Gastroprotective Effect of Hexanic Extract of Heliotropium indicum Against Ethanol-Induced Gastric Lesions in a CD1 Mouse Model
Abstract
1. Introduction
2. Results
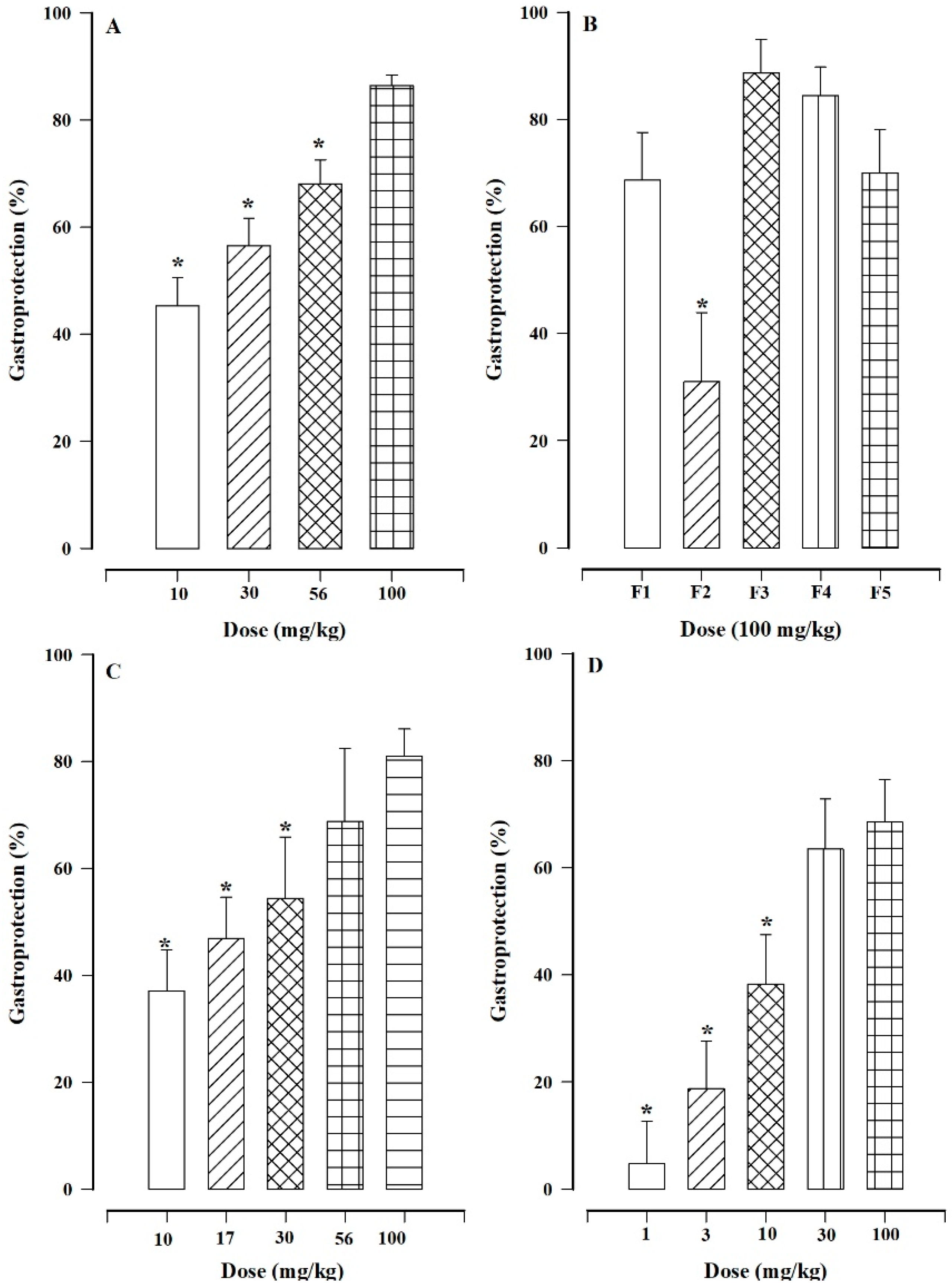
2.1. Gastroprotective Effect of Hexanic Extract
2.2. Evaluating the Fractions of the Hexanic Extract
2.3. Analysis of the Mixture of Compounds
2.4. The Roles of Prostaglandins, Nitric Oxide, and Sulfhydryl Groups in the Mechanism of Action
2.5. Effects of Treatment on Malondialdehyde (MDA), Superoxide Dismutase (SOD), Catalase (CAT), and Glutathione Peroxidase (GPx) Activities
2.6. Antisecretory Activity
3. Discussion
4. Materials and Methods
4.1. Animals Studies
4.2. Drugs and Compounds
4.3. Plant Material
4.4. Obtaining of the Extract of Hexane
4.5. Experimental Model (Ethanol-Induced Gastric Lesions)
4.6. Fractionation of Hexanic Extract
4.7. Mass Spectrometry Analysis
4.8. Evaluation of the Possible Mechanism of Action of the Mixture of Compounds (Prostaglandins, Nitric Oxide, and Non-Protein Sulfhydryl)
4.9. Stomach Extraction and Preparation for Antioxidant Activity
4.10. Evaluation of Antisecretory Effect (Pylorus Ligation)
5. Conclusions
Author Contributions
Funding
Data Availability Statement
Acknowledgments
Conflicts of Interest
References
- Gong, H.; Zhao, N.; Zhu, C.; Luo, L.; Liu, S. Treatment of gastric ulcer, traditional Chinese medicine may be a better choice. J. Ethnopharmacol. 2024, 324, 117793. [Google Scholar] [CrossRef] [PubMed]
- Wallace, J.L.; Granger, D.N. The cellular and molecular basis of gastric mucosal defense. FASEB J. 1996, 10, 731–740. [Google Scholar] [CrossRef] [PubMed]
- Sharifi-Rad, M.; Fokou, P.V.T.; Sharopov, F.; Martorell, M.; Ademiluyi, A.O.; Rajkovic, J.; Salehi, B.; Martins, N.; Iriti, M.; Sharifi-Rad, J. Antiulcer Agents: From Plant Extracts to Phytochemicals in Healing Promotion. Molecules 2018, 23, 1751. [Google Scholar] [CrossRef]
- Meng, J.; Chen, T.; Zhao, Y.; Lu, S.; Yu, H.; Chang, Y.; Chen, D. Study of the mechanism of anti-ulcer effects of virgin coconut oil on gastric ulcer-induced rat model. Arch. Med. Sci. 2019, 15, 1329–1335. [Google Scholar] [CrossRef] [PubMed]
- Abreu Miranda, M.; Lemos, M.; Alves Cowart, K.; Rodenburg, D.; McChesney, J.D.; Radwan, M.M.; Furtado, N.A.; Kenupp Bastos, J. Gastroprotective activity of the hydroethanolic extract and isolated compounds from the leaves of Solanum cernuum Vell. J. Ethnopharmacol. 2015, 172, 421–429. [Google Scholar] [CrossRef] [PubMed]
