Abstract
Most of the phosphorus incorporated into agricultural soils through the use of fertilizers precipitates in the form of insoluble salts that are incapable of being used by plants. This insoluble phosphorus present in large quantities in soil forms the well-known “phosphorus legacy”. The solubilization of this “phosphorus legacy” has become a goal of great agronomic importance, and the use of phosphate-solubilizing bacteria would be a useful tool for this purpose. In this work, we have isolated and characterized phosphate-solubilizing bacteria from the rhizosphere of hop plants. Two particular strains, Pseudomonas taetrolens ULE-PH5 and Pseudomonas sp. ULE-PH6, were selected as plant growth-promoting rhizobacteria due to their high phosphate solubilization capability in both plate and liquid culture assays and other interesting traits, including auxin and siderophore production, phytate degradation, and acidic and alkaline phosphatase production. These strains were able to significantly increase phosphate uptake and accumulation of phosphorus in the aerial part (stems, petioles, and leaves) of hop plants, as determined by greenhouse trials. These strains are promising candidates to produce biofertilizers specifically to increase phosphate adsorption by hop plants.
1. Introduction
The productivity of agricultural soils around the world largely depends on the use of both organic and inorganic fertilizers to increase crop productivity. The use of these fertilizers aims to provide the nutrients required by the plant. Among these nutrients, phosphorus (P) plays an important role since it is involved in crucial biochemical processes including the biosynthesis of nucleic acids, lipid metabolism, especially the biosynthesis of phospholipids, which are essential components of cellular membranes, energy metabolism, and photosynthesis [1]. Its cycle in the biosphere can be described as “sedimentary”, because there is no interchange with the atmosphere, and unlike the case for nitrogen, no large atmospheric source can be made biologically available [2,3]. This fact determines that, with the current methods of production of P-based inorganic fertilizers, P can be considered a limited, non-renewable natural resource [4,5]. Indeed, P-enriched fertilizers are obtained from P extracted by mining techniques from phosphate rock. The main reserves of phosphate rock are located in China, Morocco, Russia, the USA, and South Africa [6]. Some studies suggest that at the current rate of mineral extraction, phosphate rock reserves could be depleted over the next two centuries, with more alarmist ones claiming it could even happen in the next 50 years [7].
Phosphorus is one of the most limited nutrients in global agriculture [8], particularly in tropical areas [9], due to its low availability in the soil. On average, the P content in soils is around 0.05% [2,3], although most of it (95–99%) is not available for plants due to its presence in the form of highly insoluble phosphates and fixing on organic matter [10]. In fact, less than 1% of total P in soils is present in the soil solution and is considered available to plants, and accordingly, P is a major limiting factor for plant growth and crop productivity [4,5]. In an attempt to reverse this situation, farmers all around the world fertilize their plots by adding large amounts of P-based mineral fertilizers or organic fertilizers rich in P to satisfy crop nutritional requirements. However, most of this P is almost immediately fixed by soils due to the precipitation of insoluble salts or linking to organic matter, leading to the accumulation in soils of a “legacy P” [5,11]. For all these reasons, this situation is unsustainable in the long term, especially if we take into consideration that the accumulation of “legacy P” in soils and potential transfer to water bodies ultimately leads to environmental concerns of eutrophication [12]. In this context, the use of phosphorus-solubilizing bacteria (PSB) could represent a promising management strategy for improving P-use efficiency. PSBs could also be an aid in the mobilization of this “legacy P”, which, according to some studies, would be enough to sustain maximum crop yields worldwide for about 100 years if they were mobilized [13,14].
PSBs have been isolated from a wide variety of environments, including agricultural and rhizosphere soils and different kinds of sludges. Most of the more efficient PSBs isolated belong to the Pseudomonas and Bacillus genera [4,11,15,16,17,18,19,20,21]. However, efficient phosphate solubilizing capability has also been reported for bacterial strains belonging to other genera such as Advenella and Burkholderia [21], Azotobacter and Azospirillum [22], Thiobacillus [4], Rhizobium [2,23], and Streptomyces [15,24].
Many of these strains have been tested on different annual crops, including barley [21,24], canola [22], maize [11,25], peanut [22,26], potato [22], sesame [27], sorghum [22], soybean [28], wheat [23], and wild mint [29], to cite some of the most representative examples.
PSBs have the ability to use different molecular mechanisms for inorganic phosphate solubilization and mobilization [30,31]. Among these mechanisms, acidolysis, which involves the secretion of organic (a common trait), or inorganic acids (a rarer trait), is one of the most important. In fact, the secretion of organic acids like acetic, butyric, fumaric, glutamic, 2-ketogluconic, lactic, malic, malonic, oxalic, propionic, saccharinic, succinic, and tartaric acids during microbial growth is well documented [21,32,33]. Organic phosphate-containing compounds can account for up to 30–50% of the total amount of P present in soils, primarily in the form of inositol phosphate (soil phytate). Other organic phosphorus compounds present in soils include phosphomonoesters, phosphodiesters, phospholipids, nucleic acids, and phosphotriesters. Additionally, large quantities of xenobiotics, such as pesticides, detergents, antibiotics, and flame retardants, that are regularly released into the environment are also known to contain organic P [30]. Phosphorus present in phytates can be mobilized by specialized phytase enzymes [34]. On the other hand, mineralization of P present in other organophosphorus compounds is mainly carried out by dephosphorilation, which is catalyzed by different enzymes, including phosphatases (both acidic and alkaline) and C-P cleaving enzymes [4,31,35]. Chelation and complexation are two other important mechanisms of P solubilization, which are mainly mediated by the production and secretion of siderophores [35,36] and extracellular polysaccharides [37]. Siderophores are small molecules with low molecular weights, and under low iron stress, phosphate-dissolving bacteria produce siderophores that chelate Fe3+, Al3+, and Ca2+ in the soil, releasing phosphate ions for phosphate dissolution [31,38]. Finally, soil P can be mobilized by reductive dissolution of Fe(Al)-complexed organic P [38,39].
This work is focused on the isolation and characterization of phosphate-solubilizing bacteria (PSBs) isolated from the rhizosphere environment of hop plants. The best solubilizing isolates were characterized by analyzing other interesting traits for plant growth promotion and tested in pot trials in a greenhouse to analyze their capability to enhance P assimilation by the plant. The final objective of this work is to demonstrate that PSBs can also be beneficial for perennial crops by stimulating P uptake and assimilation by the plant or producing any change in nutritional properties after treatment.
2. Results
2.1. Isolation of Phosphate-Solubilizing Bacteria on Solid Media and Their Identification
A total of 634 bacterial isolates belonging to 63 morphologically distinct bacteria were isolated from hop plant rhizosphere soil. These isolates were identified based on easily observable macroscopic (size, color, appearance, colony shape, and pigment production) and microscopic (cellular morphology, spore production, and mobility) traits. When these isolates were replicated onto NBRIP solid agar plates, 113 isolates (17.82% of the tested isolates) were able to produce clear halozones, indicating phosphate solubilization. The Solubilization Index (SI) of the rhizosphere isolates ranged from 1.67 to 8.31, as estimated at 7 days after inoculation. The capability to degrade phytate was also tested by replicating all the isolates in phytase screening medium (PSM). A total of 87 isolates (13.72%) were able to degrade phytate with a SI (estimated at 5 days of growth) ranging between 1.87 and 8.31%. Five strains exhibiting a SI value higher than 5.0 in both agar media were selected for molecular identification (Table 1).
Table 1.
Bacterial strains isolated from the rhizosphere of hop plants and selected based on Solubilization Index (SI) values greater than 5.0 in solid NBRIP and phytase screening media, along with their molecular identification by 16S rRNA and/or rpoD sequencing.
The sequencing of the 16s rRNA confirmed that four out of the five isolates (ULE-PH1, ULE-PH5, ULE-PH6, and ULE-PH12) belonged to the Pseudomonas sp. genus. However, only the ULE-PH1 and ULE-PH5 isolates could be identified at the species level. Indeed, isolate ULE-PH1 was identified as P. cedrina since the 16S rRNA sequence obtained showed 100% homology with several isolates belonging to this species, whereas the rpoD partial sequence showed a 99.35% homology to the corresponding gene of the same species (Table 1). This value was higher than 98.0% defined as the cutoff value to differentiate Pseudomonas sp. strains at the species level by using this molecular marker, according to [40]. Partial sequencing of the 16S rRNA gene from isolate ULE-PH5 showed inconclusive results since nucleotide homologies higher than 99.60% were obtained with several Pseudomonas species, including P. versuta, P. taetrolens, and P. fragi. However, partial sequencing of the rpoD marker allowed its identification as P. taetrolens (99.81%) (Table 1).
