhizal Symbiosis improves ex vitro acclimatization of sugarcane plantlets (Saccharum spp.) under drought stress conditions. Plants 2023, 12, 687. [Google Scholar] [CrossRef] [PubMed]
- Hnilicka, F.; Lysytskyi, S.; Rygl, T.; Hnilickova, H.; Pecka, J. Effect of Short-Term Water Deficit on Selected Physiological Properties of Wheat (Triticum aestivum L.) Plants. Agronomy 2023, 13, 2892. [Google Scholar] [CrossRef]
- Stefanov, M.; Rashkov, G.; Borisova, P.; Apostolova, E. Sensitivity of the Photosynthetic Apparatus in Maize and Sorghum under Different Drought Levels. Plants 2023, 12, 1863. [Google Scholar] [CrossRef] [PubMed]
- Yousaf, M.I.; Riaz, M.W.; Shehzad, A.; Jamil, S.; Shahzad, R.; Kanwal, S.; Ghani, A.; Ali, F.; Abdullah, M.; Ashfaq, M.; et al. Responses of maize hybrids to water stress conditions at different developmental stages: Accumulation of reactive oxygen species, activity of enzymatic antioxidants and degradation in kernel quality traits. PeerJ 2013, 11, e14983. [Google Scholar] [CrossRef] [PubMed]
- Maia Júnior, S.O.; Andrade, J.R.; Santos, C.M.; Santos, J.V.; Silva, L.K.S.; Clemente, P.R.A.; Ferreira, V.M.; Silva, J.V.; Endres, L. Foliar-applied glycine betaine minimizes drought stress-related impact to gas exchange and the photochemical efficiency of PSII in sugarcane. Theor. Exp. Plant Physiol. 2020, 32, 315–329. [Google Scholar] [CrossRef]
- Dias, M.S.; Silva, F.A.; Fernandes, P.D.; Farias, C.H.A.; Silva, I.J.; Silva, M.F.C.; Lima, R.F.; Lacerda, C.N.; Lima, A.M.; Lima, V.R.N.; et al. Calcium pyruvate in the attenuation of the water deficit on the agro-industrial quality of ratoon sugarcane. Braz. J. Biol. 2023, 83, e275046. [Google Scholar] [CrossRef]
- Shen, J.L.; Li, C.L.; Wang, M.; He, L.L.; Lin, M.Y.; Chen, D.H.; Zhang, W. Mitochondrial pyruvate carrier 1 mediates abscisic acid-regulated stomatal closure and the drought response by affecting cellular pyruvate content in Arabidopsis thaliana. BMC Plant Biol. 2017, 17, 217. [Google Scholar] [CrossRef]
- Teixeira, P.C.; Donagemma, G.K.; Fontana, D.; Teixeira, W.G. Manual de Métodos de Análise de Solo, 3rd ed.; Embrapa Solos: Brasília, Brazil, 2017; 573p. [Google Scholar]
- Van Genuchten, M.T. A closed-form equation for predicting the hydraulic conductivity on unsaturated soil. Soil Sci. Soc. Am. J. 1980, 44, 892–897. [Google Scholar] [CrossRef]
- Soares, L.A.A.; Fernandes, P.D.; Lima, G.S.; Silva, S.S.; Moreira, R.C.; Medeiros, T.L. Phytomass and production components of colored cotton under salt stress in different phenological stages. Rev. Bras. Eng. Agríc. Ambient. 2021, 25, 132–138. [Google Scholar] [CrossRef]
- Konrad, M.L.F.; Silva, J.A.B.; Furlani, P.R.; Machado, E.C. Trocas gasosas e fluorescência da clorofila em seis cultivares de cafeeiro sob estresse de alumínio. Bragantia 2005, 64, 339–347. [Google Scholar] [CrossRef]
- Oxborough, K.; Baker, N.R. An instrument capable of image chlorophyll a fluorescence from intact leaves at very low irradiance and at the cellular and subcellular levels of organization. Plant Cell Environ. 1997, 20, 1473–1483. [Google Scholar] [CrossRef]
- Kramer, D.M.; Johnson, G.; Kiirats, O.; Edwards, G.E. New fluorescence parameters for the determination of Q A redox state and excitation energy fluxes. Photosynth. Res. 2004, 79, 209. [Google Scholar] [CrossRef] [PubMed]
- Arnon, D.I. Copper enzymes in isolated chloroplasts. Polyphenoloxidase in Beta vulgaris. Plant Physiol. 1949, 24, 1. [Google Scholar] [CrossRef]
- Lichtenthaler, H.K. Chlorophylls and carotenoids: Pigments of photosynthetic biomembranes. In Methods in Enzymology; Packer, L., Douce, R., Eds.; Academic Press: Cambridge, MA, USA, 1987; Volume 148, pp. 350–382. [Google Scholar] [CrossRef]
- Ferreira, D.F. Sisvar: A computer analysis system to fixed effects split plot type designs. Braz. J. Biom. 2019, 37, 529–535. [Google Scholar] [CrossRef]
- Govaerts, B.; Sayre, K.D.; Lichter, K.; Dendooven, L.; Deckers, J. Influence of permanent planting in high bed and residue management on physical and chemical soil quality in rainfed corn/wheat systems. Plant Soil 2007, 291, 39–54. [Google Scholar] [CrossRef]
- Hair, J.F.; Black, W.C.; Babin, B.J.; Anderson, R.E.; Tatham, R.L. Análise Multivariada de Dados, 6th ed.; Tradução Sant’Anna, A.S., Ed.; Bookman: Porto Alegre, Brazil, 2009; 688p. [Google Scholar]
- Statsoft, Inc. Programa Computacional Statistica; 7.0; Statsoft: Hamburg, Germany, 2004; Available online: https://statsoft-academic.com.br (accessed on 10 September 2023).









