Phenolic Compounds and Antioxidant Capacity Comparison of Wild-Type and Yellow-Leaf gl1 Mutant of Lagerstroemia indica
Abstract
1. Introduction
2. Materials and Methods
2.1. Plant Materials and Chemicals
2.2. Determination of Lignin Content
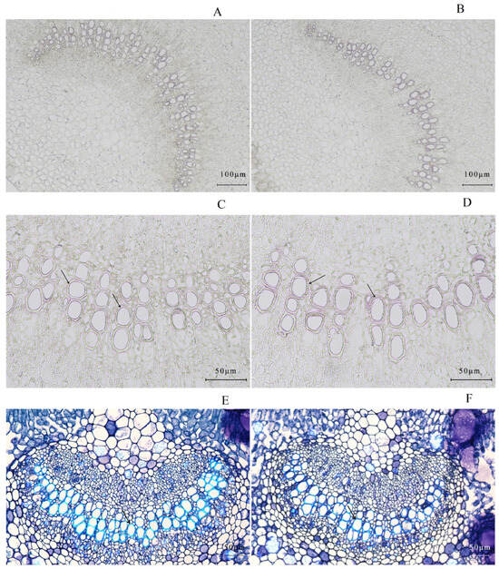
2.3. Histological Analysis
2.4. Extraction of Total Soluble Phenolic Compounds
2.5. Determination of Total Soluble Phenolic Compounds and Flavonoid Content
2.6. Antioxidant Activity Assay
2.7. Untargeted Metabolomics Analysis
2.8. Data Analysis
3. Results and Discussion
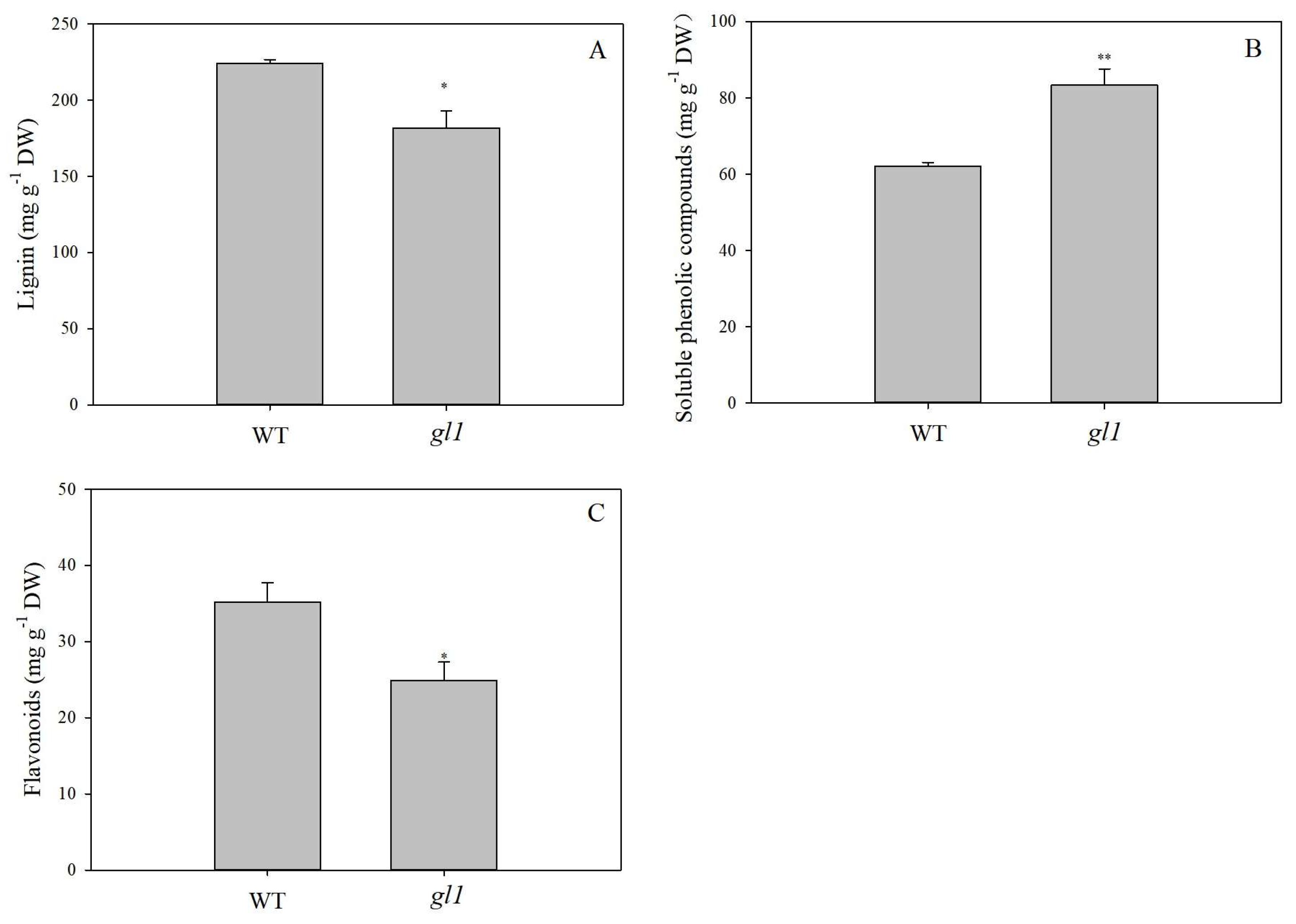
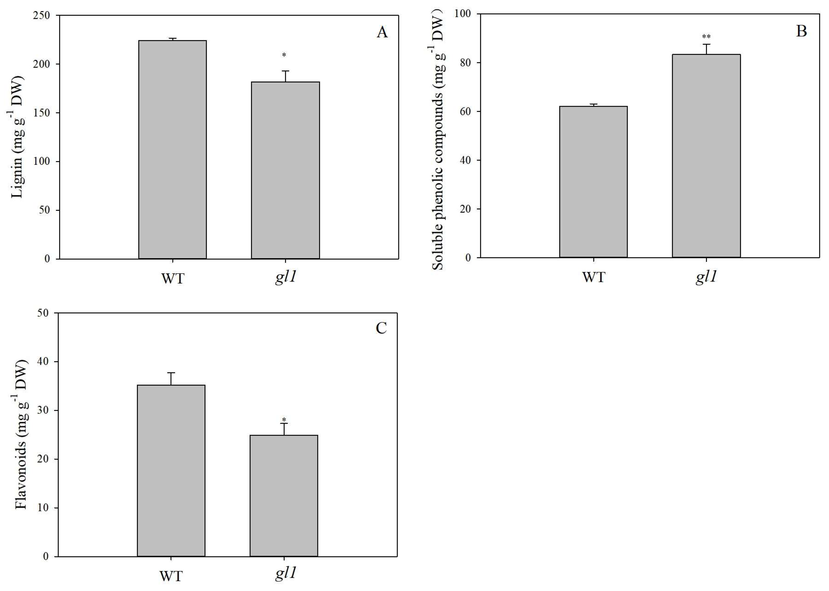
3.1. Quantitative Analysis of Phenolic Compounds
3.2. Metabolite Profiling
3.3. Antioxidant Capacity
4. Conclusions
Supplementary Materials
Author Contributions
Funding
Data Availability Statement
Conflicts of Interest
References
- Graham, S.A.; Crisci, J.V.; Hoch, P.C. Cladistic analysis of the Lythraceae sensu lato based on morphological characters. Bot. J. Linn. Soc. 1993, 113, 1–33. [Google Scholar] [CrossRef]
- Kolakul, P.; Sripanidkulchai, B. Phytochemicals and anti-aging potentials of the extracts from Lagerstroemia speciosa and Lagerstroemia floribunda. Ind. Crops Prod. 2017, 109, 707–716. [Google Scholar] [CrossRef]
- Unno, T.; Sakane, I.; Masumizu, T.; Kohno, M.; Kakuda, T. Antioxidative activity of water extracts of Lagerstroemia speciosa leaves. Biosci. Biotechnol. Biochem. 1997, 61, 1772–1774. [Google Scholar] [CrossRef] [PubMed]
- Priya, T.T.; Sabu, M.C.; Jolly, C.I. Free radical scavenging and anti-inflammatory properties of Lagerstroemia speciosa (L). Inflammopharmacology 2008, 16, 182–187. [Google Scholar] [CrossRef] [PubMed]
- Saumya, S.M.; Basha, P.M. Antioxidant effect of Lagerstroemia speciosa Pers (Banaba) leaf extract in streptozotocin-induced diabetic mice. Indian J. Exp. Biol. 2011, 49, 125–131. [Google Scholar] [PubMed]
- Tiwary, B.K.; Dutta, S.; Dey, P.; Hossain, M.; Kumar, A.; Bihani, S.; Nanda, A.K.; Chaudhuri, T.K.; Chakraborty, R. Radical scavenging activities of Lagerstroemia speciosa (L.) Pers. petal extracts and its hepato-protection in CCl4-intoxicated mice. BMC Complement. Altern. Med. 2017, 17, 55. [Google Scholar] [CrossRef]
- Yang, E.J.; Lee, J.S.; Song, B.B.; Yun, C.Y.; Kim, D.H.; Kim, I.S. Anti-inflammatory effects of ethanolic extract from Lagerstroemia indica on airway inflammation in mice. J. Ethnopharmacol. 2011, 136, 422–427. [Google Scholar] [CrossRef]
- Kakuda, T.; Sakane, I.; Takihara, T.; Ozaki, Y.; Takeuchi, H.; Kuroyanagi, M. Hypoglycemic effect of extracts from Lagerstroemia speciosa L. leaves in genetic diabetic KK-AY mice. Biosci. Biotechnol. Biochem. 1996, 60, 204–208. [Google Scholar] [CrossRef]
