Sign in to use this feature.

Years

Between: -

Subjects

remove_circle_outline
remove_circle_outline
remove_circle_outline
remove_circle_outline
remove_circle_outline
remove_circle_outline
remove_circle_outline

Journals

Article Types

Countries / Regions

remove_circle_outline
remove_circle_outline
remove_circle_outline
remove_circle_outline

Search Results (270)

Search Parameters:
Keywords = gastroprotection

Order results
Result details
Results per page
Select all
Export citation of selected articles as:
14 pages, 895 KB  
Review
Rebamipide as an Adjunctive Therapy for Gastrointestinal Diseases: An Umbrella Review
by Igor V. Maev, Alsu R. Khurmatullina, Dmitrii N. Andreev, Andrew V. Zaborovsky, Yury A. Kucheryavyy, Philipp S. Sokolov and Petr A. Beliy
Pharmaceuticals 2026, 19(1), 144; https://doi.org/10.3390/ph19010144 - 14 Jan 2026
Abstract
Objective: This umbrella review aimed to synthesize evidence from meta-analyses on the efficacy of rebamipide in major gastrointestinal disorders and dyspeptic symptoms. Methods: This umbrella review followed Joanna Briggs Institute standards and was registered in PROSPERO (CRD420251185686). A comprehensive search of [...] Read more.
Objective: This umbrella review aimed to synthesize evidence from meta-analyses on the efficacy of rebamipide in major gastrointestinal disorders and dyspeptic symptoms. Methods: This umbrella review followed Joanna Briggs Institute standards and was registered in PROSPERO (CRD420251185686). A comprehensive search of MEDLINE, EMBASE, Cochrane, and Scopus (1 January 1985, to 10 September 2025) was conducted to identify systematic reviews and meta-analyses assessing rebamipide therapy. Methodological quality was appraised using AMSTAR-2, ROBIS, and GRADE tools. Pooled data were analyzed using fixed- or random-effects models according to heterogeneity, as assessed using the I2 statistic. Results: Eleven meta-analyses (88 primary studies) were included. Rebamipide significantly improved H. pylori eradication (OR = 1.76; 95% CI: 1.44–2.16), reduced NSAID-induced mucosal injury (OR = 2.72; 95% CI: 1.89–5.14), enhanced ulcer healing after endoscopic submucosal dissection (OR = 2.28; 95% CI: 1.42–3.65), and alleviated dyspeptic symptoms (OR = 2.95; 95% CI: 1.04–8.37). Overall evidence quality was moderate to high, with low to moderate risk of bias. Conclusions: Rebamipide demonstrates consistent therapeutic benefits across diverse gastrointestinal disorders, improving H. pylori eradication rates, mucosal protection, ulcer healing, and symptom relief. These findings support rebamipide as an effective and well-tolerated adjunctive agent for the prevention and management of upper gastrointestinal diseases. Full article
(This article belongs to the Special Issue New and Emerging Treatment Strategies for Gastrointestinal Diseases)
Show Figures

Figure 1

17 pages, 1478 KB  
Article
Evaluation of Veterinary Prescription of Gastroprotectants in Dogs in Spain
by Patricia Olmeda, Carmen Rey, Fernando Rodríguez-Franco, Stanley L. Marks, Mercedes García-Sancho, David Díaz-Regañón, Alejandra Villaescusa and Ángel Sainz
Vet. Sci. 2026, 13(1), 61; https://doi.org/10.3390/vetsci13010061 - 8 Jan 2026
Viewed by 118
Abstract
The overprescription of gastroprotectants, in particular acid suppressants in dogs, is of increasing concern in veterinary medicine. There have been specific guidelines published to document the appropriate use of this class of drugs; however, the injudicious use of gastroprotectants continues to be a [...] Read more.
The overprescription of gastroprotectants, in particular acid suppressants in dogs, is of increasing concern in veterinary medicine. There have been specific guidelines published to document the appropriate use of this class of drugs; however, the injudicious use of gastroprotectants continues to be a concern and is often not evidence-based. The primary objective of the present study was to evaluate the veterinary prescription of gastroprotectants for dogs in Spain. A survey employing a snowball recruitment effect was distributed among small animal medicine veterinarians practicing in Spain. A total of 265 veterinarians participated in the survey. Proton pump inhibitors (PPIs) were found to be the most commonly prescribed gastroprotectant utilised by 50.6% of the participants. Veterinarians with fewer years of clinical experience and those focusing on the fields of internal medicine, emergency, and anaesthesia were more likely to adhere to evidence-based guidelines in their prescribing practices. Those who prescribed gastroprotectants less frequently tended to rely on PPIs and on international consensus guidelines. Although the main indications in which Spanish veterinarians used gastroprotectants was supported by scientific evidence, the injudicious administration of this class of drugs for disorders lacking robust scientific evidence or recommendations was well documented. Full article
(This article belongs to the Section Veterinary Biomedical Sciences)
Show Figures

