Phosphorus Supply Under Micro-Nano Bubble Water Drip Irrigation Enhances Maize Yield and Phosphorus Use Efficiency
Abstract
1. Introduction
2. Materials and Methods
2.1. Overview of the Experimental Site
2.2. Field Management and Experimental Design
2.2.1. Soil Collection and Preparation
2.2.2. Experimental Setup and Soil Column Simulation
2.2.3. Crop Management
2.2.4. Experimental Design
2.3. Measurement and Application Methods
2.3.1. Soil Parameters
2.3.2. Maize Plant Height, Stem Diameter, and SPAD Values
2.3.3. Maize Biomass, Phosphorus Concentration, and Phosphorus Accumulation
2.3.4. Maize Grain Yield and Yield Components
2.3.5. Phosphorus Use Efficiency
2.4. Statistical Analysis
3. Results
3.1. Soil Enzyme Activity
3.1.1. Alkaline Protease
3.1.2. Alkaline Phosphatase
3.1.3. Urease
3.2. Soil Available Phosphorus and Total Phosphorus
3.2.1. Available Phosphorus
3.2.2. Total Phosphorus
3.3. Maize Growth and Physiology
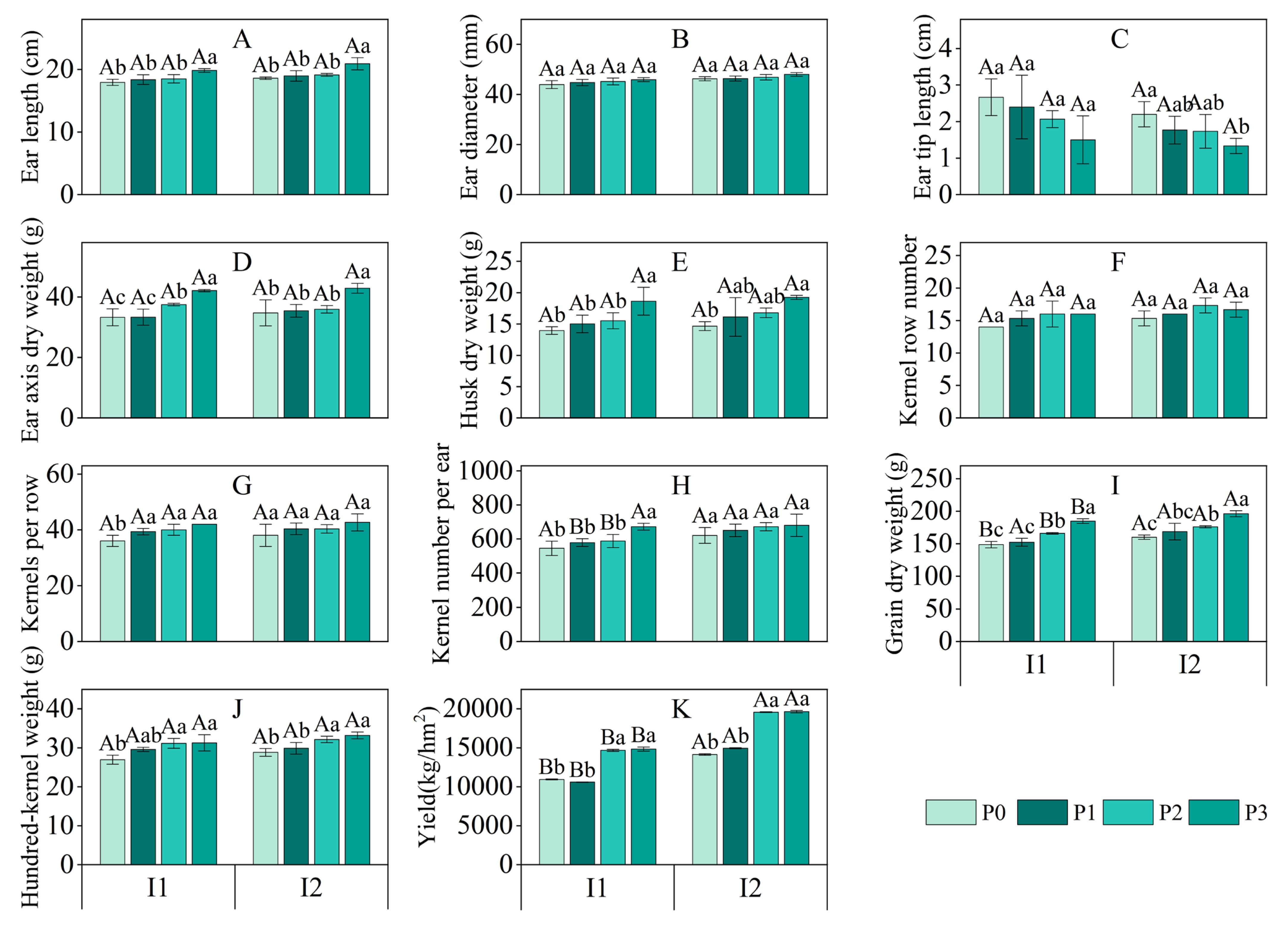
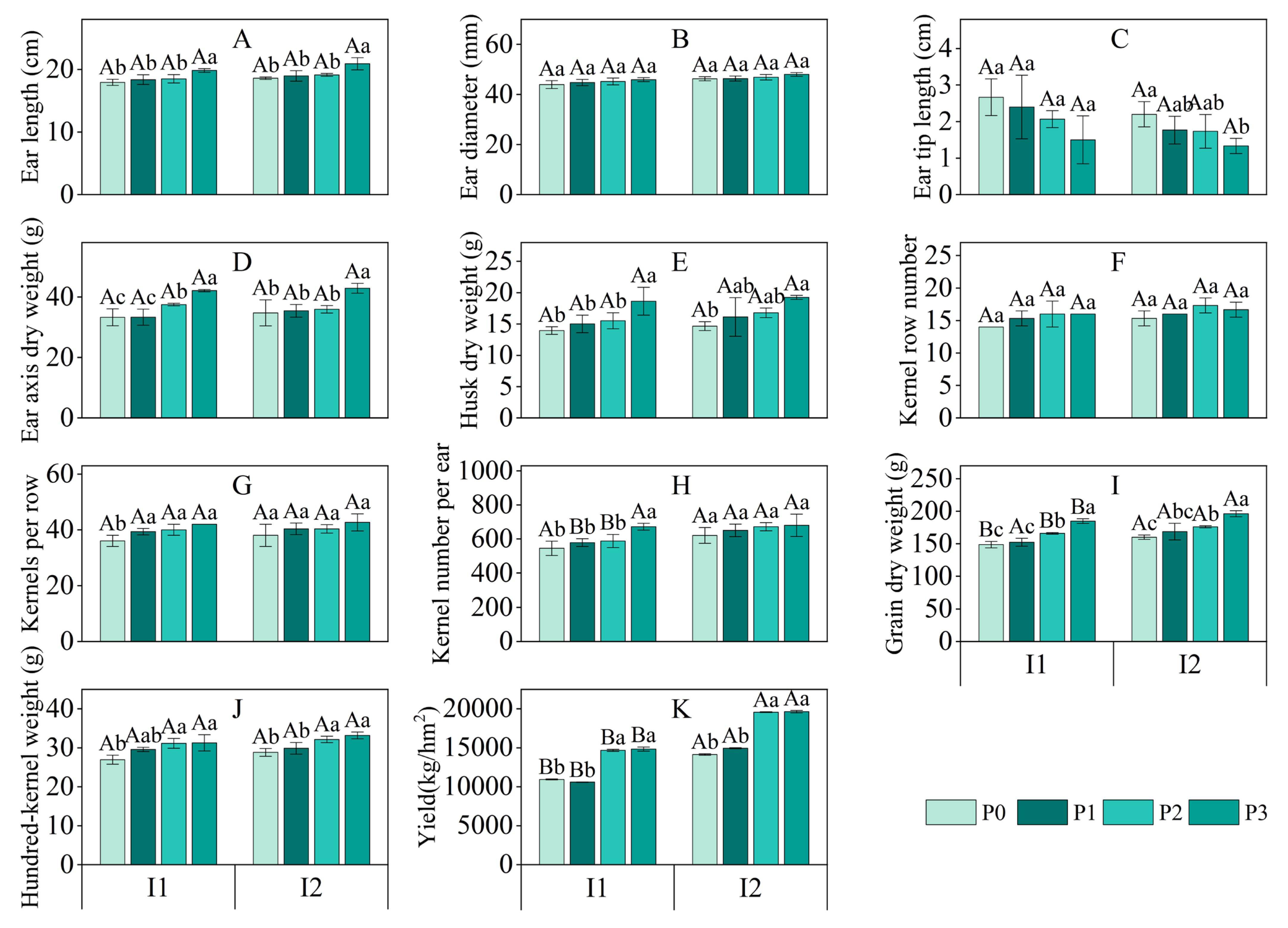
3.4. Maize Biomass, Yield, and Yield Components
3.4.1. Biomass
3.4.2. Yield and Yield Components
3.5. Maize Phosphorus Concentration and Phosphorus Accumulation
3.5.1. Phosphorus Concentration
3.5.2. Phosphorus Accumulation
3.6. Utilization Efficiency of Phosphorus in Maize
3.7. Structural Equation Model
4. Discussion