| Sources of Variation | F-Test | |||||||||
|---|---|---|---|---|---|---|---|---|---|---|
| Fo | Fm | Fv | Fv/Fm | Fv/Fo | Fo/Fm | F′ | Fm′ | ETR | Y | |
| Strategies (E) | ** | ** | ** | ** | ** | ** | ** | ** | ** | ** |
| Genotype (G) | * | ** | * | ns | ns | ns | * | ** | ** | ns |
| G × E | ns | ns | ns | ns | ns | ns | ns | ns | ns | ns |
| Block | * | ** | ns | ns | ns | ns | ns | ns | ns | ns |
| CV (%) | 9.85 | 4.16 | 6.53 | 4.36 | 16.62 | 9.03 | 15.90 | 12.06 | 9.85 | 17.98 |
| NPQ | QCN | YNO | YNPQ | Chl a | Chl b | Car | ||||
| Strategies (E) | ** | ** | ** | ** | ** | ** | ** | |||
| Genotype (G) | ** | ** | * | ns | ** | ** | ** | |||
| G × E | ns | ns | ns | ns | ns | ns | ns | |||
| Block | ns | ns | ns | ns | ns | ns | ns | |||
| CV (%) | 14.96 | 2.96 | 18.69 | 19.92 | 18.50 | 17.91 | 13.83 | |||
| Principal Components | |||||||||
|---|---|---|---|---|---|---|---|---|---|
| PC1 | PC2 | ||||||||
| Eigenvalues (λ) | 13.54 | 2.02 | |||||||
| Percentage of Total Variance (S2%) | 79.65 | 12.01 | |||||||
| PCs | Correlation coefficient (r) | ||||||||
| Fo | Fm | Fv | Fv/Fm | Fv/Fo | Fo/Fm | F′ | Fm′ | Y | |
| PC1 | 0.94 * | −0.80 * | −0.96 * | −0.97 * | −0.96 * | 0.97 * | 0.76 * | −0.88 * | −0.97 * |
| PC2 | −0.11 | −0.40 | −0.18 | −0.04 | −0.10 | −0.04 | 0.50 | 0.44 | 0.10 |
| ETR | QCN | NPQ | YNPQ | YNO | Chl a | Chl b | Car | ||
| PC1 | −0.98 * | 0.68 | 0.69 | 0.95 * | 0.81 * | −0.94 * | −0.90 * | −0.93 * | |
| PC2 | −0.03 | −0.72 * | −0.71 * | −0.18 | 0.54 | −0.11 | −0.01 | −0.11 | |
| Chemical Attributes | Physical Attributes | |||
|---|---|---|---|---|
| Sand | 63.48% | |||
| pH | 6.50 | - | Silt | 25.14% |
| P | 79.0 | mg dm−3 | Clay | 11.38% |
| K+ | 0.24 | cmolc dm−3 | Soil density | 1.13 g cm−3 |
| Ca2+ | 9.50 | cmolc dm−3 | Particle density | 2.72 g cm−3 |
| Na+ | 0.51 | cmolc dm−3 | Porosity | 58.45% |
| Mg2+ | 5.40 | cmolc dm−3 | Sandy loam | |
| Al3+ | 0.00 | cmolc dm−3 | Matric potential (kPa) | Moisture (%) |
| H+ | 0.90 | cmolc dm−3 | Natural | 0.55 |
| SB | 15.65 | cmolc dm−3 | −10 | 24.86 |
| CEC | 16.55 | cmolc dm−3 | −33 | 17.05 |
| V | 94.56 | % | −100 | 12.57 |
| M | 0.00 | % | −500 | 9.01 |
| OM | 8.10 | g dm−3 | −1000 | 8.91 |
| −1500 | 8.84 | |||
| Water Deficit | Applications | ||||
|---|---|---|---|---|---|
| Period (DAR) | Total (Days) | Calcium Pyruvate | Water | Total | |
| Period (DAR) | |||||
| E1 | - | - | - | - | - |
| E2 | 24 to 64 and 182 to 211 | 71 | 39 to 63 and 192 to 210 | - | 23 |
| E3 | 24 to 64 and 182 to 211 | 71 | - | 39 to 63 and 192 to 210 * | 23 |
| Genotypes | 64 DAR | |||||
|---|---|---|---|---|---|---|
| E1 | E2 | E3 | ||||
| Moisture (cm3 cm−3) | Ψm (kPa) | Moisture (cm3 cm−3) | Ψm (kPa) | Moisture (cm3 cm−3) | Ψm (kPa) | |
| RB863129 | 0.259 | −18.6 | 0.149 | −207.9 | 0.138 | −305.8 |
| RB92579 | 0.240 | −25.9 | 0.143 | −254.6 | 0.145 | −237.5 |
| RB962962 | 0.240 | −25.9 | 0.142 | −263.7 | 0.141 | −273.3 |
