Ammonium Polyphosphate Promotes Maize Growth and Phosphorus Uptake by Altering Root Properties
Abstract
1. Introduction
2. Results
2.1. The Impact of Different P Application Strategies on Maize Yield
2.2. The Impact of Different P Application Strategies on the Forms of P in Soil
2.3. The Impact of Different P Application Strategies on Dry Matter Biomass Accumulation
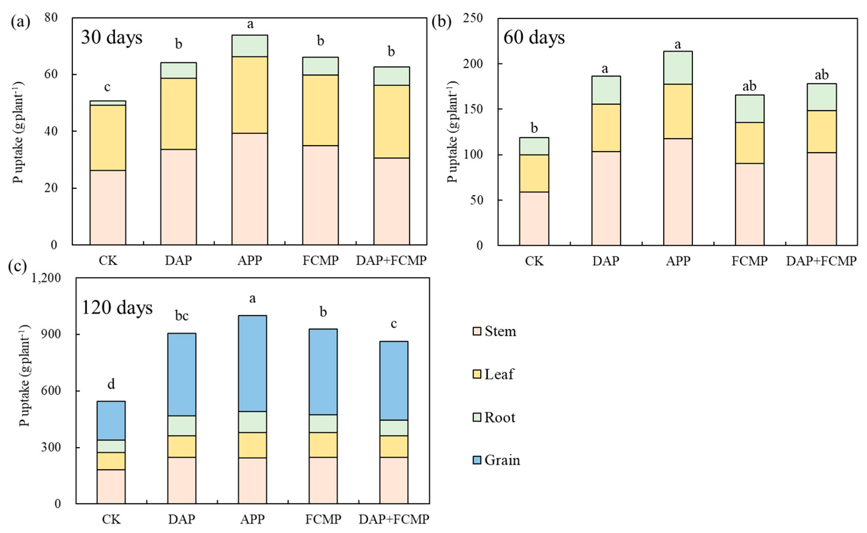
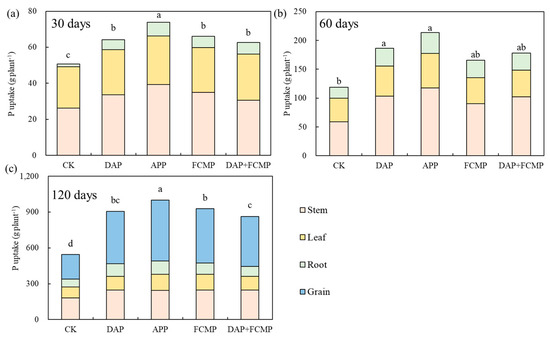
