Identification and Evaluation of Diploid and Tetraploid Passiflora edulis Sims
Abstract
1. Introduction
2. Results
2.1. Ploidy Levels Identification
2.2. Morphological Characteristics Comparison of Diploid and Tetraploid P. edulis
2.2.1. Root System Comparison of Diploid and Tetraploids
2.2.2. Leaf Morphology
2.2.3. Variation Analysis of Diploid and Tetraploid Morphological Indices
2.3. Variation of Physiological Indices
2.3.1. Soluble Sugar and Soluble Protein Contents
2.3.2. Variation Analysis of Chlorophyll Content
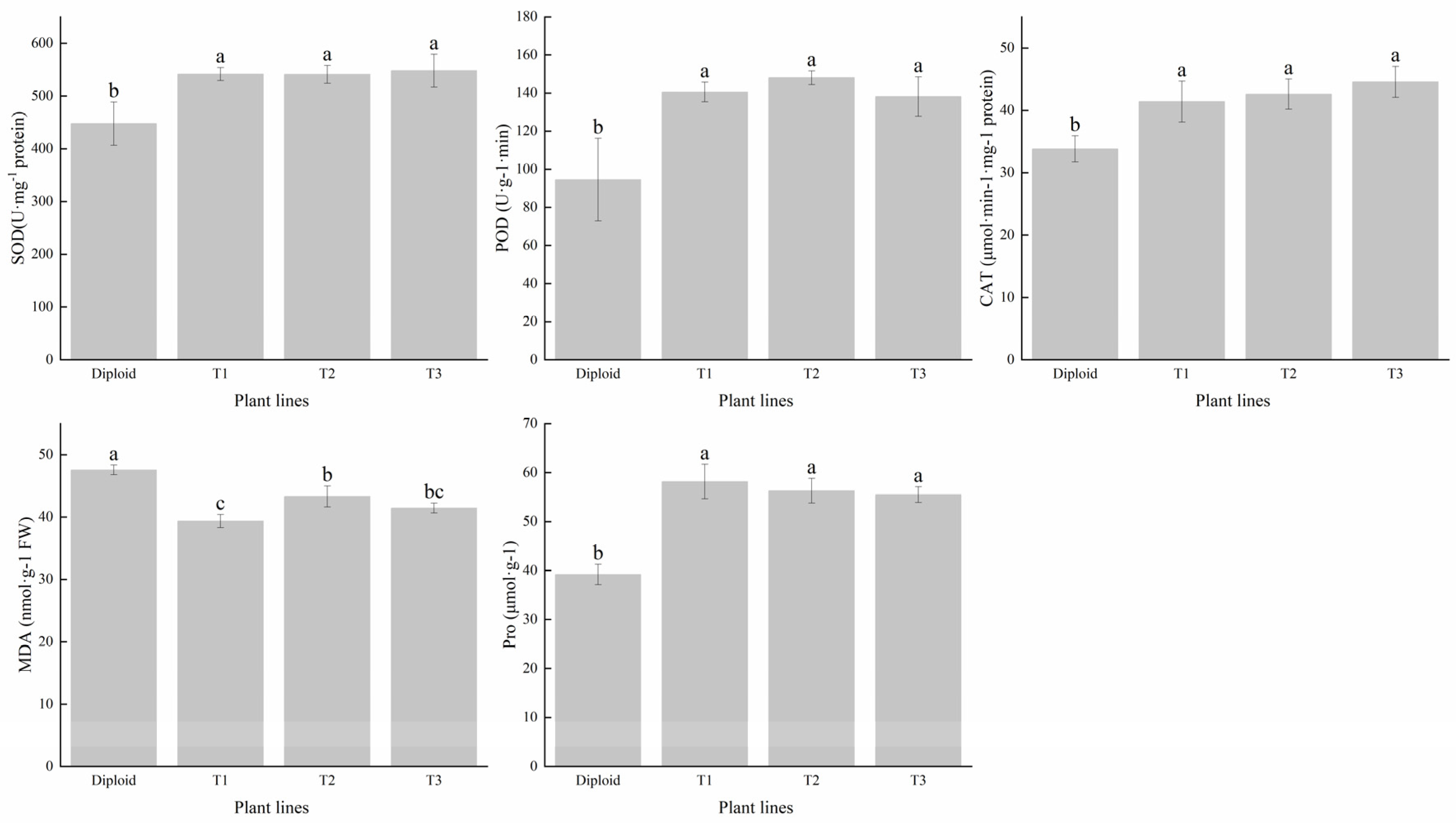
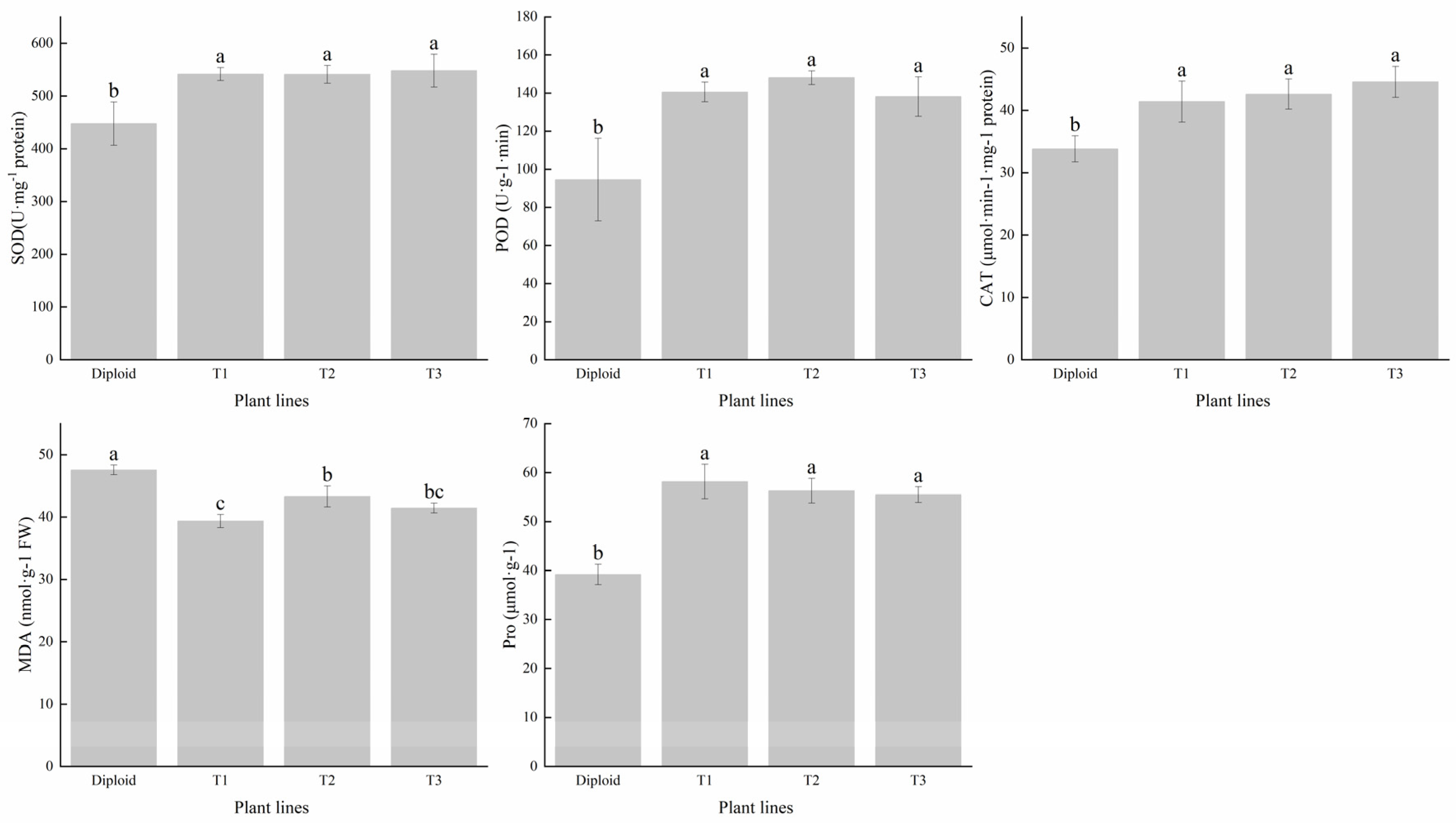
2.4. Difference in Antioxidant Enzyme and MDA, Pro Content in Diploid and Tetraploid
2.5. Comparison of Photosynthetic Characteristics and Chlorophyll Fluorescence Parameters between Diploid and Tetraploid P. edulis
2.5.1. Comparison of Photosynthetic Characteristics
2.5.2. Comparison of Chlorophyll Fluorescence Parameters between Diploid and Tetraploid P. edulis
2.5.3. Kinetic Curve of Chlorophyll Fluorescence Induction
2.6. Correlation Analysis and Principal Component Analysis of Various Indices between Tetraploid and Diploid P. edulis
2.7. The Analysis of Diploid and Tetraploid P. edulis under Cold Stress
2.7.1. The Photosynthetic Characteristics Variation of Different Ploidy P. edulis under Cold Stress
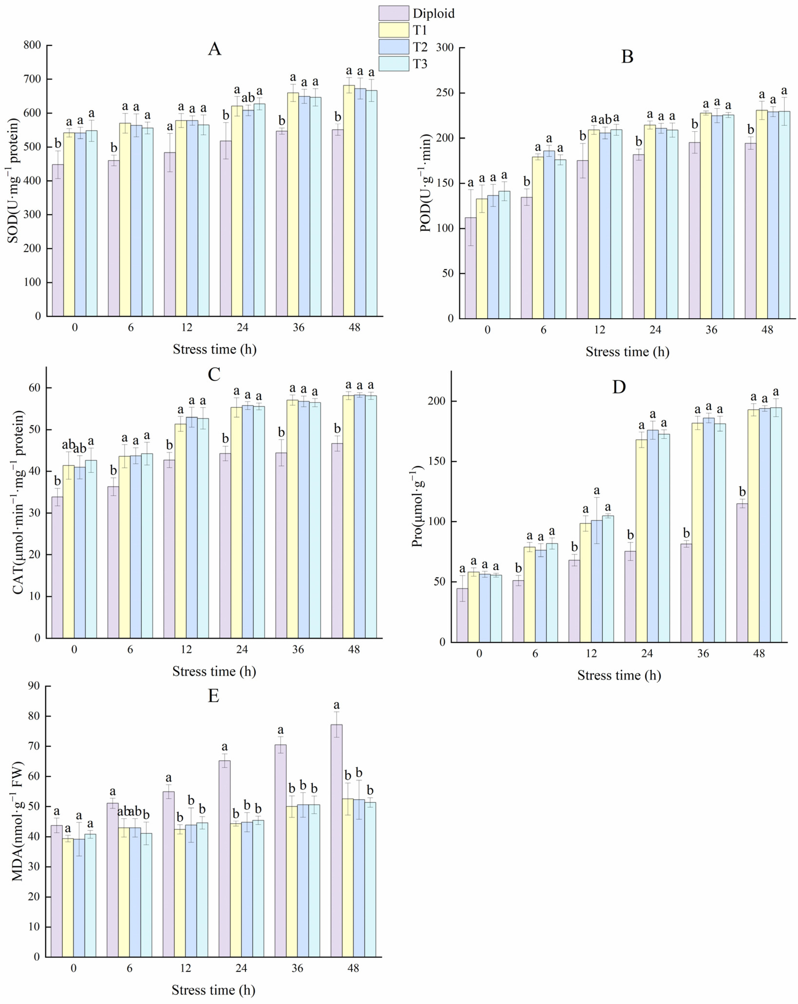
2.7.2. The Changes in Enzyme Activity (SOD, POD, and Pro) and MDA Content of Diploid and Tetraploid P. edulis under Low-Temperature Stress
3. Discussion
3.1. Morphological Characteristics Analysis
3.2. Physiological Traits
3.3. Analysis of Different Ploidy Antioxidant Enzymes, MDA, and Pro Contents
3.4. Photosynthetic Characteristics and Chlorophyll Fluorescence between Diploid and Tetraploid P. edulis
3.5. Effects of Low-Temperature Stress on P. edulis
4. Materials and Methods
4.1. Plant Materials and Growth Condition
4.2. Ploidy Verification of Tetraploid P. edulis
4.2.1. Flow Cytometric Analysis
4.2.2. Chromosome Counting
4.3. Morphological Characterizations Measurement of Polyploidy P. edulis
4.4. Measurement of Physiological and Biochemical Attributes
4.5. Analysis of Photosynthetic Characteristics and Chlorophyll Fluorescence Parameters
4.6. Comparison of Diploid and Tetraploid P. edulis under Low-Temperature Stress
4.7. Data Processing and Analysis
5. Conclusions
Supplementary Materials
Author Contributions
Funding
Data Availability Statement
Conflicts of Interest
References
- Araya, S.; Martins, A.M.; Junqueira, N.T.V.; Costa, A.M.; Faleiroa, F.G.; Ferreira, M.E. Microsatellite marker development by partial sequencing of the sour passion fruit genome (Passiflora edulis Sims). BMC Genom. 2017, 18, 549. [Google Scholar] [CrossRef] [PubMed]
