Explainable Artificial Intelligence to Predict the Water Status of Cotton (Gossypium hirsutum L., 1763) from Sentinel-2 Images in the Mediterranean Area
Abstract
1. Introduction
2. Materials and Methods
2.1. Experimental Area and Crop Management
2.2. Water Status of Cotton
2.3. Satellite Images
2.4. Machine Learning Analyses
2.5. Machine Learning Inference and Explainability
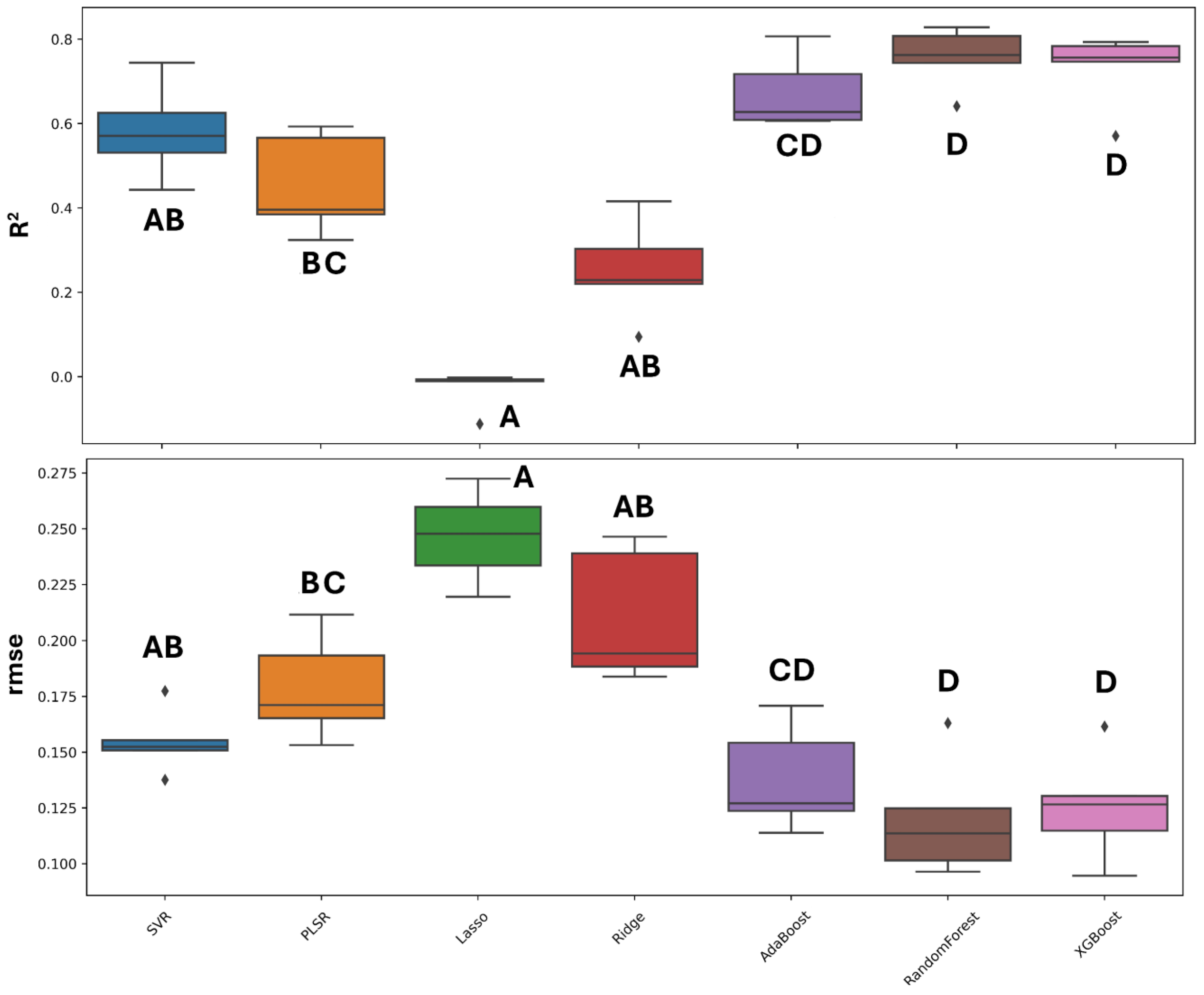
3. Results
3.1. Field Data
3.2. Models’ Evaluation
3.3. Features’ Importance
3.4. Predicted Stem Water Potential
4. Discussion
5. Conclusions and Future Research
Supplementary Materials
Author Contributions
Funding
Data Availability Statement
Acknowledgments
Conflicts of Interest
References
- Habib-ur-Rahman, M.; Ahmad, A.; Raza, A.; Hasnain, M.U.; Alharby, H.F.; Alzahrani, Y.M.; Bamagoos, A.A.; Hakeem, K.R.; Ahmad, S.; Nasim, W.; et al. Impact of climate change on agricultural production; Issues, challenges, and opportunities in Asia. Front. Plant Sci. 2022, 13, 925548. [Google Scholar] [CrossRef] [PubMed]
- Kumar, L.; Chhogyel, N.; Gopalakrishnan, T.; Hasan, M.K.; Jayasinghe, S.L.; Kariyawasam, C.S.; Kogo, B.K.; Ratnayake, S. Climate change and future of agri-food production. In Future Foods; Academic Press: Cambridge, MA, USA, 2022; pp. 49–79. [Google Scholar] [CrossRef]
- Garofalo, S.P.; Intrigliolo, D.S.; Camposeo, S.; Alhajj Ali, S.; Tedone, L.; Lopriore, G.; De Mastro, G.; Vivaldi, G.A. Agronomic Responses of Grapevines to an Irrigation Scheduling Approach Based on Continuous Monitoring of Soil Water Content. Agronomy 2023, 13, 2821. [Google Scholar] [CrossRef]
- Dabbert, T.A.; Gore, M.A. Challenges and Perspectives on Improving Heat and Drought Stress Resilience in Cotton. J. Cotton Sci. 2014, 18, 393–409. [Google Scholar] [CrossRef]
- Zhang, Z.; Huang, J.; Yao, Y.; Peters, G.; Macdonald, B.; La Rosa, A.D.; Wang, Z.; Scherer, L. Environmental impacts of cotton and opportunities for improvement. Nat. Rev. Earth Environ. 2023, 4, 703–715. [Google Scholar] [CrossRef]
- Çelik, S. Assessing Drought Tolerance in a Large Number of Upland Cotton Plants (Gossypium hirsutum L.) under Different Irrigation Regimes at the Seedling Stage. Life 2023, 13, 2067. [Google Scholar] [CrossRef]
- Abdelraheem, A.; Adams, N.; Zhang, J. Effects of drought on agronomic and fiber quality in an introgressed backcross inbred line population of Upland cotton under field conditions. Field Crops Res. 2020, 254, 107850. [Google Scholar] [CrossRef]