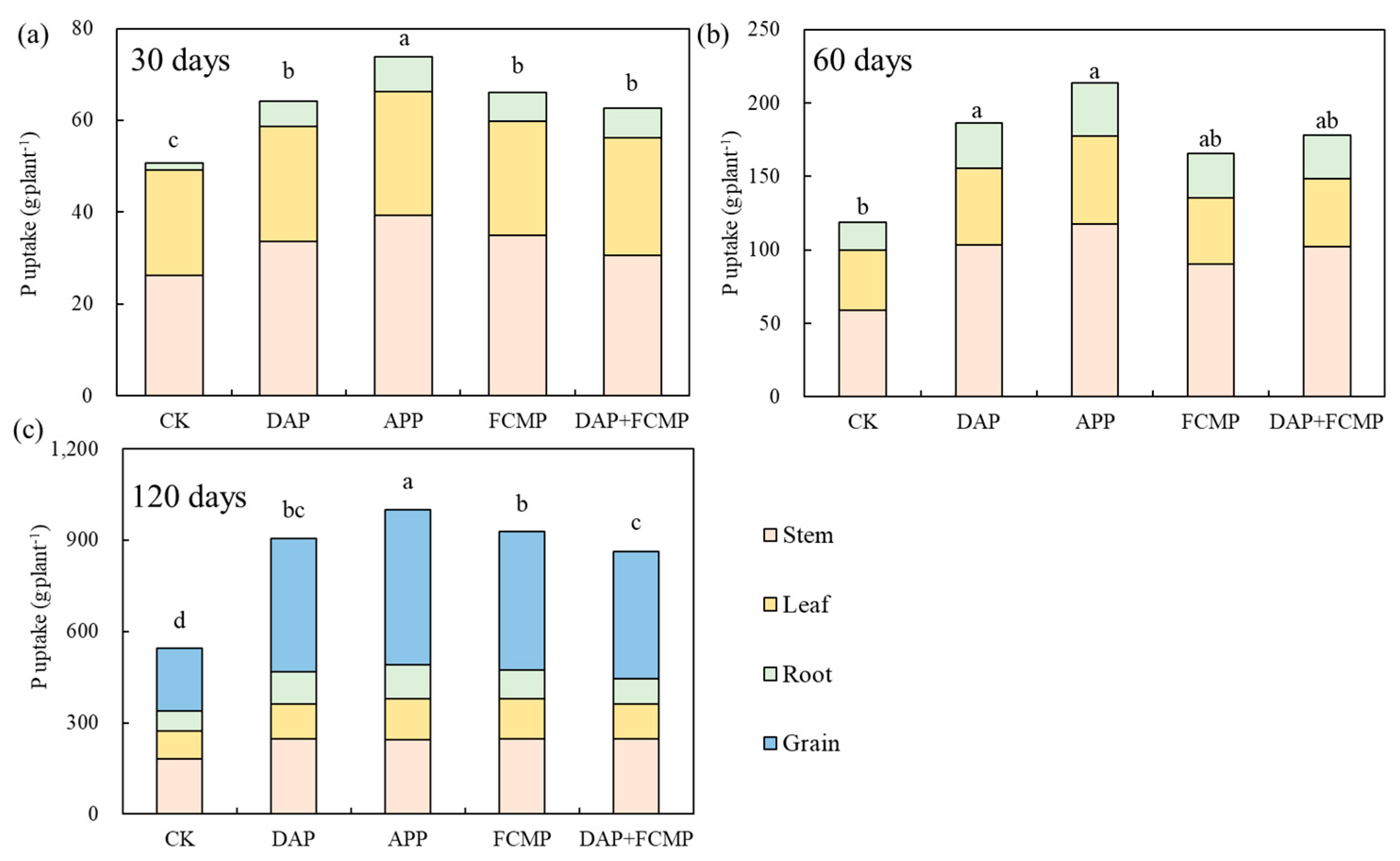
2.4. The Impact of Different P Application Strategies on P Uptake
2.5. The Impact of Different P Application Strategies on P Use Efficiency
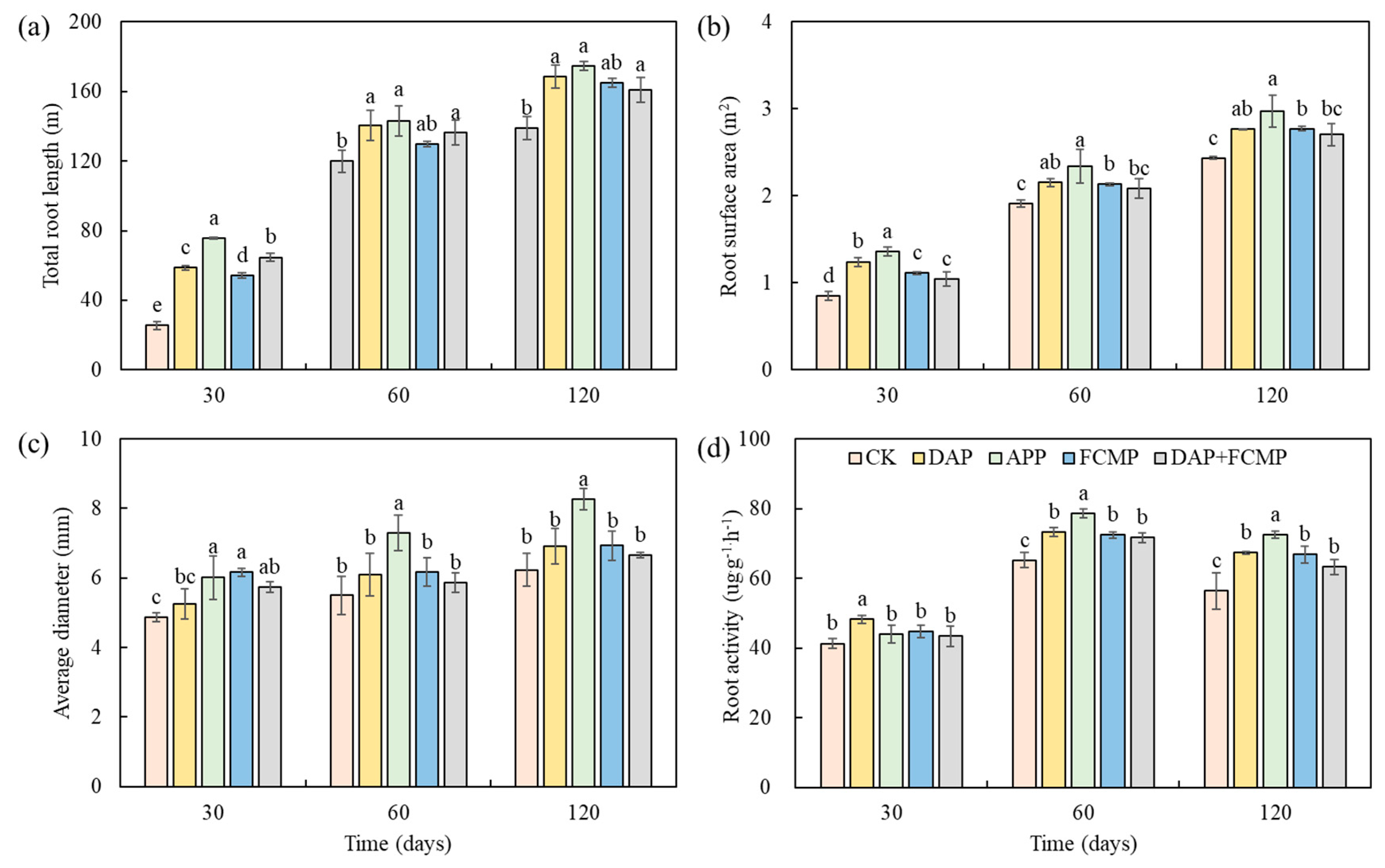
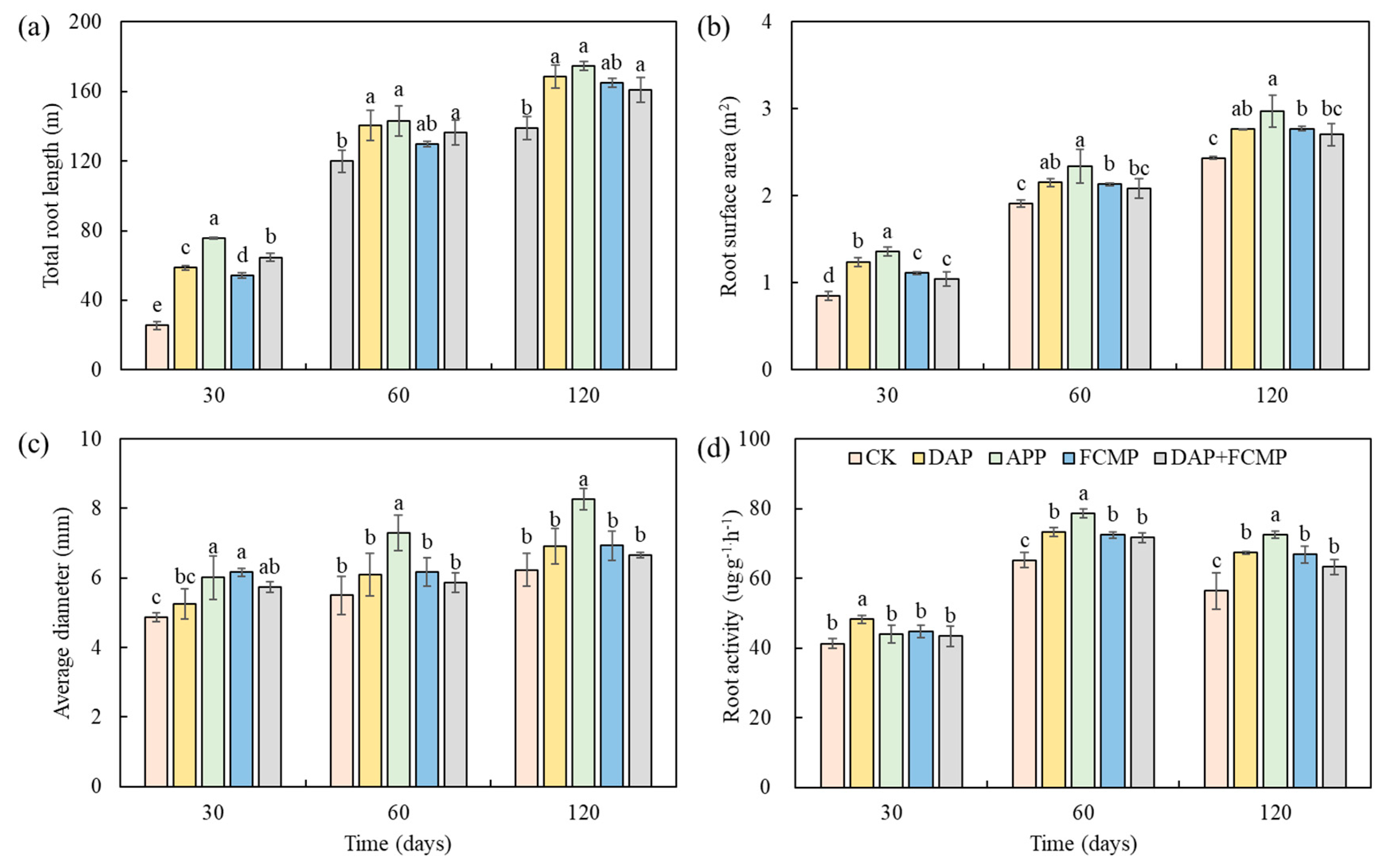
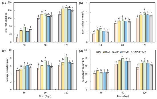
2.6. The Impact of Different P Application Strategies on Maize Root Activity
2.7. The Mechanism of P Fertilizer Driving Maize Growth Characteristics on Maize Yield
3. Discussion
4. Materials and Methods
4.1. Experimental Design
4.2. Sample Collection and Test
4.3. Statistical Analysis
4.4. Formula for Calculating Relevant Indicators
- (i)
- where P is extractable, p (ppm) is a concentration from calibration curve, V is the total volume of soil extract (mL), Wt is the weight of dry plant (g), V1 is the volume of soil extract used for measurement (mL), and V2 is the volume of flask used for measurement (mL).
