Mixture of Synthetic Plant Volatiles Attracts More Stick Tea Thrips Dendrothrips minowai Priesner (Thysanoptera: Thripidae) and the Application as an Attractant in Tea Plantations
Abstract
1. Introduction
2. Results
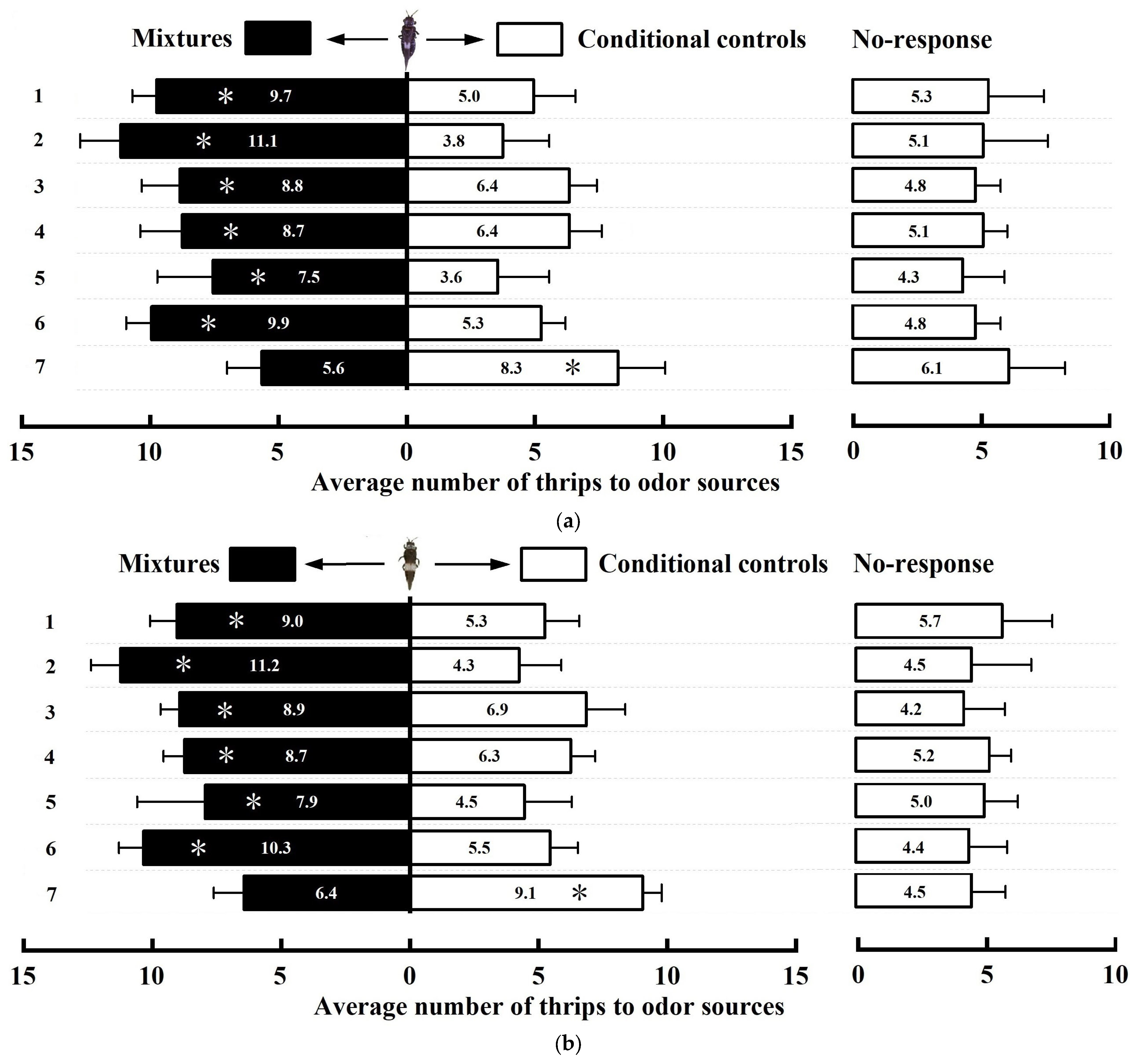
2.1. Behavioral Responses of D. minowai to Odorant Mixtures in the Laboratory
2.2. Field Trapping of D. minowai Using Combinations of p-Anisaldehyde, Eugenol, and Farnesene
2.3. Optimal Dosage of Attractant for Mass Trapping
2.4. The Optimal Attractant (p-Anisaldehyde, Eugenol, and Farnesene) Ratio for Mass Trapping
2.5. Duration of Attractant Efficacy
2.6. Mass Trapping Trials for D. minowai
3. Discussion
4. Materials and Methods
4.1. Thrips
4.2. Reagents
4.3. Olfactometer Bioassays
4.4. Field Tests
4.5. Statistical Analysis
5. Conclusions
Supplementary Materials
Author Contributions
Funding
Data Availability Statement
Acknowledgments
Conflicts of Interest
References
- Lei, M.; Yuan, X.Y.; Yao, X.Y. Synthesize dual goals: A study on China’s ecological poverty alleviation system. J. Integr. Agric. 2021, 20, 1042–1059. [Google Scholar] [CrossRef]
- Shen, J.; Chou, R.J. Rural revitalization of Xiamei: The development experiences of integrating tea tourism with ancient village preservation. J. Rural Stud. 2022, 90, 42–52. [Google Scholar] [CrossRef]
- Chen, Z.M.; Cai, X.M.; Zhou, L.; Bian, L.; Luo, Z.X. Developments on tea plant pest control in past 40 years in China. China Tea 2020, 42, 1–8. (In Chinese) [Google Scholar]
- Chen, Z.M.; Zhou, L.; Yang, M.; Luo, F.J.; Lou, Z.Y.; Zhang, X.Z.; Sun, H.Z.; Wang, X.R. Index design and safety evaluation of pesticides application based on a fuzzy AHP model for beverage crops: Tea as a case study. Pest Manag. Sci. 2020, 76, 520–526. [Google Scholar] [CrossRef]
- Barooah, A.K.; Borthakur, M.; Kalita, J.N.; Hussain, T.; Chaudhury, K.; Nath, R. Pesticide residues in tea and their intake assessment using brew factor. J. Tea Sci. 2011, 31, 419–426. [Google Scholar]
- Cho, S.K.; Abd El-Aty, A.M.; Rahman, M.M.; Choi, J.H.; Shim, J.H. Simultaneous multi-determination and transfer of eight pesticide residues from green tea leaves to infusion using gas chromatography. Food Chem. 2014, 165, 532–539. [Google Scholar] [CrossRef]
- Chen, Z.M. Chemical Ecology of Tea Pests; Shanghai Scientific and Technical Publishers: Shanghai, China, 2005; pp. 1–14. [Google Scholar]