- Beraldo, J.; Myiake Kato, E.T. Leaf and stem morphoanatomy of Passiflora edulis Sims, Passifloraceae. Rev. Bras. Farmacogn.-Braz. J. Pharmacogn. 2010, 20, 233–239. [Google Scholar] [CrossRef]
- Kawakami, S.; Morinaga, M.; Tsukamoto-Sen, S.; Mori, S.; Matsui, Y.; Kawama, T. Constituent Characteristics and Functional Properties of Passion Fruit Seed Extract. Life 2022, 12, 38. [Google Scholar] [CrossRef] [PubMed]
- Rothfels, C.J. Polyploid phylogenetics. New Phytol. 2021, 230, 66–72. [Google Scholar] [CrossRef]
- Sattler, M.C.; Carvalho, C.R.; Clarindo, W.R. The polyploidy and its key role in plant breeding. Planta 2015, 243, 281–296. [Google Scholar] [CrossRef]
- Catalano, C.; Abbate, L.; Motisi, A.; Crucitti, D.; Cangelosi, V.; Pisciotta, A.; Di Lorenzo, R.; Carimi, F.; Carra, A. Autotetraploid Emergence via Somatic Embryogenesis in Vitis vinifera Induces Marked Morphological Changes in Shoots, Mature Leaves, and Stomata. Cells 2021, 10, 1336. [Google Scholar] [CrossRef]
- Li, S.; Liu, X.; Liu, H.; Zhang, X.; Ye, Q.; Zhang, H. Induction, identification and genetics analysis of tetraploid Actinidia chinensis. R. Soc. Open Sci. 2019, 6, 191052. [Google Scholar] [CrossRef]
- Wu, F.H.; Yu, X.D.; Zhuang, N.S.; Liu, G.D.; Liu, J.P. Induction and identification of Stylosanthes guianensis tetraploids. Genet. Mol. Res. 2015, 14, 12692–12698. [Google Scholar] [CrossRef] [PubMed]
- Zahumenická, P.; Fernández, E.; Šedivá, J.; Žiarovská, J.; Ros-Santaella, J.L.; Martínez-Fernández, D.; Russo, D.; Milella, L. Morphological, physiological and genomic comparisons between diploids and induced tetraploids in Anemone sylvestris L. Plant Cell Tissue Organ Cult. 2018, 132, 317–327. [Google Scholar] [CrossRef]
- Yahata, S.; Sato, S.; Ohara, H.; Matsui, H. Differences of morphological and fruit bearing characteristics among the different ploidy plants and triploid production by crossings between diploid and triploid plants in loquat. Hortic. Res. 2005, 4, 379–384. [Google Scholar] [CrossRef][Green Version]
- Zhang, X.; Gao, J. In vitro tetraploid induction from multigenotype protocorms and tetraploid regeneration in Dendrobium officinale. Plant Cell Tissue Organ Cult. 2020, 141, 289–298. [Google Scholar] [CrossRef]
- Li, J.; Suzuki, Y.; Hoshino, Y. Phenotypic analysis of polyploid and aneuploid haskap (Lonicera caerulea L. subsp. edulis (Turcz. ex Herder) Hulten) plants and their progeny production. Euphytica 2023, 219, 52. [Google Scholar]
- Liu, Z.; Wang, J.; Qiu, B.; Ma, Z.; Lu, T.; Kang, X.; Yang, J. Induction and Characterization of Tetraploid Through Zygotic Chromosome Doubling in Eucalyptus urophylla. Front. Plant Sci. 2022, 13, 870698. [Google Scholar] [CrossRef] [PubMed]
- Thong-on, W.; Arimatsu, P.; Pitiporn, S.; Soonthornchareonnon, N.; Prathanturarug, S. Field evaluation of in vitro-induced tetraploid and diploid Centella asiatica (L.) Urban. J. Nat. Med. 2014, 68, 267–273. [Google Scholar] [CrossRef]