Figure 1

15 pages, 2085 KB  
Review
A Comprehensive Review of the Antiulcerogenic and Antidiarrheal Properties of Croton L. Species (Euphorbiaceae)
by José Jailson Lima Bezerra and Antonio Fernando Morais de Oliveira
Compounds 2026, 6(1), 2; https://doi.org/10.3390/compounds6010002 - 1 Jan 2026
Viewed by 218
Abstract
Gastrointestinal disorders negatively affect populations worldwide. Considering the side effects of synthetic drugs, natural products can be a safe and effective alternative to help treat gastric ulcers and diarrhea. In this context, the present study reviewed the antiulcerogenic and antidiarrheal activities of species [...] Read more.
Gastrointestinal disorders negatively affect populations worldwide. Considering the side effects of synthetic drugs, natural products can be a safe and effective alternative to help treat gastric ulcers and diarrhea. In this context, the present study reviewed the antiulcerogenic and antidiarrheal activities of species of the genus Croton (Euphorbiaceae). The scientific documents were retrieved from different databases, covering publications from the first report on the topic in 1998 to October 2025. Although the genus Croton comprises approximately 1200 species, only 11 have been evaluated for their antiulcerogenic and antidiarrheal potential in in vivo and in vitro studies. Among the identified bioactive constituents, the diterpenes trans-dehydrocrotonin and trans-crotonin, isolated from Croton cajucara, demonstrated significant antiulcerogenic activity in several experimental models in vivo. Similarly, the compound crofelemer, isolated from the latex of the bark of Croton lechleri, has shown promising results in several clinical trials for the treatment of diarrhea. Furthermore, flavonoids including rutin and quercitrin have been detected in Croton campestris. Regarding gastroprotective mechanisms, evidence suggests that extracts and essential oils obtained from Croton species may act through the nitric oxide pathway, promoting an antiulcerogenic effect. Additional studies are needed to investigate the gastroprotective and antiulcerogenic potential of at least 17 Croton species used empirically in traditional medicine for the treatment of gastrointestinal disorders but still without scientific validation. Full article
Show Figures

Figure 1

17 pages, 406 KB  
Article
Balancing Pain Relief and Safety: Gastrointestinal and Cardiovascular Risk Assessment in Nonsteroidal Anti-Inflammatory Drug Users and the Role of Gastroprotective Co-Therapy
by Javedh Shareef, Sathvik Belagodu Sridhar, Zainab Mohamed Saeed and Amal Mohamed Rashed Alsereidi
Pharmaceuticals 2026, 19(1), 67; https://doi.org/10.3390/ph19010067 - 29 Dec 2025
Viewed by 406
Abstract
Background/Objectives: Nonsteroidal anti-inflammatory drugs (NSAIDs) are widely used for pain management but pose gastrointestinal (GI) and cardiovascular (CV) risks, particularly during long-term use. This study evaluated NSAID-prescribing patterns and the appropriateness of gastroprotective co-therapy among patients with varying GI and CV risk [...] Read more.
Background/Objectives: Nonsteroidal anti-inflammatory drugs (NSAIDs) are widely used for pain management but pose gastrointestinal (GI) and cardiovascular (CV) risks, particularly during long-term use. This study evaluated NSAID-prescribing patterns and the appropriateness of gastroprotective co-therapy among patients with varying GI and CV risk profiles. Methods: An observational, cross-sectional study was conducted in the outpatient pharmacy department over six months (March 2023 to August 2023) at a public secondary care facility. Data pertaining to patient demographics, NSAIDs prescription, and GI/CV risks were collected and reviewed from electronic health records. Descriptive statistics, chi-square tests, and logistic regression were performed. Results: A total of 1005 prescriptions containing 2051 NSAIDs were analyzed. Selective COX-2 inhibitors and non-selective NSAIDs were the most frequently prescribed. Only 42.1% of patients received proton-pump inhibitors despite guideline recommendations. Non-selective NSAIDs were significantly associated with CV history and GI risk (p < 0.0001). Logistic regression showed age, gender, CV history, and GI risk significantly influenced NSAID selection. Notably, non-selective NSAIDs continued to be prescribed among moderate- and high-GI-risk patients. Conclusions: Suboptimal adherence to guideline-recommended gastroprotective strategies was evident, particularly among high-risk patients. Comprehensive GI and CV risk assessment and the rational use of gastroprotective co-therapy are essential. Integrating evidence-based digital tools may enhance safer NSAID prescribing in routine practice. Full article
Show Figures