4.1. Soil Enzyme Activity and Phosphorus Accumulation
4.2. Maize Growth and Biomass Distribution in Response to Irrigation and Phosphorus Application
4.3. Impact of Irrigation Methods and Phosphorus Application on Maize Yield and Components
4.4. Enhancing Phosphorus Uptake and Utilization Efficiency through Irrigation Methods
4.5. Mechanisms of Phosphorus Supply in Enhancing Maize Yield with Micro-Nano Bubble Water Drip Irrigation
5. Conclusions
Author Contributions
Funding
Data Availability Statement
Acknowledgments
Conflicts of Interest
References
- Henningsen, J.N.; Görlach, B.M.; Fernández, V.; Dölger, J.L.; Buhk, A.; Mühling, K.H. Foliar P application cannot fully restore photosynthetic capacity, p nutrient status, and growth of P deficient maize (Zea mays L.). Plants 2022, 11, 2986. [Google Scholar] [CrossRef]
- Luo, N.; Meng, Q.F.; Feng, P.Y.; Qu, Z.R.; Yu, Y.H.; Liu, D.L.; Müller, C.; Wang, P. China can be self-sufficient in maize production by 2030 with optimal crop management. Nat. Commun. 2023, 14, 2637. [Google Scholar] [CrossRef]
- Zhu, Q.; Zhou, G.W.; Wang, X.H.; Zhang, S.M. Effects of nitrogen application on yield and nitrogen efficiency of different spring maize genotypes in Xinjiang. Mol. Plant Breed. 2024. Available online: https://link.cnki.net/urlid/46.1068.S.20230823.1141.002 (accessed on 1 September 2024).