- Cao, Y.; Yang, K.; Liu, W.; Feng, G.; Peng, Y.; Li, Z. Adaptive Responses of Common and Hybrid Bermudagrasses to Shade Stress Associated with Changes in Morphology, Photosynthesis, and Secondary Metabolites. Front. Plant Sci. 2022, 13, 817105. [Google Scholar] [CrossRef]
- Zhao, H.; Liu, H.; Jin, J.; Ma, X.; Li, K. Physiological and Transcriptome Analysis on Diploid and Polyploid Populus ussuriensis Kom. under Salt Stress. Int. J. Mol. Sci. 2022, 23, 7529. [Google Scholar] [CrossRef]
- Zhang, X. Triploid Hybrid Watermelon Plants. U.S. Patent 7,238,866, 3 July 2007. [Google Scholar]
- Baack, E.J. Ecological factors influencing tetraploid, establishment in snow buttercups (Ranunculus adoneus, Ranunculaceae): Minority cytotype exclusion and barriers to triploid formation. Am. J. Bot. 2005, 92, 1827–1835. [Google Scholar] [CrossRef] [PubMed]
- Vilcherrez-Atoche, J.A.; Iiyama, C.M.; Cardoso, J.C. Polyploidization in Orchids: From Cellular Changes to Breeding Applications. Plants 2022, 11, 469. [Google Scholar] [CrossRef]
- Marangelli, F.; Pavese, V.; Vaia, G.; Lupo, M.; Bashir, M.A.; Cristofori, V.; Silvestri, C. In Vitro Polyploid Induction of Highbush Blueberry through de novo Shoot Organogenesis. Plants 2022, 11, 2349. [Google Scholar] [CrossRef]
- Wu, J.-H.; Ferguson, A.R.; Murray, B.G.; Jia, Y.; Datson, P.M.; Zhang, J. Induced polyploidy dramatically increases the size and alters the shape of fruit in Actinidia chinensis. Ann. Bot. 2012, 109, 169–179. [Google Scholar] [CrossRef]
- Wang, P.; Mu, X.; Gao, Y.G.; Zhang, J.; Du, J. Successful induction and the systematic characterization of tetraploids in cerasus humilis for subsequent breeding. Sci. Hortic. 2020, 265, 109216. [Google Scholar] [CrossRef]
- Wang, L.; Luo, Z.; Wang, L.; Deng, W.; Wei, H.; Liu, P.; Liu, M. Morphological, cytological and nutritional changes of autotetraploid compared to its diploid counterpart in Chinese jujube (Ziziphus jujuba Mill.). Sci. Hortic. 2019, 249, 263–270. [Google Scholar] [CrossRef]
- Zhang, Q. Study on Technology of Breeding Polyploid of Passiflora edulis by Chromosome Engineering. Master’s Thesis, Southwest University, Chongqing, China, 2002. [Google Scholar]
- Wang, X.; Zhu, Y.; Chen, S.; Yang, Z. Comparison of Morphology, Chlorophyll and Chlorophyll Fluorescence Parameters of Passiflora edulis with Different Ploidy. J. Shandong Agric. Univ. (Nat. Sci. Ed.) 2022, 53, 755–762. [Google Scholar]
- Davik, J.; Wilson, R.C.; Njah, R.G.; Grini, P.E.; Randall, S.K.; Alsheik, M.K.; Sargent, D.J. Genetic mapping and identification of a QTL determining tolerance to freezing stress in Fragaria vesca L. PLoS ONE 2021, 16, e0248089. [Google Scholar] [CrossRef]