Isolate ULE-PH6 could not be assigned to a particular species of the genus Pseudomonas since nucleotide homologies higher than 99.8% were obtained with several species and rpoD nucleotide homologies higher than 98.0% were obtained with both P. alvandae and P. canavaninivorans species (Table 1), being this last a new species recently isolated from bean rhizosphere [41]. A similar situation was raised for the ULE-PH12 isolate since nucleotide homology higher than 99.90% for the 16S rRNA gene was detected. Sequencing of marker rpoD did not allow clear discrimination since homology higher than 98.00% was exhibited with P. atacamensis (99.02%) and P. fluorescens (98.53%).
Finally, isolate ULE-PH10 was identified as Bacillus nitratireducens since, although nucleotide homologies higher than 99.90% were detected with several Bacillus species, the partial sequence of the rpoB gene [42] showed a 99.46% homology with that particular species (Table 1).
2.2. Phosphate Solubilization in Liquid Medium
The ability to solubilize phosphate in NBRIP liquid medium was checked for all the strains listed in Table 1 up to 7 days of growth (Figure 1).
Figure 1.
Evolution of phosphate solubilization in NBRIP liquid medium by selected bacterial isolates. The data shown (with SD) are the average of three independent experiments.
Under the experimental conditions tested, Pseudomonas sp. ULE-PH6 exhibited the highest solubilization capacity, reaching a maximum value of 1100.45 μM of soluble orthophosphate in the culture supernatant at 144 h (6 d) of growth. The remaining strains demonstrated a similar maximum solubilization capability, ranging between 472.83 μM for P. taetrolens ULE-PH5 (54 h), 467.51 μM for P. cedrina ULE-PH1 (72 h), 339.86 μM for B. nitratireducens ULE-PH10 (120 h), and 318.00 μM for Pseudomonas sp. ULE-PH12 (Figure 1) at 144 h of growth. At the end of the experiment, the pH of the culture supernatant was measured and determined to be 4.7 (ULE-PH1 strain), 4.5 (ULE-PH5), 4.3 (ULE-PH6), 4.4 (ULE-PH10), and 4.3 (ULE-PH12). These data indicated that all the strains were able to acidify the culture broth from the initial pH value of 7.0 to the indicated pH values.
Further studies selected Pseudomonas sp. ULE-PH6 and P. taetrolens ULE-PH5 due to their higher phosphate solubilization capability in liquid media, combined with higher values of SI in PSM medium (Table 1), indicating a high capability to degrade phytate in solid media.
2.3. Biochemical and Physiological Characterization of Isolated ULE-PH5 and ULE-PH6 Strains by Using API Tests
To achieve a deeper biochemical and physiological characterization of strains ULE-PH5 and ULE-PH6, an API® 20 NE test was conducted. As shown in Table 2, both strains tested positive for the citochrome oxidase test, which is typical for strictly aerobic Pseudomonas sp. strains. However, both strains were unable to ferment glucose, although they could assimilate this sugar. They were also capable of assimilating arabinose, mannose, mannitol, gluconate, and capric, malic, and citric acids. The main differences between the two strains are that ULE-PH6 can reduce nitrate to nitrite and can assimilate N-acetyl glucosamine, while these traits are absent in strain ULE-PH5.
Table 2.
Characterization of biochemical and physiological traits of P. taeotroles ULE-PH5 and Pseudomonas sp. ULE-PH6 strains by using a standard API® 20 NE test.
We also carried out an API® 50 CH test that confirmed that both strains were able to efficiently oxidize D-glucose and D-mannose, whereas strain ULE-PH5 was also able to oxidize D-galactose (positive result at 24 h of incubation). ULE-PH5 was also able to oxidize slowly (positive result at 48 h of incubation) D-fructose, L-rhamnose, D-cellobiose, D-maltose, and D-melobiose. ULE-PH6 was able to slowly oxidize D-arabitol. Both strains were also able to slowly oxidize D-fucose.
2.4. Characterization of Miscellaneous Traits of Isolates ULE-PH5 and ULE-PH6
A study was conducted to test various traits of interest associated with PGPR to stimulate plant growth (Table 3). Both strains exhibited clear siderophore production in solid media. However, hydrogen cyanide (HCN) was only produced by the ULE-PH6 strain. Additionally, both strains were able to produce 3-indoleacetic acid (IAA), although strain ULE-PH5 exhibited a synthesis capacity of 59.29 μg/mL, practically double that detected in the ULE-PH6 strain (30.69 μg/mL). The ability to solubilize Zn was not detected in either of the two strains, whereas both strains were able to solubilize K (Table 3).
Table 3.
Miscellaneous traits and activities related to PGPR of the selected P. taeotroles ULE-PH5 and Pseudomonas sp. ULE-PH6 strains.
Although both strains were selected for their ability to solubilize inorganic phosphate in liquid medium, we also tested their ability to solubilize P associated with organic matter. Thus, we tested the phytase activity involved in the degradation of phytate, which is the main P storage compound in plants and is especially abundant in seeds [43]. Both strains exhibited a strong solubilization capability of phytate in solid media (Table 1). Accordingly, high activities of phytate degradation in liquid medium of 40.25 ± 1.71 mU/mL for ULE-PH5 and 43.38 ± 2.75 for ULE-PH6 were detected (Table 3).
The antifungal activity of isolates ULE-PH5 and ULE-PH6 against 2 of the most important fungal phytopathogens affecting hops, Fusarium sambucinum and Verticillium dahliae, was also tested. Unfortunately, the ULE-PH5 and ULE-PH6 strains exhibited very low antifungal activity against Fusarium sambucinum and Verticillium dahliae. The inhibition indexes of ULE-PH5 against F. sambucinum and V. dahliae were 34.2% and 25.3%, respectively. Similarly, the inhibition index of ULE-PH6 against F. sambucinum and V. dahliae was 36.6% and 24.0%, respectively.
Acid- and alkaline-phosphatases are important for the mineralization of phosphorus associated with organic matter [35]. Both activities were detected in the ULE-PH5 and ULE-PH6 strains. The levels of extracellular acidic phosphatases were considerably higher than the detected levels of extracellular alkaline phosphatases (Table 3). Acidic and alkaline phosphatases were also detected intracellularly, although their levels were, in all cases, lower than those detected outside the cell. In this case, levels of intracellular alkaline phosphatase were higher than those observed for acidic ones (Table 3).
2.5. Greenhouse Pot Experiments
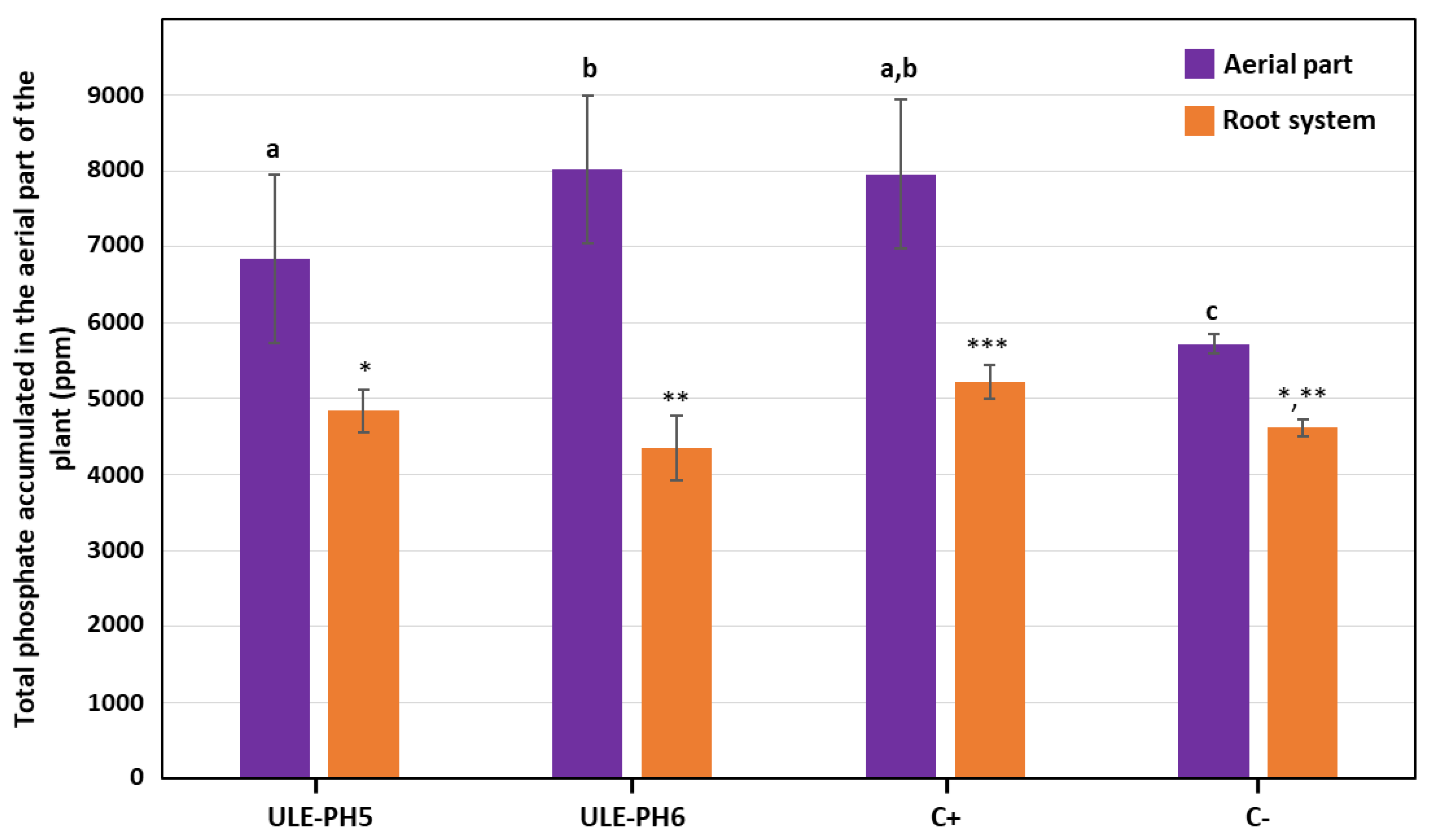
A pot experiment was carried out to test the capability of ULE-PH5 and ULE-PH6 strains to favour P assimilation by hop plants. Plants inoculated with both ULE-PH5 and ULE-PH6 strains were able to accumulate a significantly higher amount of P (6835 ± 1106.17 ppm and 8015 ± 979.02 ppm, respectively) in the aerial parts of the plants (stems, petioles, and leaves) than negative control plants (5718 ± 124.36 ppm) (Figure 2). The assimilation level of P in plants inoculated with ULE-PH6 was quite similar to the values observed in positive control plants (7955 ± 979.56 ppm), which had been irrigated with a solution containing soluble phosphate, whereas the assimilation level in plants inoculated with ULE-PH5 was slightly lower (Figure 2).