- Abro, S.; Rizwan, M.; Deho, Z.A.; Abro, S.A.; Sial, M.A. Identification of heat tolerant cotton lines showing genetic variation in cell membrane thermostability, stomata, and trichome size and its effect on yield and fiber quality traits. Front. Plant Sci. 2022, 12, 804315. [Google Scholar] [CrossRef] [PubMed]
- Pettigrew, W.T. Physiological consequences of moisture deficit stress in cotton. Crop Sci. 2024, 44, 1265–1272. [Google Scholar] [CrossRef]
- Wu, N.; Yang, J.; Wang, G.; Ke, H.; Zhang, Y.; Liu, Z.; Ma, Z.; Wang, X. Novel insights into water-deficit-responsive mRNAs and lncRNAs during fiber development in Gossypium hirsutum. BMC Plant Biol. 2022, 22, 6. [Google Scholar] [CrossRef]
- Byrd, S.A.; Rowland, D.L.; Bennett, J.; Zotarelli, L.; Wright, D.; Alva, A.; Nordgaard, J. The Relationship Between Sap Flow and Commercial Soil Water Sensor Readings in Irrigated Potato (Solanum tuberosum L.) Production. Am. J. Potato Res. 2015, 92, 582–592. [Google Scholar] [CrossRef]
- Scholander, P.F.; Bradstreet, E.D.; Hemmingsen, E.A.; Hammel, H.T. Sap Pressure in Vascular Plants: Negative hydrostatic pressure can be measured in plants. Science 1965, 148, 339–346. [Google Scholar] [CrossRef] [PubMed]
- Maldera, F.; Garofalo, S.P.; Camposeo, S. Ecophysiological Recovery of Micropropagated Olive Cultivars: Field Research in an Irrigated Super-High-Density Orchard. Agronomy 2024, 14, 1560. [Google Scholar] [CrossRef]
- Myburgh, P.A.; Howell, C.L. Determining a midday stem water potential threshold for irrigation of table grapes. S. Afr. J. Enol. Vitic. 2022, 43, 96–102. [Google Scholar] [CrossRef]
- Pedrero, F.; Maestre-Valero, J.F.; Mounzer, O.; Nortes, P.A.; Alcobendas, R.; Romero-Trigueros, C.; Bayona, J.M.; Alarcón, J.J.; Nicolás, E. Response of young ‘Star Ruby’ grapefruit trees to regulated deficit irrigation with saline reclaimed water. Agric. Water Manag. 2015, 158, 51–60. [Google Scholar] [CrossRef]
- Mucchiani, C.; Karydis, K. Development of an automated and artificial intelligence assisted pressure chamber for stem water potential determination. Comput. Electron. Agric. 2024, 222, 109016. [Google Scholar] [CrossRef]
- Sellami, M.H.; Albrizio, R.; Čolović, M.; Hamze, M.; Cantore, V.; Todorovic, M.; Piscitelli, L.; Stellacci, A.M. Selection of Hyperspectral Vegetation Indices for Monitoring Yield and Physiological Response in Sweet Maize under Different Water and Nitrogen Availability. Agronomy 2022, 12, 489. [Google Scholar] [CrossRef]