- Liu, Q.; Chen, C.L.; Chen, Y.H.; Huang, B.C.; Yang, Y.H.; Zhu, H.; Li, Y.H.; Wang, X.P.; Zhang, C.F. Intervention of rhamnolipid improves the rhizosphere microenvironment of cotton in desert saline lands. Environ. Technol. Innov. 2023, 32, 103378. [Google Scholar] [CrossRef]
- Zhao, H.; Li, L.; Fan, G.H.; Xie, S.Z.; Li, F.H. Effects of aerated brackish water irrigation on growth of Lycium barbarum seedlings. Sci. Hortic. 2023, 310, 111721. [Google Scholar] [CrossRef]
- Li, Y.F.; Li, G.H. Mechanisms of straw biochar’s improvement of phosphorus bioavailability in soda saline-alkali soil. Environ. Sci. Pollut. 2022, 29, 47867–47872. [Google Scholar] [CrossRef]
- Jin, Y.W.; Zhang, N.Y.; Chen, Y.H.; Wang, Q.; Qin, Z.H.; Sun, Z.M.; Zhang, S.X. Quantitative evaluation of the crop yield, soil-available phosphorus, and total phosphorus leaching caused by phosphorus fertilization: A meta-analysis. Agronomy 2023, 13, 2436. [Google Scholar] [CrossRef]
- Yang, S.Y.; Lin, W.Y.; Hsiao, Y.M.; Chiou, T.J. Milestones in understanding transport, sensing, and signaling of the plant nutrient phosphorus. Plant Cell 2024, 36, 1504–1523. [Google Scholar] [CrossRef] [PubMed]
- Khan, F.; Siddique, A.B.; Shabala, S.; Zhou, M.X.; Zhao, C.C. Phosphorus plays key roles in regulating plants’ physiological responses to abiotic stresses. Plants 2023, 12, 2861. [Google Scholar] [CrossRef]
- Adnan, M.; Fahad, S.; Zamin, M.; Shah, S.; Mian, I.A.; Danish, S.; Zafar-ul-Hye, M.; Battaglia, M.L.; Naz, R.M.M.; Saeed, B. Coupling phosphate-solubilizing bacteria with phosphorus supplements improve maize phosphorus acquisition and growth under lime induced salinity stress. Plants 2020, 9, 900. [Google Scholar] [CrossRef] [PubMed]
- Kazadi, A.T.; Lwalaba, J.; Ansey, B.K.; Muzulukwau, J.M.; Katabe, G.M.; Karul, M.I.; Baert, G.; Haesaert, G.; Mundende, R.-P.M. Effect of phosphorus and arbuscular mycorrhizal fungi (AMF) inoculation on growth and productivity of maize (Zea mays L.) in a tropical ferralsol. Gesunde Pflanz. 2022, 74, 159–165. [Google Scholar] [CrossRef]
- Sharifi, S.; Shi, S.M.; Obaid, H.; Dong, X.S.; He, X.H. Differential effects of nitrogen and phosphorus fertilization rates and fertilizer placement methods on P accumulations in maize. Plants 2024, 13, 1778. [Google Scholar] [CrossRef]
- Guo, Y.H.; Wang, Z.; Li, J.S. Coupling effects of phosphate fertilizer type and drip fertigation strategy on soil nutrient distribution, maize yield and nutrient uptake. Agric. Water Manag. 2023, 290, 108602. [Google Scholar] [CrossRef]
- Larsen, S.J.; Kilminster, K.L.; Mantovanelli, A.; Goss, Z.J.; Evans, G.C.; Bryant, L.D.; McGinnis, D.F. Artificially oxygenating the Swan River estuary increases dissolved oxygen concentrations in the water and at the sediment interface. Ecol. Eng. 2019, 128, 112–121. [Google Scholar] [CrossRef]
- Dan, N.H.; Rene, E.R.; Le Luu, T. Removal of nutrients from anaerobically digested swine wastewater using an intermittent cycle extended aeration system. Front. Microbiol. 2020, 11, 576438. [Google Scholar] [CrossRef]
- Zhou, Y.P.; Bastida, F.P.; Liu, Y.Z.; He, J.; Chen, W.J.; Wang, X.Y.; Xiao, Y.; Song, P.; Li, Y.K. Impacts and mechanisms of nanobubbles level in drip irrigation system on soil fertility, water use efficiency and crop production: The perspective of soil microbial community. J. Clean. Prod. 2022, 333, 130050. [Google Scholar] [CrossRef]