- (ii)
- Root Image Analysis using WinRHIZO was calculated as follows:where RL is length of root in treatment (m), SAR is surface area of root in treatment (m2), and RD is the diameter of root in treatment (mm);
- (iii)
- REp, % = aboveground P uptake in P application area—aboveground P uptake in non-P application area/P fertilizer application amount;
- (iv)
- FPp, g/g = maize yield/P fertilizer rate;
- (v)
- AEp, g/g = maize yield in P application areas—maize yield in non-P application areas/P fertilizer rate;
- (vi)
- PHI, % = P absorption of maizes/aboveground P absorption × 100%;
- (vii)
- PAC, % = available P/total P × 100%.
5. Conclusions
Supplementary Materials
Author Contributions
Funding
Data Availability Statement
Conflicts of Interest
References
- Sekhar, K.M.; Kota, V.R.; Reddy, T.P.; Rao, K.V.; Reddy, A.R. Amelioration of plant responses to drought under elevated CO2 by rejuvenating photosynthesis and nitrogen use efficiency: Implications for future climate resilient crops. Photosynth. Res. 2021, 150, 21–40. [Google Scholar] [CrossRef]
- FAO. The State of the World’s Land and Water Resources for Food and Agriculture; FAO: Rome, Italy, 2023. [Google Scholar]
- Shiferaw, B.; Prasanna, B.M.; Hellin, J.; Bänziger, M. Crops that feed the world 6. Past successes and future challenges to the role played by maize in global food security. Food Secur. 2011, 3, 307–327. [Google Scholar] [CrossRef]
- Lynch, J.P. Root phenotypes for improved nutrient capture: An underexploited opportunity for global agriculture. New Phytol. 2019, 223, 548–564. [Google Scholar] [CrossRef]
- Poirier, Y.; Jaskolowski, A.; Clúa, J. Phosphate acquisition and metabolism in plants. Curr. Biol. 2022, 32, 623–629. [Google Scholar] [CrossRef]
- Dobermann, A.; Cassman, K. Plant nutrient management for enhanced productivity in intensive grain production systems of the United States and Asia. Plant Soil 2002, 247, 153–175. [Google Scholar] [CrossRef]
- Freiling, M.; von Tucher, S.; Schmidhalter, U. Factors influencing phosphorus placement and effects on yield and yield parameters: A meta-analysis. Soil Tillage Res. 2022, 216, 105257. [Google Scholar] [CrossRef]
- Liu, D. Root developmental responses to phosphorus nutrition. J. Integr. Plant Biol. 2021, 6, 1065–1090. [Google Scholar] [CrossRef]
- Pereira, N.C.M.; Galindo, F.S.; Gazola, R.P.D.; Dupas, E.; Rosa, P.A.L.; Mortinho, E.S.; Filho, M.C.M.T. Corn yield and phosphorus use efficiency response to phosphorus rates associated with plant growth promoting bacteria. Front. Environ. Sci. 2020, 40, 8. [Google Scholar] [CrossRef]
- Ali, W.; Nadeem, M.; Ashiq, W.; Zaeem, M.; Gilani, S.S.M.; Rajabi-Khamseh, S.; Pham, T.H.; Kavanagh, V.; Thomas, R.; Cheema, M. The effects of organic and inorganic phosphorus amendments on the biochemical attributes and active microbial population of agriculture podzols following silage corn cultivation in boreal climate. Sci. Rep. 2019, 9, 17297. [Google Scholar] [CrossRef]
- National Bureau of Statistics of China. China Statistical Yearbook; China Statistics Press: Beijing, China, 2023. [Google Scholar]
- Zhang, W.; Ma, W.; Ji, Y.; Fan, M.; Oenema, O.; Zhang, F. Efficiency, economics, and environmental implications of phosphorus resource use and the fertilizer industry in China. Nutr. Cycl. Agroecosys 2008, 80, 131–144. [Google Scholar] [CrossRef]
