G-Quadruplex Structures as Epigenetic Regulatory Elements in Priming of Defense Genes upon Short-Term Trichoderma atroviride Inoculation in Maize
Abstract
1. Introduction
2. Results
2.1. G4 Formation in Whole Genomic DNA Is Induced at Early Stages Post-Trichoderma Inoculation
2.2. Primed Genes Contain PQSs in Promoter Regions
2.3. G4 Formation in PPRs of MAPK1, JAZ8, and AP2-EREBP Validated In Vitro
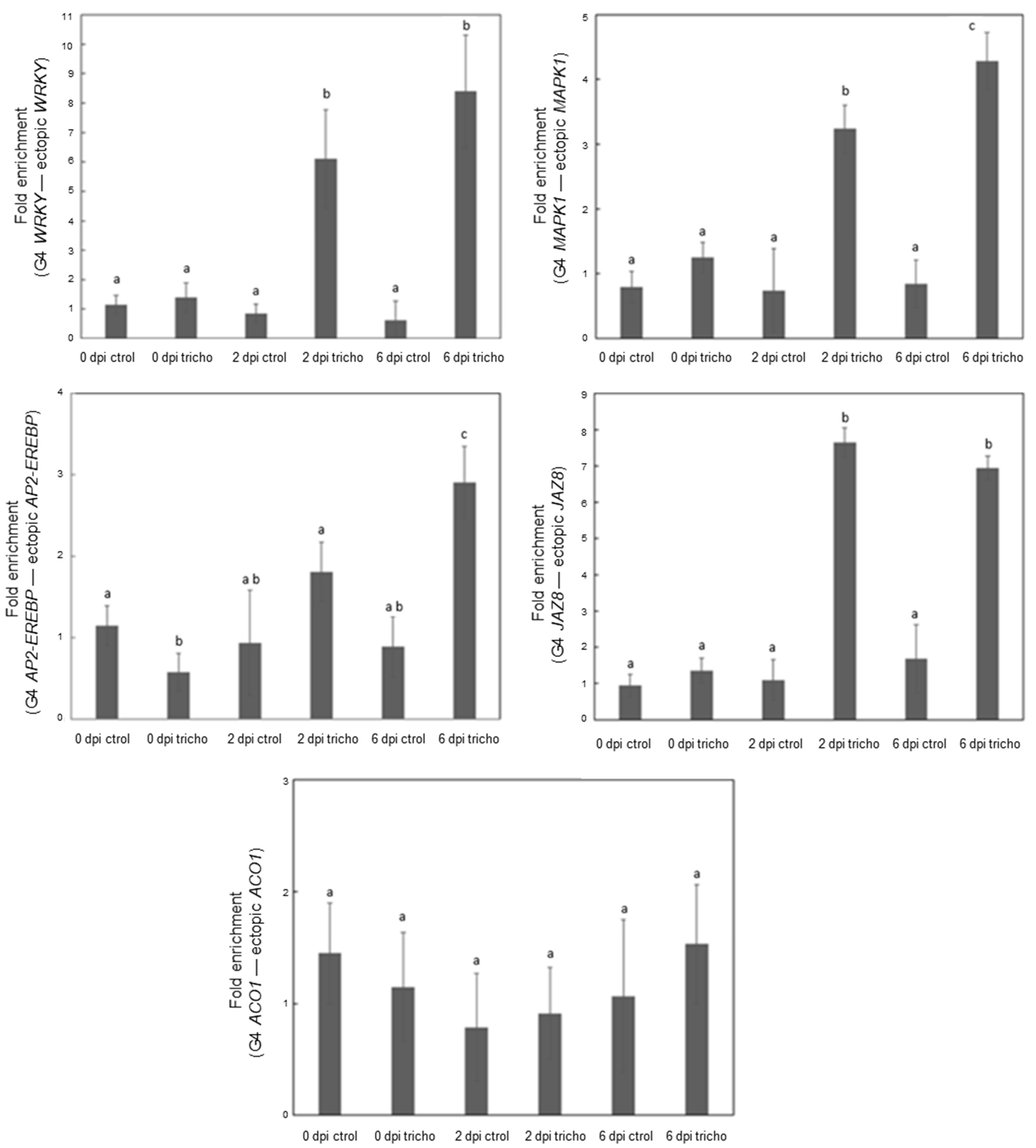
2.4. Exploring G-Quadruplex Formation of PQSs from Priming Genes In Vivo
3. Discussion
4. Materials and Methods
4.1. Fungal Strain and Plant Material
4.2. DNA Extraction
4.3. Evaluation and Quantification of G4s
- (1)
- Circular Dichroism (CD) spectroscopy: Oligonucleotides were subjected to folding reactions to form G4 structures. Reactions were performed by denaturation of oligonucleotides (2 μM) in 10 mM Tris-HCl buffer, pH 7.5, at 95 °C for 5 min and subsequent renaturation by slow cooling until reaching 25 °C. This process was carried out in the presence of KCl (0.1, 10, 100 mM) to favor G4 formation and in the presence of 100 mM LiCl to prevent it (negative control or no G4 formation condition). CD spectra were recorded on a spectropolarimeter (Jasco J-810), using a masked quartz cuvette with a 1 cm path-length, scanning speed of 100 nm/min, continuous scanning mode, measuring ellipticity every 1 nm, time response of 1 s, bandwidth of 1 nm, sensitivity of 100 mdeg, and 230–330 nm wavelength range. The spectrum obtained for each sample represents the average of four spectra recorded consecutively and corrected according to the corresponding baselines and blanks (Spectra Manager software Version 1.53.01). The signal-to-noise ratio was improved using a Savitzky–Golay digital filter with a convolution width of 25.
- (2)