- Garofalo, S.P.; Giannico, V.; Costanza, L.; Alhajj Ali, S.; Camposeo, S.; Lopriore, G.; Pedrero Salcedo, F.; Vivaldi, G.A. Prediction of Stem Water Potential in Olive Orchards Using High-Resolution Planet Satellite Images and Machine Learning Techniques. Agronomy 2024, 14, 1. [Google Scholar] [CrossRef]
- Weiss, M.; Jacob, F.; Duveiller, G. Remote sensing for agricultural applications: A meta-review. Remote Sens. Environ. 2020, 236, 111402. [Google Scholar] [CrossRef]
- ESA—Sentinel-2. Available online: https://www.esa.int/Applications/Observing_the_Earth/Copernicus/Sentinel-2 (accessed on 24 July 2024).
- Hassanpour, R.; Majnooni-Heris, A.; Fakheri Fard, A.; Verrelst, J. Monitoring Biophysical Variables (FVC, LAI, LCab, and CWC) and Cropland Dynamics at Field Scale Using Sentinel-2 Time Series. Remote Sens. 2024, 16, 2284. [Google Scholar] [CrossRef]
- Marcone, A.; Impollonia, G.; Croci, M.; Blandinières, H.; Amaducci, S. Estimation of above ground biomass, biophysical and quality parameters of spinach (Spinacia oleracea L.) using Sentinel-2 to support the supply chain. Sci. Hortic. 2024, 325, 112641. [Google Scholar] [CrossRef]
- Jiang, J.; Johansen, K.; Stanschewski, C.S.; Wellman, G.; Mousa MA, A.; Fiene, G.M.; Asiry, K.A.; Tester, M.; McCabe, M.F. Phenotyping a diversity panel of quinoa using UAV-retrieved leaf area index, SPAD-based chlorophyll and a random forest approach. Precis. Agric. 2022, 23, 961–983. [Google Scholar] [CrossRef]
- Mzid, N.; Boussadia, O.; Albrizio, R.; Stellacci, A.M.; Braham, M.; Todorovic, M. Salinity Properties Retrieval from Sentinel-2 Satellite Data and Machine Learning Algorithms. Agronomy 2023, 13, 716. [Google Scholar] [CrossRef]
- Bernardes, R. Machine learning—Basic principles. In Proceedings of the 2023 European Association for Vision and Eye Research Festival, Valencia, Spain, 26–28 October 2023; Volume 102. [Google Scholar] [CrossRef]
- Biswas, A.; Banik, R. Machine Learning Integration in Agriculture Domain: Concepts and Applications. In Fog Computing for Intelligent Cloud IoT Systems; Wiley: Hoboken, NJ, USA, 2024; pp. 71–97. [Google Scholar] [CrossRef]