Figure 1

18 pages, 2002 KB  
Article
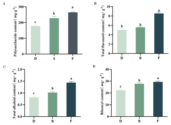
Quality Evaluation of Dendrobium huoshanense Under Different Cultivation Modes and Its Protective Effect on Ethanol-Induced Injury in GES-1 Cells
by Xinxin Li, Ziting Zhu, Jing Wu, Nianjun Yu, Huiqun Xie, Lan Han and Daiyin Peng
Plants 2025, 14(24), 3718; https://doi.org/10.3390/plants14243718 - 5 Dec 2025
Viewed by 632
Abstract
Dendrobium huoshanense, a rare and endangered medicinal orchid species endemic to Huoshan County, Anhui Province, faces a severe limit of wild resources. Its medicinal efficacy derives from unique chemical constituents, which vary significantly across cultivation modes. We systematically compared sensory properties and [...] Read more.
Dendrobium huoshanense, a rare and endangered medicinal orchid species endemic to Huoshan County, Anhui Province, faces a severe limit of wild resources. Its medicinal efficacy derives from unique chemical constituents, which vary significantly across cultivation modes. We systematically compared sensory properties and nutritional constituents (polysaccharides, flavonoids, alkaloids, bibenzyls, minerals, and free amino acids) between D. huoshanense in three cultivation modes—greenhouse cultivation, understory gravel cultivation, and wild-simulated cultivation. Additionally, the gastroprotective effects of wild-simulated cultivated D. huoshanense on gastric mucosal epithelial cells were evaluated. Results demonstrated that wild-simulated cultivation yielded significantly higher levels of nutritional constituents compared to gravel and greenhouse cultivation. Furthermore, wild-simulated cultivated D. huoshanense exhibited notable protective effects against gastric mucosal epithelial cell damage. This study not only elucidates the influence of cultivation modes on the chemical profile of D. huoshanense but also provides scientific evidence supporting its gastric protective properties, offering a foundation for its sustainable utilization and quality-oriented cultivation. Full article
(This article belongs to the Special Issue Ethnobotanical and Pharmacological Study of Medicinal Plants)
Show Figures

Figure 1

35 pages, 4618 KB  
Article
Phyto-Mediated Zinc Oxide Nanoparticles from Raphanus sativus (L.): Metabolomic Insights, Gastroprotective Potential, and Docking-Supported Evidence
by Doaa K. Alsayed, Seham S. El-Hawary, Mohamed A. El Raey, Gihan Fouad, Mohamed F. Abdelhameed, Ahmed F. Essa, Yasmine H. Ahmed, Saad A. Alshehri, Mohamed A. Rabeh and Amira K. Elmotayam
Life 2025, 15(11), 1710; https://doi.org/10.3390/life15111710 - 5 Nov 2025
Viewed by 694
Abstract
This study aimed to synthesize zinc oxide nanoparticles (ZnO-NPs) via a green sustainable approach using Raphanus sativus (L.) root extract and evaluate their gastroprotective effect against ethanol-induced gastric injury in rats. ZnO-NPs were characterized through UV–Vis spectroscopy, FT-IR, TEM, zeta potential analysis, and [...] Read more.
This study aimed to synthesize zinc oxide nanoparticles (ZnO-NPs) via a green sustainable approach using Raphanus sativus (L.) root extract and evaluate their gastroprotective effect against ethanol-induced gastric injury in rats. ZnO-NPs were characterized through UV–Vis spectroscopy, FT-IR, TEM, zeta potential analysis, and XRD. LC- MS-coupled metabolic profiling was employed to identify different phytochemical compounds in the plant. Oxidative stress biomarkers (GSSG, GPX, and CAT), gastric secretions (gastrin and histamine), inflammatory cytokines (TNF-α and NF-κB), and molecular markers (MMP-10 and pERK1/2) were evaluated. Treatment with ZnO-NPs and plant extract restored antioxidant enzyme activity in a dose-dependent manner and decreased oxidative and inflammatory markers. Histopathological and histochemical analyses confirmed the protection of the gastric mucosa. The ZnO-NPs at (200 mg/kg), showed superior efficacy over the extract and, in some cases, displayed equivalent or enhanced effects relative to the reference drug omeprazole. In silico findings support the gastroprotective potential of the plant by demonstrating strong binding associations for major phytochemicals. This paper highlights that green-synthesized ZnO-NPs exhibit a significant gastroprotective effect through the modulation of oxidative stress and inflammatory pathways, indicating their promise as a safe and effective alternative treatment for gastric ulcers. Full article
Show Figures