- Wang, R.; Shi, W.M.; Kronzucker, H.J.; Li, Y.L. Oxygenation promotes vegetable growth by enhancing P nutrient availability and facilitating a stable soil bacterial community in compacted soil. Soil Till. Res. 2023, 230, 105686. [Google Scholar] [CrossRef]
- Walz, J.; Knoblauch, C.; Böhme, L.; Pfeiffer, E.-M. Regulation of soil organic matter decomposition in permafrost-affected Siberian tundra soils-Impact of oxygen availability, freezing and thawing, temperature, and labile organic matter. Soil Biol. Biochem 2017, 110, 34–43. [Google Scholar] [CrossRef]
- Downing, L.S.; Nerenberg, R. Effect of oxygen gradients on the activity and microbial community structure of a nitrifying, membrane-aerated biofilm. Biotechnol. Bioeng. 2008, 101, 1193–1204. [Google Scholar] [CrossRef]
- Liu, Y.X.; Zhou, Y.P.; Wang, T.Z.; Pan, J.C.; Zhou, B.; Muhammad, T.; Zhou, C.; Li, Y.K. Micro-nano bubble water oxygation: Synergistically improving irrigation water use efficiency, crop yield and quality. J. Clean. Prod. 2019, 222, 835–843. [Google Scholar] [CrossRef]
- Wang, J.W.; Cui, Y.Q.; Wu, K.L.; Wu, S.Y.; Wu, K.J.; Li, Y.; Niu, W.Q. Micro/nanobubble-aerated drip irrigation affects saline soil microenvironments and tomato growth by altering bacterial communities. Soil Till. Res. 2024, 239, 106034. [Google Scholar] [CrossRef]
- Di Martino, C.; Palumbo, G.; Vitullo, D.; Di Santo, P.; Fuggi, A. Regulation of mycorrhiza development in durum wheat by P fertilization: Effect on plant nitrogen metabolism. J. Plant Nutr. Soil Sci. 2018, 181, 429–440. [Google Scholar] [CrossRef]
- Fusconi, A.; Mucciarelli, M. How important is arbuscular mycorrhizal colonization in wetland and aquatic habitats? Environ. Exp. Bot. 2018, 155, 128–141. [Google Scholar] [CrossRef]
- Cao, N.; Zhi, M.L.; Zhao, W.Q.; Pang, J.Y.; Hu, W.; Zhou, Z.G.; Meng, Y. Straw retention combined with phosphorus fertilizer promotes soil phosphorus availability by enhancing soil P-related enzymes and the abundance of phoC and phoD genes. Soil Till. Res. 2022, 220, 105390. [Google Scholar] [CrossRef]
- Janes-Bassett, V.; Blackwell, M.S.; Blair, G.; Davies, J.; Haygarth, P.M.; Mezeli, M.M.; Stewart, G. A meta-analysis of phosphatase activity in agricultural settings in response to phosphorus deficiency. Soil Biol. Biochem. 2022, 165, 108537. [Google Scholar] [CrossRef]
- Hu, W.; Zhang, Y.P.; Rong, X.M.; Fei, J.C.; Peng, J.W.; Luo, G.W. Coupling amendment of biochar and organic fertilizers increases maize yield and phosphorus uptake by regulating soil phosphatase activity and phosphorus-acquiring microbiota. Agric. Ecosyst. Environ. 2023, 355, 108582. [Google Scholar] [CrossRef]
- Manzoor, A.; Dippold, M.A.; Loeppmann, S.; Blagodatskaya, E. Two-phase conceptual framework of phosphatase activity and phosphorus bioavailability. Front. Plant Sci. 2022, 13, 935829. [Google Scholar] [CrossRef]
- Chen, G.L.; Xiao, L.; Yue, K.; Wang, Y.; Wang, S.Q.; Zhu, Y.; Kai, L. Optimizing phosphate application to improve soil quality and reduce phosphorus loss in rice-wheat rotation. Agric. Ecosyst. Environ. 2025, 378, 109310. [Google Scholar] [CrossRef]