- Narmilan, A.; Gonzalez, F.; Salgadoe, A.S.A.; Kumarasiri, U.W.L.M.; Weerasinghe, H.A.S.; Kulasekara, B.R. Predicting Canopy Chlorophyll Content in Sugarcane Crops Using Machine Learning Algorithms and Spectral Vegetation Indices Derived from UAV Multispectral Imagery. Remote Sens. 2022, 14, 1140. [Google Scholar] [CrossRef]
- Choudhary, K.; Shi, W.; Dong, Y.; Paringer, R. Random Forest for rice yield mapping and prediction using Sentinel-2 data with Google Earth Engine. Adv. Space Res. 2022, 70, 2443–2457. [Google Scholar] [CrossRef]
- Bian, J.; Zhang, Z.; Chen, J.; Chen, H.; Cui, C.; Li, X.; Chen, S.; Fu, Q. Simplified Evaluation of Cotton Water Stress Using High Resolution Unmanned Aerial Vehicle Thermal Imagery. Remote Sens. 2019, 11, 267. [Google Scholar] [CrossRef]
- Ballester, C.; Brinkhoff, J.; Quayle, W.C.; Hornbuckle, J. Monitoring the Effects of Water Stress in Cotton Using the Green Red Vegetation Index and Red Edge Ratio. Remote Sens. 2019, 11, 873. [Google Scholar] [CrossRef]
- Lin, Y.; Zhu, Z.; Guo, W.; Sun, Y.; Yang, X.; Kovalskyy, V. Continuous Monitoring of Cotton Stem Water Potential using Sentinel-2 Imagery. Remote Sens. 2020, 12, 1176. [Google Scholar] [CrossRef]
- Allen, R.G.; Pereira, L.S.; Raes, D.; Smith, M. Crop evapotranspiration-Guidelines for computing crop water requirements-FAO Irrigation and drainage paper 56. Fao Rome 1998, 300, D05109. [Google Scholar]
- Liu, Y.; Rao, P.; Zhou, W.; Singh, B.; Srivastava, A.K.; Poonia, S.P.; Van Berkel, D.; Jain, M. Using Sentinel-1, Sentinel-2, and Planet satellite data to map field-level tillage practices in smallholder systems. PLoS ONE 2022, 17, e0277425. [Google Scholar] [CrossRef]
- Gillies, S. Rasterio Documentation. Available online: https://readthedocs.org/projects/rasterio/downloads/pdf/stable/ (accessed on 24 July 2024).
- Garofalo, S.P.; Giannico, V.; Lorente, B.; García AJ, G.; Vivaldi, G.A.; Thameur, A.; Salcedo, F.P. Predicting carob tree physiological parameters under different irrigation systems using Random Forest and Planet satellite images. Front. Plant Sci. 2024, 15, 1302435. [Google Scholar] [CrossRef]
- Copernicus Browser. Available online: https://browser.dataspace.copernicus.eu/?zoom=5&lat=50.25072&lng=21.18164&themeId=DEFAULT-THEME&visualizationUrl=U2FsdGVkX18EcLke4IOPA8VZOu5DjxJopeOUxlSJeegwKRa%2FiExnR5KLLkXWTqrX21Bdf1sPbti0QYZGJVdnaAw5fKaTFQrH7FKq2WHlj5U4poBhZ7TkhCeGP8%2BEftIp&datasetId=S2_L2A_CDAS&demSource3D=%22MAPZEN%22&cloudCoverage=30&dateMode=SINGLE (accessed on 24 May 2024).