- Lü, X.T.; Zhou, X.S.; Zou, J.T.; Xin, Z.J.; Cai, X.M.; Luo, X.P.; Cai, H.B.; Bian, L. Effect of indole treatment on the resistance to tea tree tea leafhopper Empoasca onukii. J. Plant Prot. 2024, 51, 114–122. [Google Scholar]
- Lyu, Z.Y.; Zhi, J.R.; Zhou, Y.F.; Meng, Z.H.; Zhang, J.; Yang, G.M. Scanning electron microscopic observations of antennal sensilla of tea stick thrips (Dendrothrips minowai Priesner). J. Tea Sci. 2015, 35, 185–195. [Google Scholar]
- Lun, X.Y.; Xu, X.X.; Zhang, Y.; Zhang, R.R.; Cao, Y.; Zhang, X.Z.; Jin, M.N.; Zhang, Z.Q.; Zhao, Y.H. An antennae-enriched odorant-binding protein EonuOBP43 mediate the behavioral response of the tea green leafhopper, Empoasca onukii Matsuda to the host and nonhost volatiles. J. Agric. Food Chem. 2023, 71, 20000–20010. [Google Scholar] [CrossRef]
- Tewary, D.K.; Kumar, V.; Ravindranath, S.D.; Shanker, A. Dissipation behavior of bifenthrin residues in tea and its brew. Food Control 2005, 16, 231–237. [Google Scholar] [CrossRef]
- Ye, G.Y.; Xiao, Q.; Chen, M.; Chen, X.X.; Yuan, Z.J.; Stanley, D.M.; Hu, C. Tea: Biological control of insect and mite pests in China. Biol. Control 2014, 68, 73–91. [Google Scholar] [CrossRef]
- Szendrei, Z.; Rodriguez-Saona, C. A meta-analysis of insect pest behavioral manipulation with plant volatiles. Entomol. Exp. Et Appl. 2010, 134, 201–210. [Google Scholar] [CrossRef]
- Dahlin, I.; Rubene, D.; Glinwood, R.; Ninkovic, V. Pest suppression in cultivar mixtures is influenced by neighbor-specific plant-plant communication. Ecol. Appl. 2018, 28, 2187–2196. [Google Scholar] [CrossRef]
- Lu, Y.H.; Zhang, Y.J.; Wu, K.M. Host-plant selection mechanisms and behavioral manipulation strategies of phytophagous insects. Acta Ecol. Sin. 2008, 10, 5113–5122. [Google Scholar]
- Nyasembe, V.O.; Torto, B. Volatile phytochemicals as mosquito semiochemicals. Phytochem. Lett. 2014, 8, 196–201. [Google Scholar] [CrossRef]
- Gregg, P.C.; Del Socorro, A.P.; Hawes, A.J.; Binns, M.R. Developing bisexual attract-and-kill for polyphagous insects: Ecological rationale versus pragmatics. J. Chem. Ecol. 2016, 42, 666–675. [Google Scholar] [CrossRef]
- Gregg, P.C.; Del Socorro, A.P.; Landolt, P.J. Advances in attract-and-kill for agricultural pests: Beyond pheromones. Annu. Rev. Entomol. 2018, 63, 453–470. [Google Scholar] [CrossRef]
