Effects of Straw Management and Nitrogen Application Rate on Soil’s Physicochemical Properties and Rice Yield in Saline–Sodic Paddy Fields
Abstract
1. Introduction
2. Results
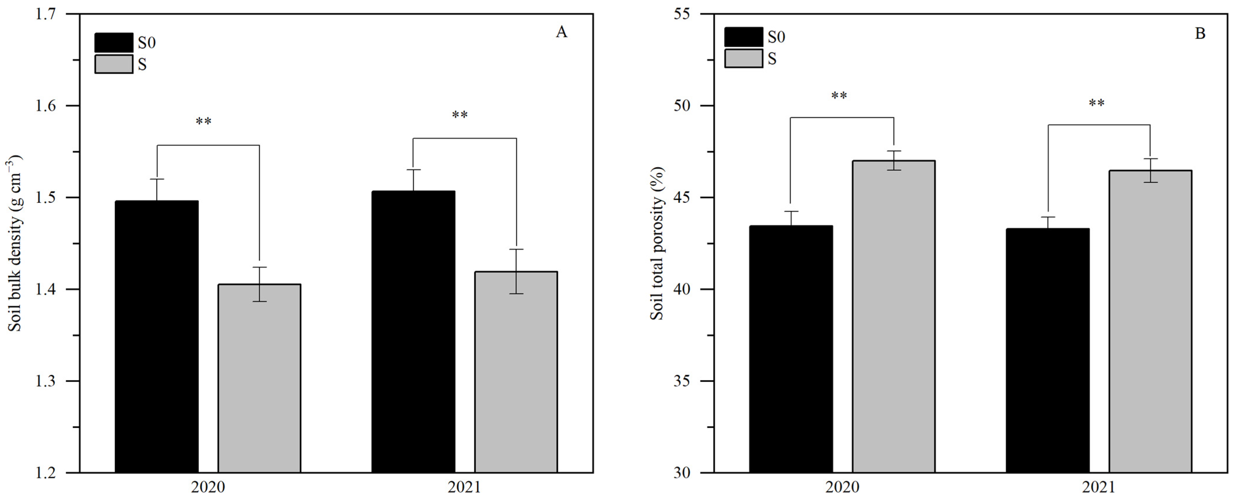
2.1. Soil Bulk Density and Total Porosity
2.2. Soil Aggregate Size Distribution
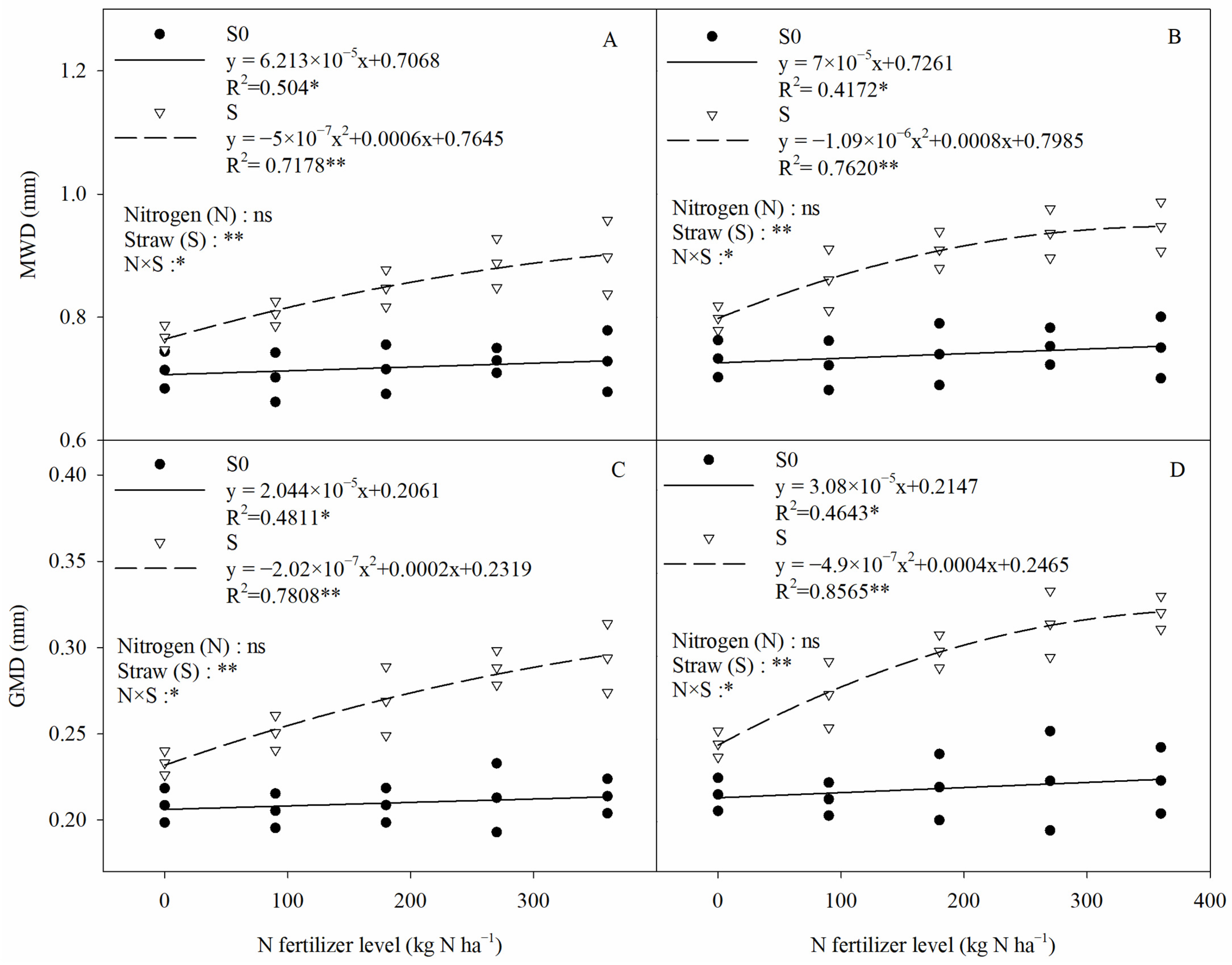
2.3. Soil Aggregate Stability
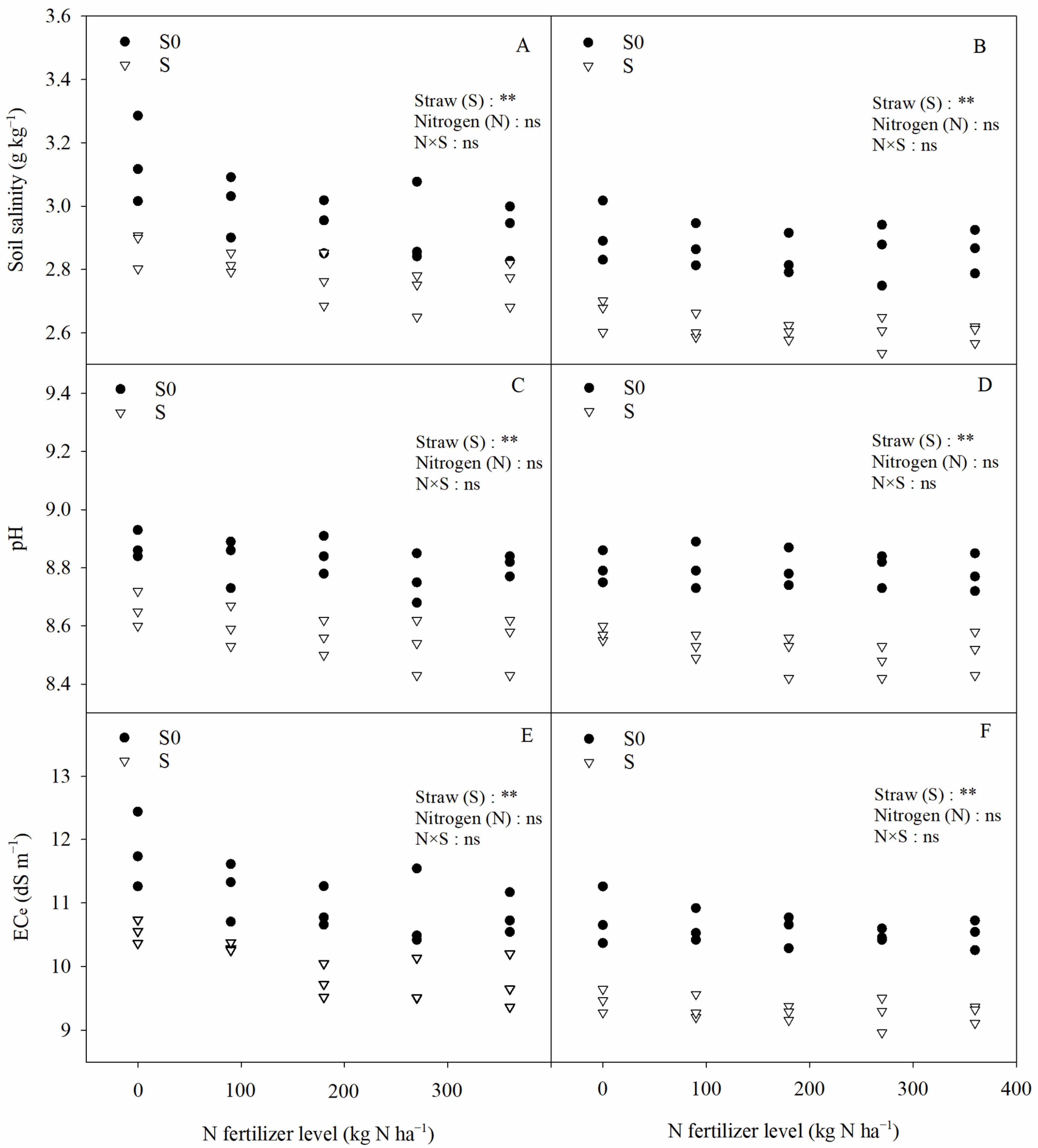
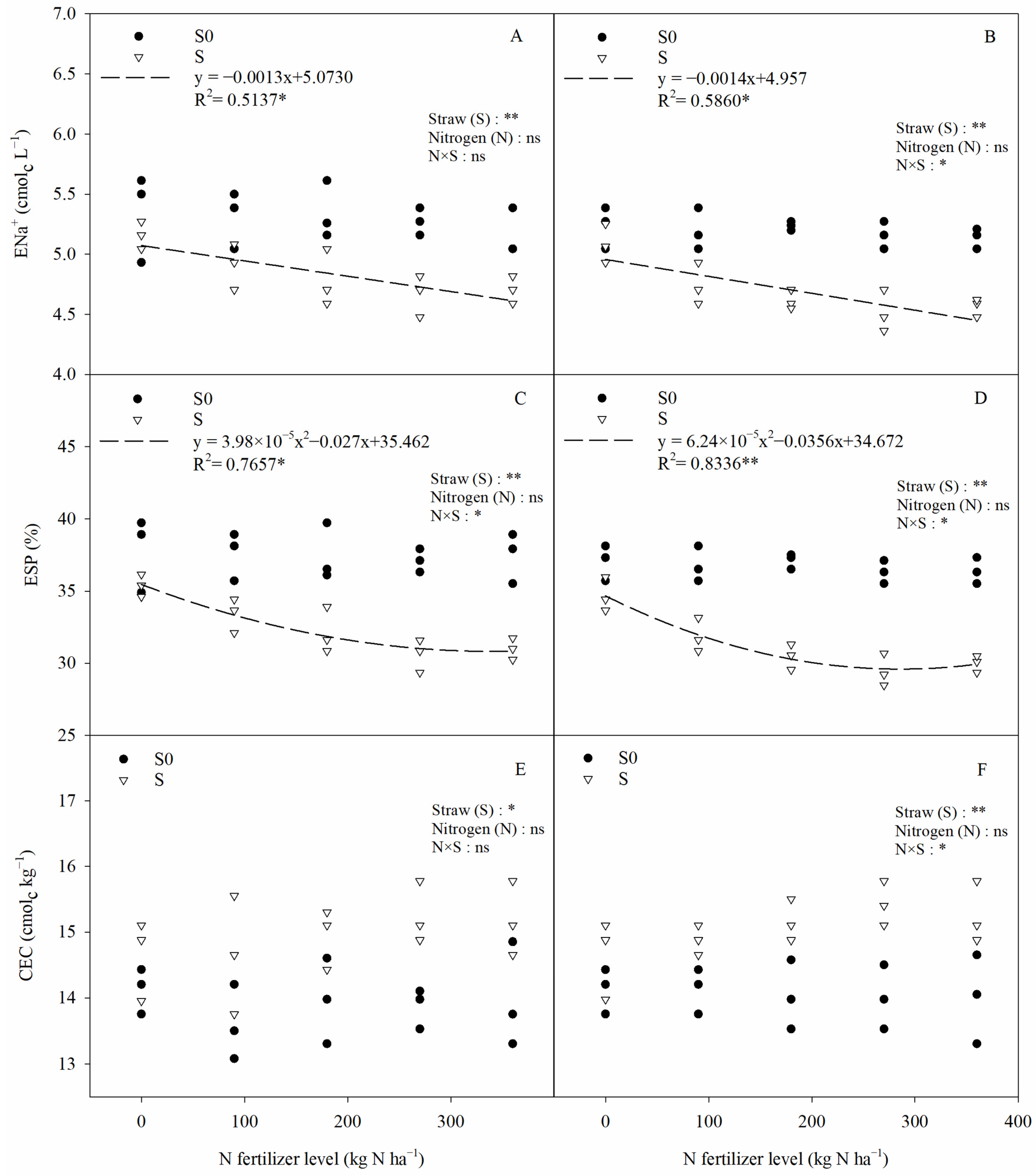
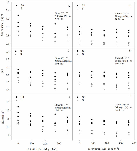
2.4. Soil Chemical Properties
2.5. Soil Nutrients
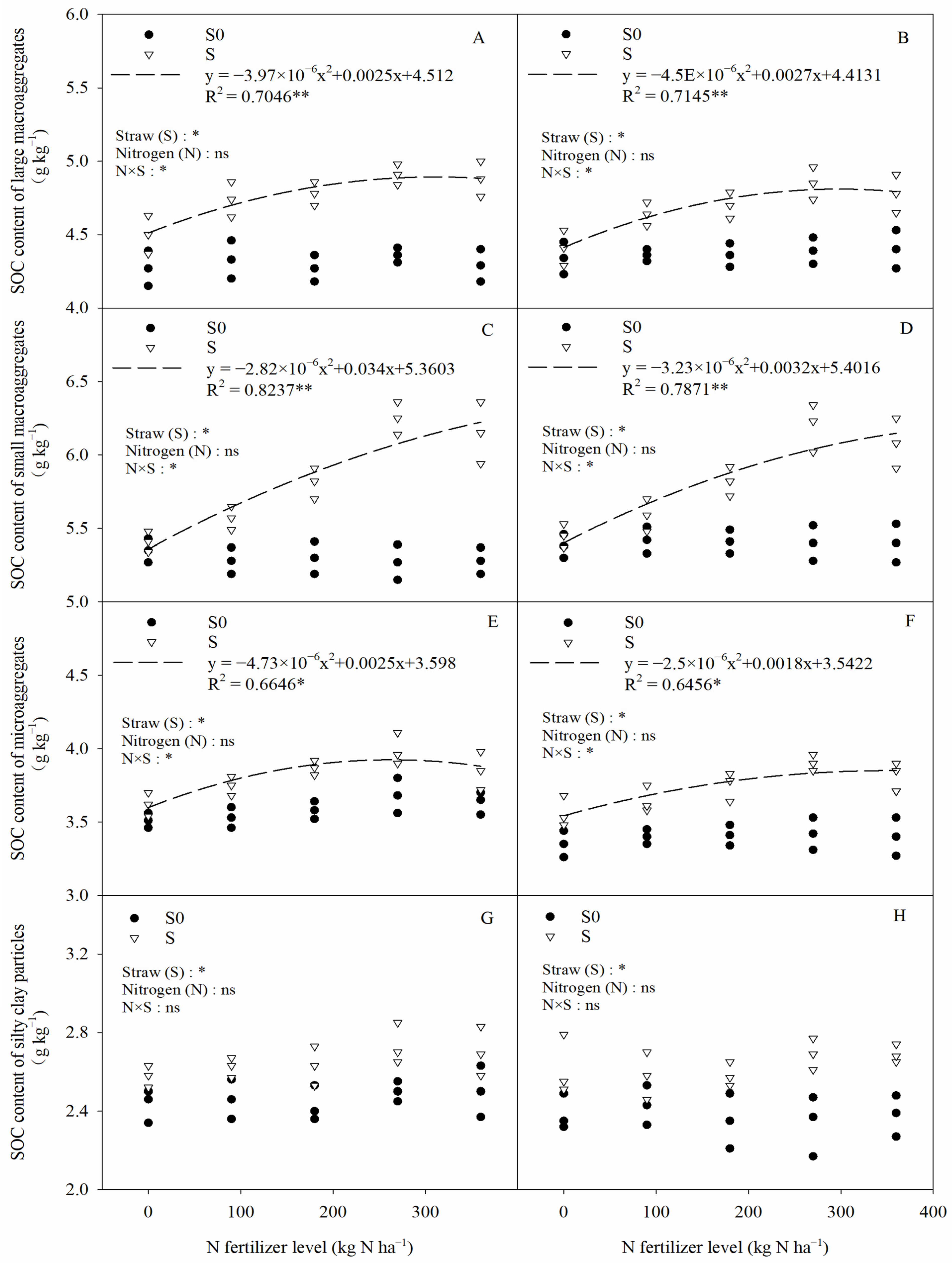
2.6. SOC Contents in Aggregates with Different Particle Sizes
2.7. Contribution of Soil Aggregate Organic Carbon
2.8. Rice Yield
2.9. Relationships Among Soil Aggregates, Soil Salinity, and Soil Organic Matter
3. Discussion
3.1. Combined Effects of Straw and Nitrogen Fertilization on the Physical and Chemical Properties of Soil
3.2. Combined Effects of Straw and Nitrogen Fertilization on Soil Nutrients
3.3. Combined Effects of Straw and Nitrogen Fertilizer on Rice Yield
4. Materials and Methods
4.1. Experimental Site
4.2. Field Experiment Design
4.3. Sampling and Measurements
4.4. Statistical Analysis
5. Conclusions
Supplementary Materials
Author Contributions
Funding
Data Availability Statement
Conflicts of Interest
References
- Zaman, M.; Shahid, S.A.; Heng, L. Guideline for Salinity Assessment, Mitigation and Adaptation Using Nuclear and Related Techniques; Springer International Publishing: Berlin/Heidelberg, Germany, 2018. [Google Scholar]
- Qadir, M.; Quillérou, E.; Nangia, V.; Murtaza, G.; Singh, M.; Thomas, R.J.; Drechsel, P.; Noble, A.D. Economics of salt-induced land degradation and restoration. Nat. Resour. Forum 2014, 38, 282–295. [Google Scholar] [CrossRef]
- Ivushkin, K.; Bartholomeus, H.; Bregt, A.K.; Pulatov, A.; Kempen, B.; de Sousa, L. Global mapping of soil salinity change. Remote Sens. Environ. 2019, 231, 111260. [Google Scholar] [CrossRef]
- Hu, Y.; Yang, F.; Yang, N.; Jia, W.; Yong, C. Analysis and Prospects of Saline-alkali Land in China from the Perspective of Utilization. Chin. J. Soil Sci. 2023, 54, 489–494. (In Chinese) [Google Scholar]