- Zhang, P.; Gong, Y. Prediction of Manufacturing PMI Based on AdaBoost Regression. In Proceedings of the 2023 3rd International Signal Processing, Communications and Engineering Management Conference (ISPCEM), Montreal, QC, Canada, 25–27 November 2023; p. 97. [Google Scholar] [CrossRef]
- Zhang, X.-D. Support Vector Machines. In A Matrix Algebra Approach to Artificial Intelligence; Springer: Singapore, 2020. [Google Scholar] [CrossRef]
- Tibshirani, R. Regression Shrinkage and Selection via the Lasso. J. R. Stat. Soc. Ser. B (Methodol.) 1996, 58, 267–288. [Google Scholar] [CrossRef]
- Ranstam, J.; Cook, J.A. LASSO regression. Br. J. Surg. 2018, 105, 1348. [Google Scholar] [CrossRef]
- Wu, Y. Can’t Ridge Regression Perform Variable Selection? Technometrics 2021, 63, 263–271. [Google Scholar] [CrossRef]
- Nakatsu, R.T. Validation of machine learning ridge regression models using Monte Carlo, bootstrap, and variations in cross-validation. J. Intell. Syst. 2023, 32, 20220224. [Google Scholar] [CrossRef]
- Wold, H. Estimation of principal components and related models by iterative least squares. In Multivariate Analysis; Krishnajah, P.R., Ed.; Springer: Berlin/Heidelberg, Germany, 1966; pp. 391–420. [Google Scholar]
- Rosipal, R.; Krämer, N. Overview and Recent Advances in Partial Least Squares. In International Statistical and Optimization Perspectives Workshop “Subspace, Latent Structure and Feature Selection”; SLSFS 2005. Lecture Notes in Computer Science 2006; Saunders, C., Grobelnik, M., Gunn, S., Shawe-Taylor, J., Eds.; Springer: Berlin/Heidelberg, Germany, 2005; Volume 3940. [Google Scholar] [CrossRef]
- Breiman, L. Random forests. Mach. Learn. 2001, 45, 5–32. [Google Scholar] [CrossRef]
- Biau, G.; Scornet, E. A random forest guided tour. Test 2016, 25, 197–227. [Google Scholar] [CrossRef]
- Chen, T.; Guestrin, C. XGBoost: A scalable tree boosting system. In Proceedings of the ACM SIGKDD International Conference on Knowledge Discovery and Data Mining, San Francisco, CA, USA, 13–17 August 2016; pp. 785–794. [Google Scholar] [CrossRef]
- Mariadass DA, L.; Moung, E.G.; Sufian, M.M.; Farzamnia, A. Extreme Gradient Boosting (XGBoost) Regressor and Shapley Additive Explanation for Crop Yield Prediction in Agriculture. In Proceedings of the 2022 12th International Conference on Computer and Knowledge Engineering (ICCKE), Mashhad, Iran, 17–18 November 2022; pp. 219–224. [Google Scholar] [CrossRef]
- Noorunnahar, M.; Chowdhury, A.H.; Mila, F.A. A tree based eXtreme Gradient Boosting (XGBoost) machine learning model to forecast the annual rice production in Bangladesh. PLoS ONE 2023, 18, e0283452. [Google Scholar] [CrossRef]
- Akiba, T.; Sano, S.; Yanase, T.; Ohta, T.; Koyama, M. Optuna: A Next-generation Hyperparameter Optimization Framework. In Proceedings of the 25th ACM SIGKDD International Conference on Knowledge Discovery & Data Mining (KDD ‘19). Association for Computing Machinery, Anchorage, AK, USA, 4–8 August 2019; pp. 2623–2631. [Google Scholar] [CrossRef]
- Jamoos, M.; Mora, A.M.; AlKhanafseh, M.; Surakhi, O. A Comparative Analysis of the TDCGAN Model for Data Balancing and Intrusion Detection. Signals 2024, 5, 580–596. [Google Scholar] [CrossRef]