- Kim, M.; Lee, S.U.; Yuk, H.J.; Jang, H.; Lee, J.; Kwon, E.; Paik, J.-H.; Choi, S.; Nizar, A.; Bach, T.T.; et al. Metabolomics approach to identify the active substances influencing the antidiabetic activity of Lagerstroemia species. J. Funct. Foods 2020, 64, 103684. [Google Scholar] [CrossRef]
- Stohs, S.J.; Miller, H.; Kaats, G.R. A review of the efficacy and safety of banaba (Lagerstroemia speciosa L.) and corosolic acid. Phytother. Res. 2012, 26, 317–324. [Google Scholar] [CrossRef]
- Song, J.H.; Park, K.S.; Kwon, D.H.; Choi, H.J. Anti-human rhinovirus 2 activity and mode of action of quercetin-7-glucoside from Lagerstroemia speciosa. J. Med. Food 2013, 16, 274–279. [Google Scholar] [CrossRef] [PubMed]
- Dou, H.; Zhang, R.; Lou, X.; Jia, J.; Zhou, C.; Zhao, Y. Constituents of three species of Lagerstroemia. Biochem. Syst. Ecol. 2005, 33, 639–642. [Google Scholar] [CrossRef]
- Bai, N.; He, K.; Roller, M.; Zheng, B.; Chen, X.; Shao, Z.; Peng, T.; Zheng, Q. Active compounds from Lagerstroemia speciosa, insulin-like glucose uptake-stimulatory/inhibitory and adipocyte differentiation-inhibitory activities in 3T3-L1 cells. J. Agric. Food Chem. 2008, 56, 11668–11674. [Google Scholar] [CrossRef] [PubMed]
- Vinod, K.N.; Puttaswamy; Ninge Gowda, K.N.; Sudhakar, R. Isolation of natural colorants from Lagerstroemia indica: Kinetic and adsorption studies. Chin. J. Chem. 2010, 28, 1091–1096. [Google Scholar] [CrossRef]
- Huang, G.; Zhan, Q.; Li, J.; Chen, C.; Huang, D.; Chen, W.; Sun, L. Chemical constituents from leaves of Lagerstroemia speciosa L. Biochem. Syst. Ecol. 2013, 51, 109–112. [Google Scholar] [CrossRef]
- Choi, J.; Cho, J.Y.; Choi, S.J.; Jeon, H.; Kim, Y.D.; Htwe, K.M.; Chin, Y.W.; Lee, W.S.; Kim, J.; Yoon, K.D. Two new phenolic glucosides from Lagerstroemia speciosa. Molecules 2015, 20, 4483–4491. [Google Scholar] [CrossRef]
- Woo, K.W.; Suh, W.S.; Subedi, L.; Kim, S.Y.; Choi, S.U.; Kim, K.H.; Lee, K.R. Phenolic derivatives from the stems of Lagerstroemia indica and their biological activity. Heterocycles 2015, 91, 2355–2366. [Google Scholar]
- Kim, H.J.; Lee, I.S.; Youn, U.J.; Chen, Q.C.; Ngoc, T.M.; Ha, D.H.; Ha, D.T.; Liu, H.; Min, B.S.; Lee, J.Y.; et al. Biphenylquinolizidine alkaloids from Lagerstroemia indica. J. Nat. Prod. 2009, 72, 749–752. [Google Scholar] [CrossRef]
- Lee, I.S.; Youn, U.J.; Kim, H.J.; Min, B.S.; Kim, J.S.; Bae, K.H. Biphenyl and biphenyl ether quinolizidine N-oxide alkaloids from Lagerstroemia indica L. Planta Medica 2011, 77, 2037–2041. [Google Scholar] [CrossRef]