- Luo, S.S.; Wang, S.J.; Tian, L.; Shi, S.H.; Xu, S.Q.; Yang, F.; Li, X.J.; Wang, Z.C.; Tian, C.J. Aggregate-related changes in soil microbial communities under different ameliorant applications in saline-sodic soils. Geoderma 2018, 329, 108–117. [Google Scholar] [CrossRef]
- Yuan, X.D.; Ran, C.; Gao, D.P.; Zhao, Z.X.; Meng, X.Y.; Geng, Y.Q.; Shao, X.W.; Chen, G. Changes in soil characteristics and rice yield under straw returning in saline sodic soils. Soil Sci. Plant Nutr. 2022, 68, 563–573. [Google Scholar] [CrossRef]
- Chi, C.M.; Zhao, C.W.; Sun, X.J.; Wang, Z.C. Reclamation of saline-sodic soil properties and improvement of rice (Oriza sativa L.) growth and yield using desulfurized gypsum in the west of Songnen Plain, northeast China. Geoderma 2012, 187–188, 24–30. [Google Scholar] [CrossRef]
- Ran, C.; Gao, D.P.; Bai, T.Q.; Geng, Y.Q.; Shao, X.W.; Guo, L.Y. Straw return alleviates the negative effects of saline sodic stress on rice by improving soil chemistry and reducing the accumulation of sodium ions in rice leaves. Agric. Ecosyst. Environ. 2023, 342, 108253. [Google Scholar] [CrossRef]
- Olsson, L.; Cotrufo, F.; Crews, T.; Franklin, J.; King, A.; Mirzabaev, A.; Scown, M.; Tengberg, A.; Villarino, S.; Wang, Y.F. The State of the World’s Arable Land. Annu. Rev. Environ. Resour. 2023, 48, 451–475. [Google Scholar] [CrossRef]
- Amy, M.; Pete, S.; Terence, P.D. Impacts of land use, population, and climate change on global food security. Food Energy Secur. 2021, 10, e261. [Google Scholar]
- Xu, Z.K.; Shao, T.; Lv, Z.; Yue, Y.; Liu, A.H.; Long, X.H.; Zhou, Z.S.; Gao, X.M.; Zed, R. The mechanisms of improving coastal saline soils by planting rice. Sci. Total Environ. 2020, 703, 135529. [Google Scholar] [CrossRef]
- Liu, D.D.; She, D.L.; Mu, X.M. Water flow and salt transport in bare saline-sodic soils subjected to evaporation and intermittent irrigation with saline/distilled water. Land Degrad. Dev. 2019, 30, 1204–1218. [Google Scholar] [CrossRef]
- Wei, H.H.; Geng, X.Y.; Zhu, W.; Zhang, X.; Zhang, X.B.; Chen, Y.L.; Huo, Z.Y.; Xu, K.; Zhou, G.S.; Meng, T.Y.; et al. Individual and combined influences of salinity and drought stress on the agro-physiological traits and grain yield of rice. Field Crops Res. 2023, 304, 109172. [Google Scholar] [CrossRef]