- Zhang, J.; Yang, T.; Zhang, C.; Zhang, T.; Pu, L.; Zhao, W. Effects of exogenous zinc on the physiological characteristics and enzyme activities of Passiflora edulis Sims f. edulis seedlings. PeerJ 2023, 11, e16280. [Google Scholar] [CrossRef]
- Chen, Y.; Xu, H.; He, T.; Gao, R.; Guo, G.; Lu, R.; Chen, Z.; Liu, C. Comparative Analysis of Morphology, Photosynthetic Physiology, and Transcriptome between Diploid and Tetraploid Barley Derived from Microspore Culture. Front. Plant Sci. 2021, 12, 626916. [Google Scholar] [CrossRef]
- Moetamedipoor, S.A.; Jowkar, A.; Saharkhiz, M.J.; Hassani, H.S. Hexaploidy induction improves morphological, physiological and phytochemical characteristics of mojito mint (Mentha × villosa). Sci. Hortic. 2022, 295, 110810. [Google Scholar] [CrossRef]
- Heslop-Harrison, J.S.; Schwarzacher, T.; Liu, Q. Polyploidy: Its consequences and enabling role in plant diversification and evolution. Ann. Bot. 2023, 131, 1–10. [Google Scholar] [CrossRef] [PubMed]
- Zhang, X.; Chen, K.; Wang, W.; Liu, G.; Yang, C.; Jiang, J. Differences in Leaf Morphology and Related Gene Expression between Diploid and Tetraploid Birch (Betula pendula). Int. J. Mol. Sci. 2022, 23, 12966. [Google Scholar] [CrossRef]
- Certner, M.; Sudová, R.; Weiser, M.; Suda, J.; Kolár, F. Ploidy-altered phenotype interacts with local environment and may enhance polyploid establishment in Knautia serpentinicola (Caprifoliaceae). New Phytol. 2019, 221, 1117–1127. [Google Scholar] [CrossRef]
- Udall, J.A.; Wendel, J.F. Polyploidy and crop improvement. Crop Sci. 2006, 46, S3–S14. [Google Scholar] [CrossRef]
- Gu, X.F.; Yang, A.F.; Meng, H.; Zhang, J.R. In vitro induction of tetraploid plants from diploid Zizyphus jujuba Mill. cv. Zhanhua. Plant Cell Rep. 2005, 24, 671–676. [Google Scholar] [CrossRef]
- Chen, Z.J. Genetic and epigenetic mechanisms for gene expression and phenotypic variation in plant polyploids. Annu. Rev. Plant Biol. 2007, 58, 377–406. [Google Scholar] [CrossRef] [PubMed]
- Osborn, T.C.; Pires, J.C.; Birchler, J.A.; Auger, D.L.; Chen, Z.J.; Lee, H.-S.; Comai, L.; Madlung, A.; Doerge, R.W.; Colot, V.; et al. Understanding mechanisms of novel gene expression in polyploids. Trends Genet. 2003, 19, 141–147. [Google Scholar] [CrossRef] [PubMed]
- Frary, A.; Nesbitt, T.C.; Grandillo, S.; Knaap, E.; Cong, B.; Liu, J.; Meller, J.; Elber, R.; Alpert, K.B.; Tanksley, S.D. fw2.2: A quantitative trait locus key to the evolution of tomato fruit size. Science 2000, 289, 85–88. [Google Scholar] [CrossRef]
- Wang, Z.; Fan, G.; Dong, Y.; Zhai, X.; Deng, M.; Zhao, Z.; Liu, W.; Cao, Y. Implications of polyploidy events on the phenotype, microstructure, and proteome of Paulownia australis. PLoS ONE 2017, 12, e0172633. [Google Scholar] [CrossRef]