- Li, H.; Liu, J.; Li, G.; Shen, J.; Bergström, L.; Zhang, F. Past, present, and future use of phosphorus in Chinese agriculture and its influence on phosphorus losses. Ambio 2015, 44, 274–285. [Google Scholar] [CrossRef] [PubMed]
- Bindraban, P.S.; Dimkpa, C.O.; Nagarajan, L.; Roy, A.; Rabbinge, R. Revisiting fertilisers and fertilisation strategies for improved nutrient uptake by plants. Biol. Fertil. Soils 2020, 56, 613–629. [Google Scholar] [CrossRef]
- Ryszko, U.; Rusek, P.; Kołodyńska, D. Quality of Phosphate Rocks from Various Deposits Used in Wet Phosphoric Acid and P-Fertilizer Production. Materials 2023, 16, 793. [Google Scholar] [CrossRef]
- Tilman, D.; Cassman, K.G.; Matson, P.A.; Naylor, R.; Polasky, S. Agricultural sustainability and intensive production practices. Nature 2022, 418, 671–677. [Google Scholar] [CrossRef]
- Dhankher, O.P.; Foyer, C.H. Climate resilient crops for improving global food security and safety. Plant Cell Environ. 2018, 41, 877–884. [Google Scholar] [CrossRef] [PubMed]
- Pareek, A.; Dhankher, O.P.; Foyer, C.H. Mitigating the impact of climate change on plant productivity and ecosystem sustainability. J. Exp. Bot. 2020, 71, 451–456. [Google Scholar] [CrossRef]
- Zhao, Y.; Li, R.; Huang, Y.; Sun, X.; Qin, W.; Wei, F.; Ye, Y. Effects of various phosphorus fertilizers on maize yield and phosphorus up-take in soils with different pH values. Arch. Agron. Soil Sci. 2021, 68, 1746–1754. [Google Scholar] [CrossRef]
- Khourchi, S.; Elhaissoufi, W.; Loum, M.; Ibnyasser, A.; Haddine, M.; Ghani, R.; Barakat, A.; Zeroual, Y.; Rchiad, Z.; Delaplace, P.; et al. Phosphate solubilizing bacteria can significantly contribute to enhance P availability from polyphosphates and their use efficiency in wheat. Microbiol. Res. 2022, 262, 127094. [Google Scholar] [CrossRef]
- do Nascimento, C.A.C.; Pagliari, P.H.; Faria, L.d.A.; Vitti, G.C. Phosphorus Mobility and Behavior in Soils Treated with Calcium, Ammonium, and Magnesium Phosphates. Soil Sci. Soc. Am. J. 2018, 82, 622–631. [Google Scholar] [CrossRef]
- Liang, C.; Liu, X.; Feng, L.; Jin, N.; Lv, J.; Yu, Q. Optimizing Phosphorus Fertilizer Use on the Loess Plateau: Impact on Soil Properties and Crop Production Efficiency. Soil Syst. 2024, 8, 3. [Google Scholar] [CrossRef]
- Liang, C.; Liu, X.; Lv, J.; Zhao, F.; Yu, Q. The impact of different phosphorus fertilizers varieties on yield under wheat—Maize rotation conditions. Agronomy 2024, 14, 1317. [Google Scholar] [CrossRef]
- Lynch, J.P. Steep, cheap and deep: An ideotype to optimize water and N acquisition by maize root systems. Ann. Bot. 2013, 112, 347–357. [Google Scholar] [CrossRef]
- Chakraborty, D.; Prasad, R. Stratification of soil phosphorus forms from long-term repeated poultry litter applications and its environmental implication. Environ. Chall. 2021, 5, 100374. [Google Scholar] [CrossRef]
- Tiecher, T.; Gomes, M.V.; Ambrosini, V.G.; Amorim, M.B.; Bayer, C. Assessing linkage between soil phosphorus forms in contrasting tillage systems by path analysis. Soil Tillage Res. 2018, 175, 276–280. [Google Scholar] [CrossRef]
- Cheng, Y.; Wang, H.Q.; Liu, P.; Dong, S.T.; Zhang, J.W.; Zhao, B.; Ren, B.Z. Nitrogen placement at sowing affects root growth, grain yield formation, N use efficiency in maize. Plant Soil 2020, 457, 355–373. [Google Scholar] [CrossRef]
- Zhang, Z.Y.; Fan, B.M.; Song, C.; Zhang, X.X.; Zhao, Q.W.; Ye, B. Advances in root system architecture: Functionality, plasticity, and research methods. J. Resour. Ecol. 2023, 14, 15–24. [Google Scholar] [CrossRef]
