Impacts of Micro/Nanoplastics Combined with Graphene Oxide on Lactuca sativa Seeds: Insights into Seedling Growth, Oxidative Stress, and Antioxidant Gene Expression
Abstract
1. Introduction
2. Materials and Methods
2.1. Test Materials
2.2. Physicochemical Analysis
2.3. Germination of Lettuce Seeds
2.4. Antioxidant Activity Assays
2.5. Antioxidant Gene Expression Assays
2.6. Assessment of Mixture Effects
2.7. Data Mining and Statistical Analysis
3. Results
3.1. Physicochemical Characterizations
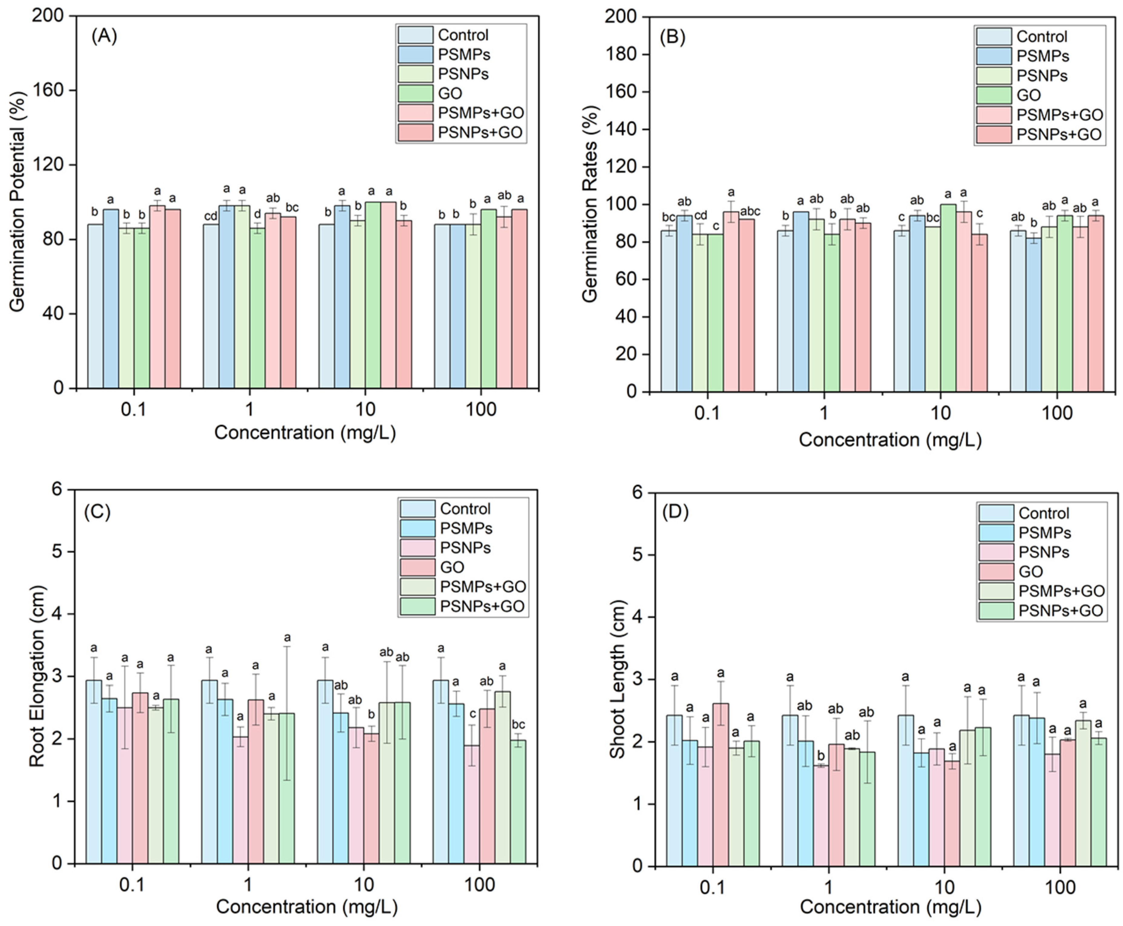
3.2. Seed Germination and Seedling Growth
3.3. Antioxidant Evaluation in the Seedlings
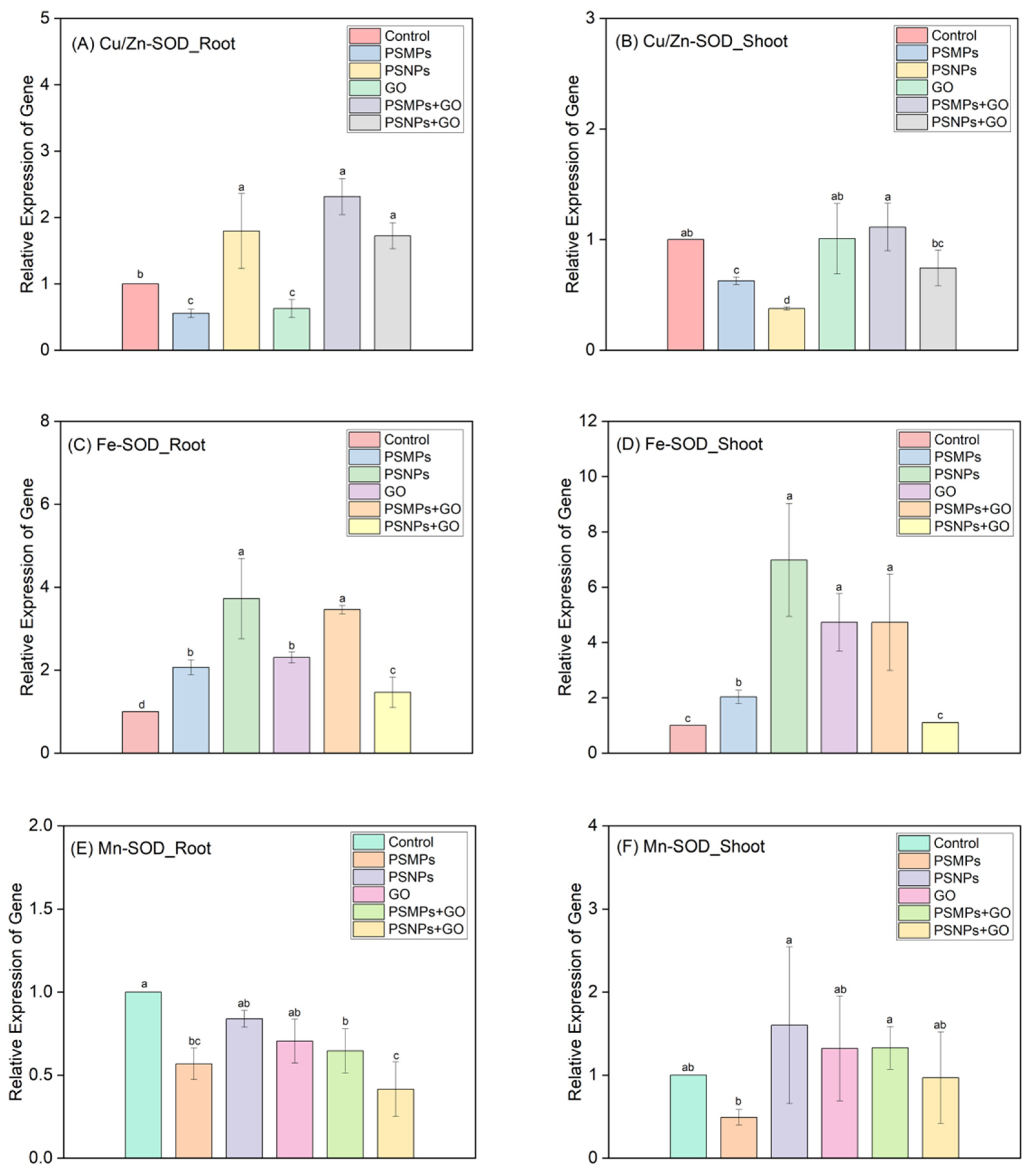
3.4. Expression of SOD Family Genes
4. Discussion
5. Conclusions
Supplementary Materials
Author Contributions
Funding
Data Availability Statement
Conflicts of Interest
References
- Dehghanian, Z.; Asgari Lajayer, B.; Biglari Quchan Atigh, Z.; Nayeri, S.; Ahmadabadi, M.; Taghipour, L.; Senapathi, V.; Astatkie, T.; Price, G.W. Micro (nano) plastics uptake, toxicity and detoxification in plants: Challenges and prospects. Ecotoxicol. Environ. Saf. 2023, 268, 115676. [Google Scholar] [CrossRef]
- Guo, Z.; Li, J.; Zhang, Z. Meta-analysis for systematic review of global micro/nano-plastics contamination versus various freshwater microalgae: Toxicological effect patterns, taxon-specific response, and potential eco-risks. Water Res. 2024, 258, 121706. [Google Scholar] [CrossRef] [PubMed]
- Liu, Q.; Chen, Z.; Chen, Y.; Yang, F.; Yao, W.; Xie, Y. Microplastics and nanoplastics: Emerging contaminants in food. J. Agric. Food Chem. 2021, 69, 10450–10468. [Google Scholar] [CrossRef]
- Habumugisha, T.; Zhang, Z.; Uwizewe, C.; Yan, C.; Ndayishimiye, J.C.; Rehman, A.; Zhang, X. Toxicological review of micro- and nano-plastics in aquatic environments: Risks to ecosystems, food web dynamics and human health. Ecotoxicol. Environ. Saf. 2024, 278, 116426. [Google Scholar] [CrossRef] [PubMed]
- Zheng, S.; Tang, B.Z.; Wang, W.X. Microplastics and nanoplastics induced differential respiratory damages in tilapia fish Oreochromis niloticus. J. Hazard. Mater. 2024, 465, 133181. [Google Scholar] [CrossRef] [PubMed]