- Patt, J.M.; George, J.; Markle, L.; Moreno, A.T.; Sétamou, M.; Rivera, M.; Stelinski, L. Field evaluation of attract-and-kill devices for control of Asian citrus psyllid (Hemiptera: Liviidae) in urban landscapes. Fla. Entomol. 2023, 106, 248–256. [Google Scholar] [CrossRef]
- Hasnain, M.; Saeed, S.; Naeem-Ullah, U.; Ullah, S. Development of synthetic food baits for mass trapping of Bactrocera zonata S. (Diptera: Tephritidae). J. King Saud Univ. Sci. 2022, 34, 101667. [Google Scholar] [CrossRef]
- Mostafiz, M.M.; Hassan, E.; Lee, K.Y. Methyl benzoate as a promising, environmentally safe insecticide: Current status and future perspectives. Agriculture 2022, 12, 378. [Google Scholar] [CrossRef]
- Tóth, M.; Szarukán, I.; Dorogi, B.; Gulyás, A.; Nagy, P.; Rozgonyi, Z. Male and female Noctuid moths attracted to synthetic lures in Europe. J. Chem. Ecol. 2010, 36, 592–598. [Google Scholar] [CrossRef] [PubMed]
- Toledo-Hernandez, R.A.; Lasa, R.; Montoya, P.; Liedo, P.; Rodríguez, D.; Sanchez, A.; Toledo, J. Efficacy of food-based attractants for monitoring Drosophila suzukii (Diptera: Drosophilidae) in berry crops. Crop Prot. 2021, 150, 105797. [Google Scholar] [CrossRef]
- Ren, Y.L.; Wang, T.; Jiang, Y.J.; Chen, P.C.; Tang, J.; Wang, J.; Jin, D.C.; Guo, J.J. Research of synergistic substances on tobacco beetle [Lasioderma serricorne (Fabricius) (Coleoptera: Anobiidae)] adults attractants. Front. Chem. 2022, 10, 921113. [Google Scholar] [CrossRef] [PubMed]
- Lyu, Z.Y.; Zhi, J.R.; Zhou, Y.F.; Meng, Z.H.; Wen, J. Population genetic structure and migration patterns of Dendrothrips minowai (Thysanoptera: Thripidae) in Guizhou, China. Entomol. Sci. 2017, 20, 127–136. [Google Scholar] [CrossRef]
- Nakai, M.; Lacey, L.A. Microbial control of insect pests of tea and coffee. Microb. Control Insect Mite Pests 2017, 15, 223–235. [Google Scholar]
- Xiu, C.L.; Pan, H.S.; Zhang, F.G.; Luo, Z.X.; Bian, L.; Li, Z.Q.; Fu, N.X.; Zhou, L.; Magsi, F.H.; Cai, X.M.; et al. Identification of aggregation pheromones released by the stick tea thrips (Dendrothrips minowai) larvae and their application for controlling thrips in tea plantations. Pest Manag. Sci. 2024, 80, 2528–2538. [Google Scholar] [CrossRef] [PubMed]
- Xiu, C.L.; Zhang, F.G.; Pan, H.S.; Bian, L.; Luo, Z.X.; Li, Z.; Fu, N.X.; Cai, X.M.; Chen, Z.M. Evaluation of selected plant volatiles as attractants for the stick tea thrip Dendrothrips minowai in the laboratory and tea plantation. Insects 2022, 13, 509. [Google Scholar] [CrossRef] [PubMed]