- Wang, D.; Lv, S.; Jiang, P.; Li, Y. Roles, regulation, and agricultural application of plant phosphate transporters. Front. Plant Sci. 2017, 8, 817. [Google Scholar] [CrossRef] [PubMed]
- Sammauria, R.; Kumawat, S.; Kumawat, P.; Singh, J.K.; Jatwa, T.K. Microbial inoculants: Potential tool for sustainability of agricultural production systems. Arch. Microbiol. 2020, 202, 677–693. [Google Scholar] [CrossRef] [PubMed]
- Johnston, A.E.; Poulton, P.R. Phosphorus in agriculture: A review of results from 175 years of research at Rothamsted, UK. J. Environ. Qual. 2019, 48, 1133–1144. [Google Scholar] [CrossRef]
- Cheng, H.; Zhu, X.; Sun, R.; Niu, Y.; Yu, Q.; Shen, Y.; Li, S. Effects of different mulching and fertilization on phosphorus transformation in upland farmland. J. Environ. Manag. 2020, 253, 109717. [Google Scholar] [CrossRef]
- Santoro, V.; Schiavon, M.; Visentin, I.; Martin, M.; Said-Pullicino, D.; Cardinale, F.; Celi, L. Tomato plant responses induced by sparingly available inorganic and organic phosphorus forms are modulated by strigolactones. Plant Soil 2022, 474, 355–372. [Google Scholar] [CrossRef]
- Schaap, K.J.; Fuchslueger, L.; Hoosbeek, M.R.; Hofhansl, F.; Martins, N.P.; Valverde-Barrantes, O.J.; Hartley, I.P.; Lugli, L.F.; Quesada, C.A. Litter inputs and phosphatase activity affect the temporal variability of organic phosphorus in a tropical forest soil in the Central Amazon. Plant Soil 2021, 469, 423–441. [Google Scholar] [CrossRef]
- Touhami, D.; Condron, L.M.; McDowell, R.W. Plant Species Rather than Elevated Atmospheric CO2 Impact Rhizosphere Properties and Phosphorus Fractions in a Phosphorus-Deficient Soil. J. Soil Sci. Plant Nutr. 2021, 21, 622–636. [Google Scholar] [CrossRef]
- Zhao, F.; Zhang, Y.; Dijkstra, F.A.; Li, Z.; Zhang, Y.; Zhang, T.; Lu, Y.; Shi, J.; Yang, L. Effects of amendments on phosphorous status in soils with different phosphorous levels. CATENA 2019, 172, 97–103. [Google Scholar] [CrossRef]
- Gao, Y.; Wang, X.; Shah, J.A.; Chu, G. Polyphosphate fertilizers increased maize (Zea mays L.) P, Fe, Zn, and Mn uptake by decreasing P fixation and mobilizing microelements in calcareous soil. J. Soil Sediment. 2020, 20, 1–11. [Google Scholar] [CrossRef]
- Bodner, G.; Leitner, D.; Rewald, B.; Zhao, J.; Nakhforoosh, A.; Schnepf, A. Phenotyping-modelling interfaces to advance breeding for optimized crop root systems. In Phenotyping-Modelling Interfaces to Advance Breeding for Optimized Crop Root System; Wiley: Hoboken, NJ, USA, 2021; pp. 375–424. [Google Scholar] [CrossRef]
- Nkebiwe, P.M.; Weinmann, M.; Bar-Tal, A.; Müller, T. Fertilizer placement to improve crop nutrient acquisition and yield: A review and meta-analysis. Field Crops Res. 2016, 196, 389–401. [Google Scholar] [CrossRef]
- Torres-Dorante, L.O.; Claassen, N.; Steingrobe, B.; Olfs, H. Fertilizer-use efficiency of different inorganic polyphosphate sources: Effects on soil P availability and plant P acquisition during early growth of corn. J. Plant Nutr. Soil Sc. 2006, 16, 509–515. [Google Scholar] [CrossRef]
- Amanullah, A.; Muhammad Zakirullah, M.Z.; Muhammad Tariq, M.T.; Khalid Nawab, K.N.; Khan, A.Z.; Farhatullah, F.; Zahir Shah, Z.S.; Amanullah Jan, A.J.; Khalil, S.K.; Jan, M.T.; et al. Levels and time of phosphorus application influence growth, dry matter partitioning and harvest index in maize. Pak. J. Bot. 2010, 42, 4051–4061. [Google Scholar]