Figure 2.
Total phosphate accumulated in the aerial part of the plant (purple bars) and the root system (orange bars) at the end of the experiment. The negative control (C−) group consisted of plants irrigated with a plant nutrient solution lacking soluble phosphate and without the application of PSBs. The positive control (C+) group consisted of plants irrigated with the same plant nutrient solution supplemented with 0.2 g/L of soluble KH2PO4. The data presented corresponds to the average of 15 plants. Bars marked with the same letter are not significantly different (p ≥ 0.05). Bars marked with the same number of asterisks are not significantly different (p ≥ 0.05).
The accumulation of phosphate in the root system was not significantly different in negative control plants (4617.72 ± 115.70) and those inoculated with ULE-PH5 (4836.55 ± 282.79) and ULE-PH6 (4344 ± 428.56) strains. On the contrary, the root system of positive control plants contained significantly higher levels of phosphate (5225.14 ± 218.74) when compared with plants from other treatments (Figure 2).
When the growth rate was analyzed by testing the dry weight of aerial parts (a mix of stems, petioles, and leaves) and roots, no significant differences were detected (Figure 3).
Figure 3.
Growth data of hop plants inoculated with ULE-PH5 and ULE-PH6 strains as compared to negative control (untreated plants) (C−) and positive control (C+) plants (watered with a nutritive solution of soluble phosphate). The dry weight of the roots and aerial parts (stems, petioles, and leaves) of the plants are shown. The data indicated corresponds to the average of 15 plants. Bars marked with the same letter are not significantly different (p ≥ 0.05). Bars marked with the same letter are not significantly different (p ≥ 0.05).
3. Discussion
Sustainable agriculture is a farming practice that meets society’s present textile and food needs in a sustainable manner without compromising the ability of current or future generations to meet their needs. It is associated with several key principles, including the use of decreased amounts of non-renewable and unsustainable inputs [44]. In this context, phosphorus (P) is demanding increasing attention given that the only known source of P used in fertilizer production is a finite resource: phosphate rock. At the current rate of phosphate rock extraction, its reserves could be depleted over the next two centuries, with more alarmist estimates suggesting depletion within the next 50 years [7]. As previously indicated in Section 1, much of the P added to soils in high amounts during many years of intensive fertilization is rapidly sequestered into insoluble and not available to plants P. This fertilization strategy is known as low-P use efficiency (PUE), and it has finally resulted in the accumulation in agricultural soils all over the world of a “legacy P” [45]. After this accumulation phase, farmers in many industrialized countries have been able to increase their PUE, often by using the accumulated residual soil P reserves [45,46,47]. In this scenario, the use of biofertilizers based on phosphate-solubilizing bacteria (PSBs) is an interesting tool to take advantage of this “legacy P”.
Numerous studies have reported that the use of phosphate-solubilizing bacteria (PSBs) can increase the productivity of many different annual crops, such as barley, canola, maize, peanut, potato, sesame, sorghum, soybean, and wheat, among others [11,21,22,24,25,26,27,28,29], as previously indicated in Section 1. However, to our knowledge, no data regarding the use of PSBs in perennial crops has been reported. Hops are a dioecious perennial climber crop that every spring develops from a system of rhizomes that remains buried under the ground. Rhizomes can be active for long time periods; their average life span is between 12 and 15 years, although there are references to plantations that have exceeded 25 years, with a production level maintained over time [48].
The isolation of PSBs from the rhizosphere environment of hop plants indicated that 17.82% of the isolates could solubilize phosphate in solid NBRIP medium. This value was, however, considerably lower than the value of 61.5% of PSBs isolated from the rhizosphere of barley plants [21], which might suggest that the capability of different vegetable species to recruit PSBs to their rhizosphere could be different. The characterization of the 5 best phosphate solubilizers in solid NBRIP medium indicated that 4 of them (isolates ULE-PH1, ULE-PH5, ULE-PH6, and ULE-PH12) belonged to the Pseudomonas genus, whereas 1 belonged to the Bacillus genus (isolate ULE-PH10). Pseudomonas species were also the most frequently isolated PSBs from the rhizosphere of barley plants (9 out of the 17; 52.94%) [21], and the rhizosphere of shisham plants (7 out of 18 isolates; 38.89%) [49]. They were also dominant [50]. PSB species were isolated from Tunisian soils [50]. Other studies reviewed by Zhu et al. [5] have also indicated that Pseudomonas is one of the most frequently isolated PSBs associated with different crops. Therefore, we can conclude that Pseudomonas seems to play a crucial, or at least an important, role from a quantitative point of view in the phosphate solubilization in the rhizosphere of many different vegetal species.
After analyzing phosphate solubilization in liquid media, a clear acidification of the culture supernatant was observed. At the end of the experiment, the pH values of the NBRIP medium ranged from 4.3 (ULE-PH6 and ULE-PH12 strains) to 4.7 (ULE-PH1), which were significantly lower than the initial pH of 7.0. The production of organic acids is a well-known mechanism used by many bacterial strains to solubilize phosphate [21,30,40,41]. These organic acids are produced in the periplasmic space by direct oxidation [51]. The release of these organic acids into the environment is accompanied by a decrease in pH [30]. Under low pH conditions, these organic acids can chelate metal ions in the soil (Fe3+, Al3+, and Ca2+) via hydroxyl and carbonyl groups. Their Ca2+ chelation ability is most significant, and they compete with phosphates for P adsorption sites in the soil, enhancing the soil uptake of phosphate and increasing the solubilizing capacity of inorganic P, resulting in increased solubility and availability of mineral phosphates [52]. In fact, it has been reported that different Pseudomonas species isolated from the rhizosphere of barley plants were able to produce and excrete from the culture supernatant different organic acids like citric, formic, and tartaric acids [21]. Although the production of different organic acids was not analyzed in our case, the data obtained from API® 50 CH tests carried out for the ULE-PH5 and ULE-PH6 strains indicated that both strains are able to efficiently oxidize D-glucose and D-mannose, whereas strain ULE-PH5 was also able to oxidize D-galactose to produce, respectively, D-gluconic acid, D-mannaric acid, and D-Galactaric Acid. ULE-PH5 was also able to slowly oxidize D-fructose, L-rhamnose, D-cellobiose, D-maltose, and D-melobiose, whereas ULE-PH6 was able to slowly oxidize D-arabitol. Therefore, they could potentially produce the respective corresponding organic acids that could contribute to P solubilization.
The selection of PSBs is frequently carried out by taking into account other parameters or traits that are considered beneficial to promote plant growth and health. For instance, ULE-PH5 and ULE-PH6 isolates were found to produce Indole-3-Acetic Acid (IAA), which is considered one of the most important phytohormones [36,53]. IAA is an auxin that is related to the development of roots and leaves, such as lateral root elongation and leaf growth [1]. IAA production by rhizobacteria could also help activate the non-native plant response to resist biotic and abiotic stress conditions [1]. Therefore, it is expected that those strains that produce higher levels of IAA will enhance crop development [54,55] However, in the plant assays carried out, the plants inoculated with ULE-PH5 and ULE-PH6 strains did not show a higher root development than those plants of the negative and positive control. This data suggests that IAA is not produced in the experimental conditions tested, which, on the other hand, are quite restrictive for the development of the plant as it is forced to grow in a completely inorganic medium lacking soluble phosphate.