- Michalak, M. Plant-derived antioxidants: Significance in skin health and the ageing process. Int. J. Mol. Sci. 2022, 23, 585. [Google Scholar] [CrossRef]
- Roleira, F.M.; Tavares-da-Silva, E.J.; Varela, C.L.; Costa, S.C.; Silva, T.; Garrido, J.; Borges, F. Plant derived and dietary phenolic antioxidants: Anticancer properties. Food Chem. 2015, 183, 235–258. [Google Scholar] [CrossRef] [PubMed]
- Dong, N.; Lin, H. Contribution of phenylpropanoid metabolism to plant development and plant-environment interactions. J. Integr. Plant Biol. 2021, 63, 180–209. [Google Scholar] [CrossRef] [PubMed]
- Cheynier, V.; Comte, G.; Davies, K.M.; Lattanzio, V.; Martens, S. Plant phenolics: Recent advances on their biosynthesis, genetics, and ecophysiology. Plant Physiol. Biochem. 2013, 72, 1–20. [Google Scholar] [CrossRef] [PubMed]
- Lanot, A.; Hodge, D.; Lim, E.K.; Vaistij, F.E.; Bowles, D.J. Redirection of flux through the phenylpropanoid pathway by increased glucosylation of soluble intermediates. Planta 2008, 228, 609–616. [Google Scholar] [CrossRef] [PubMed]
- Báidez, A.G.; Gómez, P.; Río, J.A.D.; Ortuño, A. Dysfunctionality of the xylem in Olea europaea L. plants associated with the infection process by Verticillium dahliae Kleb. Role of phenolic compounds in plant defense mechanism. J. Agric. Food Chem. 2007, 55, 3373–3377. [Google Scholar] [CrossRef] [PubMed]
- Zhang, Z.; Wang, P.; Li, Y.; Ma, L.; Li, L.; Yang, R.; Ma, Y.; Wang, S.; Wang, Q. Global transcriptome analysis and identification of the flowering regulatory genes expressed in leaves of Lagerstroemia indica. DNA Cell Biol. 2014, 33, 680–688. [Google Scholar] [CrossRef] [PubMed]
- Yeom, M.; Ji, H.; Shin, J.; Cho, E.; Ryu, D.H.; Park, D.; Jung, E. The alleviating effect of Lagerstroemia indica flower extract on stretch marks through regulation of mast cells. Molecules 2022, 27, 1274. [Google Scholar] [CrossRef] [PubMed]
- Wang, S.; Yang, R.; Wang, P.; Wang, Q.; Li, L.; Li, Y.; Yin, Z.F. ‘Jinhuang’ yellow-leaf crape myrtle. Hortscience 2016, 51, 595–596. [Google Scholar] [CrossRef]
- Li, S.; Wang, S.; Wang, P.; Gao, L.; Yang, R.; Li, Y. Label-free comparative proteomic and physiological analysis provides insight into leaf color variation of the golden-yellow leaf mutant of Lagerstroemia indica. J. Proteom. 2020, 228, 103942. [Google Scholar] [CrossRef]
- Li, S.; Wang, S.; Song, Z.; Wang, P.; Lv, F.; Yang, R.; Li, Y. The oxidative damage of the Lagerstroemia indica chlorosis mutant gl1 involves in ferroptosis. J. Plant Physiol. 2023, 280, 153886. [Google Scholar] [CrossRef]
- Sharma, A.; Shahzad, B.; Rehman, A.; Bhardwaj, R.; Landi, M.; Zheng, B. Response of phenylpropanoid pathway and the role of polyphenols in plants under abiotic stress. Molecules 2019, 24, 2452. [Google Scholar] [CrossRef] [PubMed]