- Determination of G4s in vitro by dot-blot: To perform the dot-blot assay, samples (100 μL) containing 2 μg of total genomic DNA were loaded onto a nylon membrane (Amersham HybondTM N+) in a Manifold-I Dot-Blot System (Schleicher & Schuell) in triplicate. After loading, each well was washed with 0.3 M NaOH (200 μL). The membrane was then baked for 2 h at 80 °C. Immunodetection of G4s was accomplished with recombinant anti-G4 antibody (BG4) fused to a FLAG-tag sequence [58], which specifically recognizes G4s. Then, the membrane was incubated with anti-FLAG antibodies (Sigma-Aldrich Cat. No. F3165). Subsequently, the membrane was incubated with anti-MOUSE antibodies conjugated with the enzyme horseradish peroxidase (HRP) (Jackson Cat. No. 115-035-003). Finally, peroxidase activity was revealed by chemiluminescence (Bio-Lumina detection kit, Kalium Technologies). Real-time chemiluminescence was detected using AmershamTM Imager 600 equipment. The spots were quantified using Gel-Pro Analyzer 3.0 Software.
- (3)
- ThT fluorescence assays: Thioflavin T or ThT (3,6-Dimethyl-2-(4-dimethylaminophenyl) benzothiazolium cation, Sigma-Aldrich T3516) fluorescence assays were performed as previously described [21] using a final concentration of 1 μM DNA oligonucleotides folded in 10 mM Tris-HCl buffer, pH 7.5, supplemented with 100 mM KCl. A threshold of fivefold increase was used for considering G4 formation.
- (4)
- 1D 1H Nuclear Magnetic Resonance (NMR): NMR spectra were registered at 20 °C on a 700 MHz Bruker Avance III spectrometer (Bruker Biospin, Andover, MA, USA) using a triple resonance inverse NMR probe (5 mm 1H/D-13C/15N TXI). Oligonucleotide samples (50 µM) were loaded into 5 mm Shigemi tubes (Shigemi Co., Tokyo, Japan). We employed a pulse program incorporating water suppression [62], with NMR parameters set as follows: 8 K points, 1024 scans, a recycling delay of 1.4 s, and a sweep width of 22 ppm. This resulted in an experimental time of 29 min. Data processing was performed with an exponential multiplication (LB 10 Hz) followed by baseline correction. All spectra were acquired and processed using Topspin 3.5 software (Bruker, Biospin, Andover, MA, USA).