Hydrogen cyanide (HCN), which is produced by the isolate ULE-PH6, is another acid compound that could contribute to phosphate solubilization. HCN has been commonly described as a biocontrol factor against phytopathogens. However, it has been reported that it does not intervene in the toxicity against microorganisms per se, but HCN sequesters the iron present in the soil, as occurs with siderophores. Phytopathogen bio-control by iron competition has been described in siderophore producers, which are able to inhibit phytopathogen infections [56]. Moreover, HCN production could be an indirect mechanism of phosphorus solubilization in soil, in the same way that siderophore production is: iron sequestration could prevent it from binding free phosphate, which remains available in solution for its assimilation by plants [57,58].
Other types of compounds involved in the solubilization of inorganic phosphate are siderophores. Siderophores are low-molecular-weight organic ligands with high affinity and specificity for binding trivalent ions such as iron and aluminum [59]. Although their most prevalent role could be the capture of Fe2+ present in soils (iron is an essential nutrient for all bacteria), indirectly, siderophores decrease the iron concentration, which is able to react with the phosphorus, allowing its solubilization in this way [35,60]. Isolates ULE-PH5 and ULE-PH6 exhibited a good capability to produce siderophores [4].
Although most agricultural soils contain significant amounts of inorganic, insoluble phosphates, a significant proportion of the P unavailable to plants is fixed to the organic matter of soils or present in organic plant matter in the form of phytates [4]. Accordingly, microorganisms inhabiting bulk soils and rhizospheres have evolved to develop different mechanisms to extract and solubilize this P fixed in the organic fraction of soils. Phytate (inositol hexaphosphate) represents the major storage form of P and inositol in plants [61]. Although present in all vegetable tissues, it is especially abundant in pollen and seeds [62]. Many microorganisms inhabiting soils are able to efficiently degrade phytates by producing phytase enzymes. Since phytic acid ester bonds are highly stable and their natural degradation is practically impossible [63], the microbial mineralization of phytate by phytase plays an essential role in the process of P recycling [30]. Isolates ULE-PH5 and ULE-PH6 were both selected for their high phytase activity in solid medium, which was confirmed in liquid cultures.
Another mechanism used by soil microorganisms to recover P fixed to the organic material is the production of phosphatase enzymes [4], which have been widely documented among PBS [30,31]. Phosphatases induce the release of phosphorus from precipitated organic compounds in soil or fertilizers by dephosphorylating phosphoester or phosphoanhydride bonds. This hydrolysis removes a phosphate ion, generating a molecule with a free hydroxyl group and soluble phosphate [4,5,35]. Both ULE-PH5 and ULE-PH6 were able to produce extracellular alkaline and acidic phosphatases that allow the recovery of P in environmental conditions with a wide range of pHs. Phosphatases can be classified into three types: acidic, alkaline, and neutral phosphatases. Unlike acid and alkaline phosphatases, neutral phosphatases do not have a very pronounced effect on phosphorus mineralization and hydrolysis. Acidic phosphatases are more effective in mineralizing organic P in acidic soils with pH values less than 7, whereas alkaline phosphatases mainly catalyze the hydrolysis of phospholipids (i.e., phosphoglucose-6 and ATP) and release inorganic phosphorus in soils with pH values higher than 7 [31].
Finally, it is worth emphasizing that PSB could be of potential interest to enhance P assimilation and uptake by perennial crops. Therefore, it should not be surprising that in the coming years, the agricultural use of PSB will increase, as it could be applied to different perennial crops as a viable alternative and cost-effective way of stimulating the bioavailability of the P accumulated in soils as “legacy P”. This approach could significantly reduce the costs of fertilization based on fertilizers containing phosphates.
4. Materials and Methods
4.1. Isolation of Bacteria from the Rhizosphere of Hop Plants
Bacteria were specifically isolated from the rhizosphere of hop plants (Nugget cultivar) that had been cultivated according to conventional agronomical practices in a field located in León (Spain) (5°35′26.45″ W and 42°35′2.524″ N). Samples were collected from 5 different plants after digging to access the root system of the plant. After leaving the root system, exposed rhizosphere soil in direct physical contact with the roots was collected by using a sterile spatula. Rhizosphere soil samples were transferred to sterile Falcon tubes (50 mL), kept in an icebox, and preserved 117 at 4 °C until processing. Later, 1 g of soil was weighed, and tenfold serial dilutions were made in saline solution (NaCl 0.9% w/v), and 0.1 mL aliquots of each dilution were spread onto Nutrient Agar (Condalab, Torrejón de Ardoz, Spain) and Plate Count Agar (Condalab) supplemented with natamycin (200 μg/mL) to avoid fungal growth. Plates were incubated at 30 °C for up to 8 days. Bacteria representative of different macro (color, colony shape, colony border, consistency, etc.) and microscopic morphological types (as determined after staining with methylene blue or Gram stain) were selected at random and conserved in Nutrient Agar plates at 4 °C until use.
4.2. Analysis of Phosphate Solubilization and Phytase Production in Solid Media
All the strains were checked for phosphate solubilization on solid media by streaking onto NBRIP (National Botanical Research Institute’s Phosphate) agar [64]. Colonies surrounded by clarification halos (halozones) were selected to analyze their solubilization index (SI) according to the protocol described by Mardad et al. [65]. Briefly, positive strains were grown on NBRIP solid medium plates that were incubated at 30 °C for up to 7 days. SI was determined by measuring, at 7 days of incubation, the halo and the colony diameter according to the next formula: SI = (colony diameter + halozone diameter)/(colony diameter). Solubilization assays were carried out in triplicate. Isolates were also tested for extracellular phytase production in Phytase Screening Medium (PSM), which contained per liter: D-glucose, 2.0 g; sodium phytate, 0.4 g; CaCl2, 0.2 g; NH4NO3, 0.5 g; KCl, 0.05 g; MgSO4 × 7H2O, 0.05 0 g; FeSO4 × 7H2O, 0.001 g; MnSO4 × 5H2O, 0.001 g; and agar, 2.0 g, adjusted to pH 6.0 [66]
4.3. Molecular Identification of Bacterial Isolates
Those five strains exhibiting a SI value higher than 5.0 in both NBRIP medium and Phytase screening medium were selected for molecular identification (Table 1). Genomic DNA was extracted as described by Hopwood et al. [67]. Amplification of 16S rRNA genes was carried out using primers 27F and 1492R [68]. For identification of Pseudomonas strains, amplification of the rpoD gene was performed according to the protocol described by Girard et al. [40] by using PsEG30F and PsEG790R primers. Identification of Bacillus species was carried out by partial sequencing of the rpoB gene using primers BA-RF and BA-RR and PCR conditions described by Ko et al. [42]. DNA sequences had been deposited in the GenBank® under the Accession numbers listed in Table 4.
Table 4.
GenBank Accession numbers of the different DNA sequences used for the molecular identification of PSBs.
Isolates were identified by comparison with the corresponding sequences of type strains found in the Ez Taxon-e database [69] (http://www.ezbiocloud.net/eztaxon/identify) (accessed on 30 November 2023). Sequence alignment as well as phylogenetic trees were done using the MEGA 6 software [70].
4.4. Analysis of Phosphate Solubilization in Liquid Media
Those strains with the higher SI values were checked for phosphate solubilization in NBRIP liquid medium, using tri-calcium phosphate as the sole P source, as previously reported [21]. Briefly, Erlenmeyer flasks (500 mL) containing 100 mL of NBRIP liquid medium were inoculated at a final concentration of 5 × 104 cfu/mL with each bacterial strain tested. Assays were carried out at 30 °C and 150 rpm for 20 days. Bacterial cells and insoluble phosphate were removed by centrifugation at 14,000 rpm for 10 min. The pH of the cultures was determined by a pH meter. Once the cultures were completed, samples of 100 µL of the diluted supernatant were mixed with 800 µL of 0.045% (w/v) malachite green and 100 µL of 34% (w/v) sodium citrate. Samples were incubated at 25 °C for 30 min in the dark. The absorbance of the mix samples was measured at 660 nm, and the quantity of soluble phosphorous was determined by comparison with a standard curve using K2HPO4. All experiments were carried out in triplicate.
4.5. API Tests
A more detailed biochemical and physiological characterization was carried out by using the API® 20 NE system (Biomerieux, Marcy-l’Étoile, France) and API® 50CH (Biomerieux) to analyze more specifically the carbohydrate metabolism. Both tests were carried out by following the procedures and methodologies indicated by the manufacturer.