- Sami, F.; Siddiqui, H.; Hayat, S. Interaction of glucose and phytohormone signaling in plants. Plant Physiol. Biochem. 2019, 135, 119–126. [Google Scholar] [CrossRef]
- Wang, X.; Liu, H.; Yu, F.; Hu, B.; Jia, Y.; Sha, H.; Zhao, H. Differential activity of the antioxidant defence system and alterations in the accumulation of osmolyte and reactive oxygen species under drought stress and recovery in rice (Oryza sativa L.) tillering. Sci. Rep. 2019, 9, 8543. [Google Scholar] [CrossRef]
- Sun, C.; Zhang, R.; Yuan, Z.; Cao, H.; Martin, J.J.J. Physiology Response and Resistance Evaluation of Twenty Coconut Germplasm Resources under Low Temperature Stress. Horticulturae 2021, 7, 234. [Google Scholar] [CrossRef]
- Abdolinejad, R.; Shekafandeh, A.; Jowkar, A. In vitro tetraploidy induction creates enhancements in morphological, physiological and phytochemical characteristics in the fig tree (Ficus carica L.). Plant Physiol. Biochem. 2021, 166, 191–202. [Google Scholar] [CrossRef]
- Li, M.; Zhang, C.; Hou, L.; Yang, W.; Liu, S.; Pang, X.; Li, Y. Multiple responses contribute to the enhanced drought tolerance of the autotetraploid Ziziphus jujuba Mill. var. spinosa. Cell Biosci. 2021, 11, 119. [Google Scholar] [CrossRef] [PubMed]
- Mo, L.; Chen, J.; Lou, X.; Xu, Q.; Dong, R.; Tong, Z.; Huang, H.; Lin, E. Colchicine-Induced Polyploidy in Rhododendron fortunei Lindl. Plants 2020, 9, 424. [Google Scholar] [CrossRef] [PubMed]
- Xie, N.; Zhao, Y.; Huang, M.; Chen, C.; Cao, C.; Wang, J.; Shi, Z.; Gao, J. Polyploid Induction and Identification of Begonia × benariensis. Horticulturae 2024, 10, 47. [Google Scholar] [CrossRef]
- Beck, S.L.; Fossey, A.; Mathura, S. Ploidy determination of black wattle (Acacia mearnsii) using stomatal chloroplast counts. S. Afr. For. J. 2003, 198, 79–82. [Google Scholar] [CrossRef]
- Wang, Y.; Li, S.; Liu, L.; Lv, F.; Wang, S. Conjugated Polymer Nanoparticles to Augment Photosynthesis of Chloroplasts. Angew. Chem. (Int. Ed. Engl.) 2017, 56, 5308–5311. [Google Scholar] [CrossRef]
- Cao, Q.; Zhang, X.; Gao, X.; Wang, L.; Jia, G. Effects of ploidy level on the cellular, photochemical and photosynthetic characteristics in Lilium FO hybrids. Plant Physiol. Biochem. 2018, 133, 50–56. [Google Scholar] [CrossRef]
- Suneja, Y.; Gupta, A.K.; Bains, N.S. Bread wheat progenitors: Aegilops tauschii (DD genome) and Triticum dicoccoides (AABB genome) reveal differential antioxidative response under water stress. Physiol. Mol. Biol. Plants 2017, 23, 99–114. [Google Scholar] [CrossRef]
- Hinge, P.; Kale, A.; Pawar, B.; Jadhav, A.; Chimote, V.; Gadakh, S. Effect of PEG induced water stress on chlorophyll content, membrane injury index, osmoprotectants and antioxidant enzymes activities in sorghum (Sorghum bicolor (L) Moench). Maydica 2015, 60, M8. [Google Scholar]
