Contrasting Weather and Stocking Effects on Eucalyptus Initial Coppice Response in Brazil
Abstract
1. Introduction
- (1)
- Do tropical clones exhibit greater sprouting biomass and wood biomass compared to subtropical clones?
- (2)
- Are the most productive clones in the initial rotation also the most productive at the beginning of the coppice rotation?
- (3)
- Do dominant trees from the initial rotation maintain dominance in the coppice rotation?
- (4)
- What is the impact of climate on sprouting and initial growth of genotypes in coppice rotation?
- (5)
- How does the interaction between climate and stocking affect the growth of clones at the beginning of the coppice rotation?
2. Results
3. Discussion
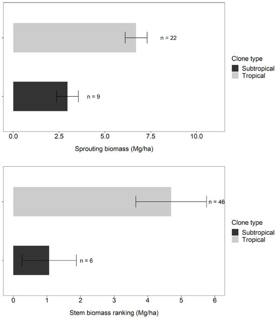
3.1. Do Tropical Clones Exhibit Greater Sprouting Biomass and Wood Biomass Compared to Subtropical Clones?
3.2. Will the Most Productive Clones in the Initial Rotation Be the Most Productive at the Beginning of the Coppice Rotation?
3.3. Will the Dominant Trees in the Initial Rotation Remain Dominant in the Coppice Rotation?
3.4. How Does Climate Affect Sprouting and Initial Growth of Genotypes in Coppice Rotation?
3.5. How Does the Interaction Between Climate and Stocking Affect the Growth of Clones at the Beginning of the Coppice Rotation?
4. Materials and Methods
4.1. Site Description
4.2. Genotypes
4.3. Climatic Data and Water Balance
4.4. Establishment of the Coppice Rotation
4.5. Growth Measurements
4.6. Data Analysis
5. Conclusions
Author Contributions
Funding
Data Availability Statement
Acknowledgments
Conflicts of Interest
References
- Hawley, R.C. The Practice of Silviculture: With Particular Reference to Its Application in the United States; John Wiley & Sons, Inc.: New York, NY, USA, 1921. [Google Scholar]
- Andrade, E.N. O Eucalipto, 2nd ed.; Typografia Brasil Rothschild: São Paulo, SP, Brazil, 1961. [Google Scholar]
- Ford-Robertson, F.C. Terminology of Forest Science, Technology, Practice and Procedures; Society of American Foresters: Washington, DC, USA, 1971. [Google Scholar]
- Fuertes, A.; Oliveira, N.; Cañellas, I.; Sixto, H.; Rodríguez-Soalleiro, R. An economic overview of Populus spp. in Short Rotation Coppice systems under Mediterranean conditions: An assessment tool for decision-making. Renew. Sustain. Energy Rev. 2021, 151, 111577. [Google Scholar] [CrossRef]
- da Silva, N.F.; de Barros, N.F.; Neves, J.C.L.; Schulthais, F.; de Novais, R.F.; Mattiello, E.M. Yield and Nutrient Demand and Efficiency of Eucalyptus under Coppicing Regime. Forests 2020, 11, 852. [Google Scholar] [CrossRef]
- Dube, T.; Mbulisi, S.; Cletah, S.; Onisimo, M. Stand-volume estimation from multi-source data for coppiced and high forest Eucalyptus spp. silvicultural systems in KwaZulu-Natal, South Africa. ISPRS J. Photogramm. Remote Sens. 2017, 132, 162–169. [Google Scholar] [CrossRef]
- Little, K.M.; Gardner, R.A. Coppicing Ability of 20 Eucalyptus Species Grown at Two High-Altitude Sites in South Africa. Can. J. For. Res. 2003, 33, 181–189. [Google Scholar] [CrossRef]
- Burrows, G.E. Epicormic Strand Structure in Angophora, Eucalyptus and Lophostemon (Myrtaceae): Implications for Fire Resistance and Recovery. New Phytol. 2002, 153, 111–131. [Google Scholar] [CrossRef]