4.6. Phosphatase Activity Determination
Phosphatase activities were determined as indicated by Magallon-Servin et al. [71]. Briefly, PSB was grown in 50-mL Erlenmeyer flasks containing 25 mL of TSB. Flasks were inoculated with 1 mL of an overnight-grown preculture, and they were incubated for 72 h at 28 °C on a rotary shaker (150 rpm). Bacterial cells were harvested by centrifugation, and culture supernatant was used to measure extracellular phosphatases. The cellular pellet was then washed twice in saline solution by centrifugation at 14,000 rpm for 20 min. Then cells were resuspended in 2 mL Tris-buffer (pH 7.0) and sonicated (VibraCell) on ice during 30 cycles of 2 s sonication and 15 s rest. The supernatant of sonicated cells containing intracellular phosphatases was recovered by centrifugation (14,000 rpm, 5 min at 4 °C) and used to determine enzymatic activities. Alkaline and acidic phosphatases were determined in 96-well microplates. Briefly, each plate-well received 50 μL of enzyme extract and 50 μL of substrate solution for acidic (0.05-M citrate buffer with 5.5 mM of nitrophenylphosphate at pH 4.8) or alkaline (0.05-M glycine buffer with 0.01% (w/v) MgCl2 × 6H2O and 5.5 mM of nitrophenylphosphate at pH 10.5) phosphatase. Microplates were incubated for 10 min at 37 °C on a rotary shaker (60 rpm). Reactions were stopped by adding 200 μL of stop solution (0.5 N NaOH), giving a total reaction volume of 300 μL. The amount of p-nitrophenol released by the phosphatases was quantified by reading the absorbance using a Microtiter Reader at 405 nm. As a standard, 300 μL of 0.05-μmol/mL p-nitrophenol were added to the plate. A blank (50 μL of buffer instead of enzyme) was run in parallel to account for any possible spontaneous hydrolyzation of 4-nitrophenyl phosphate during incubation. For determining specific activities, the total soluble protein in cell extracts and supernatants was measured by the Bradford method [72] adapted to microplates.
4.7. Qualitative and Quantitative Estimation of Phytase Production
Isolates were tested for extracellular phytase production in Phytase Screening Medium (PSM), which contained (w/v): 2.0 D-glucose; 0.4 sodium phytate; 0.2 CaCl2; 0.5 NH4NO3; 0.05 KCl; 0.05 MgSO4 × 7H2O; 0.001 FeSO4 × 7H2O; 0.001 MnSO4 × 5H2O; and 2.0 agar adjusted to pH 6.0 [66]. The isolates showing clear zones on PSM were further quantified in liquid medium following the methodology described by Qvirist et al. [73]. Briefly, the isolates were grown in LB liquid medium for 7 days at 30 °C, and cells were separated from the supernatant by centrifugation (8000 rpm at 4 °C for 5 min). Crude protein extract (75 µL) was incubated with 300 µL of phytate solution (1.5 mM of sodium phytate [phytic acid sodium salt hydrate] in 100 mM sodium acetate buffer, pH 5.0) for 30 min at 37 °C. The reaction was stopped by the addition of 750 µL of 5% trichloroacetic acid (w/v). A color reagent (750 µL), prepared freshly by mixing 4 volumes of 1.5% ammonium molybdate (w/v) in a 5.5% (v/v) sulphuric acid solution with 1 volume of 2.7% (w/v) ferrous sulfate solution, was added to the sample solution. The production of phosphomolybdate was measured spectrophotometrically at 700 nm. Standards were prepared from KH2PO4 in bi-distilled water at phosphate concentrations ranging from 0 to 20 mg/L.
4.8. Determination of Miscellaneous Activities Related to PGPR Traits
Selected PSB were checked for siderophore production on CAS agar medium containing chrome azurol (CAS) and hexadecyltrimethylammonium bromide (HDTMA) as indicators [74]. The bacterial cultures were inoculated into the CAS medium and incubated at 28 ± 2 °C for 5 days. The colony with a yellow-orange color halo zone was indicated as positive for siderophore production. In order to achieve quantitative estimation of indole acetic acid (IAA) production, cultures were grown at 30 °C and 150 rpm for 24 h. Flasks containing 100 mL of Nutrient Broth (NB) media supplemented with 1 g/L tryptophan were inoculated at 104 cells/mL and incubated at 30 °C and 150 rpm for 10 days. 1.5 mL samples were taken every 24 h to determine growth spectrophotometrically and IAA production by using the Salkowski method [75]. Briefly, 1 mL of culture supernatants were mixed with 2 mL of Salkowski reagent and incubated in the dark for 25 min. DO was measured at 530 nm, and it was compared with a standard curve with indoleacetic acid ranging from 0 to 100 µg/mL. Potassium solubilization was detected using a modified Aleksandrov medium [76]. Zinc solubilization was tested according to plate assays on Tris-minimal medium supplemented with zinc oxide, according to Sharma et al. [77]. Solubilization indexes were estimated as the quotient between the diameter of the solubilization halo zone and the diameter of the bacterial colony, multiplied by 100. HCN production in agar plates was tested as reported by Khan et al. [78]. Briefly, nutrient broth was amended with 4.4 g glycine/L, and isolates were streaked on a modified agar plate. A Whatmann filter paper No. 1 filled with 2% sodium carbonate in a 0.5% picric acid solution was placed on top of the plate. Plates were sealed with parafilm and incubated at 28 ± 2 °C for 4 days. The development of orange to red color indicated HCN production: paper color from yellow to light brown, brown, or reddish brown was recorded for weak (+), moderate (++), and strong (+++) reactions, respectively. Putative antifungal activity against Verticillium dahliae and Fusarium sambucinum was tested by the dual culture technique as previously described in 9-cm Petri dishes [21].
4.9. Greenhouse Pot Experiments
Rhizomes of Cascade variety hop plants were obtained after routine pruning of the root system of 10-year-old plants carried out in spring 2023. Rhizomes of similar caliber and weight (20 ± 1 g) were selected.
Rhizomes were placed in 5 L pots containing vermiculite as substrate mixed with tricalcium phosphate at a 25:1 ratio. Before filling the pots, the vermiculite was washed with distilled water and sterilized twice by autoclaving at 121 °C for 20 min. Rhizomes were superficially disinfected by immersing in 70% ethanol for 1 min and 3% (v/v) sodium hypochlorite for 5 min, respectively. After that, the rhizomes were extensively washed with sterilized milli-Q water 3 times for 5 min. Next, rhizomes were inoculated by immersion in a culture containing 108 colony-forming units (cfu)/mL of each individual plant growth-promoting rhizobacteria (PGPR) tested for 30 min. In each pot, a rhizome was buried in the vermiculite at a distance of 8–10 cm from the surface of the substrate. Negative and positive controls were not inoculated. A 3 m high bamboo pole was inserted into the bottom of each pot to be used as a support to allow the plants to climb. The experiment was finished when 50% of the control plants (not inoculated) reached the top of the bamboo pole. Two hundred mL of modified plant nutrient solution [79], without any phosphate source, was supplied weekly to each pot. Whereas positive controls were irrigated with a plant nutrient solution supplemented with 0.2 g/L of soluble KH2PO4. For evaluation of the growth promotion effect of each selected PGPR, the dry weight of the roots and the aerial part of the plants (stems, petioles, and leaves) were measured. Dry weight was determined by placing the samples separately in an oven at 60 °C for 120 h. Assimilated P was determined at the root and aerial parts, as described by Watanabe and Olsen [80].
5. Conclusions
The main conclusions of this study are as follows: (1) Pseudomonas species are the predominant PSBs in the rhizosphere of hop plants; (2) The application of 2 particular strains, P. taetrolens ULE-PH5 and Pseudomonas sp. ULE-PH6, to rhizomes of hop plants was able to stimulate phosphate assimilation and accumulation in the aerial parts of the plant when they were growth in a substrate with insoluble P as the only source; (3) Both strains also exhibited other plant growth promoting traits including phytate degradation and acidic and alkaline phohphatases production involved in the solubilization of P linked to organic matter; (4) Finally, this work demonstrates that PSB can also be effective to promote P assimilation by perennial crops and therefore their putative use is a promising strategy for capitalizing on the currently unused legacy P present in soils.
Author Contributions
Conceptualization, R.C. and J.J.R.C.; methodology, S.G., C.C.-P., M.R.-M., R.O.-S. and R.C.; investigation, S.G., C.C.-P., R.C., M.R.-M. and R.O.-S.; writing—original draft preparation, R.C. and J.J.R.C.; writing—review and editing, R.C. and J.J.R.C.; funding acquisition, J.J.R.C. All authors have read and agreed to the published version of the manuscript.