- (5)
- In vivo analysis: G4-chromatin immunoprecipitation (G4-ChIP) ChIP-qPCR experiments used a classical protocol [63] with few modifications. Recombinant anti-G4 antibody (BG4) and Anti-FLAG® M2 magnetic beads (Cat. No.M8823, Sigma-Aldrich, Saint Louis, MO, USA) were used. Specific JAZ8, WRKY, MAPK1, ACO1, and AP2-EREBP regions were amplified by qPCR using primers listed in Supplementary Table S3. A pair of primers were designed to flank PQSs and a no-G4 region (ectopic region) more than 500 bp upstream from the PQSs of each gene. The 2−ΔΔCt method was used to determine G4 content as indicated using in silico predicted PQSs. Ectopic regions were used as a negative control. INPUT was used as a total DNA control.
4.4. Statistical Analysis
Supplementary Materials
Author Contributions
Funding
Data Availability Statement
Acknowledgments
Conflicts of Interest
References
- Pacheco-Trejo, J.; Aquino-Torres, E.; Reyes-Santamaría, M.I.; Islas-Pelcastre, M.; Pérez-Ríos, S.R.; Madariaga-Navarrete, A.; Saucedo-García, M. Plant defensive responses triggered by Trichoderma spp. as tools to face stressful conditions. Horticulturae 2022, 8, 1181. [Google Scholar] [CrossRef]
- Hilker, M.; Schwachtje, J.; Baier, M.; Balazadeh, S.; Bäurle, I.; Geiselhardt, S.; Hincha, D.K.; Kunze, R.; Mueller-Roeber, B.; Rillig, M.C.; et al. Priming and memory of stress responses in organisms lacking a nervous system. Biol. Rev. 2015, 91, 1118–1133. [Google Scholar] [CrossRef] [PubMed]
- Martinez-Medina, A.; Flors, V.; Heil, M.; Mauch-Mani, B.; Pieterse, C.M.; Pozo, M.J.; Ton, J.; van Dam, N.M.; Conrath, U. Recognizing Plant Defense Priming. Trends Plant Sci. 2016, 21, 818–822. [Google Scholar] [CrossRef] [PubMed]
- Meng, X.; Zhang, S. MAPK Cascades in Plant Disease Resistance Signaling. Annu. Rev. Phytopathol. 2013, 51, 245–266. [Google Scholar] [CrossRef] [PubMed]
- Luna, E.; Ton, J. The epigenetic machinery controlling transgenerational systemic acquired resistance. Plant Signal. Behav. 2012, 7, 615–618. [Google Scholar] [CrossRef]
- Balmer, D.; de Papajewski, D.V.; Planchamp, C.; Glauser, G.; Mauch-Mani, B. Induced resistance in maize is based on organ-specific defence responses. Plant J. 2013, 74, 213–225. [Google Scholar] [CrossRef]
- Conrath, U.; Beckers, G.J.; Langenbach, C.J.; Jaskiewicz, M.R. Priming for Enhanced Defense. Annu. Rev. Phytopathol. 2015, 53, 97–119. [Google Scholar] [CrossRef]
- Agostini, R.B.; Ariel, F.; Rius, S.P.; Vargas, W.A.; Campos-Bermudez, V. Trichoderma root colonization in maize triggers epigenetic changes in genes related to the jasmonic and salicylic acid pathways that prime defenses against Colletotrichum graminicola leaf infection. J. Exp. Bot. 2022, 74, 2016–2028. [Google Scholar] [CrossRef]
- van Hulten, M.; Pelser, M.; van Loon, L.C.; Pieterse, C.M.J.; Ton, J. Costs and benefits of priming for defense in Arabidopsis. Proc. Natl. Acad. Sci. USA 2006, 103, 5602–5607. [Google Scholar] [CrossRef]