| RB021754 | 0.266 | −16.5 | 0.145 | −237.5 | 0.139 | −294.1 |
| RB041443 | 0.244 | −24.1 | 0.149 | −207.9 | 0.148 | −214.8 |
| 211 DAR | ||||||
| E1 | E2 | E3 | ||||
| Moisture (cm3 cm−3) | Ψm (kPa) | Moisture (cm3 cm−3) | Ψm (kPa) | Moisture (cm3 cm−3) | Ψm (kPa) | |
| RB863129 | 0.242 | −25.0 | 0.126 | −504.4 | 0.135 | −342.9 |
| RB92579 | 0.257 | −19.2 | 0.133 | −371.6 | 0.131 | −403.9 |
| RB962962 | 0.240 | −25.9 | 0.133 | −371.6 | 0.133 | −371.6 |
| RB021754 | 0.234 | −28.8 | 0.127 | −481.6 | 0.129 | −440.9 |
| RB041443 | 0.256 | −19.6 | 0.130 | −421.6 | 0.131 | −403.9 |
Disclaimer/Publisher’s Note: The statements, opinions and data contained in all publications are solely those of the individual author(s) and contributor(s) and not of MDPI and/or the editor(s). MDPI and/or the editor(s) disclaim responsibility for any injury to people or property resulting from any ideas, methods, instructions or products referred to in the content. |
© 2024 by the authors. Licensee MDPI, Basel, Switzerland. This article is an open access article distributed under the terms and conditions of the Creative Commons Attribution (CC BY) license (https://creativecommons.org/licenses/by/4.0/).
Share and Cite
Dias, M.d.S.; da Silva, F.d.A.; Fernandes, P.D.; Farias, C.H.d.A.; de Lima, R.F.; da Silva, M.d.F.C.; Lima, V.R.d.N.; de Lima, A.M.; de Lacerda, C.N.; Reis, L.S.; et al. Beneficial Effect of Exogenously Applied Calcium Pyruvate in Alleviating Water Deficit in Sugarcane as Assessed by Chlorophyll a Fluorescence Technique. Plants 2024, 13, 434. https://doi.org/10.3390/plants13030434
Dias MdS, da Silva FdA, Fernandes PD, Farias CHdA, de Lima RF, da Silva MdFC, Lima VRdN, de Lima AM, de Lacerda CN, Reis LS, et al. Beneficial Effect of Exogenously Applied Calcium Pyruvate in Alleviating Water Deficit in Sugarcane as Assessed by Chlorophyll a Fluorescence Technique. Plants. 2024; 13(3):434. https://doi.org/10.3390/plants13030434
Chicago/Turabian StyleDias, Mirandy dos Santos, Francisco de Assis da Silva, Pedro Dantas Fernandes, Carlos Henrique de Azevedo Farias, Robson Felipe de Lima, Maria de Fátima Caetano da Silva, Vitória Régia do Nascimento Lima, Andrezza Maia de Lima, Cassiano Nogueira de Lacerda, Lígia Sampaio Reis, and et al. 2024. "Beneficial Effect of Exogenously Applied Calcium Pyruvate in Alleviating Water Deficit in Sugarcane as Assessed by Chlorophyll a Fluorescence Technique" Plants 13, no. 3: 434. https://doi.org/10.3390/plants13030434
APA StyleDias, M. d. S., da Silva, F. d. A., Fernandes, P. D., Farias, C. H. d. A., de Lima, R. F., da Silva, M. d. F. C., Lima, V. R. d. N., de Lima, A. M., de Lacerda, C. N., Reis, L. S., Souza, W. B. B. d., Silva, A. A. R. d., & Arruda, T. F. d. L. (2024). Beneficial Effect of Exogenously Applied Calcium Pyruvate in Alleviating Water Deficit in Sugarcane as Assessed by Chlorophyll a Fluorescence Technique. Plants, 13(3), 434. https://doi.org/10.3390/plants13030434