- Miller, T. Explanation in artificial intelligence: Insights from the social sciences. Artif. Intell. 2019, 267, 1–38. [Google Scholar] [CrossRef]
- Marcinkevičs, R.; Vogt, J.E. Interpretable and explainable machine learning: A methods-centric overview with concrete examples. WIREs Data Min. Knowl. Discov. 2023, 13, e1493. [Google Scholar] [CrossRef]
- Strobl, C.; Boulesteix, A.L.; Kneib, T.; Augustin, T.; Zeileis, A. Conditional variable importance for random forests. BMC Bioinform. 2008, 9, 307. [Google Scholar] [CrossRef] [PubMed]
- Shapley, L.S. 17. A Value for n-Person Games. In Contributions to the Theory of Games (AM-28); Princeton University Press: Princeton, NJ, USA, 1953; pp. 307–318. [Google Scholar] [CrossRef]
- Loi, C.L.; Wu, C.C.; Liang, Y.C. Prediction of Tropical Cyclogenesis Based on Machine Learning Methods and Its SHAP Interpretation. J. Adv. Model. Earth Syst. 2024, 16, e2023MS003637. [Google Scholar] [CrossRef]
- Friedman, J.H. Greedy function approximation: A gradient boosting machine. Ann. Stat. 2001, 29, 1189–1232. [Google Scholar] [CrossRef]
- Zarco-Tejada, P.J.; González-Dugo, V.; Berni, J.A.J. Fluorescence, temperature and narrow-band indices acquired from a UAV platform for water stress detection using a micro-hyperspectral imager and a thermal camera. Remote Sens. Environ. 2012, 117, 322–337. [Google Scholar] [CrossRef]
- Minaei, S.; Soltanikazemi, M.; Shafizadeh-Moghadam, H.; Mahdavian, A. Field-scale estimation of sugarcane leaf nitrogen content using vegetation indices and spectral bands of Sentinel-2: Application of random forest and support vector regression. Comput. Electron. Agric. 2022, 200, 107130. [Google Scholar] [CrossRef]
- Pôças, I.; Gonçalves, J.; Costa, P.M.; Gonçalves, I.; Pereira, L.S.; Cunha, M. Hyperspectral-based predictive modelling of grapevine water status in the Portuguese Douro wine region. Int. J. Appl. Earth Obs. Geoinf. 2017, 58, 177–190. [Google Scholar] [CrossRef]
- Belgiu, M.; Drăgu, L. Random forest in remote sensing: A review of applications and future directions. ISPRS J. Photogramm. Remote Sens. 2016, 114, 24–31. [Google Scholar] [CrossRef]
- Laroche-Pinel, E.; Duthoit, S.; Albughdadi, M.; Costard, A.D.; Rousseau, J.; Chéret, V.; Clenet, H. Towards Vine Water Status Monitoring on a Large Scale Using Sentinel-2 Images. Remote Sens. 2021, 13, 1837. [Google Scholar] [CrossRef]
- Nowack, J.C.; Atencia-Payares, L.K.; Tarquis, A.M.; Gomez-del-Campo, M. Application of Unmanned Aerial Vehicle (UAV) Sensing for Water Status Estimation in Vineyards under Different Pruning Strategies. Plants 2024, 13, 1350. [Google Scholar] [CrossRef]
- Zhang, T.; Su, J.; Liu, C.; Chen, W.H.; Liu, H.; Liu, G. Band selection in sentinel-2 satellite for agriculture applications. In Proceedings of the 2017 23rd International Conference on Automation and Computing (ICAC), Huddersfield, UK, 7–8 September 2017; pp. 1–6. [Google Scholar] [CrossRef]
- Aklilu Tesfaye, A.; Gessesse Awoke, B. Evaluation of the saturation property of vegetation indices derived from sentinel-2 in mixed crop-forest ecosystem. Spat. Inf. Res. 2021, 29, 109–121. [Google Scholar] [CrossRef]
- Gerhards, M.; Schlerf, M.; Mallick, K.; Udelhoven, T. Challenges and Future Perspectives of Multi-/Hyperspectral Thermal Infrared Remote Sensing for Crop Water-Stress Detection: A Review. Remote Sens. 2019, 11, 1240. [Google Scholar] [CrossRef]