- Ge, X.; Jing, L.; Zhao, K.; Su, C.; Zhang, B.; Zhang, Q.; Han, L.; Yu, X.; Li, W. The phenolic compounds profile, quantitative analysis and antioxidant activity of four naked barley grains with different color. Food Chem. 2021, 335, 127655. [Google Scholar] [CrossRef] [PubMed]
- Sumczynski, D.; Kotásková, E.; Družbíková, H.; Mlček, J. Determination of contents and antioxidant activity of free and bound phenolics compounds and in vitro digestibility of commercial black and red rice (Oryza sativa L.) varieties. Food Chem. 2016, 211, 339–346. [Google Scholar] [CrossRef]
- Eloy, N.B.; Voorend, W.; Lan, W.; Saleme, M.L.S.; Cesarino, I.; Vanholme, R.; Smith, R.A.; Goeminne, G.; Pallidis, A.; Morreel, K.; et al. Silencing CHALCONE SYNTHASE in maize impedes the incorporation of tricin into lignin and increases lignin content. Plant Physiol. 2017, 173, 998–1016. [Google Scholar] [CrossRef] [PubMed]
- Singleton, V.L.; Rossi, J.A. Colorimetry of total phenolics with phosphomolybdic phosphotungstic acid reagents. Am. J. Enol. Vitic. 1965, 16, 144–158. [Google Scholar] [CrossRef]
- Shekhar, S.; Mishra, D.; Buragohain, A.K.; Chakraborty, S.; Chakraborty, N. Comparative analysis of phytochemicals and nutrient availability in two contrasting cultivars of sweet potato (Ipomoea batatas L.). Food Chem. 2015, 173, 957–965. [Google Scholar] [CrossRef] [PubMed]
- Chen, L.; Teng, H.; Xie, Z.; Cao, H.; Cheang, W.S.; Skalicka-Woniak, K.; Georgiev, M.I.; Xiao, J. Modifications of dietary flavonoids towards improved bioactivity: An update on structure-activity relationship. Crit. Rev. Food Sci. Nutr. 2018, 58, 513–527. [Google Scholar] [CrossRef]
- Lever, J.; Krzywinski, M.; Altman, N. Principal component analysis. Nat. Methods 2017, 14, 641–642. [Google Scholar] [CrossRef]
- Vanholme, R.; Meester, B.D.; Ralph, J.; Boerjan, W. Lignin biosynthesis and its integration into metabolism. Curr. Opin. Biotechnol. 2019, 56, 230–239. [Google Scholar] [CrossRef]
- Santos-Buelga, C.; González-Paramás, A.M. Anthocyanins. In Encyclopedia of Food Chemistry; Melton, L., Shahidi, F., Varelis, P., Eds.; Elsevier: Amsterdam, The Netherlands, 2019; pp. 10–21. [Google Scholar] [CrossRef]
- Vanholme, R.; Storme, V.; Vanholme, B.; Sundin, L.; Christensen, J.H.; Goeminne, G.; Halpin, C.; Rohde, A.; Morreel, K.; Boerjan, W. A systems biology view of responses to lignin biosynthesis perturbations in Arabidopsis. Plant Cell 2012, 24, 3506–3529. [Google Scholar] [CrossRef]