- Shah, N.H.; LePendu, P.; Bauer-Mehren, A.; Ghebremariam, Y.T.; Iyer, S.V.; Marcus, J.; Nead, K.T.; Cooke, J.P.; Leeper, N.J. Proton Pump Inhibitor Usage and the Risk of Myocardial Infarction in the General Population. PLoS ONE 2015, 10, e0124653. [Google Scholar] [CrossRef]
- Peng, Y.C.; Lin, C.L.; Hsu, W.Y.; Lu, I.T.; Yeh, H.Z.; Chang, C.S.; Kao, C.H. Proton Pump Inhibitor Use is Associated With Risk of Pancreatic Cancer: A Nested Case-Control Study. Dose Response 2018, 16, 1559325818803283. [Google Scholar] [CrossRef] [PubMed]
- Wangchuk, P.; Tobgay, T. Contributions of medicinal plants to the Gross National Happiness and Biodiscovery in Bhutan. J. Ethnobiol. Ethnomed. 2015, 11, 48. [Google Scholar] [CrossRef]
- Adelaja, A.A.; Ayoola, M.D.; Otulana, J.O.; Akinola, O.B.; Olayiwola, A.; Ejiwunmi, A.B. Evaluation of the histo-gastroprotective and antimicrobial activities of Heliotropium indicum linn (boraginaceae). Malays. J. Med. Sci. 2008, 15, 22–30. [Google Scholar]
- Nethaji, S.; Ushadevi, T.; Manoharan, C. Phytochemical screening and In vivo anti-ulcer activity of Ethanolic extract of Heliotropium indicum L. Int. J. Drug Dev. Res. 2013, 5, 140–144. [Google Scholar]
- López-Lorenzo, Y.; Sánchez-Mendoza, M.E.; Arrieta-Baez, D.; Perez-Ruiz, A.G.; Arrieta, J. Gastroprotective activity of (E)-ethyl-12-cyclohexyl-4,5-dihydroxydodec-2-enoate, a compound isolated from Heliotropium indicum: Role of nitric oxide, prostaglandins, and sulfhydryls in its mechanism of action. Pharm. Biol. 2022, 60, 1207–1213. [Google Scholar] [CrossRef] [PubMed]
- Moustafa, Y.M.; El-Azab, M.F.; Fouda, A. 15-PGDH inhibitors: The antiulcer effects of carbenoxolone, pioglitazone and verapamil in indomethacin induced peptic ulcer rats. Eur. Rev. Med. Pharmacol. Sci. 2013, 17, 2000–2009. [Google Scholar] [PubMed]
- Chávez-Piña, A.E.; Tapia-Álvarez, G.R.; Reyes-Ramínrez, A.; Navarrete, A. Carbenoxolone gastroprotective mechanism: Participation of nitric oxide/cGMP/KATP pathway in ethanol-induced gastric injury in the rat. Fundam. Clin. Pharmacol. 2011, 25, 717–722. [Google Scholar] [CrossRef] [PubMed]
- Sánchez-Mendoza, M.E.; López-Lorenzo, Y.; Cruz-Antonio, L.; Cruz-Oseguera, A.; García-Machorro, J.; Arrieta, J. Gastroprotective Effect of Juanislamin on Ethanol-Induced Gastric Lesions in Rats: Role of Prostaglandins, Nitric Oxide and Sulfhydryl Groups in the Mechanism of Action. Molecules 2020, 25, 2246. [Google Scholar] [CrossRef]