- Wang, L.; Rengel, Z.; Cheng, L.; Shen, J. Coupling phosphate type and placement promotes maize growth and phosphorus uptake by altering root properties and rhizosphere processes. Field Crops Res. 2024, 306, 109225. [Google Scholar] [CrossRef]
- Fageria, N.K.; Moreira, A. The role of mineral nutrition on root growth of crop plants. Adv. Agron. 2011, 110, 251–331. [Google Scholar] [CrossRef]
- Sun, B.; Gao, Y.; Yang, H.; Zhang, W.; Li, Z. Performance of alfalfa rather than maize stimulates system phosphorus uptake and overyielding of maize or alfalfa intercropping via changes in soil water balance and root morphology and distribution in a light chernozemic soil. Plant Soil 2019, 439, 145–161. [Google Scholar] [CrossRef]
- Jing, J.; Rui, Y.; Zhang, F.; Rengel, Z.; Shen, J. Localized application of phosphorus and ammonium improves growth of maize seedlings by stimulating root proliferation and rhizosphere acidification. Field Crops Res. 2010, 119, 355–364. [Google Scholar] [CrossRef]
- Wang, Y.; Chen, Y.F.; Wu, W.H. Potassium and phosphorus transport and signaling in plants. J. Integr. Plant Biol. 2021, 63, 34–52. [Google Scholar] [CrossRef] [PubMed]
- Wang, L.; Rengel, Z.; Zhang, K.; Jin, K.; Lyu, Y.; Zhang, L.; Cheng, L.; Zhang, F.; Shen, J. Ensuring future food security and resource sustainability: Insights into the rhizosphere. iScience 2022, 25, 104168. [Google Scholar] [CrossRef]
- Grant, C.A.; Flaten, D.N.; Tomasiewicz, D.J.; Sheppard, S.C. The importance of early season phosphorus nutrition. Can. J. Plant Sci. 2001, 81, 211–224. [Google Scholar] [CrossRef]
- Guan, G.; Tu, S.; Li, H.; Yang, J.; Zhang, J.; Wen, S.; Yang, L. Phosphorus Fertilization Modes Affect Crop Yield, Nutrient Uptake, and Soil Biological Properties in the Rice–Wheat Cropping System. Soil Sci. Soc. Am. J. 2013, 77, 166–172. [Google Scholar] [CrossRef]
- Al-Hajj, M.; Wicha, M.S.; Benito-Hernandez, A.; Morrison, S.J.; Clarke, M.F. Prospective identification of tumorigenic breast cancer cells. Proc. Natl. Acad. Sci. USA 2003, 100, 3983–3988. [Google Scholar] [CrossRef]
- Kumar, A.; Kumar, M. Effect of different levels of phosphorus on the yield and yield components of maize under agro-climatic zone-II of Bihar. Int. J. Agric. Sci. 2017, 13, 266–270. [Google Scholar] [CrossRef]
- Wang, X.; Gao, Y.; Chu, G. Optimization and characterization of polyphosphate fertilizers by two different manufacturing processes. ACS Omega 2021, 6, 18811–18822. [Google Scholar] [CrossRef]
- Shen, J.; Cui, Z.; Miao, Y.; Mi, G.; Zhang, H.; Fan, M.; Zhang, C.; Jiang, R.; Zhang, W.; Li, H.; et al. Transforming agriculture in China: From solely high yield to both high yield and high resource use efficiency. Glob. Food Secur.-Agr. 2013, 2, 1–8. [Google Scholar] [CrossRef]
- Shen, J.; Yuan, L.; Zhang, J.; Li, H.; Bai, Z.; Chen, X.; Zhang, W.; Zhang, F. Phosphorus dynamics: From soil to plant. Plant Physiol. 2011, 156, 997–1005. [Google Scholar] [CrossRef] [PubMed]
- Aulakh, M.; Pasricha, N.S.; Baddesa, H.S.; Bahl, G.S. Long-term effects of rate and frequency of applied P on crop yields, plant available P, and recovery of fertilizer P in a peanut-wheat rotation. Soil Sci. 1991, 151, 317–322. [Google Scholar] [CrossRef]
- Bai, Z.; Li, H.; Yang, X.; Zhou, B.; Shi, X.; Wang, B.; Li, D.; Shen, J.; Chen, Q.; Qin, W.; et al. The critical soil P levels for crop yield, soil fertility and environmental safety in different soil types. Plant Soil 2013, 372, 27–37. [Google Scholar] [CrossRef]