- Bochman, M.L.; Paeschke, K.; Zakian, V.A. DNA secondary structures: Stability and function of G-quadruplex structures. Nat. Rev. Genet. 2012, 13, 770–780. [Google Scholar] [CrossRef]
- Lipps, H.J.; Rhodes, D. G-quadruplex structures: In vivo evidence and function. Trends Cell Biol. 2009, 19, 414–422. [Google Scholar] [CrossRef] [PubMed]
- Murat, P.; Balasubramanian, S. Existence and consequences of G-quadruplex structures in DNA. Curr. Opin. Genet. Dev. 2014, 25, 22–29. [Google Scholar] [CrossRef] [PubMed]
- Rhodes, D.; Lipps, H.J. G-quadruplexes and their regulatory roles in biology. Nucleic Acids Res. 2015, 43, 8627–8637. [Google Scholar] [CrossRef] [PubMed]
- Reina, C.; Cavalieri, V. Epigenetic Modulation of Chromatin States and Gene Expression by G-Quadruplex Structures. Int. J. Mol. Sci. 2020, 21, 4172. [Google Scholar] [CrossRef]
- Hegyi, H. Enhancer-promoter interaction facilitated by transiently forming G-quadruplexes. Sci. Rep. 2015, 5, 9165. [Google Scholar] [CrossRef]
- Armas, P.; David, A.; Calcaterra, N.B. Transcriptional control by G-quadruplexes: In vivo roles and perspectives for specific intervention. Transcription 2017, 8, 21–25. [Google Scholar] [CrossRef]
- Kim, N. The Interplay between G-quadruplex and Transcription. Curr. Med. Chem. 2019, 26, 2898–2917. [Google Scholar] [CrossRef]
- Robinson, J.; Raguseo, F.; Nuccio, S.P.; Liano, D.; Di Antonio, M. DNA G-quadruplex structures: More than simple roadblocks to transcription? Nucleic Acids Res. 2021, 49, 8419–8431. [Google Scholar] [CrossRef]
- Lago, S.; Nadai, M.; Cernilogar, F.M.; Kazerani, M.; Moreno, H.D.; Schotta, G.; Richter, S.N. Promoter G-quadruplexes and transcription factors cooperate to shape the cell type-specific transcriptome. Nat. Commun. 2021, 12, 3885. [Google Scholar] [CrossRef]
- Spiegel, J.; Cuesta, S.M.; Adhikari, S.; Hänsel-Hertsch, R.; Tannahill, D.; Balasubramanian, S. G-quadruplexes are transcription factor binding hubs in human chromatin. Genome Biol. 2021, 22, 117. [Google Scholar] [CrossRef]
- David, A.P.; Pipier, A.; Pascutti, F.; Binolfi, A.; Weiner, A.M.J.; Challier, E.; Heckel, S.; Calsou, P.; Gomez, D.; Calcaterra, N.B.; et al. CNBP controls transcription by unfolding DNA G-quadruplex structures. Nucleic Acids Res. 2019, 47, 7901–7913. [Google Scholar] [CrossRef] [PubMed]
- Kumari, S.; Bugaut, A.; Huppert, J.L.; Balasubramanian, S. An RNA G-quadruplex in the 5′ UTR of the NRAS proto-oncogene modulates translation. Nat. Chem. Biol. 2007, 3, 218–221. [Google Scholar] [CrossRef] [PubMed]
- Arora, A.; Dutkiewicz, M.; Scaria, V.; Hariharan, M.; Maiti, S.; Kurreck, J. Inhibition of translation in living eukaryotic cells by an RNA G-quadruplex motif. RNA 2008, 14, 1290–1296. [Google Scholar] [CrossRef] [PubMed]
- Morris, M.J.; Basu, S. An Unusually Stable G-Quadruplex within the 5′-UTR of the MT3 Matrix Metalloproteinase mRNA Represses Translation in Eukaryotic Cells. Biochemistry 2009, 48, 5313–5319. [Google Scholar] [CrossRef] [PubMed]