- Nasrin, F.; Ahmad, S.; Kamrunnahar. Evaluation of antimicrobial, antioxidant and cytotoxic activities of methanolic extracts of Lagerstroemia speciosa leaves and barks. J. Appl. Pharm. Sci. 2012, 2, 142–147. [Google Scholar] [CrossRef]
- Chan, E.W.C.; Lye, P.Y.; Tan, L.N.; Eng, S.Y.; Tan, Y.P.; Wong, Z. Effects of drying method and particle size on the antioxidant properties of leaves and teas of Morus alba, Lagerstroemia speciosa and Thunbergia laurifolia. Chem. Ind. Chem. Eng. Q. 2012, 18, 465–472. [Google Scholar] [CrossRef]
- Embuscado, M.E. Spices and herbs: Natural sources of antioxidants—A mini review. J. Funct. Foods 2015, 18, 811–819. [Google Scholar] [CrossRef]
- Yuen, M.S.M.; Xue, F.; Mak, T.C.W.; Wong, H.N.C. On the absolute structure of optically active neolignans containing a dihydrobenzo[b]furan skeleton. Tetrahedron 1998, 54, 12429–12444. [Google Scholar] [CrossRef]
- Woo, K.W.; Cha, J.M.; Choi, S.U.; Lee, K.R. A new triterpene glycoside from the stems of Lagerstroemia indica. Arch. Pharmacal Res. 2016, 39, 631–635. [Google Scholar] [CrossRef] [PubMed]
- Chang, F.; Chao, W.; Wang, S.; Huang, H.; Sung, P.; Chen, J.; Cheng, M.J.; Huang, G.J.; Kuo, Y.H. Three new iridoid derivatives have been isolated from the stems of Neonauclea reticulata (Havil.) Merr. with cytotoxic activity on hepatocellular carcinoma cells. Molecules 2018, 23, 2297. [Google Scholar] [CrossRef]
- Li, S.; Zhang, H.; Niu, X.; Yao, P.; Sun, H.; Fong, H.H.S. Chemical constituents from Amentotaxus yunnanensis and Torreya yunnanensis. J. Nat. Prod. 2003, 66, 1002–1005. [Google Scholar] [CrossRef]
- Esposito, T.; Sansone, F.; Franceschelli, S.; Gaudio, P.D.; Picerno, P.; Aquino, R.P.; Mencherini, T. Hazelnut (Corylus avellana L.) shells extract: Phenolic composition, antioxidant effect and cytotoxic activity on human cancer cell lines. Int. J. Mol. Sci. 2017, 18, 392. [Google Scholar] [CrossRef]
- Xie, Y.; Ma, G.; Wei, H.; Yuan, J.; Wu, H.; Zhou, X.; Yang, J.; Xu, X. Three new phenolics and other constituents from the seeds of Lithocarpus pachylepis. Molecules 2013, 18, 10397–10403. [Google Scholar] [CrossRef]
- Boldizsára, I.; Krasznib, M.; Tóthc, F.; Tóthb, G.; Sólyomvárya, A.; Noszálb, B.; Záray, G.; Molnár-Perl, I. The role of harmonized, gas and liquid chromatography mass spectrometry in the discovery of the neolignan balanophonin in the fruit wall of Cirsium vulgare. J. Chromatogr. A 2012, 1264, 143–147. [Google Scholar] [CrossRef]
- Stojakowska, A.; Malarz, J. Bioactive phenolics from in vitro cultures of Lactuca aculeata Boiss. et Kotschy. Phytochem. Lett. 2017, 19, 7–11. [Google Scholar] [CrossRef]