Funding
This work was financed through a PRIMA grant (Section 2-2021) and is part of the project PCI2022-132966, funded by the Ministry of Science and Innovation (MCIN), the State Investigation Agency (AEI) (DOI/10.13039/501100011033), and the European Union “NextGenerationEU”/Recovery Plant, Transformation, and Resilience (PRTR). Carla Calvo-Peña was supported by a predoctoral contract from the Junta de Castilla y León and the European Social Fund (EDU/601/2020). Marina Ruiz-Muñoz was supported by a postdoctoral contract financed by the Ministry of Science and Innovation (MCIN), the State Investigation Agency (AEI) (DOI/10.13039/501100011033), and the European Union “NextGenerationEU”/Recovery Plant, Transformation, and Resilience (PRTR). Rebeca Otero-Suárez was supported by a research technician contract financed by Ministry of Science and Innovation (MCIN), the State Investigation Agency (AEI) (DOI/10.13039/501100011033), and the European Union “NextGenerationEU”/Recovery Plant, Transformation, and Resilience (PRTR).
Data Availability Statement
Data is contained within the article.
Acknowledgments
We thank D. Javier Fraile from SAT Lúpulos de León (Carrizo de la Ribera, León, Spain) for providing us with plant material (rhizomes) and technical support.
Conflicts of Interest
The authors declare no conflict of interest.
References
- Ha, S.; Tran, L.-S. Understanding Plant Responses to Phosphorus Starvation for Improvement of Plant Tolerance to Phosphorus Deficiency by Biotechnological Approaches. Crit. Rev. Biotechnol. 2014, 34, 16–30. [Google Scholar] [CrossRef]
- Walpola, B.C. Prospectus of Phosphate Solubilizing Microorganisms and Phosphorus Availability in Agricultural Soils: A Review. Afr. J. Microbiol. Res. 2012, 6, 6600–6605. [Google Scholar] [CrossRef]
- Kalayu, G. Phosphate Solubilizing Microorganisms: Promising Approach as Biofertilizers. Int. J. Agron. 2019, 2019, 4917256. [Google Scholar] [CrossRef]
- Sharma, S.B.; Sayyed, R.Z.; Trivedi, M.H.; Gobi, T.A. Phosphate Solubilizing Microbes: Sustainable Approach for Managing Phosphorus Deficiency in Agricultural Soils. Springerplus 2013, 2, 587. [Google Scholar] [CrossRef] [PubMed]
- Zhu, J.; Li, M.; Whelan, M. Phosphorus Activators Contribute to Legacy Phosphorus Availability in Agricultural Soils: A Review. Sci. Total Environ. 2018, 612, 522–537. [Google Scholar] [CrossRef] [PubMed]
- De Boer, M.A.; Wolzak, L.; Slootweg, J.C. Phosphorus: Reserves, Production, and Applications. In Phosphorus Recovery and Recycling; Ohtake, H., Tsuneda, S., Eds.; Springer: Singapore, 2019; pp. 75–100. [Google Scholar]
- Fang, L.; Wang, Q.; Li, J.; Poon, C.S.; Cheeseman, C.R.; Donatello, S.; Tsang, D.C.W. Feasibility of Wet-Extraction of Phosphorus from Incinerated Sewage Sludge Ash (ISSA) for Phosphate Fertilizer Production: A Critical Review. Crit. Rev. Environ. Sci. Technol. 2021, 51, 939–971. [Google Scholar] [CrossRef]
- Lin, S.; Litaker, R.W.; Sunda, W.G. Phosphorus Physiological Ecology and Molecular Mechanisms in Marine Phytoplankton. J. Phycol. 2016, 52, 10–36. [Google Scholar] [CrossRef] [PubMed]
- Santana, E.B.; Marques, E.L.S.; Dias, J.C.T. Effects of Phosphate-Solubilizing Bacteria, Native Microorganisms, and Rock Dust on Jatropha curcas L. Growth. Genet. Mol. Res. 2016, 15, gmr8729. [Google Scholar] [CrossRef] [PubMed]
- Pradhan, N.; Sukla, L.B. Solubilization of Inorganic Phosphate by Fungi Isolated from Agriculture Soil. Afr. J. Biotechnol. 2005, 5, 850–854. [Google Scholar]
- Yu, H.; Wu, X.; Zhang, G.; Zhou, F.; Harvey, P.R.; Wang, L.; Fan, S.; Xie, X.; Li, F.; Zhou, H.; et al. Identification of the Phosphorus-Solubilizing Bacteria Strain JP233 and Its Effects on Soil Phosphorus Leaching Loss and Crop Growth. Front. Microbiol. 2022, 13, 892533. [Google Scholar] [CrossRef]
- Gatiboni, L.; Brunetto, G.; Pavinato, P.S.; George, T.S. Editorial: Legacy Phosphorus in Agriculture: Role of Past Management and Perspectives for the Future. Front. Earth Sci. 2020, 8, 619935. [Google Scholar] [CrossRef]
- Khan, M.S.; Zaidi, A.; Wani, P.A. Role of Phosphate-Solubilizing Microorganisms in Sustainable Agriculture—A Review. Agron. Sustain. Dev. 2007, 27, 29–43. [Google Scholar] [CrossRef]
- Condron, L.M.; Spears, B.M.; Haygarth, P.M.; Turner, B.L.; Richardson, A.E. Role of Legacy Phosphorus in Improving Global Phosphorus-Use Efficiency. Environ. Dev. 2013, 8, 147–148. [Google Scholar] [CrossRef]
- Kumar, A.; Kumar, A.; Patel, H. Role of Microbes in Phosphorus Availability and Acquisition by Plants. Int. J. Curr. Microbiol. Appl. Sci. 2018, 7, 1344–1347. [Google Scholar] [CrossRef]
- Satyaprakash, M.; Nikitha, T.; Reddi, E.U.B.; Sadhana, B.; Vani, S.S. Phosphorous and Phosphate Solubilising Bacteria and Their Role in Plant Nutrition. Int. J. Curr. Microbiol. Appl. Sci. 2017, 6, 2133–2144. [Google Scholar] [CrossRef]
- Thakur, D.; Kaushal, R.; Shyam, V. Phosphate Solubilising Microorganisms: Role in Phosphorus Nutrition of Crop Plants—A Review. Agric. Rev. 2014, 35, 159. [Google Scholar] [CrossRef]
- Yu, L.Y.; Huang, H.B.; Wang, X.H.; Li, S.; Feng, N.X.; Zhao, H.M.; Huang, X.P.; Li, Y.W.; Li, H.; Cai, Q.Y.; et al. Novel Phosphate-Solubilising Bacteria Isolated from Sewage Sludge and the Mechanism of Phosphate Solubilisation. Sci. Total Environ. 2019, 658, 474–484. [Google Scholar] [CrossRef]
- Chawngthu, L.; Hnamte, R.; Lalfakzuala, R. Isolation and Characterization of Rhizospheric Phosphate Solubilizing Bacteria from Wetland Paddy Field of Mizoram, India. Geomicrobiol. J. 2020, 37, 366–375. [Google Scholar] [CrossRef]
- Kaur, R.; Kaur, S. Variation in the Phosphate Solubilizing Bacteria from Virgin and the Agricultural Soils of Punjab. Curr. Microbiol. 2020, 77, 2118–2127. [Google Scholar] [CrossRef]
- Ibáñez, A.; Diez-Galán, A.; Cobos, R.; Calvo-Peña, C.; Barreiro, C.; Medina-Turienzo, J.; Sánchez-García, M.; Coque, J.J.R. Using Rhizosphere Phosphate Solubilizing Bacteria to Improve Barley (Hordeum vulgare) Plant Productivity. Microorganisms 2021, 9, 1619. [Google Scholar] [CrossRef]
- Rodríguez, H.; Fraga, R. Phosphate Solubilizing Bacteria and Their Role in Plant Growth Promotion. Biotechnol. Adv. 1999, 17, 319–339. [Google Scholar] [CrossRef]
- Afzal, A.; Bano, A. Rhizobium and Phosphate Solubilizing Bacteria Improve the Yield and Phosphorus Uptake in Wheat (Triticum aestivum). Int. J. Agric. Biol. 2008, 10, 85–88. [Google Scholar]
- Chouyia, F.E.; Romano, I.; Fechtali, T.; Fagnano, M.; Fiorentino, N.; Visconti, D.; Idbella, M.; Ventorino, V.; Pepe, O. P-Solubilizing Streptomyces roseocinereus MS1B15 With Multiple Plant Growth-Promoting Traits Enhance Barley Development and Regulate Rhizosphere Microbial Population. Front. Plant Sci. 2020, 11, 1137. [Google Scholar] [CrossRef] [PubMed]