- Shahbazi, E.; Jamei, S.; Meratan, A.A.; Pour Mohammadi, P. Effect of salt stress on some physio-biochemical traits and antioxidative enzymes of two Brassica species under callus culture. Plant Cell Tissue Organ Cult. 2021, 147, 453–465. [Google Scholar] [CrossRef]
- Kaur, N.; Kumar, A.; Kaur, K.; Gupta, A.K.; Singh, I. DPPH radical scavenging activity and contents of H2O2, malondialdehyde and proline in determining salinity tolerance in chickpea seedlings. Indian J. Biochem. Biophys. 2014, 51, 407–415. [Google Scholar]
- Lawson, T.; Matthews, J. Guard Cell Metabolism and Stomatal Function. Annu. Rev. Plant Biol. 2020, 71, 273–302. [Google Scholar] [CrossRef] [PubMed]
- Huang, X.; Ouyang, K.; Luo, Y.; Xie, G.; Yang, Y.; Zhang, J. A comparative study of characteristics in diploid and tetraploid Anoectochilus roxburghii. Front. Nutr. 2022, 9, 1034751. [Google Scholar] [CrossRef] [PubMed]
- Chen, T.; Sheng, Y.; Hao, Z.; Long, X.; Fu, F.; Liu, Y.; Tang, Z.; Ali, A.; Peng, Y.; Lu, L.; et al. Transcriptome and proteome analysis suggest enhanced photosynthesis in tetraploid Liriodendron sino-americanum. Tree Physiol. 2021, 41, 1953–1971. [Google Scholar] [CrossRef] [PubMed]
- Ruan, X.; Feng, W.; Wang, Y.; Chen, X.; Fang, W.; Li, X.; Xiao, R. Diurnal variations of photosynthetic characteristic parameters in strains of tea plants under fruit-tea intercropping models. In Advances in Biomedical Engineering; Hu, J., Ed.; Information Engineering Research Inst: Newark, DE, USA, 2011. [Google Scholar]
- Li, T.; Ding, Y.; Hu, Y.; Sun, L.; Jiang, C.; Liu, Y. Diurnal changes in photosynthesis in Sclerocarya birrea from South Africa and Israel after introduction and acclimatization in Wenshan, Yunnan Province, China. S. Afr. J. Bot. 2015, 100, 101–107. [Google Scholar] [CrossRef]
- Jiang, Y.; Liu, S.; Hu, J.; He, G.; Liu, Y.; Chen, X.; Lei, T.; Li, Q.; Yang, L.; Li, W.; et al. Polyploidization of Plumbago auriculata Lam. in vitro and its characterization including cold tolerance. Plant Cell Tissue Organ Cult. 2020, 140, 315–325. [Google Scholar] [CrossRef]
- Dusenge, M.E.; Duarte, A.G.; Way, D.A. Plant carbon metabolism and climate change: Elevated CO2 and temperature impacts on photosynthesis, photorespiration and respiration. New Phytol. 2018, 221, 32–49. [Google Scholar] [CrossRef]
- Yamori, W.; Hikosaka, K.; Way, D.A. Temperature response of photosynthesis in C3, C4, and CAM plants: Temperature acclimation and temperature adaptation. Photosynth. Res. 2014, 119, 101–117. [Google Scholar] [CrossRef]
- Lourkisti, R.; Froelicher, Y.; Herbette, S.; Morillon, R.; Tomi, F.; Gibernau, M.; Giannettini, J.; Berti, L.; Santini, J. Triploid Citrus Genotypes Have a Better Tolerance to Natural Chilling Conditions of Photosynthetic Capacities and Specific Leaf Volatile Organic Compounds. Front. Plant Sci. 2020, 11, 330. [Google Scholar] [CrossRef]