Figure 1

19 pages, 2453 KB  
Article
Safety Assessment and the Potential of a Postbiotic Powder Formulated from a Three-Strain Fermentation of Lactobacillus salivarius AP-32, Lactobacillus paracasei ET-66, and Lactobacillus plantarum LPL28
by Ching-Min Li, Yen-Yu Huang, Chi-Huei Lin, Jia-Hung Lin, Yi-Wei Kuo, Ko-Chiang Hsia, Shin-Yu Tsai, Yu-Fen Huang, Ching-Wei Chen and Hsieh-Hsun Ho
Fermentation 2025, 11(11), 615; https://doi.org/10.3390/fermentation11110615 - 28 Oct 2025
Viewed by 1424
Abstract
This study evaluated the safety, antimicrobial activity, and upper gastrointestinal gastroprotection of a postbiotic powder derived from Lactobacillus salivarius AP-32, Lactobacillus paracasei ET-66, and Lactobacillus plantarum LPL28. Safety assessments were performed in rodent models through acute and subchronic oral toxicity tests, genotoxicity assays, [...] Read more.
This study evaluated the safety, antimicrobial activity, and upper gastrointestinal gastroprotection of a postbiotic powder derived from Lactobacillus salivarius AP-32, Lactobacillus paracasei ET-66, and Lactobacillus plantarum LPL28. Safety assessments were performed in rodent models through acute and subchronic oral toxicity tests, genotoxicity assays, and biogenic amine analysis. No signs of toxicity were observed in either the acute (20 g/kg body weight, BW) or subchronic (3 g/kg BW) toxicity tests. Genotoxicity evaluations indicated no mutagenic activity in the Ames test (≤5000 µg/plate) and no chromosomal or micronuclear abnormalities in the spermatocyte or the peripheral blood assays (≤10 g/kg BW). Biogenic amines were undetectable in the postbiotic powder, further reinforcing its safety. The postbiotic powder showed significant direct antimicrobial activity. Additionally, it enhanced the inhibitory effects of probiotics against key upper gastrointestinal pathobionts including Streptococcus mutans, Porphyromonas gingivalis, Fusobacterium nucleatum subsp. polymorphum, and Actinobacillus actinomycetemcomitans, Helicobacter pylori. Moreover, the postbiotic powder demonstrated gastroprotective effects by promoting recovery in a hydrogen peroxide-induced gastric injury model. Based on these findings, the postbiotic powder is safe, non-toxic, and suitable for oral consumption at the tested doses, with promising antimicrobial and gastroprotective potential. Future research should explore its potential applications in health promotion and food safety. Full article
(This article belongs to the Section Probiotic Strains and Fermentation)
Show Figures

Figure 1

25 pages, 776 KB  
Commentary
Incorporating a Behavioral Medicine Approach in the Multi-Modal Management of Chronic Equine Gastric Ulcer Syndrome (EGUS): A Clinical Commentary
by Mary Klinck, Amy Lovett and Ben Sykes
Animals 2025, 15(20), 3019; https://doi.org/10.3390/ani15203019 - 17 Oct 2025
Viewed by 5652
Abstract
Equine gastric ulcer syndrome (EGUS) refers to mucosal gastric disease in horses, including equine squamous gastric disease (ESGD) and equine glandular gastric disease (EGGD), which present as two distinct disease entities differing in pathophysiology and approach to disease management. Both diseases are a [...] Read more.
Equine gastric ulcer syndrome (EGUS) refers to mucosal gastric disease in horses, including equine squamous gastric disease (ESGD) and equine glandular gastric disease (EGGD), which present as two distinct disease entities differing in pathophysiology and approach to disease management. Both diseases are a source of pain in affected horses, partly explaining why EGUS continues to receive substantial attention in the equine medical, welfare and equitation research sectors. There is a complex interplay between EGUS and a variety of physical and psychological stressors. Horses with EGUS are often presented to veterinarians with a history of problem behaviors, some of which resolve following gastroprotectant therapy. However, problem behaviors persist in some cases, despite gastroscopic resolution of disease. Some of these horses have pain-related learnt, anticipatory behavior, even after the original source of pain has resolved. Such cases, as well as chronic or refractory EGUS cases, can benefit from a behavioral medicine approach. This includes the management of any underlying diseases, environmental modification, behavior modification, and, in select cases, behavior-modifying medication. This commentary, based on the authors’ clinical experiences and current literature, explores how behavioral medicine can be integrated with traditional pharmacologic, nutraceutical, and husbandry strategies for the multi-modal management of EGUS, with a focus on managing the horse’s experience to improve case outcome. Full article
(This article belongs to the Section Veterinary Clinical Studies)
Show Figures