- Davin, L.B.; Jourde, M.; Patten, A.M.; Kim, K.W.; Lewis, N.G. Dissection of lignin macromolecular configuration and assembly: Comparison to related biochemical processes in allyl/propenyl phenol and lignan biosynthesis. Nat. Prod. Rep. 2008, 25, 1015–1090. [Google Scholar] [CrossRef] [PubMed]
- Pilerood, S.A.; Prakash, J. Evaluation of nutritional composition and antioxidant activity of Borage (Echium amoenum) and Valerian (Valerian officinalis). J. Food Sci. Technol. 2014, 51, 845–854. [Google Scholar] [CrossRef] [PubMed]
- Du, G.; Li, M.; Ma, F.; Liang, D. Antioxidant capacity and the relationship with polyphenol and Vitamin C in Actinidia fruits. Food Chem. 2009, 113, 557–562. [Google Scholar] [CrossRef]
- Liu, Y.; Qi, Y.; Chen, X.; He, H.; Liu, Z.; Zhang, Z.; Ren, Y.; Ren, X. Phenolic compounds and antioxidant activity in red- and in green-fleshed kiwifruits. Food Res. Int. 2019, 116, 291–301. [Google Scholar] [CrossRef]
- Zhou, B.; Wang, Z.; Yin, P.; Ma, B.; Ma, C.; Xu, C.; Wang, J.; Wang, Z.; Yin, D.; Xia, T. Impact of prolonged withering on phenolic compounds and antioxidant capability in white tea using LC-MS-based metabolomics and HPLC analysis: Comparison with green tea. Food Chem. 2022, 368, 130855. [Google Scholar] [CrossRef]
- Prior, R.L.; Xu, X.; Schaich, K. Standardized methods for the determination of antioxidant capacity and phenolics in foods and dietary supplements. J. Agric. Food Chem. 2005, 53, 4290–4302. [Google Scholar] [CrossRef]
- Sakihama, Y.; Cohen, M.F.; Grace, S.C.; Yamasaki, H. Plant phenolic antioxidant and prooxidant activities: Phenolics-induced oxidative damage mediated by metals in plants. Toxicology 2002, 177, 67–80. [Google Scholar] [CrossRef]




| Class/Subclass | Compound | Formula | RT (min) | OF in gl1 | OF in WT | RSD of gl1 | RSD of WT | Log2 FC | Accumulation |
|---|---|---|---|---|---|---|---|---|---|
| phenolic compounds | |||||||||
| lignans/neolignans | |||||||||
| Balanophonin-4-O-d-glu | C26H30O11 | 1.10 | 4 | 1 | 2.78 | 2.79 | 18.99 | up | |
| Angeloylgomisin r | C27H30O8 | 39.41 | 4 | 4 | 1.15 | 3.73 | 13.96 | up | |
| Gomisin B | C27H30O9 | 37.06 | 4 | 4 | 5.10 | 3.90 | 13.54 | up | |
| phenolic acids | |||||||||
| 1-O,6-O-Digalloyl-β-d-glucose | C20H20O14 | 21.21 | 4 | 2 | 1.37 | 3.01 | 17.33 | up | |
| (1R,2S,4S,5R,7R,9S,10R)-1-Benzoyloxy-2,15-diacetoxy-4-hydroxy-9-cinnamoyloxy-dihydroagarofuran | C35H40O10 | 14.17 | 4 | 4 | 5.02 | 3.64 | 14.75 | up | |
| Mesuanic acid | C35H48O6 | 36.55 | 4 | 2 | 1.49 | 3.86 | 13.49 | up | |
| Albaspidin ab | C23H28O8 | 39.94 | 4 | 4 | 3.39 | 3.72 | 14.26 | up | |
| Coumarinic acid-β-d-glucoside | C15H18O8 | 6.70 | 4 | 4 | 1.40 | 1.75 | −15.39 | down | |
| Acrovestone | C32H42O8 | 39.47 | 4 | 4 | 1.54 | 4.05 | −14.32 | down | |