- Shanthi, S.; Lawrence, S.F. Essentials of Gastroenterology; John Wiley & Sons: Oxford, UK, 2017; pp. 35–49. [Google Scholar]
- Dunlap, J.J.; Patterson, S. PEPTIC ULCER DISEASE. Gastroenterol. Nurs. 2019, 42, 451–454. [Google Scholar] [CrossRef]
- Miller, T.A. Protective effects of prostaglandins against gastric mucosal damage: Current knowledge and proposed mechanisms. Am. J. Physiol. 1983, 245, G601–G623. [Google Scholar] [CrossRef]
- Takeuchi, K.; Amagase, K. Roles of Cyclooxygenase, Prostaglandin E2 and EP Receptors in Mucosal Protection and Ulcer Healing in the Gastrointestinal Tract. Curr. Pharm. Des. 2018, 24, 2002–2011. [Google Scholar] [CrossRef]
- Sánchez-Mendoza, M.E.; López-Lorenzo, Y.; Cruz-Antonio, L.; Arrieta-Baez, D.; Pérez-González, M.C.; Arrieta, J. First Evidence of Gastroprotection by Schinus molle: Roles of Nitric Oxide, Prostaglandins, and Sulfhydryls Groups in Its Mechanism of Action. Molecules 2022, 27, 7321. [Google Scholar] [CrossRef]
- Yandrapu, H.; Sarosiek, J. Protective Factors of the Gastric and Duodenal Mucosa: An Overview. Curr. Gastroenterol. Rep. 2015, 17, 24. [Google Scholar] [CrossRef]
- Dejban, P.; Eslami, F.; Rahimi, N.; Takzare, N.; Jahansouz, M.; Dehpour, A.R. Involvement of nitric oxide pathway in the anti-inflammatory effect of modafinil on indomethacin-, stress-, and ethanol-induced gastric mucosal injury in rat. Eur. J. Pharmacol. 2020, 887, 173579. [Google Scholar] [CrossRef]
- Loguercio, C.; Romano, M.; Di Sapio, M.; Nardi, G.; Taranto, D.; Grella, A.; Del Vecchio Blanco, C. Regional variations in total and nonprotein sulfhydryl compounds in the human gastric mucosa and effects of ethanol. Scand. J. Gastroenterol. 1991, 26, 1042–1048. [Google Scholar] [CrossRef] [PubMed]
- Shaw, S.; Herbert, V.; Colman, N.; Jayatilleke, E. Effect of ethanol-generated free radicals on gastric intrinsic factor and glutathione. Alcohol 1990, 7, 153–157. [Google Scholar] [CrossRef] [PubMed]
- Yuan, Y.; Wang, X.; Wang, Y.; Liu, Y.; Zhao, L.; Zhao, L.; Cai, S. The Gastroprotective Effect of Walnut Peptides: Mechanisms and Impact on Ethanol-Induced Acute Gastric Mucosal Injury in Mice. Nutrients 2023, 15, 4866. [Google Scholar] [CrossRef]