- Gao, J.; Ran, C.; Hou, H.M.; Guo, L.Y.; Zhang, Q.; Geng, Y.Q.; Shao, X.W. Synergistic improvement of straw degradation and rice yield in saline sodic paddy soils by rational nitrogen application. Plant Soil. [CrossRef]
- Zhu, L.; Hu, N.; Zhang, Z.; Xu, J.; Tao, B.; Meng, Y. Short-term responses of soil organic carbon and carbon pool management index to different annual straw return rates in a rice-wheat cropping system. Catena 2015, 135, 283–289. [Google Scholar] [CrossRef]
- Ma, S.; Kan, Z.; Qi, J.; Zhang, H. Effects of Straw Return Mode on Soil Aggregates and Associated Carbon in the North China Plain. Agronomy 2020, 10, 61. [Google Scholar] [CrossRef]
- Liu, X.H.; Ren, Y.J.; Gao, C.; Yan, Z.X.; Li, Q.Q. Compensation effect of winter wheat grain yield reduction under straw mulching in wide-precision planting in the North China Plain. Sci. Rep. 2017, 7, 213. [Google Scholar] [CrossRef]
- Shan, A.; Pan, J.; Kang, K.J.; Pan, M.; Wang, G.; Wang, M.; He, Z.; Yang, X. Effects of straw return with N fertilizer reduction on crop yield, plant diseases and pests and potential heavy metal risk in a Chinese rice paddy: A field study of 2 consecutive wheat-rice cycles. Environ. Pollut. 2021, 288, 117741. [Google Scholar] [CrossRef]
- Gupta, R.K.; Sidhu, H.S. Nitrogen and residue management effects on agronomic productivity and nitrogen use efficiency in rice-wheat system in Indian Punjab. Nutr. Cycl. Agroecosystems 2009, 84, 141–154. [Google Scholar]
- Singh, M.; Sharma, S. Effect of wheat residue management practices and nitrogen rates on productivity and nutrient uptake of rice (Oryza sativa)-wheat (Triticum aestivum) cropping system. Indian J. Agric. Sci. 2013, 12, 835–839. [Google Scholar]
- Fan, H.S.; Jia, S.Q.; Yu, M.; Chen, X.J.; Shen, A.; Su, Y. Long-term straw return increases biological nitrogen fixation by increasing soil organic carbon and decreasing available nitrogen in rice-rape rotation. Plant Soil 2022, 479, 267–279. [Google Scholar] [CrossRef]
- Latifmanesh, H.; Deng, A.; Li, L.; Chen, Z.; Zheng, Y.; Bao, X.; Zheng, C.; Zhang, W. How incorporation depth of corn straw affects straw degradation rate and C&N release in the wheat-corn cropping system. Agric. Ecosyst. Environ. 2020, 300, 107000. [Google Scholar]