- Gomez, D.; Guédin, A.; Mergny, J.-L.; Salles, B.; Riou, J.-F.; Teulade-Fichou, M.-P.; Calsou, P. A G-quadruplex structure within the 5′-UTR of TRF2 mRNA represses translation in human cells. Nucleic Acids Res. 2010, 38, 7187–7198. [Google Scholar] [CrossRef]
- Shahid, R.; Bugaut, A.; Balasubramanian, S. The BCL-2 5′ untranslated region contains an RNA Gquadruplex- forming motif that modulates protein expression. Biochemistry 2010, 49, 8300–8306. [Google Scholar] [CrossRef]
- Gomez, D.; Lemarteleur, T.; Lacroix, L.; Mailliet, P.; Mergny, J.L.; Riou, J.F. Telomerase downregulation induced by the G-quadruplex ligand 12459 in A549 cells is mediated by hTERT RNA alternative splicing. Nucleic Acids Res. 2004, 32, 371–379. [Google Scholar] [CrossRef]
- Didiot, M.-C.; Tian, Z.; Schaeffer, C.; Subramanian, M.; Mandel, J.-L.; Moine, H. The G-quartet containing FMRP binding site in FMR1 mRNA is a potent exonic splicing enhancer. Nucleic Acids Res. 2008, 36, 4902–4912. [Google Scholar] [CrossRef]
- Beaudoin, J.-D.; Perreault, J.-P. Exploring mRNA 3′-UTR G-quadruplexes: Evidence of roles in both alternative polyadenylation and mRNA shortening. Nucleic Acids Res. 2013, 41, 5898–5911. [Google Scholar] [CrossRef]
- Huang, H.; Zhang, J.; Harvey, S.E.; Hu, X.; Cheng, C. RNA G-quadruplex secondary structure promotes alternative splicing via the RNA-binding protein hnRNPF. Genes Dev. 2017, 31, 2296–2309. [Google Scholar] [CrossRef]
- Yadav, V.; Hemansi; Kim, N.; Tuteja, N.; Yadav, P. G Quadruplex in Plants: A Ubiquitous Regulatory Element and Its Biological Relevance. Front. Plant Sci. 2017, 8, 1163. [Google Scholar] [CrossRef] [PubMed]
- Yang, X.; Cheema, J.; Zhang, Y.; Deng, H.; Duncan, S.; Umar, M.I.; Zhao, J.; Liu, Q.; Cao, X.; Kwok, C.K.; et al. RNA G-quadruplex structures exist and function in vivo in plants. Genome Biol. 2020, 21, 226. [Google Scholar] [CrossRef] [PubMed]
- Volná, A.; Bartas, M.; Nezval, J.; Špunda, V.; Pečinka, P.; Červeň, J. Searching for G-Quadruplex-Binding Proteins in Plants: New Insight into Possible G-Quadruplex Regulation. BioTech 2021, 10, 20. [Google Scholar] [CrossRef] [PubMed]
- Liu, H.; Chu, Z.; Yang, X. A Key Molecular Regulator, RNA G-Quadruplex and Its Function in Plants. Front. Plant Sci. 2022, 13, 926953. [Google Scholar] [CrossRef] [PubMed]
- Falanga, A.P.; Terracciano, M.; Oliviero, G.; Roviello, G.N.; Borbone, N. Exploring the Relationship between G-Quadruplex Nucleic Acids and Plants: From Plant G-Quadruplex Function to Phytochemical G4 Ligands with Pharmaceutic Potential. Pharmaceutics 2022, 14, 2377. [Google Scholar] [CrossRef]
- Andorf, C.M.; Kopylov, M.; Dobbs, D.; Koch, K.E.; Stroupe, M.E.; Lawrence, C.J.; Bass, H.W. G-Quadruplex (G4) Motifs in the Maize (Zea mays L.) Genome Are Enriched at Specific Locations in Thousands of Genes Coupled to Energy Status, Hypoxia, Low Sugar, and Nutrient Deprivation. J. Genet. Genom. 2014, 41, 627–647. [Google Scholar] [CrossRef]