| 2′-Hydroxybiphenyl-2-sulfinate | C12H10O3S | 1.50 | 0 | 4 | 1.67 | 3.85 | −13.14 | down | |
| flavonoids | |||||||||
| Volkensiflavone | C30H20O10 | 32.81 | 4 | 1 | 5.20 | 3.25 | 16.61 | up | |
| Dihydroisomorellin | C33H38O7 | 14.67 | 4 | 4 | 4.97 | 3.89 | 13.65 | up | |
| Anticancer flavonoid pmv70p691-114 | C19H18O7 | 35.37 | 4 | 4 | 8.83 | 3.76 | 14.72 | up | |
| Hispaglabridin A | C25H30O4 | 38.59 | 4 | 4 | 2.39 | 3.64 | 14.38 | up | |
| Myricomplanoside | C22H22O13 | 13.60 | 0 | 4 | 1.37 | 5.48 | −16.16 | down | |
| Apigenin 7-O-glucoside | C21H20O10 | 15.98 | 4 | 4 | 1.46 | 5.42 | −15.21 | down | |
| Spinoside A | C39H56O12 | 37.14 | 3 | 4 | 1.49 | 3.74 | −14.61 | down | |
| Kuwanone G | C40H36O11 | 35.47 | 4 | 4 | 1.64 | 9.75 | −13.60 | down | |
| Gerronemin F | C28H38O4 | 35.89 | 4 | 4 | 1.57 | 9.24 | −14.16 | down | |
| anthraquinone | |||||||||
| Rhein-8-O-β-d-(6′-oxalyl)-glucopyranoside | C23H18O14 | 1.15 | 0 | 4 | 1.30 | 1.39 | −16.57 | down | |
| Morellin | C33H36O7 | 41.44 | 3 | 4 | 1.59 | 6.08 | −13.83 | down | |
| terpenoid | |||||||||
| Gibberellin A37 | C20H28O6 | 39.95 | 4 | 4 | 4.05 | 3.77 | 13.99 | up | |
| Yunnanxol | C40H46O14 | 39.51 | 4 | 4 | 2.86 | 3.33 | 15.88 | up | |
| Taxuspine Q | C33H46O13 | 39.51 | 4 | 4 | 2.04 | 3.50 | 14.95 | up | |
| Isonuezhenide | C31H42O17 | 39.51 | 4 | 4 | 0.84 | 3.51 | 14.81 | up | |
| Austroside a | C19H30O9 | 38.23 | 4 | 3 | 2.30 | 3.58 | 14.70 | up | |
| Cathidin D | C32H37NO11 | 37.22 | 4 | 0 | 2.08 | 3.61 | 14.52 | up | |
| Alatenoside (C-7a-OH epimer) | C34H50O21 | 39.69 | 4 | 4 | 4.89 | 3.69 | 14.44 | up | |
| Dehydroiridodialo-D-gentiobioside | C22H34O12 | 36.86 | 4 | 4 | 1.67 | 7.56 | −13.45 | down | |
| trans-p-Hydroxycinnamoylrutaevin | C35H36O11 | 37.30 | 4 | 4 | 1.66 | 7.05 | −13.27 | down | |
| Acevaltratum | C24H32O10 | 16.73 | 4 | 4 | 1.65 | 4.46 | −13.18 | down | |
| Paederoside | C18H22O10S | 35.06 | 4 | 4 | 1.76 | 6.66 | −12.44 | down | |
| Ailanthone | C20H24O7 | 14.22 | 4 | 4 | 1.51 | 5.48 | −14.56 | down | |
| 10-(Z)-p-Coumaroyl-6,7-dihydromonotropein | C25H30O13 | 30.65 | 4 | 4 | 1.52 | 3.63 | −14.32 | down | |
| 6-O-(4′′-O-l-rhamnopy-ranosylvanilloyl)ajugol | C29H40O16 | 37.30 | 4 | 4 | 1.52 | 4.21 | −14.32 | down | |
| Jatamanvaltrate E | C28H44O12 | 37.43 | 4 | 4 | 1.55 | 2.91 | −13.96 | down | |
| alkaloid | |||||||||
| Leptopine | C20H18NO6 | 38.25 | 4 | 4 | 3.12 | 3.72 | 14.16 | up | |
| Seneciphylline | C18H23NO5 | 35.96 | 4 | 4 | 3.89 | 3.60 | 14.73 | up | |
| Voacamine | C43H52N4O5 | 37.45 | 1 | 4 | 1.53 | 4.56 | −14.18 | down | |