- Uarrota, V.G.; Stefen DL, V.; Leolato, L.S.; Gindri, D.M.; Nerling, D. Revisiting Carotenoids and Their Role in Plant Stress Responses: From Biosynthesis to Plant Signaling Mechanisms During Stress. In Antioxidants and Antioxidant Enzymes in Higher Plants; Springer: Cham, Switzerland, 2018; pp. 207–232. [Google Scholar] [CrossRef]
- Falcioni, R.; Antunes, W.C.; Demattê, J.A.M.; Nanni, M.R. A Novel Method for Estimating Chlorophyll and Carotenoid Concentrations in Leaves: A Two Hyperspectral Sensor Approach. Sensors 2023, 23, 3843. [Google Scholar] [CrossRef] [PubMed]
- Königer, M.; Winter, K. Carotenoid composition and photon-use efficiency of photosynthesis in Gossypium hirsutum L. grown under conditions of slightly suboptimum leaf temperatures and high levels of irradiance. Oecologia 1991, 87, 349–356. [Google Scholar] [CrossRef] [PubMed]
- Li, N.N.; Shi, F.; Gao, H.Y.; Khan, A.; Wang, F.Y.; Kong, X.H.; Luo, H.H. Improving photosynthetic characteristics and antioxidant enzyme activity of capsule wall and subtending leaves increases cotton biomass under limited irrigation system. Photosynthetica 2021, 59, 215–227. [Google Scholar] [CrossRef]
- Genc, L.; Inalpulat, M.; Kizil, U.; Mirik, M.; Smith, S.E.; Mendes, M. Determination of water stress with spectral reflectance on sweet corn (Zea mays L.) using classification tree (CT) analysis. Zemdirb.-Agric. 2013, 100, 81–90. [Google Scholar] [CrossRef]
- Frampton, W.J.; Dash, J.; Watmough, G.; Milton, E.J. Evaluating the capabilities of Sentinel-2 for quantitative estimation of biophysical variables in vegetation. ISPRS J. Photogramm. Remote Sens. 2013, 82, 83–92. [Google Scholar] [CrossRef]
- Varghese, D.; Radulović, M.; Stojković, S.; Crnojević, V. Reviewing the Potential of Sentinel-2 in Assessing the Drought. Remote Sens. 2021, 13, 3355. [Google Scholar] [CrossRef]
- Poudel, S.; Vennam, R.R.; Shrestha, A.; Reddy, K.R.; Wijewardane, N.K.; Reddy, K.N.; Bheemanahalli, R. Resilience of soybean cultivars to drought stress during flowering and early-seed setting stages. Sci. Rep. 2023, 13, 1277. [Google Scholar] [CrossRef] [PubMed]
- Danzi, D.; De Paola, D.; Petrozza, A.; Summerer, S.; Cellini, F.; Pignone, D.; Janni, M. The Use of Near-Infrared Imaging (NIR) as a Fast Non-Destructive Screening Tool to Identify Drought-Tolerant Wheat Genotypes. Agriculture 2022, 12, 537. [Google Scholar] [CrossRef]
- Blesch, K.; Watson, D.S.; Wright, M.N. Conditional feature importance for mixed data. AStA Adv. Stat. Anal. 2023, 108, 259–278. [Google Scholar] [CrossRef]
- Wang, H.; Liang, Q.; Hancock, J.T.; Khoshgoftaar, T.M. A Comparative Study of Model-Agnostic and Importance-Based Feature Selection Approaches. In Proceedings of the 2023 IEEE 5th International Conference on Cognitive Machine Intelligence (CogMI), Atlanta, GA, USA, 1–4 November 2023; pp. 75–78. [Google Scholar] [CrossRef]








| Algorithm | Fine-Tuned Hyper-Parameters |
|---|---|
| AdaBoost | Learning rate; loss; number of estimators |
| SVR | c; γ; epsilon |
| Lasso | α; maximum number of iterations |
| Ridge | α; maximum number of iterations |
| PLSR | Number of components |