- Luo, D.; Shi, J.; Li, M.; Chen, J.X.; Wang, T.F.; Zhang, Q.F.; Yang, L.H.; Zhu, N.; Wang, Y.G. Consortium of Phosphorus-Solubilizing Bacteria Promotes Maize Growth and Changes the Microbial Community Composition of Rhizosphere Soil. Agronomy 2024, 14, 1535. [Google Scholar] [CrossRef]
- Zhang, L.; Chu, Q.; Zhou, J.W.; Rengel, Z.; Feng, G. Soil phosphorus availability determines the preference for direct or mycorrhizal phosphorus uptake pathway in maize. Geoderma 2021, 403, 115261. [Google Scholar] [CrossRef]
- Cong, M.F.; Hu, Y.; Sun, X.; Yan, H.; Yu, G.L.; Tang, G.M.; Chen, S.H.; Xu, W.; Jia, H.T. Long-term effects of biochar application on the growth and physiological characteristics of maize. Front. Plant Sci. 2023, 14, 1172425. [Google Scholar] [CrossRef] [PubMed]
- Zhang, Z.T.; Ming, B.; Liang, H.W.; Huang, Z.F.; Wang, K.; Yang, X.G.; Wang, Z.G.; Xie, R.Z.; Hou, P.; Zhao, R.X. Evaluation of maize varieties for mechanical grain harvesting in mid-latitude region, China. Agron. J. 2021, 113, 1766–1775. [Google Scholar] [CrossRef]
- Ryan, P.R.; Liao, M.; Delhaize, E.; Rebetzke, G.J.; Weligama, C.; Spielmeyer, W.; James, R.A. Early vigour improves phosphate uptake in wheat. J. Exp. Bot. 2015, 66, 7089–7100. [Google Scholar] [CrossRef] [PubMed]
- Szulc, P.; Ambroży-Deręgowska, K.; Waligóra, H.; Mejza, I.; Grześ, S.; Zielewicz, W.; Wróbel, B. Dry matter yield of maize (Zea mays L.) as an indicator of mineral fertilizer efficiency. Plants 2021, 10, 535. [Google Scholar] [CrossRef]
- Wang, S.L.; Ruan, Y.H.; Du, M.X.; Sun, W.; Zhang, Y.L.; Wang, Y.C.; Guo, J.M.; Shao, R.X.; Yang, Q.H.; Wang, H. Optimization of phosphate fertilizer application strategies to improve phosphorus availability and utilization in maize. Agron. J. 2024, 116, 453–464. [Google Scholar] [CrossRef]
- Waddell, H.; Simpson, R.; Henderson, B.; Ryan, M.; Lambers, H.; Garden, D.; Richardson, A. Differential growth response of R ytidosperma species (wallaby grass) to phosphorus application and its implications for grassland management. Grass Forage Sci. 2016, 71, 245–258. [Google Scholar] [CrossRef]
- Khan, A.; Zhang, G.N.; Li, T.Y.; He, B.H. Fertilization and cultivation management promotes soil phosphorus availability by enhancing soil P-cycling enzymes and the phosphatase encoding genes in bulk and rhizosphere soil of a maize crop in sloping cropland. Ecotoxicol. Environ. Saf. 2023, 264, 115441. [Google Scholar] [CrossRef]
- Zhou, L.; Su, L.Z.; Zhao, H.M.; Wang, S.R.; Zheng, Y.; Tang, L. Maize/soybean intercropping promoted activation of soil organic phosphorus fractions by enhancing more phosphatase activity in red soil under different phosphorus application rates. Plant Soil 2023. [Google Scholar] [CrossRef]
- Wang, J.; He, Q.; Cao, K.; Zhou, B.; Niu, X.; Wang, D.; Chen, R.; Zheng, Z. Micro-nano bubble water with potassium fertigation improves strawberry yield and quality by changing soil bacterial community. Rhizosphere 2023, 28, 100783. [Google Scholar] [CrossRef]
- Zhang, Z.; Yang, R.Y.; Zhang, Z.H.; Geng, Y.j.; Zhu, J.j.; Sun, J.N. Effects of oxygenated irrigation on root morphology, fruit yield, and water–nitrogen use efficiency of tomato (Solanum lycopersicum L.). J. Soil Sci. Plant Nutr. 2023, 23, 5582–5593. [Google Scholar] [CrossRef]
- Urlić, B.; Dumičić, G.; Radić, T.; Goreta Ban, S.; Romić, M. Phosphorus use efficiency of leafy brassica sp. grown in three contrasting soils: Growth, enzyme activity and phosphorus fractionation. Plants 2023, 12, 1295. [Google Scholar] [CrossRef] [PubMed]
