Permanent Stress Adaptation and Unexpected High Light Tolerance in the Shade-Adapted Chlamydomonas priscui
Abstract
1. Introduction
2. Results
2.1. Growth Patterns under High-Light Conditions
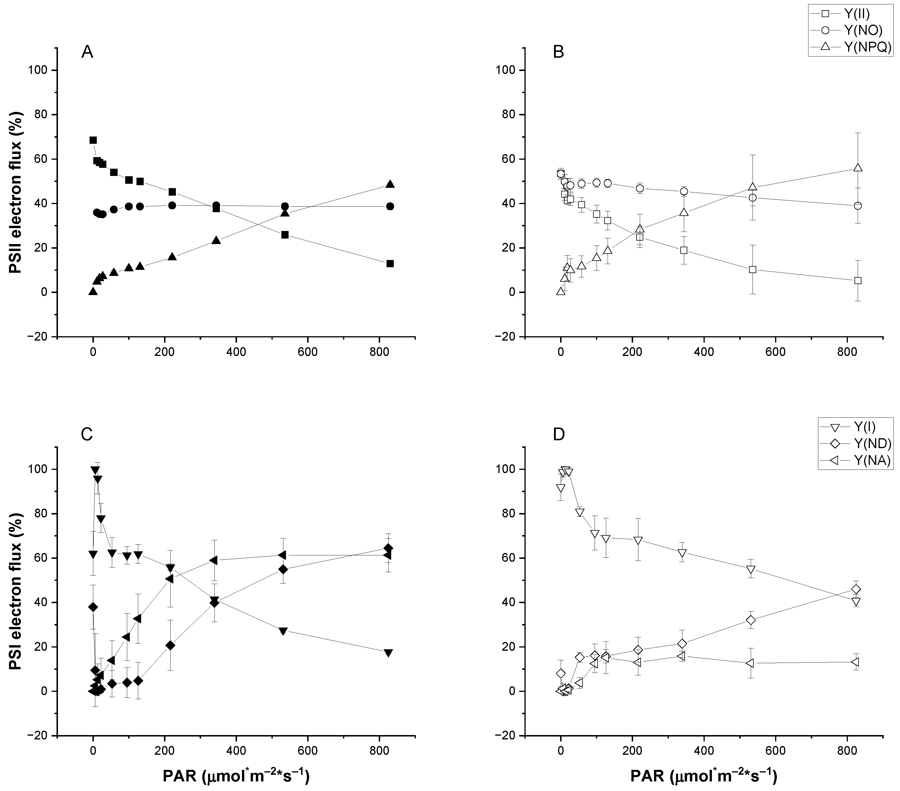
2.2. Impact of Short-Term High Light on PSI and PSII
2.3. ROS Levels and Response to Chemical Oxidants
3. Discussion
4. Materials and Methods
4.1. Growth and Stress Conditions
4.2. Oxygen Evolution
4.3. Chlorophyll Determination
4.4. Western Blotting
4.5. Room Temperature Fluorescence
4.6. P700 Measurements
4.7. ROS Determination
Supplementary Materials
Author Contributions
Funding
Data Availability Statement
Conflicts of Interest
References
- Larkum, A.W. Photosynthesis and Light Harvesting in Algae. In The Physiology of Microalgae; Borowitzka, M.A., Beardall, J., Raven, J.A., Eds.; Developments in Applied Phycology; Springer International Publishing: Cham, Switzerland, 2016; pp. 67–87. ISBN 978-3-319-24945-2. [Google Scholar]
- Erickson, E.; Wakao, S.; Niyogi, K.K. Light Stress and Photoprotection in Chlamydomonas reinhardtii. Plant J. 2015, 82, 449–465. [Google Scholar] [CrossRef] [PubMed]
- Raven, J.A. The Cost of Photoinhibition. Physiol. Plant. 2011, 142, 87–104. [Google Scholar] [CrossRef]
- Morgan-Kiss, R.M.; Priscu, J.C.; Pocock, T.; Gudynaite-Savitch, L.; Huner, N.P.A. Adaptation and Acclimation of Photosynthetic Microorganisms to Permanently Cold Environments. Microbiol. Mol. Biol. Rev. 2006, 70, 222–252. [Google Scholar] [CrossRef]
- Li, L.; Aro, E.-M.; Millar, A.H. Mechanisms of Photodamage and Protein Turnover in Photoinhibition. Trends Plant Sci. 2018, 23, 667–676. [Google Scholar] [CrossRef]
- Terashima, I.; Funayama, S.; Sonoike, K. The Site of Photoinhibition in Leaves of Cucumis sativus L. at Low Temperatures Is Photosystem I, Not Photosystem II. Planta 1994, 193, 300–306. [Google Scholar] [CrossRef]
- Kale, R.; Hebert, A.E.; Frankel, L.K.; Sallans, L.; Bricker, T.M.; Pospíšil, P. Amino Acid Oxidation of the D1 and D2 Proteins by Oxygen Radicals during Photoinhibition of Photosystem II. Proc. Natl. Acad. Sci. USA 2017, 114, 2988–2993. [Google Scholar] [CrossRef]
- Mattoo, A.K.; Hoffman-Falk, H.; Marder, J.B.; Edelman, M. Regulation of Protein Metabolism: Coupling of Photosynthetic Electron Transport to In Vivo Degradation of the Rapidly Metabolized 32-Kilodalton Protein of the Chloroplast Membranes. Proc. Natl. Acad. Sci. USA 1984, 81, 1380–1384. [Google Scholar] [CrossRef]
- Aro, E.M.; McCaffery, S.; Anderson, J.M. Recovery from Photoinhibition in Peas (Pisum sativum L.) Acclimated to Varying Growth Irradiances (Role of D1 Protein Turnover). Plant Physiol. 1994, 104, 1033–1041. [Google Scholar] [CrossRef]
- Jiao, S.; Emmanuel, H.; Guikema, J.A. High Light Stress Inducing Photoinhibition and Protein Degradation of Photosystem I in Brassica rapa. Plant Sci. 2004, 167, 733–741. [Google Scholar] [CrossRef]