| RF | Maximum number of features; maximum depth; minimum samples to split an internal node; minimum number of samples of a leaf node after the split; number of estimators |
| XGBoost | Learning rate; γ; minimum child weight; column sample by tree; subsample; maximum depth |
| DOY | Count | Min | Max | Mean | sd | Median |
|---|---|---|---|---|---|---|
| 194 | 16 | −0.35 | −0.15 | −0.26 | 0.06 | −0.27 |
| 199 | 16 | −0.56 | −0.30 | −0.41 | 0.06 | −0.40 |
| 204 | 16 | −1.48 | −0.18 | −0.95 | 0.31 | −1.00 |
| 209 | 16 | −0.50 | −0.30 | −0.38 | 0.06 | −0.40 |
| 224 | 16 | −0.40 | −0.18 | −0.26 | 0.06 | −0.28 |
| 234 | 16 | −0.46 | −0.16 | −0.29 | 0.07 | −0.28 |
| Overall | 96 | −1.48 | −0.15 | −0.43 | 0.29 | −0.33 |
| Model | Average R2 | R2 sd | Average RMSE (MPa) | RMSE sd (MPa) |
|---|---|---|---|---|
| AdaBoost | 0.673 | 0.087 | 0.137 | 0.023 |
| Lasso | −0.027 | 0.047 | 0.246 | 0.020 |
| PLSR | 0.452 | 0.119 | 0.178 | 0.023 |
| RandomForest | 0.756 | 0.072 | 0.119 | 0.026 |
| Ridge | 0.252 | 0.118 | 0.210 | 0.029 |
| SVR | 0.582 | 0.112 | 0.154 | 0.014 |
| XGBoost | 0.730 | 0.091 | 0.125 | 0.024 |
Disclaimer/Publisher’s Note: The statements, opinions and data contained in all publications are solely those of the individual author(s) and contributor(s) and not of MDPI and/or the editor(s). MDPI and/or the editor(s) disclaim responsibility for any injury to people or property resulting from any ideas, methods, instructions or products referred to in the content. |
© 2024 by the authors. Licensee MDPI, Basel, Switzerland. This article is an open access article distributed under the terms and conditions of the Creative Commons Attribution (CC BY) license (https://creativecommons.org/licenses/by/4.0/).
Share and Cite
Garofalo, S.P.; Modugno, A.F.; De Carolis, G.; Sanitate, N.; Negash Tesemma, M.; Scarascia-Mugnozza, G.; Tekle Tegegne, Y.; Campi, P. Explainable Artificial Intelligence to Predict the Water Status of Cotton (Gossypium hirsutum L., 1763) from Sentinel-2 Images in the Mediterranean Area. Plants 2024, 13, 3325. https://doi.org/10.3390/plants13233325
Garofalo SP, Modugno AF, De Carolis G, Sanitate N, Negash Tesemma M, Scarascia-Mugnozza G, Tekle Tegegne Y, Campi P. Explainable Artificial Intelligence to Predict the Water Status of Cotton (Gossypium hirsutum L., 1763) from Sentinel-2 Images in the Mediterranean Area. Plants. 2024; 13(23):3325. https://doi.org/10.3390/plants13233325
Chicago/Turabian StyleGarofalo, Simone Pietro, Anna Francesca Modugno, Gabriele De Carolis, Nicola Sanitate, Mesele Negash Tesemma, Giuseppe Scarascia-Mugnozza, Yitagesu Tekle Tegegne, and Pasquale Campi. 2024. "Explainable Artificial Intelligence to Predict the Water Status of Cotton (Gossypium hirsutum L., 1763) from Sentinel-2 Images in the Mediterranean Area" Plants 13, no. 23: 3325. https://doi.org/10.3390/plants13233325
APA StyleGarofalo, S. P., Modugno, A. F., De Carolis, G., Sanitate, N., Negash Tesemma, M., Scarascia-Mugnozza, G., Tekle Tegegne, Y., & Campi, P. (2024). Explainable Artificial Intelligence to Predict the Water Status of Cotton (Gossypium hirsutum L., 1763) from Sentinel-2 Images in the Mediterranean Area. Plants, 13(23), 3325. https://doi.org/10.3390/plants13233325