- Wang, Y.; Zhao, M.; Zhang, Q.; Zhu, G.-F.; Li, F.-F.; Du, L.-F. Genomic distribution and possible functional roles of putative G-quadruplex motifs in two subspecies of Oryza sativa. Comput. Biol. Chem. 2015, 56, 122–130. [Google Scholar] [CrossRef]
- Volná, A.; Bartas, M.; Nezval, J.; Pech, R.; Pečinka, P.; Špunda, V.; Červeň, J. Beyond the primary structure of nucleic acids: Potential roles of epigenetics and noncanonical structures in the regulations of plant growth and stress responses. Methods Mol. Biol. 2023, 2642, 331–361. [Google Scholar] [CrossRef]
- Ma, L.; Xie, L.; Wu, Q.; Yang, L.; Zhou, Y.; Cui, Y.; Zhang, Y.; Jiao, B.; Wang, C.; He, Y. Integrating CRISPR-Cas12a and rolling circle-amplified G-quadruplex for naked-eye fluorescent “off-on” detection of citrus Alternaria. Int. J. Biol. Macromol. 2024, 262, 129983. [Google Scholar] [CrossRef]
- Huang, R.; Feng, Y.; Gao, Z.; Ahmed, A.; Zhang, W. The Epigenomic Features and Potential Functions of PEG- and PDS-Favorable DNA G-Quadruplexes in Rice. Int. J. Mol. Sci. 2024, 25, 634. [Google Scholar] [CrossRef]
- Esain-Garcia, I.; Kirchner, A.; Melidis, L.; Tavares, R.d.C.A.; Dhir, S.; Simeone, A.; Yu, Z.; Madden, S.K.; Hermann, R.; Tannahill, D.; et al. G-quadruplex DNA structure is a positive regulator of MYC transcription. Proc. Natl. Acad. Sci. USA 2024, 121, e2320240121. [Google Scholar] [CrossRef] [PubMed]
- Aamir, M.; Kashyap, S.P.; Zehra, A.; Dubey, M.K.; Singh, V.K.; Ansari, W.A.; Upadhyay, R.S.; Singh, S. Trichoderma erinaceum Bio-Priming Modulates the WRKYs Defense Programming in Tomato Against the Fusarium oxysporum f. sp. lycopersici (Fol) Challenged Condition. Front. Plant Sci. 2019, 10, 911. [Google Scholar] [CrossRef] [PubMed]
- Meena, M.; Swapnil, P. Regulation of WRKY genes in plant defence with beneficial fungus Trichoderma: Current perspectives and future prospects. Arch. Phytopathol. Plant Prot. 2019, 52, 1–17. [Google Scholar] [CrossRef]
- Agostini, R.B.; Postigo, A.; Rius, S.P.; Rech, G.E.; Campos-Bermudez, V.A.; Vargas, W.A. Long-lasting primed state in maize plants: Salicylic acid and steroid signaling pathways as key players in the early activation of immune responses in silks. Mol. Plant Microbe Interact. 2019, 32, 95–106. [Google Scholar] [CrossRef] [PubMed]
- Agostini, R.B.; Rius, S.P.; Vargas, W.A.; Campos-Bermudez, V.A. Proteome impact on maize silks under the priming state induced by Trichoderma root colonization. Planta 2021, 253, 115. [Google Scholar] [CrossRef]
- Brotman, Y.; Landau, U.; Cuadros-Inostroza, Á.; Tohge, T.; Fernie, A.R.; Chet, I.; Viterbo, A.; Willmitzer, L. Trichoderma-plant root colonization: Escaping early plant defense responses and activation of the antioxidant machinery for saline stress tolerance. PLoS Pathog. 2013, 9, e1003221. [Google Scholar] [CrossRef]
- Wasternack, C.; Song, S. Jasmonates: Biosynthesis, metabolism, and signaling by proteins activating and repressing transciption. J. Exp. Bot. 2016, 68, 1303–1321. [Google Scholar] [CrossRef]