Figure 1

23 pages, 7866 KB  
Article
Anti-Helicobacter pylori Activity and Gastroprotective Effects of Diacetylcurcumin and Four Metal Derivatives
by Almanelly Agabo-Martínez, Erika Gomez-Chang, Erick Hernández-Hipólito, Elizabet Estrada-Muñiz, Carolina Escobedo-Martínez, Marco A. Obregón-Mendoza, Raúl G. Enríquez, Libia Vega and Irma Romero
Molecules 2025, 30(19), 3849; https://doi.org/10.3390/molecules30193849 - 23 Sep 2025
Viewed by 1696
Abstract
Helicobacter pylori is the main etiological factor of gastritis, peptic ulcers, and gastric cancer. This bacterium’s antibiotic resistance has led to a lower eradication rate; therefore, new drugs with anti-H. pylori activity are needed. Curcumin exhibits multiple biological activities, but it has [...] Read more.
Helicobacter pylori is the main etiological factor of gastritis, peptic ulcers, and gastric cancer. This bacterium’s antibiotic resistance has led to a lower eradication rate; therefore, new drugs with anti-H. pylori activity are needed. Curcumin exhibits multiple biological activities, but it has low stability and poor bioavailability. To overcome these disadvantages, different metal complexes have been synthesized. The objective of this study was to determine the in vitro anti-H. pylori activity of diacetylcurcumin (DAC), DAC2-Cu, DAC2-Zn, DAC2-Mn, and DAC2-Mg by obtaining the minimum inhibitory concentration of bacterial growth, and to investigate some mechanisms by which they could affect the bacteria (urease and DNA gyrase activities). Moreover, their gastroprotective potential was assayed in an ethanol-induced gastric ulcer model in mice. The results showed that DAC2-Cu and DAC2-Zn have good anti-H. pylori activity, exhibit specific activity against this bacterium, inhibit the urease activity, and provide 70% gastroprotection at a dose of 200 mg/kg of body weight. In a subacute toxicity study in mice, DAC2-Cu and DAC2-Zn did not cause death or any deleterious symptoms, nor did they have a significant effect on serum and urine biochemical parameters compared to control mice. These compounds are promising candidates for use in H. pylori eradication schemes. Full article
(This article belongs to the Special Issue Advances in Phenolic Based Complexes)
Show Figures

Graphical abstract

15 pages, 1757 KB  
Review
Using Caprylic Acid for the Prevention and Treatment of Helicobacter pylori Infection and Gastric Cancer: A Review
by Alexandra Balderrama-Gómez, Victor Manuel Muñoz-Pérez, Mario I. Ortiz, Raquel Cariño-Cortés, Javier Castro-Rosas, Abigail Betanzos, Eduardo Fernández-Martínez and Israel Castillo-Juárez
Metabolites 2025, 15(9), 629; https://doi.org/10.3390/metabo15090629 - 22 Sep 2025
Cited by 1 | Viewed by 2706
Abstract
The present study investigates the bactericidal and anticancer potential of caprylic acid (CA) against Helicobacter pylori infection, a major global risk factor for gastric cancer. Several chronic inflammatory processes, bacterial virulence factors, and carcinogenic mechanisms—capable of inducing DNA damage in gastric epithelial cells, [...] Read more.
The present study investigates the bactericidal and anticancer potential of caprylic acid (CA) against Helicobacter pylori infection, a major global risk factor for gastric cancer. Several chronic inflammatory processes, bacterial virulence factors, and carcinogenic mechanisms—capable of inducing DNA damage in gastric epithelial cells, promoting genomic instability, and contributing to the development of gastritis or peptic ulcer disease in susceptible individuals—remain incompletely understood. CA, a medium-chain fatty acid naturally found in plant and animal sources such as coconut oil and goat’s milk, possesses notable biological properties that may confer gastroprotective effects against gastric cancer induced by H. pylori. Despite advances in medical management, no universally effective strategy currently exists for the treatment or prevention of H. pylori–associated gastric cancer. Conventional therapies, including surgery, radiotherapy, and chemotherapy, often entail long-term complications that may affect patients’ nutritional status. In brief, further elucidation of the mechanisms underlying medium-chain fatty acid metabolism, particularly that of CA in gastric cancer cells, may yield valuable insights for the development of innovative therapeutic approaches. Consequently, the integration of CA into therapeutic dietary regimens and the formulation of nutraceuticals targeting H. pylori infection and related gastric pathologies warrant consideration. Therefore, CA could be considered a potential adjuvant in the preventive treatment of H. pylori–induced gastritis and its associated complications. However, further in vitro and in vivo studies are needed to confirm its beneficial use for this pathology. Full article
(This article belongs to the Section Plant Metabolism)
Show Figures