- Kono, M.; Terashima, I. Long-Term and Short-Term Responses of the Photosynthetic Electron Transport to Fluctuating Light. J. Photochem. Photobiol. B 2014, 137, 89–99. [Google Scholar] [CrossRef]
- Burnap, R.L. D1 Protein Processing and Mn Cluster Assembly in Light of the Emerging Photosystem II Structure. Phys. Chem. Chem. Phys. 2004, 6, 4803–4809. [Google Scholar] [CrossRef]
- Melis, A. Photosystem-II Damage and Repair Cycle in Chloroplasts: What Modulates the Rate of Photodamage In Vivo? Trends Plant Sci. 1999, 4, 130–135. [Google Scholar] [CrossRef] [PubMed]
- Shimakawa, G.; Miyake, C. Oxidation of P700 Ensures Robust Photosynthesis. Front. Plant Sci. 2018, 9, 1617. [Google Scholar] [CrossRef] [PubMed]
- Scheller, H.V.; Haldrup, A. Photoinhibition of Photosystem I. Planta 2005, 221, 5–8. [Google Scholar] [CrossRef] [PubMed]
- Zhang, S.; Scheller, H.V. Photoinhibition of Photosystem I at Chilling Temperature and Subsequent Recovery in Arabidopsis thaliana. Plant Cell Physiol. 2004, 45, 1595–1602. [Google Scholar] [CrossRef] [PubMed]
- Cruz, J.A.; Avenson, T.J.; Kanazawa, A.; Takizawa, K.; Edwards, G.E.; Kramer, D.M. Plasticity in Light Reactions of Photosynthesis for Energy Production and Photoprotection. J. Exp. Bot. 2005, 56, 395–406. [Google Scholar] [CrossRef] [PubMed]
- Tikkanen, M.; Grieco, M.; Nurmi, M.; Rantala, M.; Suorsa, M.; Aro, E.-M. Regulation of the Photosynthetic Apparatus under Fluctuating Growth Light. Philos. Trans. R. Soc. B Biol. Sci. 2012, 367, 3486–3493. [Google Scholar] [CrossRef] [PubMed]
- Demmig-Adams, B.; Stewart, J.J.; Adams, W.W. Environmental Regulation of Intrinsic Photosynthetic Capacity: An Integrated View. Curr. Opin. Plant Biol. 2017, 37, 34–41. [Google Scholar] [CrossRef] [PubMed]
- Allakhverdiev, S.I.; Nishiyama, Y.; Miyairi, S.; Yamamoto, H.; Inagaki, N.; Kanesaki, Y.; Murata, N. Salt Stress Inhibits the Repair of Photodamaged Photosystem II by Suppressing the Transcription and Translation of psbAGenes in Synechocystis. Plant Physiol. 2002, 130, 1443–1453. [Google Scholar] [CrossRef]
- Ivanov, A.G.; Morgan, R.M.; Gray, G.R.; Velitchkova, M.Y.; Huner, N.P.A. Temperature/Light Dependent Development of Selective Resistance to Photoinhibition of Photosystem I. FEBS Lett. 1998, 430, 288–292. [Google Scholar] [CrossRef]
- Maxwell, D.P.; Falk, S.; Trick, C.G.; Huner, N.P.A. Growth at Low Temperature Mimics High-Light Acclimation in Chlorella vulgaris. Plant Physiol. 1994, 105, 535–543. [Google Scholar] [CrossRef] [PubMed]
- Neale, P.J.; Melis, A. Salinity-Stress Enhances Photoinhibition of Photosynthesis in Chlamydomonas reinhardtii. J. Plant Physiol. 1989, 134, 619–622. [Google Scholar] [CrossRef]