| Methoxy-5-acetoxy-6-methyl-3-[(Z)-10′-pentadecenyl]-1,4-benzoquinone | C25H38O5 | 38.99 | 0 | 4 | 1.49 | 5.75 | −14.90 | down | |
| Corydamine | C20H18N2O4 | 21.56 | 4 | 4 | 1.54 | 6.23 | −14.48 | down | |
| Aquiledine | C20H20N2O5 | 14.72 | 4 | 4 | 1.62 | 5.68 | −13.63 | down | |
| Gelsamydine | C29H36N2O6 | 39.65 | 4 | 4 | 1.63 | 4.66 | −13.58 | down | |
| Isobetanidin-6-O-rhamnosyl sophoroside | C30H36N2O17 | 39.48 | 4 | 4 | 1.64 | 7.10 | −13.54 | down | |
| Protoverine | C27H43NO9 | 35.77 | 4 | 4 | 1.63 | 7.20 | −13.53 | down | |
| N-Methylplatydesmin | C16H20NO3 | 12.83 | 4 | 4 | 1.77 | 8.72 | −12.91 | down | |
| Phenolic Compounds | H2O2 | O2•− | |
|---|---|---|---|
| FRAP | 0.913 * | −0.931 ** | 0.829 * |
| ABTS | 0.878 * | −0.961 ** | 0.971 ** |
| DPPH | 0.921 ** | −0.975 ** | 0.937 ** |
| Hydroxyl radical | 0.931 ** | −0.996 ** | 0.957 ** |
| Superoxide radical | 0.487 | −0.569 | 0.569 |
Disclaimer/Publisher’s Note: The statements, opinions and data contained in all publications are solely those of the individual author(s) and contributor(s) and not of MDPI and/or the editor(s). MDPI and/or the editor(s) disclaim responsibility for any injury to people or property resulting from any ideas, methods, instructions or products referred to in the content. |
© 2024 by the authors. Licensee MDPI, Basel, Switzerland. This article is an open access article distributed under the terms and conditions of the Creative Commons Attribution (CC BY) license (https://creativecommons.org/licenses/by/4.0/).
Share and Cite
Li, S.; Yin, M.; Wang, P.; Gao, L.; Lv, F.; Yang, R.; Li, Y.; Wang, Q.; Li, L.; Liu, Y.; et al. Phenolic Compounds and Antioxidant Capacity Comparison of Wild-Type and Yellow-Leaf gl1 Mutant of Lagerstroemia indica. Plants 2024, 13, 315. https://doi.org/10.3390/plants13020315
Li S, Yin M, Wang P, Gao L, Lv F, Yang R, Li Y, Wang Q, Li L, Liu Y, et al. Phenolic Compounds and Antioxidant Capacity Comparison of Wild-Type and Yellow-Leaf gl1 Mutant of Lagerstroemia indica. Plants. 2024; 13(2):315. https://doi.org/10.3390/plants13020315
Chicago/Turabian StyleLi, Sumei, Min Yin, Peng Wang, Lulu Gao, Fenni Lv, Rutong Yang, Ya Li, Qing Wang, Linfang Li, Yongdong Liu, and et al. 2024. "Phenolic Compounds and Antioxidant Capacity Comparison of Wild-Type and Yellow-Leaf gl1 Mutant of Lagerstroemia indica" Plants 13, no. 2: 315. https://doi.org/10.3390/plants13020315
APA StyleLi, S., Yin, M., Wang, P., Gao, L., Lv, F., Yang, R., Li, Y., Wang, Q., Li, L., Liu, Y., & Wang, S. (2024). Phenolic Compounds and Antioxidant Capacity Comparison of Wild-Type and Yellow-Leaf gl1 Mutant of Lagerstroemia indica. Plants, 13(2), 315. https://doi.org/10.3390/plants13020315