- Wang, K.-D.; Gorman, Z.; Huang, P.-C.; Kenerley, C.M.; Kolomiets, M.V. Trichoderma virens colonization of maize roots triggers rapid accumulation of 12-oxophytodienoate and two γ-ketols in leaves as priming agents of induced systemic resistance. Plant Signal. Behav. 2020, 15, 1792187. [Google Scholar] [CrossRef]
- Shoresh, M.; Harman, G.E.; Mastouri, F. Induced Systemic Resistance and Plant Responses to Fungal Biocontrol Agents. Annu. Rev. Phytopathol. 2010, 48, 21–43. [Google Scholar] [CrossRef]
- Guo, Z.-J.; Chen, X.-J.; Wu, X.-L.; Ling, J.-Q.; Xu, P. Overexpression of the AP2/EREBP transcription factor OPBP1 enhances disease resistance and salt tolerance in tobacco. Plant Mol. Biol. 2004, 55, 607–618. [Google Scholar] [CrossRef]
- Park, S.-W.; Kaimoyo, E.; Kumar, D.; Mosher, S.; Klessig, D.F. Methyl Salicylate Is a Critical Mobile Signal for Plant Systemic Acquired Resistance. Science 2007, 318, 113–116. [Google Scholar] [CrossRef] [PubMed]
- Polko, J.K.; Kieber, J.J. 1-Aminocyclopropane 1-Carboxylic Acid and Its Emerging Role as an Ethylene-Independent Growth Regulator. Front. Plant Sci. 2019, 10, 1602. [Google Scholar] [CrossRef] [PubMed]
- Phan, A.T.; Mergny, J.L. Human telomeric DNA: G-quadruplex, i-motif and Watson-Crick double helix. Nucleic Acids Res. 2002, 30, 4618–4625. [Google Scholar] [CrossRef] [PubMed]
- Pastor, V.; Luna, E.; Mauch-Mani, B.; Ton, J.; Flors, V. Primed plants do not forget. Environ. Exp. Bot. 2013, 94, 46–56. [Google Scholar] [CrossRef]
- Griffin, B.D.; Bass, H.W. Review: Plant G-quadruplex (G4) motifs in DNA and RNA; abundant, intriguing sequences of unknown function. Plant Sci. 2018, 269, 143–147. [Google Scholar] [CrossRef]
- Kikin, O.; D’Antonio, L.; Bagga, P.S. QGRS Mapper: A web-based server for predicting G-quadruplexes in nucleotide sequences. Nucleic Acids Res. 2006, 34, W676–W682. [Google Scholar] [CrossRef]
- Labudová, D.; Hon, J.; Lexa, M. pqsfinder web: G-quadruplex prediction using optimized pqsfinder algorithm. Bioinformatics 2019, 36, 2584–2586. [Google Scholar] [CrossRef]
- Brázda, V.; Kolomazník, J.; Lýsek, J.; Bartas, M.; Fojta, M.; Šťastný, J.; Mergny, J.-L. G4Hunter web application: A web server for G-quadruplex prediction. Bioinformatics 2019, 35, 3493–3495. [Google Scholar] [CrossRef]
- Bezzi, G.; Piga, E.J.; Binolfi, A.; Armas, P. CNBP binds and unfolds in vitro G-Quadruplexes formed in the SARS-CoV-2 positive and negative genome strands. Int. J. Mol. Sci. 2021, 22, 2614. [Google Scholar] [CrossRef]
- Biffi, G.; Tannahill, D.; McCafferty, J.; Balasubramanian, S. Quantitative visualization of DNA G-quadruplex structures in human cells. Nat. Chem. 2013, 5, 182–186. [Google Scholar] [CrossRef]
- Lorenzatti, A.; Piga, E.J.; Gismondi, M.; Binolfi, A.; Margarit, E.; Calcaterra, N.B.; Armas, P. Genetic variations in G-quadruplex forming sequences affect the transcription of human disease-related genes. Nucleic Acids Res. 2023, 51, 12124–12139. [Google Scholar] [CrossRef] [PubMed]
- Hwang, T.; Shaka, A. Water Suppression That Works. Excitation Sculpting Using Arbitrary Wave-Forms and Pulsed-Field Gradients. J. Magn. Reson. Ser. A 1995, 112, 275–279. [Google Scholar] [CrossRef]