- Baram, S.; Evans, J.F.; Berezkin, A.; Ben-Hur, M. Irrigation with treated wastewater containing nanobubbles to aerate soils and reduce nitrous oxide emissions. J. Clean. Prod. 2021, 280, 124509. [Google Scholar] [CrossRef]
- Yu, Z.Z.; Wang, C.; Zou, H.F.; Wang, H.X.; Li, H.L.; Sun, H.T.; Yu, D.S. The effects of aerated irrigation on soil respiration and the yield of the maize root zone. Sustainability 2022, 14, 4378. [Google Scholar] [CrossRef]
- Rafiullah; Khan, M.J.; Muhammad, D.; Fahad, S.; Adnan, M.; Wahid, F.; Alamri, S.; Khan, F.; Dawar, K.M.; Irshad, I. Phosphorus nutrient management through synchronization of application methods and rates in wheat and maize crops. Plants 2020, 9, 1389. [Google Scholar] [CrossRef]
- Zhang, W.; Chen, X.X.; Liu, Y.M.; Liu, D.Y.; Du, Y.F.; Chen, X.P.; Zou, C.Q. The role of phosphorus supply in maximizing the leaf area, photosynthetic rate, coordinated to grain yield of summer maize. Field Crops Res. 2018, 219, 113–119. [Google Scholar] [CrossRef]
- Wang, C.; Ning, P. Post-silking phosphorus recycling and carbon partitioning in maize under low to high phosphorus inputs and their effects on grain yield. Front. Plant Sci. 2019, 10, 784. [Google Scholar] [CrossRef]
- Zhou, Y.P.; Li, Y.K.; Liu, X.J.; Wang, K.Y.; Muhammad, T. Synergistic improvement in spring maize yield and quality with micro/nanobubbles water oxygation. Sci. Rep. 2019, 9, 5226. [Google Scholar] [CrossRef]
- Qian, Y.F.; Guan, X.J.; Shao, C.H.; Qiu, C.F.; Chen, X.M.; Chen, J.; Peng, C.R. Effects of different concentrations of micro-nano bubbles on grain yield and nitrogen absorption and utilization of double cropping rice in south China. Agronomy 2022, 12, 2196. [Google Scholar] [CrossRef]
- Wang, L.Y.; Rengel, Z.; Cheng, L.Y.; Shen, J.B. Coupling phosphate type and placement promotes maize growth and phosphorus uptake by altering root properties and rhizosphere processes. Field Crops Res. 2024, 306, 109225. [Google Scholar] [CrossRef]
- Li, X.Y.; Li, S.Q.; Jiang, Y.F.; Yang, Q.; Zhang, J.C.; Kuzyakov, Y.; Teng, H.H.; Guan, D.X. Multi-imaging platform for rhizosphere studies: Phosphorus and oxygen fluxes. J. Environ. Manag. 2024, 351, 119763. [Google Scholar] [CrossRef]









| PH | Water-Soluble Salt (g·kg−1) | Hydrolyzable Nitrogen (mg·kg−1) | Available Phosphorus (mg·kg−1) | Potassium (mg·kg−1) | Organic Matter (g·kg−1) | Total Nitrogen (g·kg−1) | Carbon-Nitrogen Ratio (%) |
|---|---|---|---|---|---|---|---|
| 8.12 | 3.1 | 107 | 14.7 | 409 | 27.2 | 1.68 | 16.17 |
| Index | Irrigation Method | Phosphorus Application Level | Soil Layer (cm) | |
|---|---|---|---|---|
| 0–15 | 15–30 | |||
| Available Phosphorus (mg·kg−1) | I1 | P0 | 6.22 ± 0.64 Ac | 5.82 ± 1.33 Ad |
| P1 | 9.7 ± 2.15 Ab | 8.11 ± 0.77 Bc | ||
| P2 | 11.51 ± 0.7 Bb | 10.18 ± 0.24 Ab | ||
| P3 | 14.83 ± 1.5 Aa | 12.61 ± 0.71 Aa | ||
| I2 | P0 | 6.84 ± 0.43 Ad | 6.81 ± 0.34 Ac | |
| P1 | 10.64 ± 0.35 Ac | 9.79 ± 0.68 Ab | ||
| P2 | 13.14 ± 0.1 Ab | 10.49 ± 1 Ab | ||
| P3 | 17.14 ± 0.31 Aa | 12.79 ± 0.73 Aa | ||
| I | 16.91 *** | |||
| P | 159.42 *** | |||
| I × P | 0.2 ns | |||
| Total Phosphorus (mg·kg−1) | I1 | P0 | 0.82 ± 0.06 Ac | 0.83 ± 0.11 Ab |
| P1 | 0.91 ± 0.17 Abc | 0.86 ± 0.06 Ab | ||
| P2 | 1.03 ± 0.05 Bab | 0.96 ± 0.1 Aab | ||