Graphical abstract

26 pages, 1702 KB  
Review
Botany, Ethnomedicinal Uses, Biological Activities, Phytochemistry, and Technological Applications of Morinda citrifolia Plants
by José Adão Carvalho Nascimento Júnior, Anamaria Mendonça Santos, Ana Maria Santos Oliveira, Cláudio Carvalho Santana Júnior, Mairim Russo Serafini, Jullyana de Souza Siqueira Quintans, Laurent Picot, Irwin Rose Alencar de Menezes and Lucindo José Quintans-Júnior
Molecules 2025, 30(18), 3831; https://doi.org/10.3390/molecules30183831 - 21 Sep 2025
Viewed by 2280
Abstract
Morinda citrifolia L., known as noni, is a tropical plant belonging to the Rubiaceae family and is widely used in traditional medicine for its therapeutic properties. This review compiles botanical, ethnomedicinal, phytochemical, and pharmacological information about the species, as well as its technological [...] Read more.
Morinda citrifolia L., known as noni, is a tropical plant belonging to the Rubiaceae family and is widely used in traditional medicine for its therapeutic properties. This review compiles botanical, ethnomedicinal, phytochemical, and pharmacological information about the species, as well as its technological applications. Studies indicate that various parts of the plant, such as the fruits, leaves, seeds, and roots, contain bioactive compounds such as flavonoids, iridoids, alkaloids, and phenolic acids. These compounds are associated with antioxidant, antimicrobial, anti-inflammatory, wound-healing, gastroprotective, antidiabetic, and hypocholesterolemic activities. Among these, antioxidant activity is particularly notable, with different extracts and isolated compounds demonstrating potent free radical scavenging capabilities. Additionally, the antimicrobial potential against resistant bacteria, healing effects observed in animal models, and immunomodulatory properties further support the traditional therapeutic use of noni. Moreover, the plant shows promise for applications in the formulation of pharmaceutical, cosmetic, and nutraceutical products. Although evidence of its beneficial effects is growing, further clinical studies and standardization of extracts are necessary to ensure its safe and effective use in medical practice. Full article
Show Figures

Graphical abstract

23 pages, 3137 KB  
Article
Anti-Inflammatory and Antioxidant Effects of Crude Polysaccharides from Dendrobium denneanum (A Genuine Medicinal Herb of Sichuan) on Acute Gastric Ulcer Model in Rats
by Zenglin Wu, Xuzhong Tang, Lijuan Wu, Lei Xie, Qing Yu, Xinyi Zhao, Yixue Tian, Zhiming Liu, Yadong Mi, Weiping Zhong, Rui Li and Mengliang Tian
Foods 2025, 14(18), 3258; https://doi.org/10.3390/foods14183258 - 19 Sep 2025
Cited by 1 | Viewed by 1373
Abstract
Dendrobium denneanum Kerr, Dendrobium denneanum Kerr, an orchid in the food-medicine homology catalog, is traditionally used for stomach-nourishing, yin-tonifying, and immunity-enhancing. While its preventive effect on acute gastric ulcers is confirmed, variations among genuine producing areas remain underexplored. This study comparatively analyzed components [...] Read more.
Dendrobium denneanum Kerr, Dendrobium denneanum Kerr, an orchid in the food-medicine homology catalog, is traditionally used for stomach-nourishing, yin-tonifying, and immunity-enhancing. While its preventive effect on acute gastric ulcers is confirmed, variations among genuine producing areas remain underexplored. This study comparatively analyzed components of D. denneanum from 22 habitats and their polysaccharides’ (DDP) anti-inflammatory/antioxidant activities. Results showed habitat-dependent active components: total sugar (20–51.49%), crude polysaccharide yield (0.29–1.76%), and total phenol (~3%). In vitro, all extracts exhibited dose-dependent scavenging of DPPH (IC50: 0.99–2.11 mg/mL), ABTS (0.61–1.62 mg/mL), and hydroxyl radicals (1.02–2.18 mg/mL), with Habitats 5 and 7 showing the strongest activity. GPC, ion chromatography, and FT-IR revealed DDP had a 5–11 kDa molecular weight, dominated by glucose (49.67–84.73%), plus mannose (8.29–12.25%) and galactose (0.96–16.41%), with shared hydroxyl (3400 cm−1) and β-glycosidic bond (890 cm−1) features. In ethanol-induced gastric ulcer rats, DDP exerted dose-dependent protection: low doses (100 mg/kg/d) reduced ulcer index, increased SOD/GSH-Px (1.5–1.8-fold), decreased MDA (30–35%), and elevated PGE2; high doses (400 mg/kg/d) further inhibited serum TNF-α/IL-6 (25–40%) and improved histopathology. Conclusion: Despite habitat-dependent component variations, DDP maintains consistent structures. This study first confirms DDP protects gastric mucosa via antioxidant-anti-inflammatory synergism, supporting its development as a natural gastroprotectant. Future work may focus on standardized cultivation and clinical translation. Full article
(This article belongs to the Section Plant Foods)
Show Figures