- Liu, S.Y.; Zhao, J.; Hamada, C.; Cai, W.L.; Khan, M.; Zou, Y.L.; Hua, H.X. Identification of attractants from plant essential oils for Cyrtorhinus lividipennis, an important predator of rice plant hoppers. J. Pest Sci. 2019, 92, 769–780. [Google Scholar] [CrossRef]
- Li, P.Y.; Zhu, J.W.; Qin, Y.C. Enhanced attraction of Plutella xylostella (Lepidoptera: Plutellidae) to pheromone-baited traps with the addition of green leaf volatiles. J. Econ. Entomol. 2012, 105, 1149–1156. [Google Scholar] [CrossRef]
- Kirk, W.D.J.; de Kogel, W.J.; Koschier, E.H.; Teulon, D.A.J. Semiochemicals for thrips and their use in pest management. Annu. Rev. Entomol. 2021, 66, 101–119. [Google Scholar] [CrossRef]
- Demirozer, O.; Tyler-Julian, K.; Funderburk, J.; Leppla, N.; Reitz, S. Frankliniella occidentalis (Pergande) integrated pest management programs for fruiting vegetables in Florida. Pest Manag. Sci. 2012, 68, 1537–1545. [Google Scholar] [CrossRef] [PubMed]
- Egger, B.; Spangl, B.; Koschier, E.H. Continuous exposure to the deterrents cis-jasmone and methyl jasmonate does not alter the behavioural responses of Frankliniella occidentalis. Entomol. Exp. Et Appl. 2016, 158, 78–86. [Google Scholar] [CrossRef] [PubMed]
- Tian, H.J.; Chen, Y.X.; Chen, Y.; Chen, X.Q.; Lin, S.; Zhang, J.; Yang, G.; Wei, H. A mixture of p-anisaldehyde and ethyl nicotinate elicits positive antennal and behavioral responses in Frankliniella occidentalis. Entomol. Exp. Appl. 2022, 170, 603–611. [Google Scholar] [CrossRef]
- El-Sayed, A.M.; Mitchell, V.J.; Suckling, D.M. 6-Pentyl-2H-pyran-2-one: A potent peach-derived kairomone for New Zealand flower thrips, Thrips obscuratus. J. Chem. Ecol. 2014, 40, 50–55. [Google Scholar] [CrossRef] [PubMed]
- Liu, Y.Q.; Luo, Y.N.; Du, L.X.; Ban, L.P. Antennal transcriptome analysis of olfactory genes and characterization of odorant binding proteins in Odontothrips loti (Thysanoptera: Thripidae). Int. J. Mol. Sci. 2023, 24, 5284. [Google Scholar] [CrossRef] [PubMed]
- Binyameen, M.; Ejaz, M.; Shad, S.A.; Razaq, M.; Shah, R.M.; Schlyter, F. Eugenol, a plant volatile, synergizes the effect of the thrips attractant, ethyl iso-nicotinate. Environ. Entomol. 2018, 47, 1560–1564. [Google Scholar] [CrossRef] [PubMed]