- Akinloye, O.A.; Akinloye, D.I.; Onigbinde, S.B.; Metibemu, D.S. Phytosterols demonstrate selective inhibition of COX-2: In-vivo and in-silico studies of Nicotiana tabacum. Bioorg. Chem. 2020, 102, 104037. [Google Scholar] [CrossRef] [PubMed]
- NOM-062-ZOO-1999; Especificaciones Técnicas Para la Producción, Cuidado y Uso de los Animales de Laboratorio. Norma Oficial Mexicana: Mexico City, Mexico, 2001. Available online: https://www.gob.mx/cms/uploads/attachment/file/203498/NOM-062-ZOO-1999_220801.pdf (accessed on 27 September 2024).
- Santos Cerqueira, G.; dos Santos e Silva, G.; Rios Vasconcelos, E.; Fragoso de Freitas, A.P.; Arcanjo Moura, B.; Silveira Macedo, D.; Lopes Souto, A.; Barbosa Filho, J.M.; de Almeida Leal, L.K.; de Castro Brito, G.A.; et al. Effects of hecogenin and its possible mechanism of action on experimental models of gastric ulcer in mice. Eur. J. Pharmacol. 2012, 683, 260–269. [Google Scholar] [CrossRef]
- Reyes-Chilpa, R.; Baggio, C.H.; Alavez-Solano, D.; Estrada-Muniz, E.; Kauffman, F.C.; Sanchez, R.I.; Mesia-Vela, S. Inhibition of gastric H+,K+-ATPase activity by flavonoids, coumarins and xanthones isolated from Mexican medicinal plants. J. Ethnopharmacol. 2006, 105, 167–172. [Google Scholar] [CrossRef]
- Byeon, S.; Oh, J.; Lim, J.S.; Lee, J.S.; Kim, J.S. Protective Effects of Dioscorea batatas Flesh and Peel Extracts against Ethanol-Induced Gastric Ulcer in Mice. Nutrients 2018, 10, 1680. [Google Scholar] [CrossRef]
- Laloo, D.; Prasad, S.K.; Sairam, K.; Hemalatha, S. Gastroprotective activity of polyphenolic-rich extract of Potentilla mooniana. Pharm. Biol. 2014, 52, 1532–1542. [Google Scholar] [CrossRef]
- Soumya, P.; Saha, S.; Palakurthy, S.R.; Pasupluleti, R. Evaluation of Synergistic Activity of Ethanolic Leaf Extracts of Tephrosia Purpurea and Bacopa Monnieri in Ulcer Induced Rats. Zhongguo Ying Yong Sheng Li Xue Za Zhi 2024, 40, e20240015. [Google Scholar] [CrossRef]





| MWobs | MWexact | Formula | Error (ppm) | MSigma | %RA |
|---|---|---|---|---|---|
| 347.2532 | 347.2557 | C20H36O3 [M+Na]+ | −7.2 | 17.5 | 10.8 |
| 361.2684 | 361.2713 | C21H38O3 [M+Na]+ | −8.1 | 10.2 | 5.1 |
| 375.2783 | 375.2870 | C22H40O3 [M+Na]+ | 11.1 | 8.9 | 2.3 |
| 389.2802 | 389.3026 | C23H42O3 [M+Na]+ | 3.3 | 20.5 | 1.4 |
| 403.2451 | 403.2479 | C24H35O5 [M+H]+ | −6.9 | 4.6 | 2.4 |
| 417.2608 | 417.2636 | C25H37O5 [M+H]+ | 6.5 | 11.6 | 7.2 |
| 431.2752 | 431.2792 | C26H39O5 [M+H]+ | 9.2 | 15.4 | 10.9 |
| 463.2642 | 463.2666 | C26H39O7 [M+H]+ | 5.2 | 4.7 | 20.3 |