Graphical abstract

24 pages, 895 KB  
Review
Proton Pump Inhibitors (PPIs)—An Evidence-Based Review of Indications, Efficacy, Harms, and Deprescribing
by Monica Andrawes, Wessam Andrawes, Abhishek Das and Keith Siau
Medicina 2025, 61(9), 1569; https://doi.org/10.3390/medicina61091569 - 31 Aug 2025
Cited by 3 | Viewed by 27393
Abstract
Proton pump inhibitors (PPIs) are among the most prescribed drugs worldwide owing to their proven efficacy in symptom control and mucosal healing for acid-related disorders including gastroesophageal reflux disease (GORD), peptic ulcer disease, Helicobacter pylori eradication, functional dyspepsia, and gastroprotection in high-risk patients. [...] Read more.
Proton pump inhibitors (PPIs) are among the most prescribed drugs worldwide owing to their proven efficacy in symptom control and mucosal healing for acid-related disorders including gastroesophageal reflux disease (GORD), peptic ulcer disease, Helicobacter pylori eradication, functional dyspepsia, and gastroprotection in high-risk patients. However, long-term use beyond approved indications is increasingly common and has raised safety concerns. Observational studies link chronic PPI use to a myriad of adverse outcomes such as enteric infections (e.g., Clostridioides difficile), nutrient deficiencies (magnesium, vitamin B12), osteoporotic fractures, chronic kidney disease, dementia, and gastric and colorectal cancer. While causality is not always established, these associations warrant cautious risk–benefit assessment in patients receiving prolonged therapy. Current guidelines advocate periodic review of ongoing PPI use and emphasise deprescribing where appropriate. Strategies include dose reduction, on-demand or intermittent use, and switching to H2-receptor antagonists, particularly in patients with non-erosive reflux disease or functional dyspepsia. Tools from the National Institute for Health and Clinical Excellence, American College of Gastroenterology, and the Canadian Deprescribing Network assist clinicians in identifying candidates for tapering or discontinuation. This narrative review focuses on the concept of “PPI stewardship” by providing an evidence-based overview of PPI indications, risks, and deprescribing strategies to promote appropriate, safer, and patient-centred use of acid-suppressive therapy. Full article
(This article belongs to the Section Gastroenterology & Hepatology)
Show Figures