- Pereira, S.I.A.; Castro, P.M.L. Phosphate-Solubilizing Rhizobacteria Enhance Zea mays Growth in Agricultural P-Deficient Soils. Ecol. Eng. 2014, 73, 526–535. [Google Scholar] [CrossRef]
- Dey, R.; Pal, K.K.; Bhatt, D.M.; Chauhan, S.M. Growth Promotion and Yield Enhancement of Peanut (Arachis hypogaea L.) by Application of Plant Growth-Promoting Rhizobacteria. Microbiol. Res. 2004, 159, 371–394. [Google Scholar] [CrossRef] [PubMed]
- Nithyapriya, S.; Lalitha, S.; Sayyed, R.Z.; Reddy, M.S.; Dailin, D.J.; El Enshasy, H.A.; Luh Suriani, N.; Herlambang, S. Production, Purification, and Characterization of Bacillibactin Siderophore of Bacillus subtilis and Its Application for Improvement in Plant Growth and Oil Content in Sesame. Sustainability 2021, 13, 5394. [Google Scholar] [CrossRef]
- Afzal, A.; Bano, A.; Fatima, M. Higher Soybean Yield by Inoculation with N-Fixing and P-Solubilizing Bacteria. Agron. Sustain. Dev. 2010, 30, 487–495. [Google Scholar] [CrossRef]
- Prakash, J.; Arora, N.K. Phosphate-Solubilizing Bacillus sp. Enhances Growth, Phosphorus Uptake and Oil Yield of Mentha arvensis L. 3 Biotech 2019, 9, 126. [Google Scholar] [CrossRef]
- Timofeeva, A.; Galyamova, M.; Sedykh, S. Prospects for Using Phosphate-Solubilizing Microorganisms as Natural Fertilizers in Agriculture. Plants 2022, 11, 2119. [Google Scholar] [CrossRef]
- Pan, L.; Cai, B. Phosphate-Solubilizing Bacteria: Advances in Their Physiology, Molecular Mechanisms and Microbial Community Effects. Microorganisms 2023, 11, 2904. [Google Scholar] [CrossRef]
- Patel, D.K.; Murawala, P.; Archana, G.; Naresh Kumar, G. Repression of Mineral Phosphate Solubilizing Phenotype in the Presence of Weak Organic Acids in Plant Growth Promoting Fluorescent Pseudomonads. Bioresour. Technol. 2010, 102, 3055–3061. [Google Scholar] [CrossRef]
- Dinesh, R.; Srinivasan, V.; Praveena, R.; Subila, K.P.; George, P.; Das, A.; Shajina, O.; Anees, K.; Leela, N.K.; Haritha, P. Exploring the Potential of P Solubilizing Rhizobacteria for Enhanced Yield and Quality in Turmeric (Curcuma longa L.). Ind. Crop. Prod. 2022, 189, 115826. [Google Scholar] [CrossRef]
- Richardson, A.E.; Simpson, R.J. Soil Microorganisms Mediating Phosphorus Availability Update on Microbial Phosphorus. Plant Physiol. 2011, 156, 989–996. [Google Scholar] [CrossRef]
- Alori, E.T.; Glick, B.R.; Babalola, O.O. Microbial Phosphorus Solubilization and Its Potential for Use in Sustainable Agriculture. Front. Microbiol. 2017, 8, 971. [Google Scholar] [CrossRef]
- Khan, M.S.; Zaidi, A.; Ahmad, E. Mechanism of Phosphate Solubilization and Physiological Functions of Phosphate-Solubilizing Microorganisms. In Phosphate Solubilizing Microorganisms; Springer International Publishing: Cham, Switzerland, 2014; pp. 31–62. [Google Scholar]
- Yi, Y.; Huang, W.; Ge, Y. Exopolysaccharide: A Novel Important Factor in the Microbial Dissolution of Tricalcium Phosphate. World J. Microbiol. Biotechnol. 2008, 24, 1059–1065. [Google Scholar] [CrossRef]
- Wang, S.; Walker, R.; Schicklberger, M.; Nico, P.S.; Fox, P.M.; Karaoz, U.; Chakraborty, R.; Brodie, E.L. Microbial Phosphorus Mobilization Strategies Across a Natural Nutrient Limitation Gradient and Evidence for Linkage With Iron Solubilization Traits. Front. Microbiol. 2021, 12, 572212. [Google Scholar] [CrossRef]
- Chen, K.-Y.; Hsu, L.-C.; Chan, Y.-T.; Cho, Y.-L.; Tsao, F.-Y.; Tzou, Y.-M.; Hsieh, Y.-C.; Liu, Y.-T. Phosphate Removal in Relation to Structural Development of Humic Acid-Iron Coprecipitates. Sci. Rep. 2018, 8, 10363. [Google Scholar] [CrossRef]
- Girard, L.; Lood, C.; Rokni-Zadeh, H.; van Noort, V.; Lavigne, R.; De Mot, R. Reliable Identification of Environmental Pseudomonas Isolates Using the RpoD Gene. Microorganisms 2020, 8, 1166. [Google Scholar] [CrossRef] [PubMed]
- Hauth, F.; Buck, H.; Hartig, J.S. Pseudomonas canavaninivorans sp. Nov., Isolated from Bean Rhizosphere. Int. J. Syst. Evol. Microbiol. 2022, 72, 005203. [Google Scholar] [CrossRef] [PubMed]
- Ko, K.S.; Kim, J.-M.; Kim, J.-W.; Jung, B.Y.; Kim, W.; Kim, I.J.; Kook, Y.-H. Identification of Bacillus anthracis by RpoB Sequence Analysis and Multiplex PCR. J. Clin. Microbiol. 2003, 41, 2908–2914. [Google Scholar] [CrossRef]
- Silva, V.M.; Putti, F.F.; White, P.J.; dos Reis, A.R. Phytic Acid Accumulation in Plants: Biosynthesis Pathway Regulation and Role in Human Diet. Plant Physiol. Biochem. 2021, 164, 132–146. [Google Scholar] [CrossRef]
- Pretty, J. Agricultural Sustainability: Concepts, Principles and Evidence. Philos. Trans. R. Soc. B Biol. Sci. 2008, 363, 447–465. [Google Scholar] [CrossRef] [PubMed]
- Bouwman, A.F.; Beusen, A.H.W.; Lassaletta, L.; van Apeldoorn, D.F.; van Grinsven, H.J.M.; Zhang, J.; van Ittersum, M.K. Lessons from Temporal and Spatial Patterns in Global Use of N and P Fertilizer on Cropland. Sci. Rep. 2017, 7, 40366. [Google Scholar] [CrossRef]
- Sattari, S.Z.; Bouwman, A.F.; Giller, K.E.; van Ittersum, M.K. Residual Soil Phosphorus as the Missing Piece in the Global Phosphorus Crisis Puzzle. Proc. Natl. Acad. Sci. USA 2012, 109, 6348–6353. [Google Scholar] [CrossRef] [PubMed]
- Langhans, C.; Beusen, A.H.W.; Mogollón, J.M.; Bouwman, A.F. Phosphorus for Sustainable Development Goal Target of Doubling Smallholder Productivity. Nat. Sustain. 2022, 5, 57–63. [Google Scholar] [CrossRef]
- Rossini, F.; Virga, G.; Loreti, P.; Iacuzzi, N.; Ruggeri, R.; Provenzano, M.E. Hops (Humulus lupulus L.) as a Novel Multipurpose Crop for the Mediterranean Region of Europe: Challenges and Opportunities of Their Cultivation. Agriculture 2021, 11, 484. [Google Scholar] [CrossRef]
- Joshi, S.; Gangola, S.; Jaggi, V.; Sahgal, M. Functional Characterization and Molecular Fingerprinting of Potential Phosphate Solubilizing Bacterial Candidates from Shisham Rhizosphere. Sci. Rep. 2023, 13, 7003. [Google Scholar] [CrossRef] [PubMed]
- Amri, M.; Rjeibi, M.R.; Gatrouni, M.; Mateus, D.M.R.; Asses, N.; Pinho, H.J.O.; Abbes, C. Isolation, Identification, and Characterization of Phosphate-Solubilizing Bacteria from Tunisian Soils. Microorganisms 2023, 11, 783. [Google Scholar] [CrossRef]
- Zhao, K.; Penttinen, P.; Zhang, X.; Ao, X.; Liu, M.; Yu, X.; Chen, Q. Maize Rhizosphere in Sichuan, China, Hosts Plant Growth Promoting Burkholderia cepacia with Phosphate Solubilizing and Antifungal Abilities. Microbiol. Res. 2014, 169, 76–82. [Google Scholar] [CrossRef]
- Billah, M.; Khan, M.; Bano, A.; Hassan, T.U.; Munir, A.; Gurmani, A.R. Phosphorus and Phosphate Solubilizing Bacteria: Keys for Sustainable Agriculture. Geomicrobiol. J. 2019, 36, 904–916. [Google Scholar] [CrossRef]