- Teixeira, P.C.; Novais, R.F.; Barros, N.F.; Neves, J.C.L.; Teixeira, J.L. Eucalyptus urophylla Root Growth, Stem Sprouting and Nutrient Supply from the Roots and Soil. For. Ecol. Manag. 2002, 160, 263–271. [Google Scholar] [CrossRef]
- de Gonçalves, J.L.M.; Alvares, C.A.; Behling, M.; Alves, J.M.; Pizzi, G.T.; Angeli, A. Productivity of Eucalypt Plantations Managed under High Forest and Coppice Systems, Depending on Edaphoclimatic Factors. Sci. For. 2014, 40, 411–419. [Google Scholar]
- Pereira Filho, G.M.; Jacovine, L.A.G.; Schettini, B.L.S.; de Paiva, H.N.; Leite, F.P.; Villanova, P.H.; da Rocha, S.J.S.S.; Leite, H.G. Correlação Entre Dimensões Das Árvores de Eucalipto Em Alto Fuste e Talhadia. Sci. For. 2020, 48, 1–8. [Google Scholar] [CrossRef]
- Soares, A.A.V.; Scolforo, H.F.; Forrester, D.I.; Carneiro, R.L.; Campoe, O.C. Exploring the Relationship between Stand Growth, Structure and Growth Dominance in Eucalyptus Monoclonal Plantations across a Continent-Wide Environmental Gradient in Brazil. For. Ecol. Manag. 2020, 474, 118340. [Google Scholar] [CrossRef]
- Willebrand, E.; Ledin, S.; Verwijst, T. Willow Coppice Systems in Short Rotation Forestry: Effects of Plant Spacing, Rotation Length and Clonal Composition on Biomass Production. Biomass Bioenergy 1993, 4, 323–331. [Google Scholar] [CrossRef]
- Germon, A.; Laclau, J.-P.; Robin, A.; Jourdan, C. Tamm Review: Deep Fine Roots in Forest Ecosystems: Why Dig Deeper? For. Ecol. Manag. 2020, 466, 118135. [Google Scholar] [CrossRef]
- Binkley, D.; Campoe, O.C.; Alvares, C.A.; Carneiro, R.L.; Cegatta, Í.R.; Stape, J.L. The Interactions of Climate, Spacing and Genetics on Clonal Eucalyptus Plantations across Brazil and Uruguay. For. Ecol. Manag. 2017, 405, 271–283. [Google Scholar] [CrossRef]
- Campoe, O.C.; Alvares, C.A.; Carneiro, R.L.; Binkley, D.; Ryan, M.G.; Hubbard, R.M.; Stahl, J.; Moreira, G.; Moraes, L.F.; Stape, J.L. Climate and Genotype Influences on Carbon Fluxes and Partitioning in Eucalyptus Plantations. For. Ecol. Manag. 2020, 475, 118445. [Google Scholar] [CrossRef]
- Palacio, S.; Maestro, M.; Montserrat-Martí, G. Relationship between Shoot-Rooting and Root-Sprouting Abilities and the Carbohydrate and Nitrogen Reserves of Mediterranean Dwarf Shrubs. Ann. Bot. 2007, 100, 865–874. [Google Scholar] [CrossRef]
- Bond, W.J.; Midgley, J.J. Ecology of Sprouting in Woody Plants: The Persistence Niche. Trends Ecol. Evol. 2001, 16, 45–51. [Google Scholar] [CrossRef]
- Amâncio, M.R.; Pereira, F.B.; Paludeto, J.G.Z.; Vergani, A.R.; Bison, O.; Peres, F.S.B.; Tambarussi, E.V. Genetic Control of Coppice Regrowth in Eucalyptus spp. Silvae. Genet. 2020, 69, 6–12. [Google Scholar] [CrossRef]
- Binkley, D.; Campoe, O.C.; Alvares, C.A.; Carneiro, R.L.; Stape, J.L. Variation in Whole-Rotation Yield among Eucalyptus Genotypes in Response to Water and Heat Stresses: The TECHS Project. For. Ecol. Manag. 2020, 462, 117953. [Google Scholar] [CrossRef]
- Ledo, A.; Paul, K.I.; Burslem, D.F.R.P.; Ewel, J.J.; Barton, C.; Battaglia, M.; Brooksbank, K.; Carter, J.; Eid, T.H.; England, J.R.; et al. Tree Size and Climatic Water Deficit Control Root to Shoot Ratio in Individual Trees Globally. New Phytol. 2018, 217, 8–11. [Google Scholar] [CrossRef]
- Whittock, S.P.; Apiolaza, L.A.; Kelly, C.M.; Potts, B.M. Genetic Control of Coppice and Lignotuber Development in Eucalyptus globulus. Aust. J. Bot. 2003, 51, 57–67. [Google Scholar] [CrossRef]