- Ran, C.; Gao, D.P.; Liu, W.Y.; Bai, T.Q.; Guo, L.Y.; Shao, X.W.; Geng, Y.Q. Straw and nitrogen amendments improve soil, rice yield, and roots in a saline sodic soil. Rhizosphere 2022, 24, 100606. [Google Scholar] [CrossRef]
- Lakhdar, A.; Rabhi, M.; Ghnaya, T.; Montemurro, F.; Jedidi, N.; Abdelly, C. Effectiveness of compost use in salt-affected soil. J. Hazard. Mater. 2009, 171, 29–37. [Google Scholar] [CrossRef] [PubMed]
- Mandal, U.K.; Warrington, D.N.; Bhardwaj, A.K.; Bar-Tal, A.; Kautsky, L.; Minz, D.; Levy, G.J. Evaluating impact of irrigation water quality on a calcareous clay soil using principal component analysis. Geoderma 2008, 144, 189–197. [Google Scholar] [CrossRef]
- Chen, X.; Wu, J.; Opoku-Kwanowaa, Y. Effects of Returning Granular Corn Straw on Soil Humus Composition and Humic Acid Structure Characteristics in Saline-Alkali Soil. Sustainability 2020, 12, 1005. [Google Scholar] [CrossRef]
- Liu, C.; Lu, M.; Cui, J.; Li, B.; Fang, C.M. Effects of straw carbon input on carbon dynamics in agricultural soils: A meta-analysis. Glob. Change Biol. 2014, 20, 1366–1381. [Google Scholar] [CrossRef]
- Blaud, A.; Lerch, T.Z.; Chevallier, T.; Nunan, N.; Chenu, C.; Brauman, A. Dynamics of Bacterial Communities in Relation to Soil Aggregate Formation during the Degradation of 13C-labelled Rice Straw. Appl. Soil Ecol. 2012, 53, 1–9. [Google Scholar] [CrossRef]
- Wang, X.J.; Jia, Z.K.; Liang, L.Y.; Zhao, Y.F.; Yang, B.P.; Ding, R.X.; Wang, J.P.; Nie, J.F. Changes in soil characteristics and maize yield under straw returning system in dryland farming. Field Crops Res 2018, 218, 11–17. [Google Scholar] [CrossRef]
- Zhao, Y.G.; Wang, S.J.; Li, Y.; Zhuo, Y.Q.; Liu, J. Effects of straw layer and flue gas desulfurization gypsum treatments on soil salinity and sodicity in relation to sunflower yield. Geoderma 2019, 352, 13–21. [Google Scholar] [CrossRef]
- Liao, X.; Yang, F.; Wang, Z.C.; Guan, Q.J.; He, M.L.; An, F.H.; Yang, H.T.; Zhao, D.D.; Zhu, W.D. Effects of decomposed straw and desulfurized gypsum on salt leaching in saline-sodic soils. Soils Crops 2020, 9, 74–82. (In Chinese) [Google Scholar]