- Damam, M.; Kaloori, K.; Gaddam, B.; Kausar, R. Plant Growth Promoting Substances (Phytohormones) Produced by Rhizobacterial Strains Isolated from the Rhizosphere of Medicinal Plants. Int. J. Pharm. Sci. Rev. Res. 2016, 37, 130–136. [Google Scholar]
- Sziderics, A.H.; Rasche, F.; Trognitz, F.; Sessitsch, A.; Wilhelm, E. Bacterial Endophytes Contribute to Abiotic Stress Adaptation in Pepper Plants (Capsicum annuum L.). Can. J. Microbiol. 2007, 53, 1195–1202. [Google Scholar] [CrossRef]
- Singh, J.; Singh, P.; Ray, S.; Rajput, R.S.; Singh, H.B. Plant Growth-Promoting Rhizobacteria: Benign and Useful Substitute for Mitigation of Biotic and Abiotic Stresses. In Plant Growth Promoting Rhizobacteria for Sustainable Stress Management; Springer: Singapore, 2019; pp. 81–101. [Google Scholar]
- Gu, S.; Wei, Z.; Shao, Z.; Friman, V.P.; Cao, K.; Yang, T.; Kramer, J.; Wang, X.; Li, M.; Mei, X.; et al. Competition for Iron Drives Phytopathogen Control by Natural Rhizosphere Microbiomes. Nat. Microbiol. 2020, 5, 1002–1010. [Google Scholar] [CrossRef]
- Backer, R.; Rokem, J.S.; Ilangumaran, G.; Lamont, J.; Praslickova, D.; Ricci, E.; Subramanian, S.; Smith, D.L. Plant Growth-Promoting Rhizobacteria: Context, Mechanisms of Action, and Roadmap to Commercialization of Biostimulants for Sustainable Agriculture. Front. Plant Sci. 2018, 9, 402666. [Google Scholar] [CrossRef] [PubMed]
- Rijavec, T.; Lapanje, A. Hydrogen Cyanide in the Rhizosphere: Not Suppressing Plant Pathogens, but Rather Regulating Availability of Phosphate. Front. Microbiol. 2016, 7, 216209. [Google Scholar] [CrossRef]
- Ghosh, P.; Rathinasabapathi, B.; Ma, L.Q. Phosphorus Solubilization and Plant Growth Enhancement by Arsenic-Resistant Bacteria. Chemosphere 2015, 134, 1–6. [Google Scholar] [CrossRef]
- Aeron, A.; Khare, E.; Jha, C.K.; Meena, V.S.; Aziz, S.M.A.; Islam, M.T.; Kim, K.; Meena, S.K.; Pattanayak, A.; Rajashekara, H.; et al. Revisiting the Plant Growth-Promoting Rhizobacteria: Lessons from the Past and Objectives for the Future. Arch. Microbiol. 2020, 202, 665–676. [Google Scholar] [CrossRef] [PubMed]
- Cosgrove, D.J. The Determination of Myo-inositol Hexakisphosphate (Phytate). J. Sci. Food Agric. 1980, 31, 1253–1256. [Google Scholar] [CrossRef]
- Skoglund, E.; Carlsson, N.-G.; Sandberg, A.-S. Phytate. In Healthgrain Methods; Shewry, P.R., Ward, J.L., Eds.; AACC International Press: St Paul, MN, USA, 2009; pp. 129–139. ISBN 9781891127700. [Google Scholar]
- Turner, B.L.; Papházy, M.J.; Haygarth, P.M.; Mckelvie, I.D. Inositol Phosphates in the Environment. Philos. Trans. R. Soc. Lond. B Biol. Sci. 2002, 357, 449–469. [Google Scholar] [CrossRef]
- Nautiyal, C.S. An Efficient Microbiological Growth Medium for Screening Phosphate Solubilizing Microorganisms. FEMS Microbiol. Lett. 1999, 170, 265–270. [Google Scholar] [CrossRef]
- Mardad, I.; Serrano, A.; Soukri, A. Solubilization of Inorganic Phosphate and Production of Organic Acids by Bacteria Isolated from a Moroccan Mineral Phosphate Deposit. Afr. J. Microbiol. Res. 2013, 7, 626–635. [Google Scholar] [CrossRef]
- Kumar, P.; Chamoli, S.; Agrawal, S. Enhanced Phytase Production from Achromobacter sp. PB-01 Using Wheat Bran as Substrate: Prospective Application for Animal Feed. Biotechnol. Prog. 2012, 28, 1432–1442. [Google Scholar] [CrossRef]
- Hopwood, D.A.; Bibb, M.J.; Chater, K.F.; Bruton, C.J.; Kieser, H.M.; Lydiate, D.; Smith, C.P.; Ward, J.M.; Schrempf, H. Genetic Manipulation of Streptomyces: A Laboratory Manual; The John Innes Institute: Norwich, UK, 1985. [Google Scholar]
- Lane, D.J. 16S/23S RRNA Sequencing. In Nucleic Acid Techniques in Bacterial Systematics; Stackebrandt, E., Goodfellow, M., Eds.; John Wiley and Sons: New York, NY, USA, 1991. [Google Scholar]
- Kim, O.S.; Cho, Y.J.; Lee, K.; Yoon, S.H.; Kim, M.; Na, H.; Park, S.C.; Jeon, Y.S.; Lee, J.H.; Yi, H.; et al. Introducing EzTaxon-e: A Prokaryotic 16s RRNA Gene Sequence Database with Phylotypes That Represent Uncultured Species. Int. J. Syst. Evol. Microbiol. 2012, 62, 716–721. [Google Scholar] [CrossRef]
- Tamura, K.; Stecher, G.; Peterson, D.; Filipski, A.; Kumar, S. MEGA6: Molecular Evolutionary Genetics Analysis Version 6.0. Mol. Biol. Evol. 2013, 30, 2725–2729. [Google Scholar] [CrossRef]
- Magallon-Servín, P.; Antoun, H.; Taktek, S.; Bashan, Y.; de-Bashan, L. The Maize Mycorrhizosphere as a Source for Isolation of Arbuscular Mycorrhizae-Compatible Phosphate Rock-Solubilizing Bacteria. Plant Soil 2020, 451, 169–186. [Google Scholar] [CrossRef]
- Bradford, M.M. A Rapid and Sensitive Method for the Quantitation of Microgram Quantities of Protein Utilizing the Principle of Protein-Dye Binding. Anal. Biochem. 1976, 72, 248–254. [Google Scholar] [CrossRef]
- Qvirist, L.; Carlsson, N.-G.; Andlid, T. Assessing Phytase Activity. J. Biol. Methods 2015, 2, e16. [Google Scholar] [CrossRef]
- Schwyn, B.; Neilands, J.B. Universal Chemical Assay for the Detection and Determination of Siderophores. Anal. Biochem. 1987, 160, 47–56. [Google Scholar] [CrossRef] [PubMed]
- Gordon, S.A.; Weber, R.P. Colorimetric Estimation of Indolacetic Acid. Plant Physiol. 1951, 26, 192–195. [Google Scholar] [CrossRef] [PubMed]
- Etesami, H.; Emami, S.; Alikhani, H.A. Potassium Solubilizing Bacteria (KSB): Mechanisms, Promotion of Plant Growth, and Future Prospects—A Review. J. Soil. Sci. Plant Nutr. 2017, 17, 897–911. [Google Scholar] [CrossRef]
- Sharma, P.; Kumawat, K.C.K.; Kaur, S.; Kaur, N. Assessment of Zinc Solubilization by Endophytic Bacteria in Legume Rhizosphere. Indian J. Appl. Res. 2014, 4, 439–441. [Google Scholar] [CrossRef]
- Khan, N.; Bano, A.M.D.; Babar, A. Impacts of Plant Growth Promoters and Plant Growth Regulators on Rainfed Agriculture. PLoS ONE 2020, 15, e0231426. [Google Scholar] [CrossRef] [PubMed]
- Rigaud, J.R.; Puppo, A. Indole 3 Acetic Acid Catabolism by Soybean Bacteroids. J. Gen. Microbiol. 1975, 88, 223–228. [Google Scholar] [CrossRef]
- Watanabe, F.S.; Olsen, S.R. Test of an Ascorbic Acid Method for Determining Phosphorus in Water and NaHCO3 Extracts from Soil. Soil Sci. Soc. Am. J. 1965, 29, 677–678. [Google Scholar] [CrossRef]
Disclaimer/Publisher’s Note: The statements, opinions and data contained in all publications are solely those of the individual author(s) and contributor(s) and not of MDPI and/or the editor(s). MDPI and/or the editor(s) disclaim responsibility for any injury to people or property resulting from any ideas, methods, instructions or products referred to in the content. |
© 2024 by the authors. Licensee MDPI, Basel, Switzerland. This article is an open access article distributed under the terms and conditions of the Creative Commons Attribution (CC BY) license (https://creativecommons.org/licenses/by/4.0/).