- Bailey-Serres, J.; Parker, J.E.; Ainsworth, E.A.; Oldroyd, G.E.D.; Schroeder, J.I. Genetic Strategies for Improving Crop Yields. Nature 2019, 575, 109–118. [Google Scholar] [CrossRef] [PubMed]
- Priscu, J.C.; Wolf, C.F.; Takacs, C.D.; Fritsen, C.H.; Laybourn-Parry, J.; Roberts, E.C.; Sattler, B.; Lyons, W.B. Carbon Transformations in a Perennially Ice-Covered Antarctic Lake. BioScience 1999, 49, 997–1008. [Google Scholar] [CrossRef]
- Neale, P.J.; Priscu, J.C. Fluorescence Quenching in Phytoplankton of the Mcmurdo Dry Valley Lakes (Antarctica): Implications for The Structure and Function of The Photosynthetic Apparatus. In Ecosystem Dynamics in a Polar Desert: The McMurdo Dry Valleys, Antarctica; American Geophysical Union (AGU): Washington, DC, USA, 1998; pp. 241–253. ISBN 978-1-118-66831-3. [Google Scholar]
- Dolhi, J.M.; Maxwell, D.P.; Morgan-Kiss, R.M. Review: The Antarctic Chlamydomonas raudensis: An Emerging Model for Cold Adaptation of Photosynthesis. Extremophiles 2013, 17, 711–722. [Google Scholar] [CrossRef] [PubMed]
- Hüner, N.P.A.; Smith, D.R.; Cvetkovska, M.; Zhang, X.; Ivanov, A.G.; Szyszka-Mroz, B.; Kalra, I.; Morgan-Kiss, R. Photosynthetic Adaptation to Polar Life: Energy Balance, Photoprotection and Genetic Redundancy. J. Plant Physiol. 2022, 268, 153557. [Google Scholar] [CrossRef] [PubMed]
- Szyszka-Mroz, B.; Pittock, P.; Ivanov, A.G.; Lajoie, G.; Hüner, N.P.A. The Antarctic Psychrophile Chlamydomonas sp. UWO 241 Preferentially Phosphorylates a Photosystem I-Cytochrome B6/f Supercomplex1[OPEN]. Plant Physiol. 2015, 169, 717–736. [Google Scholar] [CrossRef]
- Kalra, I.; Wang, X.; Cvetkovska, M.; Jeong, J.; McHargue, W.; Zhang, R.; Hüner, N.; Yuan, J.S.; Morgan-Kiss, R.M. Chlamydomonas Sp. UWO 241 Exhibits High Cyclic Electron Flow and Rewired Metabolism under High Salinity. Plant Physiol. 2020, 183, 588–601. [Google Scholar] [CrossRef] [PubMed]
- Morgan-Kiss, R.M.; Ivanov, A.G.; Huner, N.P. The Antarctic Psychrophile, Chlamydomonas Subcaudata, Is Deficient in State I–State II Transitions. Planta 2002, 214, 435–445. [Google Scholar] [CrossRef]
- Szyszka-Mroz, B.; Cvetkovska, M.; Ivanov, A.G.; Smith, D.R.; Possmayer, M.; Maxwell, D.P.; Hüner, N.P.A. Cold-Adapted Protein Kinases and Thylakoid Remodeling Impact Energy Distribution in an Antarctic Psychrophile. Plant Physiol. 2019, 180, 1291–1309. [Google Scholar] [CrossRef]
- Stahl-Rommel, S.; Kalra, I.; D’Silva, S.; Hahn, M.M.; Popson, D.; Cvetkovska, M.; Morgan-Kiss, R.M. Cyclic Electron Flow (CEF) and Ascorbate Pathway Activity Provide Constitutive Photoprotection for the Photopsychrophile, Chlamydomonas Sp. UWO 241 (Renamed Chlamydomonas priscuii). Photosynth. Res. 2021, 151, 235–250. [Google Scholar] [CrossRef] [PubMed]