- Allouzi, M.M.A.; Tang, D.Y.Y.; Chew, K.W.; Rinklebe, J.; Bolan, N.; Allouzi, S.M.A.; Show, P.L. Micro (nano) plastic pollution: The ecological influence on soil-plant system and human health. Sci. Total Environ. 2021, 788, 147815. [Google Scholar] [CrossRef] [PubMed]
- Zainab, R.; Hasnain, M.; Ali, F.; Abideen, Z.; Siddiqui, Z.S.; Jamil, F.; Hussain, M.; Park, Y.K. Prospects and challenges of nanopesticides in advancing pest management for sustainable agricultural and environmental service. Environ. Res. 2024, 2, 119722. [Google Scholar] [CrossRef]
- Zhang, P.; Jiang, Y.; Schwab, F.; Monikh, F.A.; Grillo, R.; White, J.C.; Guo, Z.; Lynch, I. Strategies for enhancing plant immunity and resilience using nanomaterials for sustainable agriculture. Environ. Sci. Technol. 2024, 58, 9051–9060. [Google Scholar] [CrossRef]
- Bhattacharya, N.; Cahill, D.M.; Yang, W.; Kochar, M. Graphene as a nano-delivery vehicle in agriculture—current knowledge and future prospects. Crit. Rev. Biotechnol. 2023, 43, 851–869. [Google Scholar] [CrossRef]
- Gupta, T.; Ratandeep; Dutt, M.; Kaur, B.; Punia, S.; Sharma, S.; Sahu, P.K.; Pooja; Saya, L. Graphene-based nanomaterials as potential candidates for environmental mitigation of pesticides. Talanta 2024, 272, 125748. [Google Scholar] [CrossRef]
- Pratap Singh Raman, A.; Thakur, G.; Pandey, G.; Kumari, K.; Singh, P. An updated review on functionalized graphene as sensitive materials in sensing of pesticides. Chem. Biodivers. 2024, 21, e202302080. [Google Scholar] [CrossRef] [PubMed]
- Yuan, X.; Wang, Z.; Peijnenburg, W.J.G.M. Molecular characterization and transcriptional response of Lactuca sativa seedlings to co-exposure to graphene nanoplatelets and titanium dioxide nanoparticles. Ecotoxicol. Environ. Saf. 2024, 282, 116761. [Google Scholar] [CrossRef]
- Zhang, X.; Cao, H.; Wang, H.; Zhao, J.; Gao, K.; Qiao, J.; Li, J.; Ge, S. The effects of graphene-family nanomaterials on plant growth: A review. Nanomaterials 2022, 12, 936. [Google Scholar] [CrossRef] [PubMed]