Figure 1

15 pages, 1204 KB  
Review
Pharmacological Potential of Cyperaceae Species in Experimental Models of Gastrointestinal Disorders: A Review
by José Jailson Lima Bezerra
Sci. Pharm. 2025, 93(3), 41; https://doi.org/10.3390/scipharm93030041 - 27 Aug 2025
Cited by 1 | Viewed by 1640
Abstract
Some species of Cyperaceae are used in the treatment of gastrointestinal disorders by traditional communities in several countries, including Kenya, Nepal, Pakistan, and India. Although these ethnomedicinal uses are being confirmed through in vivo pharmacological trials, many plants in this family still lack [...] Read more.
Some species of Cyperaceae are used in the treatment of gastrointestinal disorders by traditional communities in several countries, including Kenya, Nepal, Pakistan, and India. Although these ethnomedicinal uses are being confirmed through in vivo pharmacological trials, many plants in this family still lack scientific investigation. In this context, the present study aimed to review the pharmacological potential of Cyperaceae species in experimental models of gastrointestinal disorders and correlate it with the phenolic compounds and flavonoids present in these plants. The articles were retrieved from different databases, from the first report on the topic published in 1997 to August 2025. A total of 10 Cyperaceae species were identified that showed pharmacological potential against gastrointestinal disorders, including representatives of the genera Cyperus (6 spp.), Fimbristylis (2 spp.), Lagenocarpus (1 spp.), and Pycreus (1 spp.). The extracts of these plants demonstrated potential antiulcerogenic, gastroprotective, antidiarrheal, and intestinal anti-inflammatory effects in rodent models of ulcerative colitis, with particular attention on Cyperus rotundus L. A diverse array of bioactive compounds were identified in the Cyperaceae family, including luteolin, kaempferol, caffeic acid, quercetin, ferulic acid, rutin, myricetin, gallic acid, chlorogenic acid, apigenin, catechin, and orientin. These phytochemicals have been widely studied in experimental models of gastrointestinal disorders. It is likely that the flavonoids and phenolic compounds identified in Cyperaceae species are related to the pharmacological potential of these plants and can be used in the treatment of gastrointestinal disorders. Additional studies are needed to investigate the pharmacological potential of other Cyperaceae used empirically in traditional medicine for the treatment of diseases affecting the digestive system. Full article
Show Figures

Figure 1

13 pages, 1605 KB  
Article
Phytochemical Analysis and Anti-Ulcer Potential of Phenolic Compounds of Inonotus nidus-pici Pilát
by Iliya Slavov, Nadezhda Ivanova, Maya Radeva-Ilieva, Stanila Stoeva-Grigorova, Deyan Dzhenkov and Kaloyan D. Georgiev
Pharmaceuticals 2025, 18(9), 1265; https://doi.org/10.3390/ph18091265 - 25 Aug 2025
Viewed by 992
Abstract
Background/Objectives: Fungotherapy has long been recognized as a therapeutic approach for treating and preventing various diseases. As an important representative of the so-called functional mushrooms, Chaga plays a crucial role in this system. Since this species is of limited distribution in Bulgaria, [...] Read more.
Background/Objectives: Fungotherapy has long been recognized as a therapeutic approach for treating and preventing various diseases. As an important representative of the so-called functional mushrooms, Chaga plays a crucial role in this system. Since this species is of limited distribution in Bulgaria, we are interested in studying a related but different species, Inonotus nidus-pici Pilát, with potential benefits for human health. Methods: The phytochemical composition of phenolic compounds in the studied species was analyzed using spectrophotometric methods and high-performance liquid chromatography (HPLC). Additionally, antioxidant activity was assessed using various assays, and the gastroprotective effect was evaluated in experimental rat models with indomethacin-induced gastric damage. Results: The quantities of the main classes of phenolic compounds in the studied object were determined, and an enriched phenolic extract (EPE) was obtained. The amount of phenolic compounds, in decreasing order, is as follows: tannins (1.67 ± 0.02%), phenolic acids (1.50 ± 0.09%), and flavonoids (1.24 ± 0.04%). Quercetin was the most present flavonoid (15.95 ± 0.05 mg/g DWE), followed by (+)-catechin (9.86 ± 0.15 mg/g DWE) and kaempferol (1.67 ± 0.09 mg/g DWE) in the enriched phenolic extract. The quantity of other established compounds was significantly lower. Of all ten phenolic acids identified in the same extract, the highest concentration was found only for rosmarinic acid (6.41 ± 0.08 mg/g DWE) and somewhat for p-coumaric acid (2.13 ± 0.12 mg/g DWE). Among all the applied methods regarding antioxidant activity, the highest potential of the extract for reducing copper ions was the most pronounced (1506.93 μM TE/g DWE), and the ability of the extract to reduce iron ions was almost the same (1354.05 μM TE/g DWE). In the experimental indomethacin-induced gastric ulcer rat model, EPE (25 mg/kg and 10 mg/kg) demonstrated a dose-dependent gastroprotective effect. Conclusions: The results of the experiments confirm the potential of the wood fungus species as a source of valuable biologically active compounds with beneficial and pharmacological effects. However, further studies are needed to fully determine its chemical composition and the biological activities related to it. Full article
(This article belongs to the Section Natural Products)
Show Figures

Graphical abstract

Back to TopTop