- Ahmed, W.; Jing, H.; Kaillou, L.; Qaswar, M.; Khan, M.N.; Jin, C.; Geng, S.; Qinghai, H.; Yiren, L.; Guangrong, L.; et al. Changes in phosphorus fractions associated with soil chemical properties under long-term organic and inorganic fertilization in paddy soils of southern China. PLoS ONE 2019, 14, 0216881. [Google Scholar] [CrossRef]
- Amin, A.E.-E.A.Z. Availability and transformations of phosphorus in calcareous sandy soil as affected by farmyard manure and elemental sulfur applications. Alex. Sci. Exch. J. 2018, 39, 98–111. [Google Scholar] [CrossRef]
- Wang, L.; Li, X.; Mang, M.; Ludewig, U.; Shen, J. Heterogeneous nutrient supply promotes maize growth and phosphorus acquisition: Additive and compensatory effects of lateral roots and root hairs. Ann. Bot. 2021, 128, 431–440. [Google Scholar] [CrossRef]
- Gu, Z.; Xie, Y.; Gao, Y.; Ren, X.; Cheng, C.; Wang, S. Quantitative assessment of soil productivity and predicted impacts of water erosion in the black soil region of northeastern China. Sci. Total Environ. 2018, 637, 706–716. [Google Scholar] [CrossRef]
- Olsen, S.R. Estimation of Available Phosphorus in Soils by Extraction with Sodium Bicarbonate; USDA: Washington, DC, USA, 1954. [Google Scholar]






| Treatment | REp (%) | FPp (g/g) | AEp (g/g) | PHI (%) | PAC (%) |
|---|---|---|---|---|---|
| CK | - | - | - | - | 6.20 ± 0.16 c |
| DAP | 27.87 ± 1.38 bc | 121.14 ± 5.14 b | 22.06 ± 5.14 b | 48.39 ± 0.17 b | 7.45 ± 0.46 b |
| APP | 35.12 ± 3.13 a | 132.13 ± 8.63 a | 33.05 ± 8.63 a | 51.01 ± 1.83 a | 8.66 ± 0.11 a |
| FCMP | 29.54 ± 1.04 bc | 112.27 ± 2.63 b | 13.18 ± 2.63 b | 49.06 ± 0.61 b | 7.51 ± 0.30 b |
| DAP+FCMP | 24.37 ± 0.20 c | 112.63 ± 5.12 b | 13.54 ± 5.12 b | 48.39 ± 0.32 b | 7.43 ± 0.67 b |
Disclaimer/Publisher’s Note: The statements, opinions and data contained in all publications are solely those of the individual author(s) and contributor(s) and not of MDPI and/or the editor(s). MDPI and/or the editor(s) disclaim responsibility for any injury to people or property resulting from any ideas, methods, instructions or products referred to in the content. |
© 2024 by the authors. Licensee MDPI, Basel, Switzerland. This article is an open access article distributed under the terms and conditions of the Creative Commons Attribution (CC BY) license (https://creativecommons.org/licenses/by/4.0/).
Share and Cite
Dong, S.; Bismark, A.-B.; Li, S.; Gao, Q.; Zhou, X.; Li, C. Ammonium Polyphosphate Promotes Maize Growth and Phosphorus Uptake by Altering Root Properties. Plants 2024, 13, 3407. https://doi.org/10.3390/plants13233407
Dong S, Bismark A-B, Li S, Gao Q, Zhou X, Li C. Ammonium Polyphosphate Promotes Maize Growth and Phosphorus Uptake by Altering Root Properties. Plants. 2024; 13(23):3407. https://doi.org/10.3390/plants13233407
Chicago/Turabian StyleDong, Siqi, Asante-Badu Bismark, Songsong Li, Qiang Gao, Xue Zhou, and Cuilan Li. 2024. "Ammonium Polyphosphate Promotes Maize Growth and Phosphorus Uptake by Altering Root Properties" Plants 13, no. 23: 3407. https://doi.org/10.3390/plants13233407
APA StyleDong, S., Bismark, A.-B., Li, S., Gao, Q., Zhou, X., & Li, C. (2024). Ammonium Polyphosphate Promotes Maize Growth and Phosphorus Uptake by Altering Root Properties. Plants, 13(23), 3407. https://doi.org/10.3390/plants13233407