- Bayoumy, M.H.; El-Metwally, M.M.; El-Adly, R.A.; Majerus, T.M.O. Improving the lifetime efficiency of trimedlure-dispensing system in trapping the fruit fly Ceratitis capitata using polyethylene matrix. J. Econ. Entomol. 2020, 113, 315–320. [Google Scholar] [CrossRef] [PubMed]
- Martínez, N.B.; Romero, V.C.M.; Riquelme, C.P.I.; Carrasco, J.V. Attraction of Frankliniella gossypiana to blue sticky traps with different doses of neryl (S)-2-methylbutanoate. Southwest. Entomol. 2022, 47, 203–210. [Google Scholar] [CrossRef]
- Luo, Z.X.; Magsi, D.H.; Li, Z.Q.; Cai, X.M.; Bian, L.; Liu, Y.; Xin, Z.J.; Xiu, C.L.; Chen, Z.M. Development and evaluation of sex pheromone mass trapping technology for Ectropis grisescens: A potential integrated pest management strategy. Insects 2020, 11, 15. [Google Scholar] [CrossRef]
- Zhu, X.; Li, L.; Hsiang, T.; Zha, Y.P.; Zhou, Z.X.; Chen, R.; Wang, X.; Wu, Q.L.; Li, J.K. Chemical composition and attractant activity of volatiles from Rhus potaniniito the spring aphid Kaburagia rhusicola. Molecules 2020, 25, 3412. [Google Scholar] [CrossRef]
- Liu, M.Z. The Attraction of Nine Host Plant Volatiles to Female Bactrocera dorsalis (Hendel). Master’s Thesis, Yunnan Agricultural University, Kunming, China, 2023. (In Chinese). [Google Scholar]
- Flores, S.; Gómez-Escobar, E.; Liedo, P.; Toledo, J.; Montoya, P. Density estimation and optimal sterile-to-wild ratio to induce sterility in Anastrepha obliqua populations. Entomol. Exp. Et Appl. 2017, 164, 284–290. [Google Scholar] [CrossRef]
- Lehmann, A.T.; Brewer, G.J.; Boxler, D.J.; Zhu, J.W.J.; Hanford, K.; Taylor, D.; Kenar, J.A.; Cermak, S.C.; Hogsette, J.A. A push-pull strategy to suppress stable fly (Diptera: Muscidae) attacks on pasture cattle via a coconut oil fatty acid repellent formulation and traps with m-cresol lures. Pest Manag. Sci. 2023, 79, 3050–3057. [Google Scholar] [CrossRef] [PubMed]
- Zhang, F.G.; Cai, X.M.; Jin, L.M.; Yang, G.J.; Luo, Z.X.; Bian, L.; Li, Z.Q.; Fu, N.X.; Chen, Z.M.; Wang, G.C.; et al. Activity patterns, population dynamics, and spatial distribution of the stick tea thrips, Dendrothrips minowai, in tea plantations. Insects 2023, 14, 152. [Google Scholar] [CrossRef] [PubMed]
- SAS Institute Inc. SAS/STAT 9.1 User’s Guide (Volumes 1–7); SAS Institute Inc.: Cary, NC, USA, 2004. [Google Scholar]