- Hu, X.; Zhou, Q. Health and ecosystem risks of graphene. Chem. Rev. 2013, 113, 3815–3835. [Google Scholar] [CrossRef] [PubMed]
- Hu, L.; Feng, X.; Lan, Y.; Zhang, J.; Nie, P.; Xu, H. Co-exposure with cadmium elevates the toxicity of microplastics: Trojan horse effect from the perspective of intestinal barrier. J. Hazard. Mater. 2024, 466, 133587. [Google Scholar] [CrossRef] [PubMed]
- Magalhães de Paula, T.N.; Souza Vendemiatti, J.A.; Camparotto, N.G.; Toledo, B.; Oliveira, Á.C.; Neves, T.F.; Umbuzeiro, G.A.; Prediger, P. Behavior of two classes of organic contaminants in the presence of graphene oxide: Ecotoxicity, physicochemical characterization and theoretical calculations. Sci. Total Environ. 2022, 822, 153515. [Google Scholar] [CrossRef]
- Wei, T.; van Treuren, R.; Liu, X.; Zhang, Z.; Chen, J.; Liu, Y.; Dong, S.; Sun, P.; Yang, T.; Lan, T.; et al. Whole-genome resequencing of 445 Lactuca accessions reveals the domestication history of cultivated lettuce. Nat. Genet. 2021, 53, 752–760. [Google Scholar] [CrossRef]
- Yang, J.; Su, L.; Li, D.; Luo, L.; Sun, K.; Yang, M.; Gu, F.; Xia, A.; Liu, Y.; Wang, H.; et al. Dynamic transcriptome and metabolome analyses of two types of rice during the seed germination and young seedling growth stages. BMC Genom. 2020, 21, 603. [Google Scholar] [CrossRef]
- Abbott, W. A method of computing the effectiveness of an insecticide. J. Econ. Entomol. 1925, 18, 265–267. [Google Scholar] [CrossRef]
- Kumar, D.; Biswas, J.K.; Mulla, S.I.; Singh, R.; Shukla, R.; Ahanger, M.A.; Shekhawat, G.S.; Verma, K.K.; Siddiqui, M.W.; Seth, C.S. Micro and nanoplastics pollution: Sources, distribution, uptake in plants, toxicological effects, and innovative remediation strategies for environmental sustainability. Plant Physiol. Biochem. 2024, 213, 108795. [Google Scholar] [CrossRef]
- Zhou, Z.; Li, J.; Li, C.; Guo, Q.; Hou, X.; Zhao, C.; Wang, Y.; Chen, C.; Wang, Q. Effects of graphene oxide on the growth and photosynthesis of the emergent plant Iris pseudacorus. Plants 2023, 12, 1738. [Google Scholar] [CrossRef] [PubMed]