- Xie, W.J.; Chen, Q.F.; Wu, L.F.; Yang, H.J.; Xu, J.K.; Zhang, Y.P. Coastal saline soil aggregate formation and salt distribution are affected by straw and nitrogen application: A 4-year field study. Soil Tillage Res. 2020, 198, 104535. [Google Scholar] [CrossRef]
- Bischoff, N.; Mikutta, R.; Shibistova, O.; Dohrmann, R.; Herdtle, D.; Gerhard, L.; Fritzsche, F.; Puzanov, A.; Silanteva, M.; Grebennikova, A.; et al. Organic matter dynamics along a salinity gradient in Siberian steppe soils. Biogeosciences 2018, 15, 13–29. [Google Scholar] [CrossRef]
- Leogrande, R.; Vitti, C. Use of organic amendments to reclaim saline and sodic soils: A review. Arid Land Res. Manag. 2018, 33, 1–21. [Google Scholar] [CrossRef]
- Zhao, S.; Zhang, S.; Paz-Ferreiro, J. Linkages between straw degradation rate and the change in microbial fractions and extracellular enzyme activities in soils under different long-term fertilization treatments. PLoS ONE 2018, 13, e0202660. [Google Scholar] [CrossRef] [PubMed]
- McMahon, P.B.; Vroblesky, D.A.; Bradley, P.M.; Chapelle, F.H.; Gullett, C.D. Evidence for Enhanced Mineral Dissolution in Organic acid-rich Shallow Ground Water. Ground Water 1995, 33, 207–216. [Google Scholar] [CrossRef]
- Zhao, S.; Liu, J.J.; Banerjee, S.; Zhou, N.; Zhao, Z.Y.; Zhang, K.; Tian, C.Y. Soil pH Is Equally Important as Salinity in Shaping Bacterial Communities in Saline Soils under Halophytic Vegetation. Sci. Rep. 2018, 8, 4550. [Google Scholar] [CrossRef]
- Liu, X.M.; Tian, J.; Zhang, H.; Liu, F.W.; Wang, G.L.; Fan, W.H. Effects of Amendment on Aggregates Composition and Organic Carbon Content in Reclaimed Soil. J. Soil Water Conserv. 2021, 35, 326–333. (In Chinese) [Google Scholar]
- Joumri, L.E.; Labjar, N.; El Hajjaji, S.; Douaik, A.; Benali, A.; Halima, O.I.; Dhiba, D.; Zouahri, A. Can Co-Composted Olive Mill by Products be an Environmentally Conscious Approach for Enhancing Soil Fertility and Plant growth? A Review. J. Soil Sci. Plant Nutr. 2024, 24, 1720–1740. [Google Scholar] [CrossRef]
- Che, W.K.; Piao, J.L.; Gao, Q.; Li, X.B.; Li, X.; Jin, F. Response of soil physicochemical properties, soil nutrients, enzyme activity and rice yield to rice straw returning in highly saline-alkali paddy soils. J. Soil Sci. Plant Nutr. 2023, 23, 4396–4411. [Google Scholar] [CrossRef]