- Gendrel, A.-V.; Lippman, Z.; Martienssen, R.; Colot, V. Profiling histone modification patterns in plants using genomic tiling microarrays. Nat. Methods 2005, 2, 213–218. [Google Scholar] [CrossRef] [PubMed]




| Gene | DNA Strand | PQSs | Length | Predictor Scores | ||
|---|---|---|---|---|---|---|
| QGRS Mapper | PQSfinder | G4Hunter | ||||
| JAZ8 | Antisense | GGGTGGGGCCTTGGGATTCTCCGCGCGGGGAACGGG | 36 | 65 | 54 | 1.361 |
| WRKY | Sense | GGGATGGATGGGGATCTGCCGGGCGGG | 27 | 66 | 56 | 1.556 |
| MAPK1 | Antisense | GGGGACTGGGGGACGGGCGGG | 21 | 69 | 66 | 2.429 |
| ACO1 | Antisense | GGGCATTGACCTGTGGGCACCCACGCGGGCCACGCCCATGTGGG | 44 | 69 | 36 * | 0.227 * |
| AP2-EREBP | Antisense | GGGGAGGGGCAACTGAAGGGGGGG | 24 | 65 | 61 | 2.458 |
| Gene | Dot-Blot BG4 | CD | ThT | NMR | G4-ChIP |
|---|---|---|---|---|---|
| MAPK1 | + | ++++ | ++ | ++++ | (+2, ++6) |
| AP2-EREBP | +++ | +++ | +++ | +++ | (+2, +6) |
| WRKY | - | + | ++ | +++ | (++2, +++6) |
| JAZ8 | +++ | + | + | + | (++2, ++6) |
| ACO1 | - | - | - | - | - |
Disclaimer/Publisher’s Note: The statements, opinions and data contained in all publications are solely those of the individual author(s) and contributor(s) and not of MDPI and/or the editor(s). MDPI and/or the editor(s) disclaim responsibility for any injury to people or property resulting from any ideas, methods, instructions or products referred to in the content. |
© 2024 by the authors. Licensee MDPI, Basel, Switzerland. This article is an open access article distributed under the terms and conditions of the Creative Commons Attribution (CC BY) license (https://creativecommons.org/licenses/by/4.0/).
Share and Cite
Agostini, R.B.; Piga, E.J.; Bayón, C.; Binolfi, A.; Armas, P.; Campos-Bermudez, V.A.; Rius, S.P. G-Quadruplex Structures as Epigenetic Regulatory Elements in Priming of Defense Genes upon Short-Term Trichoderma atroviride Inoculation in Maize. Plants 2024, 13, 2925. https://doi.org/10.3390/plants13202925
Agostini RB, Piga EJ, Bayón C, Binolfi A, Armas P, Campos-Bermudez VA, Rius SP. G-Quadruplex Structures as Epigenetic Regulatory Elements in Priming of Defense Genes upon Short-Term Trichoderma atroviride Inoculation in Maize. Plants. 2024; 13(20):2925. https://doi.org/10.3390/plants13202925
Chicago/Turabian StyleAgostini, Romina B., Ernesto J. Piga, Candela Bayón, Andrés Binolfi, Pablo Armas, Valeria A. Campos-Bermudez, and Sebastián P. Rius. 2024. "G-Quadruplex Structures as Epigenetic Regulatory Elements in Priming of Defense Genes upon Short-Term Trichoderma atroviride Inoculation in Maize" Plants 13, no. 20: 2925. https://doi.org/10.3390/plants13202925
APA StyleAgostini, R. B., Piga, E. J., Bayón, C., Binolfi, A., Armas, P., Campos-Bermudez, V. A., & Rius, S. P. (2024). G-Quadruplex Structures as Epigenetic Regulatory Elements in Priming of Defense Genes upon Short-Term Trichoderma atroviride Inoculation in Maize. Plants, 13(20), 2925. https://doi.org/10.3390/plants13202925