- Bernardo, A.L.; Reis, M.G.F.; Reis, G.G.; Harrison, R.B.; Firme, D.J. Effect of Spacing on Growth and Biomass Distribution in Eucalyptus camaldulensis, E. pellita and E. urophylla Plantations in Southeastern Brazil. For. Ecol. Manag. 1998, 104, 1–13. [Google Scholar] [CrossRef]
- Köppen, W.P. Grundriss der Klimakunde; W. de Gruyter: Berlin, Germany, 1931. [Google Scholar]
- Stackhouse, P.W.; Westberg, D.; Chandler, W.S.; Zhang, T.; Hoell, J.M. Prediction of Worldwide Energy Resource (POWER): Agroclimatology Methodology (1.0° Latitude by 1.0° Longitude Spatial Resolution); NASA: Washington, DC, USA, 2015. [Google Scholar]
- Villa Nova, N.A.; Pedro Junior, M.J.; Pereira, A.R.; Ometto, J.C. Estimativa de Graus-Dia Acumulados Acima de Qualquer Temperatura Base, em Função das Temperaturas Máxima e Mínima. Carderno Ciênc. Terra 1972, 30, 1–8. [Google Scholar]
- de Oliveira, A.S.; Steidle Neto, A.J.; Ribeiro, A.; Rascon, N.L., Jr.; Rody, Y.P.; de Almeida, A.Q. Determinação Do Tempo Térmico Para o Desenvolvimento de Mudas de Eucalipto Na Fase de Enraizamento. Rev. Bras. Eng. Agríc. Ambient. 2012, 16, 1223–1228. [Google Scholar] [CrossRef]
- Thornthwaite, C.W.; Mather, J.R. The Water Balance, 8th ed.; Drexel Institute of Technology—Laboratory of Climatology: Centerton, AR, USA, 1955. [Google Scholar]
- Pereira, A.R.; Angelocci, L.R.; Sentelhas, P.C. Meteorologia Agrícola, 4th ed.; Universidade de São Paulo, Escola Superior de Agricultura “Luiz de Queiroz”: Piracicaba, SP, Brazil, 2007. [Google Scholar]
- Allen, R.G.; Smith, M.; Pereira, L.S.; Perrier, A. An Update for the Calculation of Reference Evapotranspiration. ICID ICID Bull. Int. Comm. Irrig. Drain. 1994, 43, 35–92. [Google Scholar]
- Beguería, S.; Vicente-Serrano, S.M. Package ‘SPEI’; Calculation of the Standardized Precipitation-Evapotranspiration Index; CRAN: Vienna, Austria, 2023. [Google Scholar]
- R Core Team. A Language and Environment for Statistical Computing; R Foundation for Statistical Computing: Vienna, Austria, 2023. [Google Scholar]
- Schumacher, F.X.; Hall, F.S. Logarithmic Expression of Timber-Tree Volume. J. Agric. Res. 1933, 47, 719–734. [Google Scholar]
- de Mattos, E.M.; Binkley, D.; Campoe, O.C.; Alvares, C.A.; Stape, J.L. Variation in Canopy Structure, Leaf Area, Light Interception and Light Use Efficiency among Eucalyptus Clones. For. Ecol. Manag. 2020, 463, 118038. [Google Scholar] [CrossRef]
- Hakamada, R.E.; Stape, J.L.; de Lemos, C.C.Z.; Almeida, A.E.A.; Silva, L.F. Uso Do Inventário Florestal e Da Uniformidade Entre Árvores Como Ferramenta de Monitoramento Da Qualidade Silvicultural Em Plantios Clonais de Eucalipto. Sci. For. 2015, 43, 27–39. [Google Scholar]










| Age (Months) | Variable | Initial Rotation | Coppice Rotation | ||||
|---|---|---|---|---|---|---|---|
| Rainfall | Average Temperature | Water Deficit | Rainfall | Average Temperature | Water Deficit | ||
| 6 | Sprouting height (m) | −0.80 | 0.78 | 0.89 | −0.48 | 0.89 | 0.81 |
| 12 | Stem biomass (Mg ha−1) | −0.87 | 0.81 | 0.77 | 0.29 | 0.75 | 0.14 |
| Site | Lat (Degrees) | Long (Degrees) | Altitude (m) | Average Annual ppt (mm) 1 | Average Temperature (°C) 1 | Soil Type | Water Holding Capacity (mm) 2 | Average Annual Water Deficit (mm) 1 |
|---|---|---|---|---|---|---|---|---|