| 477.2794 | 477.2823 | C27H41O7 [M+H]+ | 11.1 | 10.7 | 16.3 |
| 491.2947 | 491.3003 | C28H43O7 [M+H]+ | −11.4 | 9.0 | 23.2 |
| Treatment | Dose (mg/kg) | n | Volume mL | pH |
|---|---|---|---|---|
| Control | --- | 7 | 1.68 ± 0.51 | 1.89 ± 0.32 |
| Mixture of compounds | 100 | 7 | 1.02 ± 0.03 * | 2.3 ± 0.41 |
| Omeprazole | 30 | 7 | 1.57 ± 0.10 | 5.98 ± 0.24 # |
Disclaimer/Publisher’s Note: The statements, opinions and data contained in all publications are solely those of the individual author(s) and contributor(s) and not of MDPI and/or the editor(s). MDPI and/or the editor(s) disclaim responsibility for any injury to people or property resulting from any ideas, methods, instructions or products referred to in the content. |
© 2024 by the authors. Licensee MDPI, Basel, Switzerland. This article is an open access article distributed under the terms and conditions of the Creative Commons Attribution (CC BY) license (https://creativecommons.org/licenses/by/4.0/).
Share and Cite
Sánchez-Mendoza, M.E.; López-Lorenzo, Y.; Torres-Morales, X.d.R.; Cruz-Antonio, L.; Arrieta-Baez, D.; García-Machorro, J.; Arrieta, J. Gastroprotective Effect of Hexanic Extract of Heliotropium indicum Against Ethanol-Induced Gastric Lesions in a CD1 Mouse Model. Plants 2024, 13, 3449. https://doi.org/10.3390/plants13233449
Sánchez-Mendoza ME, López-Lorenzo Y, Torres-Morales XdR, Cruz-Antonio L, Arrieta-Baez D, García-Machorro J, Arrieta J. Gastroprotective Effect of Hexanic Extract of Heliotropium indicum Against Ethanol-Induced Gastric Lesions in a CD1 Mouse Model. Plants. 2024; 13(23):3449. https://doi.org/10.3390/plants13233449
Chicago/Turabian StyleSánchez-Mendoza, María Elena, Yaraset López-Lorenzo, Ximena del Rocío Torres-Morales, Leticia Cruz-Antonio, Daniel Arrieta-Baez, Jazmín García-Machorro, and Jesús Arrieta. 2024. "Gastroprotective Effect of Hexanic Extract of Heliotropium indicum Against Ethanol-Induced Gastric Lesions in a CD1 Mouse Model" Plants 13, no. 23: 3449. https://doi.org/10.3390/plants13233449
APA StyleSánchez-Mendoza, M. E., López-Lorenzo, Y., Torres-Morales, X. d. R., Cruz-Antonio, L., Arrieta-Baez, D., García-Machorro, J., & Arrieta, J. (2024). Gastroprotective Effect of Hexanic Extract of Heliotropium indicum Against Ethanol-Induced Gastric Lesions in a CD1 Mouse Model. Plants, 13(23), 3449. https://doi.org/10.3390/plants13233449