- Lopez-Jurado, J.; Balao, F.; Mateos-Naranjo, E. Polyploidy-mediated divergent light-harvesting and photoprotection strategies under temperature stress in a Mediterranean carnation complex. Environ. Exp. Bot. 2020, 171, 103956. [Google Scholar] [CrossRef]
- Wei, T.; Wang, Y.; Xie, Z.; Guo, D.; Chen, C.; Fan, Q.; Deng, X.; Liu, J.-H. Enhanced ROS scavenging and sugar accumulation contribute to drought tolerance of naturally occurring autotetraploids in Poncirus trifoliata. Plant Biotechnol. J. 2019, 17, 1394–1407. [Google Scholar] [CrossRef]
- Yang, X.H.; Ye, C.Y.; Cheng, Z.M.; Tschaplinski, T.J.; Wullschleger, S.D.; Yin, W.L.; Xia, X.L.; Tuskan, G.A. Genomic aspects of research involving polyploid plants. Plant Cell Tissue Organ Cult. 2011, 104, 387–397. [Google Scholar] [CrossRef]
- Li, Y.; Zhang, S.; Gesangpingcuo; Hong, Y.; Zhao, F.; Li, Y. Introduction Performance and Cultivation Key Points of ‘Tai-Nung No. 1’and ‘flavicarpa Deg’ Passion Fruit in Greenhouse of Lhasa, Tibet. Tibet J. Agric. Sci. 2020, 42, 44–46. [Google Scholar]
- Su, X.; Wang, X.; He, B.; Yang, Z.; Zhou, C.; Chen, S.; Wang, D.; Cai, N. Mutagenesis of Passiflora edulis Sims Based on Tissue Culture Technology. J. West China For. Sci. 2023, 52, 138–145. [Google Scholar]










| Index | Ploidy Level | Minimum Value | Maximum Value | Means ± Standard Error | Standard Deviation | Coefficient of Variation (%) |
|---|---|---|---|---|---|---|
| PH (cm) | 2 | 6.12 | 11.28 | 8.47 ± 0.57 ** | 1.72 | 20.31 |
| 4 | 2.46 | 10.27 | 5.81 ± 0.38 | 2.00 | 34.42 | |
| GD (cm) | 2 | 0.94 | 1.75 | 1.27 ± 0.10 | 0.30 | 23.62 |
| 4 | 1.08 | 2.11 | 1.56 ± 0.06 * | 0.29 | 18.59 | |
| IN | 2 | 5.00 | 8.00 | 6.22 ± 0.28 ** | 0.83 | 13.34 |
| 4 | 3.00 | 6.00 | 4.15 ± 0.18 | 0.82 | 19.76 | |
| RL (cm) | 2 | 1.21 | 10.83 | 4.66 ± 1.35 | 4.05 | 86.91 |
| 4 | 1.11 | 18.32 | 6.12 ± 0.80 | 4.16 | 67.97 | |
| RN | 2 | 2.00 | 13.00 | 5.78 ± 1.14 * | 3.42 | 59.17 |
| 4 | 0.00 | 7.00 | 2.04 ± 0.32 | 1.68 | 82.35 | |
| LT (mm) | 2 | 0.07 | 0.14 | 0.10 ± 0.01 | 0.02 | 22.00 |
| 4 | 0.07 | 0.21 | 0.12 ± 0.01 ** | 0.03 | 23.00 | |
| LL (cm) | 2 | 2.14 | 3.32 | 2.84 ± 0.13 | 0.40 | 14.08 |
| 4 | 1.92 | 3.89 | 2.89 ± 0.09 | 0.47 | 16.26 | |
| LW (cm) | 2 | 1.12 | 1.82 | 1.39 ± 0.08 | 0.24 | 17.27 |
| 4 | 1.23 | 3.62 | 1.65 ± 0.08 | 0.44 | 26.67 | |
| PL (mm) | 2 | 3.55 | 5.99 | 4.58 ± 0.27 | 0.82 | 17.90 |
| 4 | 4.37 | 9.13 | 6.92 ± 0.23 ** | 1.22 | 17.63 | |
| LA (mm2) | 2 | 411.26 | 429.09 | 416.32 ± 2.03 | 6.10 | 1.47 |
| 4 | 410.83 | 593.83 | 477.62 ± 13.94 ** | 72.44 | 15.17 | |
| LSN | 2 | 3.00 | 5.00 | 3.89 ± 0.26 | 0.78 | 20.05 |
| 4 | 4.00 | 10.00 | 6.59 ± 0.32 ** | 1.67 | 25.34 |