- Szyszka, B.; Ivanov, A.G.; Hüner, N.P.A. Psychrophily Is Associated with Differential Energy Partitioning, Photosystem Stoichiometry and Polypeptide Phosphorylation in Chlamydomonas raudensis. Biochim. Biophys. Acta BBA—Bioenerg. 2007, 1767, 789–800. [Google Scholar] [CrossRef] [PubMed]
- Chaux, F.; Peltier, G.; Johnson, X. A Security Network in PSI Photoprotection: Regulation of Photosynthetic Control, NPQ and O2 Photoreduction by Cyclic Electron Flow. Front. Plant Sci. 2015, 6, 875. [Google Scholar] [CrossRef] [PubMed]
- Müller, P.; Li, X.-P.; Niyogi, K.K. Non-Photochemical Quenching. A Response to Excess Light Energy. Plant Physiol. 2001, 125, 1558–1566. [Google Scholar] [CrossRef] [PubMed]
- Cvetkovska, M.; Zhang, X.; Vakulenko, G.; Benzaquen, S.; Szyszka-Mroz, B.; Malczewski, N.; Smith, D.R.; Hüner, N.P.A. A Constitutive Stress Response Is a Result of Low Temperature Growth in the Antarctic Green Alga Chlamydomonas sp. UWO241. Plant Cell Environ. 2022, 45, 156–177. [Google Scholar] [CrossRef] [PubMed]
- Hüner, N.P.A.; Szyszka-Mroz, B.; Ivanov, A.G.; Kata, V.; Lye, H.; Smith, D.R. Photosynthetic Adaptation and Multicellularity in the Antarctic Psychrophile, Chlamydomonas priscuii. Algal Res. 2023, 74, 103220. [Google Scholar] [CrossRef]
- Kalra, I.; Wang, X.; Zhang, R.; Morgan-Kiss, R. High Salt-Induced PSI-Supercomplex Is Associated with High CEF and Attenuation of State Transitions. Photosynth. Res. 2023, 157, 65–84. [Google Scholar] [CrossRef]
- Obryk, M.K.; Doran, P.T.; Priscu, J.C. Prediction of Ice-Free Conditions for a Perennially Ice-Covered Antarctic Lake. J. Geophys. Res. Earth Surf. 2019, 124, 686–694. [Google Scholar] [CrossRef]
- Patriarche, J.D.; Priscu, J.C.; Takacs-Vesbach, C.; Winslow, L.; Myers, K.F.; Buelow, H.; Morgan-Kiss, R.M.; Doran, P.T. Year-Round and Long-Term Phytoplankton Dynamics in Lake Bonney, a Permanently Ice-Covered Antarctic Lake. J. Geophys. Res. Biogeosci. 2021, 126, e2020JG005925. [Google Scholar] [CrossRef]
- Sherwell, S.; Kalra, I.; Li, W.; McKnight, D.M.; Priscu, J.C.; Morgan-Kiss, R.M. Antarctic Lake Phytoplankton and Bacteria from Near-Surface Waters Exhibit High Sensitivity to Climate-Driven Disturbance. Environ. Microbiol. 2022, 24, 6017–6032. [Google Scholar] [CrossRef]
- Neale, P.J.; Lesser, M.P.; Cullen, J.J. Effects of Ultraviolet Radiation on the Photosynthesis of Phytoplankton in the Vicinity of Mcmurdo Station, Antarctica. In Ultraviolet Radiation in Antarctica: Measurements and Biological Effects; American Geophysical Union (AGU): Washington, DC, USA, 1994; pp. 125–142. ISBN 978-1-118-66794-1. [Google Scholar]
- Neale, P.J.; Priscu, J.C. The Photosynthetic Apparatus of Phytoplankton from a Perennially Ice-Covered Antarctic Lake: Acclimation to an Extreme Shade Environment. Plant Cell Physiol. 1995, 36, 253–263. [Google Scholar] [CrossRef]