- Gong, W.; Zhang, W.; Jiang, M.; Li, S.; Liang, G.; Bu, Q.; Xu, L.; Zhu, H.; Lu, A. Species-dependent response of food crops to polystyrene nanoplastics and microplastics. Sci. Total Environ. 2021, 796, 148750. [Google Scholar] [CrossRef] [PubMed]
- Zhao, S.; Wang, W.; Chen, X.; Gao, Y.; Wu, X.; Ding, M.; Duo, L. Graphene oxide affected root growth, anatomy, and nutrient uptake in Alfalfa. Ecotoxicol. Environ. Saf. 2023, 250, 114483. [Google Scholar] [CrossRef] [PubMed]
- Lushchak, V.I. Contaminant-induced oxidative stress in fish: A mechanistic approach. Fish Physiol. Biochem. 2016, 42, 711–747. [Google Scholar] [CrossRef] [PubMed]
- Choi, O.; Hu, Z. Role of reactive oxygen species in determining nitrification inhibition by metallic/oxide nanoparticles. J. Environ. Eng. 2009, 135, 1365–1370. [Google Scholar] [CrossRef]
- Hatami, M.; Ghorbanpour, M. Metal and metal oxide nanoparticles-induced reactive oxygen species: Phytotoxicity and detoxification mechanisms in plant cell. Plant Physiol. Biochem. 2024, 213, 108847. [Google Scholar] [CrossRef]
- Gatasheh, M.K.; Shah, A.A.; Noreen, Z.; Usman, S.; Shaffique, S. FeONPs alleviate cadmium toxicity in Solanum melongena through improved morpho-anatomical and physiological attributes, along with oxidative stress and antioxidant defense regulations. BMC Plant Biol. 2024, 24, 742. [Google Scholar] [CrossRef]
- Rehman, S.; Rashid, A.; Manzoor, M.A.; Li, L.; Sun, W.; Riaz, M.W.; Li, D.; Zhuge, Q. Genome-wide evolution and comparative analysis of superoxide dismutase gene family in cucurbitaceae and expression analysis of Lagenaria siceraria under multiple abiotic stresses. Front. Genet. 2022, 12, 784878. [Google Scholar] [CrossRef]
- Zameer, R.; Fatima, K.; Azeem, F.; ALgwaiz, H.I.M.; Sadaqat, M.; Rasheed, A.; Batool, R.; Shah, A.N.; Zaynab, M.; Shah, A.A.; et al. Genome-wide characterization of superoxide dismutase (SOD) genes in Daucus carota: Novel insights into structure, expression, and binding interaction with hydrogen peroxide (H2O2) under abiotic stress condition. Front. Plant Sci. 2022, 13, 870241. [Google Scholar] [CrossRef]