| Ploidy Level | Line | Soluble Sugar Content (mg·g−1) | Soluble Protein Content (mg·g−1) | Chlorophyll a (mg·g−1) | Chlorophyll b (mg·g−1) | Total Chlorophyll (mg·g−1) | Carotenoids (mg·g−1) |
|---|---|---|---|---|---|---|---|
| 2 | Diploid | 1.10 ± 0.05 b | 35.33 ± 1.62 b | 1.44 ± 0.04 c | 0.51 ± 0.03 b | 1.95 ± 0.04 c | 0.40 ± 0.04 b |
| 4 | T1 | 1.81 ± 0.08 a | 46.09 ± 1.52 a | 1.65 ± 0.05 b | 0.61 ± 0.03 a | 2.26 ± 0.08 b | 0.51 ± 0.04 ab |
| 4 | T2 | 1.78 ± 0.10 a | 45.11 ± 2.08 a | 1.69 ± 0.02 b | 0.58 ± 0.02 ab | 2.27 ± 0.01 b | 0.55 ± 0.04 a |
| 4 | T3 | 1.80 ± 0.05 a | 47.25 ± 1.82 a | 1.85 ± 0.09 a | 0.67 ± 0.03 a | 2.51 ± 0.12 a | 0.51 ± 0.03 ab |
| Ploidy Levels | Line | Fo | Fm | Fv | Fm/Fo | Fv/Fm | Fv/Fo |
|---|---|---|---|---|---|---|---|
| 2 | Diploid | 520.89 ± 29.88 b | 1571.11 ± 58.70 b | 1716.89 ± 71.49 b | 2.35 ± 0.06 b | 0.96 ± 0.05 b | 2.67 ± 0.10 b |
| 4 | T1 | 693.00 ± 60.54 a | 1802.78 ± 76.50 ab | 2054.22 ± 115.85 a | 3.29 ± 0.41 a | 1.06 ± 0.03 ab | 3.03 ± 0.20 ab |
| 4 | T2 | 641.11 ± 43.08 ab | 1852.67 ± 88.95 a | 2038.00 ± 72.60 a | 3.36 ± 0.32 a | 1.11 ± 0.04 ab | 3.19 ± 0.15 a |
| 4 | T3 | 663.78 ± 52.05 ab | 1878.22 ± 106.51 a | 2042.22 ± 89.30 a | 3.68 ± 0.33 a | 1.17 ± 0.10 a | 2.97 ± 0.20 ab |
Disclaimer/Publisher’s Note: The statements, opinions and data contained in all publications are solely those of the individual author(s) and contributor(s) and not of MDPI and/or the editor(s). MDPI and/or the editor(s) disclaim responsibility for any injury to people or property resulting from any ideas, methods, instructions or products referred to in the content. |
© 2024 by the authors. Licensee MDPI, Basel, Switzerland. This article is an open access article distributed under the terms and conditions of the Creative Commons Attribution (CC BY) license (https://creativecommons.org/licenses/by/4.0/).
Share and Cite
Su, X.; Wang, X.; Li, R.; Zhou, C.; Chen, L.; Chen, S.; Cai, N.; Xu, Y. Identification and Evaluation of Diploid and Tetraploid Passiflora edulis Sims. Plants 2024, 13, 2603. https://doi.org/10.3390/plants13182603
Su X, Wang X, Li R, Zhou C, Chen L, Chen S, Cai N, Xu Y. Identification and Evaluation of Diploid and Tetraploid Passiflora edulis Sims. Plants. 2024; 13(18):2603. https://doi.org/10.3390/plants13182603
Chicago/Turabian StyleSu, Xin, Xue Wang, Ruilian Li, Chiyu Zhou, Lin Chen, Shi Chen, Nianhui Cai, and Yulan Xu. 2024. "Identification and Evaluation of Diploid and Tetraploid Passiflora edulis Sims" Plants 13, no. 18: 2603. https://doi.org/10.3390/plants13182603
APA StyleSu, X., Wang, X., Li, R., Zhou, C., Chen, L., Chen, S., Cai, N., & Xu, Y. (2024). Identification and Evaluation of Diploid and Tetraploid Passiflora edulis Sims. Plants, 13(18), 2603. https://doi.org/10.3390/plants13182603