- Morgan-Kiss, R.M.; Ivanov, A.G.; Williams, J.; Khan, M.; Huner, N.P.A. Differential Thermal Effects on the Energy Distribution between Photosystem II and Photosystem I in Thylakoid Membranes of a Psychrophilic and a Mesophilic Alga. Biochim. Biophys. Acta BBA—Biomembr. 2002, 1561, 251–265. [Google Scholar] [CrossRef]
- Anderson, J.M. Photoregulation of the Composition, Function, and Structure of Thylakoid Membranes. Annu. Rev. Plant Physiol. 1986, 37, 93–136. [Google Scholar] [CrossRef]
- Morgan-Kiss, R.M.; Ivanov, A.G.; Pocock, T.; Król, M.; Gudynaite-Savitch, L.; Hüner, N.P.A. The Antarctic Psychrophile, Chlamydomonas raudensis Ettl (Uwo241) (Chlorophyceae, Chlorophyta), Exhibits a Limited Capacity to Photoacclimate to Red Light1. J. Phycol. 2005, 41, 791–800. [Google Scholar] [CrossRef]
- Pocock, T.H.; Koziak, A.; Rosso, D.; Falk, S.; Hüner, N.P.A. Chlamydomonas raudensis (UWO 241), Chlorophyceae, Exhibits the Capacity for Rapid D1 Repair in Response to Chronic Photoinhibition at Low Temperature1. J. Phycol. 2007, 43, 924–936. [Google Scholar] [CrossRef]
- Mehler, A.H. Studies on Reactions of Illuminated Chloroplasts. II. Stimulation and Inhibition of the Reaction with Molecular Oxygen. Arch. Biochem. Biophys. 1951, 34, 339–351. [Google Scholar] [CrossRef]
- Asada, K. Production and Scavenging of Reactive Oxygen Species in Chloroplasts and Their Functions. Plant Physiol. 2006, 141, 391–396. [Google Scholar] [CrossRef]
- Lucker, B.; Kramer, D.M. Regulation of Cyclic Electron Flow in Chlamydomonas reinhardtii under Fluctuating Carbon Availability. Photosynth. Res. 2013, 117, 449–459. [Google Scholar] [CrossRef]
- Munekage, Y.; Hojo, M.; Meurer, J.; Endo, T.; Tasaka, M.; Shikanai, T. PGR5 Is Involved in Cyclic Electron Flow around Photosystem I and Is Essential for Photoprotection in Arabidopsis. Cell 2002, 110, 361–371. [Google Scholar] [CrossRef] [PubMed]
- Munekage, Y.; Hashimoto, M.; Miyake, C.; Tomizawa, K.-I.; Endo, T.; Tasaka, M.; Shikanai, T. Cyclic Electron Flow around Photosystem I Is Essential for Photosynthesis. Nature 2004, 429, 579–582. [Google Scholar] [CrossRef]
- Huang, W.; Yang, Y.-J.; Hu, H.; Zhang, S.-B. Different Roles of Cyclic Electron Flow around Photosystem I under Sub-Saturating and Saturating Light Intensities in Tobacco Leaves. Front. Plant Sci. 2015, 6, 923. [Google Scholar] [CrossRef]
- Huang, W.; Zhang, S.-B.; Xu, J.-C.; Liu, T. Plasticity in Roles of Cyclic Electron Flow around Photosystem I at Contrasting Temperatures in the Chilling-Sensitive Plant Calotropis gigantea. Environ. Exp. Bot. 2017, 141, 145–153. [Google Scholar] [CrossRef]
- Morgan, R.M.; Ivanov, A.G.; Priscu, J.C.; Maxwell, D.P.; Huner, N.P.A. Structure and Composition of the Photochemical Apparatus of the Antarctic Green Alga, Chlamydomonas subcaudata. Photosynth. Res. 1998, 56, 303–314. [Google Scholar] [CrossRef]