- Yu, X.; Liang, L.; Xie, Y.; Tang, Y.; Tan, H.; Zhang, J.; Lin, L.; Sun, B.; Huang, Z.; Liu, J.; et al. Comparative analysis of Italian lettuce (Lactuca sativa L. var. ramose) transcriptome profiles reveals the molecular mechanism on exogenous melatonin preventing cadmium toxicity. Genes 2022, 13, 955. [Google Scholar] [CrossRef]







Disclaimer/Publisher’s Note: The statements, opinions and data contained in all publications are solely those of the individual author(s) and contributor(s) and not of MDPI and/or the editor(s). MDPI and/or the editor(s) disclaim responsibility for any injury to people or property resulting from any ideas, methods, instructions or products referred to in the content. |
© 2024 by the authors. Licensee MDPI, Basel, Switzerland. This article is an open access article distributed under the terms and conditions of the Creative Commons Attribution (CC BY) license (https://creativecommons.org/licenses/by/4.0/).
Share and Cite
Yuan, X.; Zhang, F.; Wang, Z. Impacts of Micro/Nanoplastics Combined with Graphene Oxide on Lactuca sativa Seeds: Insights into Seedling Growth, Oxidative Stress, and Antioxidant Gene Expression. Plants 2024, 13, 3466. https://doi.org/10.3390/plants13243466
Yuan X, Zhang F, Wang Z. Impacts of Micro/Nanoplastics Combined with Graphene Oxide on Lactuca sativa Seeds: Insights into Seedling Growth, Oxidative Stress, and Antioxidant Gene Expression. Plants. 2024; 13(24):3466. https://doi.org/10.3390/plants13243466
Chicago/Turabian StyleYuan, Xuancheng, Fan Zhang, and Zhuang Wang. 2024. "Impacts of Micro/Nanoplastics Combined with Graphene Oxide on Lactuca sativa Seeds: Insights into Seedling Growth, Oxidative Stress, and Antioxidant Gene Expression" Plants 13, no. 24: 3466. https://doi.org/10.3390/plants13243466
APA StyleYuan, X., Zhang, F., & Wang, Z. (2024). Impacts of Micro/Nanoplastics Combined with Graphene Oxide on Lactuca sativa Seeds: Insights into Seedling Growth, Oxidative Stress, and Antioxidant Gene Expression. Plants, 13(24), 3466. https://doi.org/10.3390/plants13243466