- Purkaystha, J.; Prasher, S.; Afzal, M.T.; Nzediegwu, C.; Dhiman, J. Wheat straw biochar amendment significantly reduces nutrient leaching and increases green pepper yield in a less fertile soil. Environ. Technol. Innov. 2022, 28, 102655. [Google Scholar] [CrossRef]
- Bai, Y.; Deng, W.; Ll, Y.C.; Zhang, X.S.; Wu, J.; Dou, Y.Q. Effects of Rice Straw Pretreatment and Returning on Soil Nutrient Leaching and COD. J. Soil Water Conserv. 2020, 34, 238–244. (In Chinese) [Google Scholar]
- Yang, H.J.; Xia, J.B.; Xie, W.J.; Wei, S.C.; Cui, Q.; Shao, P.S.; Sun, J.K.; Dong, K.K.; Qi, X.C. Effects of straw returning and nitrogen addition on soil quality of a coastal saline soil: A field study of four consecutive wheat-maize cycles. Land Degrad. Dev. 2022, 34, 2061–2072. [Google Scholar] [CrossRef]
- Song, T.S.; Wang, J.K.; Xu, X.Y.; Sun, C.X.; Sun, C.; Chen, Z.H.; Zhang, Y.L.; Hao, L.Y. Microbial community and network differently reshaped by crushed straw or biochar incorporation and associated with nitrogen fertilizer level. Glob. Chang. Biol. Bioenergy 2023, 15, 1255–1272. [Google Scholar] [CrossRef]
- Liu, L.; Liu, D.M.; Ding, X.D.; Chen, M.M.; Zhang, S.R. Straw incorporation and nitrogen fertilization enhance soil carbon sequestration by altering soil aggregate and microbial community composition in saline-alkali soil. Plant Soil 2024, 498, 341–356. [Google Scholar] [CrossRef]
- Zhao, H.L.; Ning, P.; Chen, Y.L.; Liu, J.F.; Ghaffar, S.A.; Tian, X.L.; Shi, J.L. Effect of straw amendment modes on soil organic carbon, nitrogen sequestration and crop yield on the North-Central Plain of China. Soil Use Manag. 2019, 35, 511–525. [Google Scholar] [CrossRef]
- Zhang, J.; Zhang, F.H.; Yang, L. Continuous straw returning enhances the carbon sequestration potential of soil aggregates by altering the quality and stability of organic carbon. J. Environ. Manag. 2024, 358, 120903. [Google Scholar] [CrossRef]
- Gao, H.J.; Peng, C.; Zhang, X.Z.; Li, Q.; Zhu, P.; Wang, L.C. Effects of Corn Straw Returning Amounts on Carbon Sequestration Efficiency and Organic Carbon Change of Soil and Aggregate in the Black Soil Area. Sci. Agric. Sin. 2020, 53, 4613–4622. (In Chinese) [Google Scholar]