| P3 | 1.13 ± 0.06 Aa | 1.16 ± 0.1 Ba | ||
| I2 | P0 | 0.92 ± 0.09 Aab | 0.85 ± 0.09 Aab | |
| P1 | 1.01 ± 0.02 Aa | 0.88 ± 0.11 Aa | ||
| P2 | 0.91 ± 0.03 Ab | 0.86 ± 0.03 Aab | ||
| P3 | 0.84 ± 0.02 Bb | 0.69 ± 0.06 Ab | ||
| I | 14.86 *** | |||
| P | 3.52 * | |||
| I × P | 18.56 *** | |||
| Index | Irrigation Method | Phosphorus Application | Jointing Stage | Tasseling Stage | Filling Stage | Maturity Stage |
|---|---|---|---|---|---|---|
| Plant Height (cm) | I1 | P0 | 51.67 ± 1.15 Bb | 209.33 ± 6.51 Ab | 215 ± 4 Bc | 222.67 ± 2.08 Bb |
| Pl | 53.33 ± 1.53 Bb | 215 ± 4.36 Aab | 220.33 ± 5.03 Bbc | 227.33 ± 2.89 Ba | ||
| P2 | 59 ± 2 Ba | 217.33 ± 4.04 Bab | 223.67 ± 3.06 Bab | 229 ± 1.73 Ba | ||
| P3 | 60.67 ± 2.31 Ba | 220.67 ± 2.89 Ba | 229.33 ± 1.53 Ba | 231.33 ± 1.53 Ba | ||
| I2 | P0 | 60.33 ± 3.21 Ac | 214 ± 4.58 Ab | 228.33 ± 2.52 Ab | 233 ± 1.73 Ac | |
| P1 | 63 ± 1 Abc | 217 ± 4 Ab | 230.33 ± 3.21 Ab | 235.67 ± 1.53 Abc | ||
| P2 | 66.67 ± 2.52 Aab | 224 ± 1 Aa | 231 ± 2.65 Ab | 237.33 ± 2.52 Aab | ||
| P3 | 70.33 ± 3.21 Aa | 225.67 ± 1.15 Aa | 239.33 ± 1.53 Aa | 240.67 ± 2.08 Aa | ||
| I | 93.08 *** | 8.05 * | 62.08 *** | 116.48 *** | ||
| P | 21.88 *** | 9.94 ** | 17.22 *** | 16.43 *** | ||
| I × P | 0.27 ns | 0.36 ns | 0.92 ns | 0.32 ns | ||
| Stem Diameter (mm) | I1 | P0 | 16.98 ± 0.91 Bb | 23.98 ± 0.91 Bb | 24.65 ± 1.43 Bb | 26.98 ± 0.91 Bc |
| P1 | 23.08 ± 2.06 Aa | 27.07 ± 1.14 Aa | 28.42 ± 0.02 Ba | 32.21 ± 0.69 Aa | ||
| P2 | 21.7 ± 3.34 Aa | 26.77 ± 1.05 Aa | 28.7 ± 0.72 Ba | 30.25 ± 0.7 Bb | ||
| P3 | 19.74 ± 1.43 Bab | 25.41 ± 0.58 Bab | 27.07 ± 1.14 Ba | 29.35 ± 1.09 Bb | ||
| I2 | P0 | 20.45 ± 1.42 Ab | 27.06 ± 0.03 Ab | 29.02 ± 0.28 Ac | 31.69 ± 1.39 Ac | |
| P1 | 21.64 ± 0.82 Aab | 27.99 ± 0.02 Ab | 29.51 ± 0.53 Abc | 32.08 ± 0.14 Abc | ||
| P2 | 22.13 ± 0.27 Aab | 28.23 ± 0.21 Aab | 30.85 ± 1.12 Aab | 33.38 ± 0.46 Ab | ||
| P3 | 23.38 ± 1.42 Aa | 29.72 ± 1.45 Aa | 31.35 ± 1.07 Aa | 36.92 ± 0.76 Aa | ||
| I | 4.82 * | 49.99 *** | 64.29 *** | 122.20 *** | ||
| P | 5.64 ** | 8.46 ** | 12.07 *** | 21.81 *** | ||
| I×P | 3.17 ns | 4.99 * | 4.76 * | 21.56 *** | ||
| SPAD | I1 | P0 | 39.87 ± 1.21 Bb | 44.87 ± 1.21 Bb | 49.87 ± 1.21 Ba | 44.2 ± 2.31 Aa |
| P1 | 41.13 ± 0.06 Bab | 46.13 ± 0.06 Bab | 50.8 ± 0.61 Ba | 43.8 ± 0.61 Aa | ||
| P2 | 41.4 ± 0.75 Bab | 46.4 ± 0.75 Bab | 51.07 ± 1 Ba | 43.73 ± 1.45 Ba | ||
| P3 | 42.1 ± 1.01 Ba | 47.1 ± 1.01 Ba | 51.1 ± 2.15 Ba | 44.43 ± 1.08 Ba | ||
| I2 | P0 | 42.07 ± 0.4 Ab | 47.73 ± 0.51 Ab | 52.73 ± 0.51 Ab | 45.1 ± 1.21 Ab | |
| P1 | 43.1 ± 1.21 Ab | 48.1 ± 1.21 Ab | 53.1 ± 1.21 Ab | 45.4 ± 1.01 Ab | ||
| P2 | 46.23 ± 0.99 Aa | 51.23 ± 0.99 Aa | 56.23 ± 0.99 Aa | 48.9 ± 0.8 Aa | ||
| P3 | 47.27 ± 0.55 Aa | 51.93 ± 0.78 Aa | 57.27 ± 2.12 Aa | 48.27 ± 0.84 Aa | ||
| I | 100.91 *** | 99.07 *** | 55.69 *** | 31.00 *** | ||
| P | 22.45 *** | 16.64 *** | 6.12 ** | 3.65 * | ||
| I × P | 5.76 ** | 3.92 * | 2.77 ns | 3.66 * | ||
| Variance | Ear Length | Ear Diameter | Ear Tip Length | Ear Axis Dry Weight | Husk Dry Weight | Kernel Row Number | Kernel Per Row | Kernel Number Per Ear | Grain Dry Weight | Hundred-Kernel Weight | Yield |
|---|---|---|---|---|---|---|---|---|---|---|---|
| I | 8.55 ** | 17.59 ** | 3.81 ns | 0.55 ns | 2.08 ns | 5.14 * | 1.16 ns | 13.64 ** | 26.42 *** | 6.24 * | 6674.30 *** |