| 6 | −30.19 | −51.62 | 150 | 1576.0 | 20.0 | Ultisol | 145 | 124 |
| 8 | −11.86 | −38.37 | 218 | 1131.1 | 25.6 | Ultisol | 89 | 538 |
| 13 | −20.9 | −51.9 | 361 | 1062.3 | 25.2 | Oxisol | 87 | 558 |
| 17 | −18.25 | −45.1 | 806 | 914.3 | 24.1 | Oxisol | 76 | 938 |
| 20 | −22.35 | −46.97 | 633 | 1199.0 | 22.2 | Oxisol | 165 | 341 |
| 22 | −24.23 | −50.53 | 888 | 1458.5 | 20.8 | Latosol | 214 | 39 |
| 33 | −23.85 | −48.7 | 695 | 1386.7 | 20.6 | Latosol | 196 | 42 |
| 35 | −5.90 | −35.35 | 650 | 1047.4 | 26.5 | Oxisol | 89 | 1020 |
| Code | Genotype | Group 2 | Climate of Origin 3 |
|---|---|---|---|
| A1 | E. urophylla | Tropical | Cwa |
| C3 | E. grandis × E. camaldulensis | Tropical | As |
| D4 | E. grandis × E. urophylla | Tropical | Aw |
| E5 | E. urophylla | Tropical | Cwa |
| F6 | E. benthamii | Subtropical | Cfb |
| G7 | E. urophylla | Tropical | Cwa |
| H8 | E. grandis × E. urophylla | Tropical | Am |
| I9 | E. dunnii | Subtropical | Cfb |
| J1 | E. benthamii | Subtropical | Cfb |
| K2 | E. saligna | Subtropical | Cfb |
| L3 | E. urophylla × E. globulus | Subtropical | Cfb |
| M4 | E. dunnii | Subtropical | Cfb |
| N5 | E. dunnii | Subtropical | Cfb |
| O6 | E. grandis | Subtropical | Cfb |
| P7 | E. urophylla × E. brassiana | Tropical | As |
| Q8 | E. grandis × E. urophylla | Tropical | Af |
| R9 | E. urophylla | Tropical | Aw |
Disclaimer/Publisher’s Note: The statements, opinions and data contained in all publications are solely those of the individual author(s) and contributor(s) and not of MDPI and/or the editor(s). MDPI and/or the editor(s) disclaim responsibility for any injury to people or property resulting from any ideas, methods, instructions or products referred to in the content. |
© 2024 by the authors. Licensee MDPI, Basel, Switzerland. This article is an open access article distributed under the terms and conditions of the Creative Commons Attribution (CC BY) license (https://creativecommons.org/licenses/by/4.0/).
Share and Cite
Fernandes, P.G.; Alvares, C.A.; Queiroz, T.B.; Pimenta, P.V.; Borges, J.S.; Stahl, J.; Mendes, F.T.; Souza, A.; Silva, G.M.; da Silva, G.G.C.; et al. Contrasting Weather and Stocking Effects on Eucalyptus Initial Coppice Response in Brazil. Plants 2024, 13, 3254. https://doi.org/10.3390/plants13223254
Fernandes PG, Alvares CA, Queiroz TB, Pimenta PV, Borges JS, Stahl J, Mendes FT, Souza A, Silva GM, da Silva GGC, et al. Contrasting Weather and Stocking Effects on Eucalyptus Initial Coppice Response in Brazil. Plants. 2024; 13(22):3254. https://doi.org/10.3390/plants13223254
Chicago/Turabian StyleFernandes, Pietro Gragnolati, Clayton Alcarde Alvares, Túlio Barroso Queiroz, Pedro Vitor Pimenta, Jarbas Silva Borges, James Stahl, Flávio Teixeira Mendes, Amanda Souza, Gustavo Matheus Silva, Gualter Guenther Costa da Silva, and et al. 2024. "Contrasting Weather and Stocking Effects on Eucalyptus Initial Coppice Response in Brazil" Plants 13, no. 22: 3254. https://doi.org/10.3390/plants13223254
APA StyleFernandes, P. G., Alvares, C. A., Queiroz, T. B., Pimenta, P. V., Borges, J. S., Stahl, J., Mendes, F. T., Souza, A., Silva, G. M., da Silva, G. G. C., Milhomem, S. B. B., Sousa, R. R. d., & Hakamada, R. E. (2024). Contrasting Weather and Stocking Effects on Eucalyptus Initial Coppice Response in Brazil. Plants, 13(22), 3254. https://doi.org/10.3390/plants13223254