- He, W.; Wang, H.; Ye, W.H.; Tian, Y.L.; Hu, G.Q.; Lou, Y.H.; Pan, H.; Quangang Yang, Q.G.; Zhuge, Y.P. Distinct stabilization characteristics of organic carbon in coastal salt-affected soils with different salinity under straw return management. Land Degrad. Dev. 2022, 33, 2246–2257. [Google Scholar] [CrossRef]
- Kubar, K.A.; Huang, L.; Xue, B.; Li, X.K.; Lu, J.W. Straw management stabilizes the chemical composition of Soil Organic Carbon (SOC): The relationship with aggregate-associated C in a rice-rape cropping system. Land Degrad. Dev. 2021, 32, 851–866. [Google Scholar] [CrossRef]
- Bu, R.Y.; Cheng, W.L.; Han, S.; Hu, R.; Wang, H.; Tang, S.; Li, M.; Zhu, Q.; Wu, J.; Cao, W.D. Continuous Co-incorporation of Chinese Milk Vetch and Rice Straw with Reduced Chemical Fertilizer Maintains Rice Yield as a Consequence of Increased Carbon and Nitrogen Storage in Soil Aggregates. J. Soil Sci. Plant Nutr. 2023, 23, 3361–3372. [Google Scholar] [CrossRef]
- Wang, J.J.; Hussain, S.; Sun, X.; Zhang, P.; Javed, T.; Dessoky, E.S.; Ren, X.L.; Chen, X.L. Effects of Nitrogen Application Rate Under Straw Incorporation on Photosynthesis, Productivity and Nitrogen Use Efficiency in Winter Wheat. Front. Plant Sci. 2022, 13, 862088. [Google Scholar] [CrossRef] [PubMed]
- Huang, S.Y.; Gao, X.; Zeng, L.; Zhang, M.L.; Zhang, L.Y.; Wang, S.Y.; Zhao, Y.Z.; Zhou, W.; Ai, C. Microbial role in enhancing transfer of straw-derived nitrogen to wheat under nitrogen fertilization. Soil Tillage Res. 2024, 239, 106037. [Google Scholar] [CrossRef]
- IUSS Working Group WRB. World Reference Base for Soil Resources 2014. In International Soil Classification System for Naming Soils and Creating Legends for Soil Maps; World Soil Resources Reports No. 106; FAO: Rome, Italy, 2014; p. 181. [Google Scholar]
- Yao, Z.; Zhang, W.; Wang, X.B.; Zhang, L.; Zhang, W.; Liu, D.; Chen, X.P. Agronomic, environmental, and ecosystem economic benefits of controlled-release nitrogen fertilizers for maize production in Southwest China. J. Clean. Prod. 2021, 312, 127611. [Google Scholar] [CrossRef]
- China Statistical Yearbook-2021; China Statistics Press: Beijing, China, 2021.