| P | 13.2 *** | 3.05 ns | 4.27* | 17.33 *** | 9.44 ** | 4 * | 5.57 ** | 5.71 ** | 43.89 *** | 15.18 *** | 2458.98 *** |
| I × P | 0.19 ns | 0.15 ns | 0.23 ns | 0.72 ns | 0.06 ns | 0.19 ns | 0.15 ns | 1.16 ns | 0.34 ns | 0.6 ns | 54.32 *** |
| Index | Phosphorus Concentration | Phosphorus Accumulation | ||||
|---|---|---|---|---|---|---|
| I | P | I × P | I | P | I × P | |
| Root | 131.67 ** | 15.89 ** | 3.15 * | 408.88 *** | 61.02 *** | 10.42 *** |
| Stem | 23.08 ** | 5.68 ** | 4.01 * | 9.01 ** | 18.40 *** | 3.48 * |
| Leaf | 14.61 ** | 4.98 * | 1.03 ns | 38.94 *** | 19.94 *** | 1.20 ns |
| Bract | 0.04 ns | 5.76 ** | 0.45 ns | 0.142 ns | 14.08 *** | 0.42 ns |
| Cob | 24.62 ** | 12.72 ** | 2.2 ns | 26.69 *** | 40.15 *** | 2.66 ns |
| Grain | 15.48 ** | 57.13 ** | 1.9 ns | 132.28 *** | 484.52 *** | 9.21 ** |
| Irrigation Method | Phosphorus Application Rate | PUE (kg·kg−1) | PFPP (kg·kg−1) | AUP (%) | AEP (%) |
|---|---|---|---|---|---|
| I1 | P0 | / | / | / | / |
| P1 | 0.54 ± 0.01 Ba | 1.87 ± 0.03 Bc | 9.6 ± 3.19 Ac | 4.01 ± 0.97 Bc | |
| P2 | 0.41 ± 0.02 Bc | 2.46 ± 0.09 Ba | 16.41 ± 1.42 Bb | 21.71 ± 0.57 Ba | |
| P3 | 0.47 ± 0.07 Ab | 2.17 ± 0.28 Bb | 32.26 ± 6.39 Aa | 15.12 ± 1.08 Bb | |
| I2 | P0 | / | / | / | / |
| P1 | 0.88 ± 0.09 Aa | 2.30 ± 0.23 Ac | 7.04 ± 1.21 Ab | 9.42 ± 1.15 Ab | |
| P2 | 0.65 ± 0.02 Ab | 3.07 ± 0.12 Ab | 24.66 ± 2.4 Aa | 31.57 ± 0.83 Aa | |
| P3 | 0.52 ± 0.11 Ac | 4.00 ± 0.98 Aa | 28.78 ± 6.27 Aa | 21.30 ± 0.34 Ac | |
| I | 45.90 *** | 22.08 ** | 0.14 ns | 573.18 *** | |
| P | 17.401 *** | 8.31 ** | 44.68 ** | 1166.74 *** | |
| I × P | 7.34 ** | 4.66 ns | 3.84 ns | 26.09 *** | |
Disclaimer/Publisher’s Note: The statements, opinions and data contained in all publications are solely those of the individual author(s) and contributor(s) and not of MDPI and/or the editor(s). MDPI and/or the editor(s) disclaim responsibility for any injury to people or property resulting from any ideas, methods, instructions or products referred to in the content. |
© 2024 by the authors. Licensee MDPI, Basel, Switzerland. This article is an open access article distributed under the terms and conditions of the Creative Commons Attribution (CC BY) license (https://creativecommons.org/licenses/by/4.0/).
Share and Cite
Bian, Q.; Dong, Z.; Zhao, Y.; Feng, Y.; Fu, Y.; Wang, Z.; Zhu, J. Phosphorus Supply Under Micro-Nano Bubble Water Drip Irrigation Enhances Maize Yield and Phosphorus Use Efficiency. Plants 2024, 13, 3046. https://doi.org/10.3390/plants13213046
Bian Q, Dong Z, Zhao Y, Feng Y, Fu Y, Wang Z, Zhu J. Phosphorus Supply Under Micro-Nano Bubble Water Drip Irrigation Enhances Maize Yield and Phosphorus Use Efficiency. Plants. 2024; 13(21):3046. https://doi.org/10.3390/plants13213046
Chicago/Turabian StyleBian, Qingyong, Zhiduo Dong, Yupeng Zhao, Yaozu Feng, Yanbo Fu, Zhiguo Wang, and Jingquan Zhu. 2024. "Phosphorus Supply Under Micro-Nano Bubble Water Drip Irrigation Enhances Maize Yield and Phosphorus Use Efficiency" Plants 13, no. 21: 3046. https://doi.org/10.3390/plants13213046
APA StyleBian, Q., Dong, Z., Zhao, Y., Feng, Y., Fu, Y., Wang, Z., & Zhu, J. (2024). Phosphorus Supply Under Micro-Nano Bubble Water Drip Irrigation Enhances Maize Yield and Phosphorus Use Efficiency. Plants, 13(21), 3046. https://doi.org/10.3390/plants13213046