- Jeffrey, S.W.; Humphrey, G.F. New Spectrophotometric Equations for Determining Chlorophylls a, b, C1 and C2 in Higher Plants, Algae and Natural Phytoplankton. Biochem. Physiol. Pflanz. 1975, 167, 191–194. [Google Scholar] [CrossRef]
- Baroli, I.; Do, A.D.; Yamane, T.; Niyogi, K.K. Zeaxanthin Accumulation in the Absence of a Functional Xanthophyll Cycle Protects Chlamydomonas reinhardtii from Photooxidative Stress. Plant Cell 2003, 15, 992–1008. [Google Scholar] [CrossRef]







| Control | High Light | |
|---|---|---|
| Growth Rate (h−1) | 0.019 ± 0.002 | 0.023 ± 0.001 * |
| Cell Count (cells/mL) | 2.53 × 106 ± 1.22 × 106 | 1.62 × 106 ± 3.33 × 105 |
| Total Chl. (µg mL−1) | 8.10 ± 2.50 | 2.96 ± 2.08 * |
| Total Chl. (pg/cell) | 7.03 ± 2.85 | 1.05 ± 0.258 * |
| Chl. a:b | 3.65 ± 0.106 | 4.39 ± 0.758 |
| FV/FM | 0.664 ± 0.008 | 0.473 ± 0.060 * |
| Strain/Condition | Light Intensity (μmol m−2 s−1) | Temperature (°C) | Salt Concentration (mM NaCl) |
|---|---|---|---|
| C. reinhardtii (CR) | 50 | 20 | 0.43 |
| UWO241 Control (CT) | 50 | 8 | 0.43 |
| UWO241 Low Temperature (LT) | 50 | 2 | 0.43 |
| UWO241 High Salt (HS) | 50 | 8 | 700 |
| UWO241 High Light (HL) | 250 | 8 | 0.43 |
Disclaimer/Publisher’s Note: The statements, opinions and data contained in all publications are solely those of the individual author(s) and contributor(s) and not of MDPI and/or the editor(s). MDPI and/or the editor(s) disclaim responsibility for any injury to people or property resulting from any ideas, methods, instructions or products referred to in the content. |
© 2024 by the authors. Licensee MDPI, Basel, Switzerland. This article is an open access article distributed under the terms and conditions of the Creative Commons Attribution (CC BY) license (https://creativecommons.org/licenses/by/4.0/).
Share and Cite
Popson, D.; D’Silva, S.; Wheeless, K.; Morgan-Kiss, R. Permanent Stress Adaptation and Unexpected High Light Tolerance in the Shade-Adapted Chlamydomonas priscui. Plants 2024, 13, 2254. https://doi.org/10.3390/plants13162254
Popson D, D’Silva S, Wheeless K, Morgan-Kiss R. Permanent Stress Adaptation and Unexpected High Light Tolerance in the Shade-Adapted Chlamydomonas priscui. Plants. 2024; 13(16):2254. https://doi.org/10.3390/plants13162254
Chicago/Turabian StylePopson, Devon, Susanna D’Silva, Kaylie Wheeless, and Rachael Morgan-Kiss. 2024. "Permanent Stress Adaptation and Unexpected High Light Tolerance in the Shade-Adapted Chlamydomonas priscui" Plants 13, no. 16: 2254. https://doi.org/10.3390/plants13162254
APA StylePopson, D., D’Silva, S., Wheeless, K., & Morgan-Kiss, R. (2024). Permanent Stress Adaptation and Unexpected High Light Tolerance in the Shade-Adapted Chlamydomonas priscui. Plants, 13(16), 2254. https://doi.org/10.3390/plants13162254