- Gao, J.Y.; Zhao, Z.X.; Zhang, Y.T.; Ran, C.; Geng, Y.Q.; Zhang, Q.; Du, J.; Guo, L.Y.; Shao, X.W. Straw return with nitrogen fertilizer promotes rice yield through change in nutrient dynamics within soil aggregates in saline sodic soils. J. Soils Sediments 2024, 24, 928–945. [Google Scholar] [CrossRef]
- Bao, S.D. Agrochemical Analysis of Soils; China Agricultural Press: Beijing, China, 2000. [Google Scholar]
- Chi, C.M.; Wang, Z.C. Characterizing Salt-Affected Soils of Songnen Plain Using Saturated Paste and 1:5 Soil-to-Water Extraction Methods. Arid Land Res. Manag. 2010, 24, 1–11. [Google Scholar] [CrossRef]
- Lu, R.K. Soil Agro-Chemical Analysis; Agricultural Scientech Press: Beijing, China, 2000. [Google Scholar]
- Kuo, Y.L.; Lee, C.H.; Jien, S.H. Reduction of nutrient leaching potential in coarse-textured soil by using biochar. Water 2020, 12, 2012. [Google Scholar] [CrossRef]
- Mi, W.H.; Sun, Y.; Xia, S.Q.; Zhao, H.T.; Mi, W.T.; Brookes, P.C.; Liu, Y.L.; Wu, L.H. Effect of inorganic fertilizers with organic amendments on soil chemical properties and rice yield in a low-productivity paddy soil. Geoderma 2018, 320, 23–29. [Google Scholar] [CrossRef]
- Chi, C.M.; Zhao, C.W.; Sun, X.J.; Wang, Z.C. Estimating exchangeable sodium percentage from sodium adsorption ratio of salt-affected soil in the songnen plain of Northeast China. Pedosphere 2011, 21, 271–276. [Google Scholar] [CrossRef]













| Parameter | Unit | Mean |
|---|---|---|
| Sand | % | 12.2 |
| Silt | % | 65 |
| Clay | % | 22.8 |
| Bulk density (BD) | g cm−3 | 1.52 |
| pH | - | 8.91 |
| Electrical conductivity of soil saturation extract (ECe) | dS m−1 | 12.58 |
| Soil salinity | g kg−1 | 3.29 |
| Exchangeable sodium (ENa+) | cmolc kg−1 | 5.34 |
| Cation exchange capacity (CEC) | cmolc kg−1 | 14.11 |
| Exchangeable sodium percentage (ESP) | % | 37.87 |
| Total N | g kg−1 | 0.32 |
| Organic matter | g kg−1 | 6.08 |
| Available P | mg kg−1 | 8.84 |
| Available K | mg kg−1 | 102.34 |
Disclaimer/Publisher’s Note: The statements, opinions and data contained in all publications are solely those of the individual author(s) and contributor(s) and not of MDPI and/or the editor(s). MDPI and/or the editor(s) disclaim responsibility for any injury to people or property resulting from any ideas, methods, instructions or products referred to in the content. |
© 2024 by the authors. Licensee MDPI, Basel, Switzerland. This article is an open access article distributed under the terms and conditions of the Creative Commons Attribution (CC BY) license (https://creativecommons.org/licenses/by/4.0/).
Share and Cite
Ran, C.; Li, J.; Gao, Y.; Xie, Y.; Li, Y.; Yang, J.; Geng, Y.; Guo, L.; Gao, D.; Shao, X. Effects of Straw Management and Nitrogen Application Rate on Soil’s Physicochemical Properties and Rice Yield in Saline–Sodic Paddy Fields. Plants 2024, 13, 3475. https://doi.org/10.3390/plants13243475
Ran C, Li J, Gao Y, Xie Y, Li Y, Yang J, Geng Y, Guo L, Gao D, Shao X. Effects of Straw Management and Nitrogen Application Rate on Soil’s Physicochemical Properties and Rice Yield in Saline–Sodic Paddy Fields. Plants. 2024; 13(24):3475. https://doi.org/10.3390/plants13243475
Chicago/Turabian StyleRan, Cheng, Jiaquan Li, Ya Gao, Yaoru Xie, Yangyang Li, Jiguo Yang, Yanqiu Geng, Liying Guo, Dapeng Gao, and Xiwen Shao. 2024. "Effects of Straw Management and Nitrogen Application Rate on Soil’s Physicochemical Properties and Rice Yield in Saline–Sodic Paddy Fields" Plants 13, no. 24: 3475. https://doi.org/10.3390/plants13243475
APA StyleRan, C., Li, J., Gao, Y., Xie, Y., Li, Y., Yang, J., Geng, Y., Guo, L., Gao, D., & Shao, X. (2024). Effects of Straw Management and Nitrogen Application Rate on Soil’s Physicochemical Properties and Rice Yield in Saline–Sodic Paddy Fields. Plants, 13(24), 3475. https://doi.org/10.3390/plants13243475