| Location | Treatments | No. of Thrips before Traps Placed | 7 Days after Traps Placed | 15 Days after Traps Placed | ||||
|---|---|---|---|---|---|---|---|---|
| No. of Thrips | Reduced Percent (%) | Control Effect (%) | No. of Thrips | Reduced Percent (%) | Control Effect (%) | |||
| Shaoxing | Traps baited with lures of attractant | 148.8 ± 29.03 a | 92.6 ± 15.63 a | 37.0 ± 8.72 c | 68.7 ± 4.33 b | 36.6 ± 18.97 a | 75.6 ± 13.14 b | 70.7 ± 15.73 b |
| Traps baited with lures of solvent | 140.8 ± 34.34 a | 198.4 ± 25.54 b | −44.3 ± 16.42 b | 28.3 ± 8.16 a | 99.4 ± 16.69 b | 28.3 ± 6.24 a | 14.2 ± 7.47 a | |
| Blank control | 164.0 ± 28.14 a | 322.6 ± 26.67 c | −101.2 ± 28.64 a | 132.8 ± 15.80 c | 16.4 ± 17.94 a | |||
| Hangzhou | Traps baited with lures of attractant | 140.8 ± 38.63 a | 113.6 ± 10.09 a | 16.4 ± 14.55 c | 57.0 ± 7.48 b | 54.4 ± 13.46 a | 59.4 ± 14.83 b | 62.8 ± 13.58 b |
| Traps baited with lures of solvent | 139.2 ± 31.96 a | 194.6 ± 54.05 b | −38.9 ± 15.60 b | 28.6 ± 8.02 a | 119.8 ± 30.63 b | 14.5 ± 8.34 a | 21.7 ± 7.64 a | |
| Blank control | 163.2 ± 28.6 a | 304.2 ± 40.15 c | −94.6 ± 51.04 a | 171.0 ± 30.22 c | −9.2 ± 30.09 a | |||
| Wenzhou | Traps baited with lures of attractant | 149.0 ± 26.96 a | 70.2 ± 12.62 a | 52.2 ± 7.55 c | 57.5 ± 6.69 b | 54.8 ± 13.29 a | 63.3 ± 6.54 c | 68.7 ± 5.57 b |
| Traps baited with lures of solvent | 179.2 ± 23.95 b | 140.6 ± 25.21 b | 21.9 ± 4.51 b | 30.7 ± 4.00 a | 135.6 ± 25.67 b | 24.3 ± 7.86 b | 35.4 ± 6.70 a | |
| Blank control | 146.4 ± 8.26 a | 163.6 ± 32.43 c | −12.7 ± 24.80 a | 170.8 ± 32.63 c | −17.32 ± 24.86 a | |||
Disclaimer/Publisher’s Note: The statements, opinions and data contained in all publications are solely those of the individual author(s) and contributor(s) and not of MDPI and/or the editor(s). MDPI and/or the editor(s) disclaim responsibility for any injury to people or property resulting from any ideas, methods, instructions or products referred to in the content. |
© 2024 by the authors. Licensee MDPI, Basel, Switzerland. This article is an open access article distributed under the terms and conditions of the Creative Commons Attribution (CC BY) license (https://creativecommons.org/licenses/by/4.0/).
Share and Cite
Xu, Z.; Zhang, G.; Qiu, Y.; Luo, Z.; Cai, X.; Li, Z.; Bian, L.; Fu, N.; Zhou, L.; Magsi, F.H.; et al. Mixture of Synthetic Plant Volatiles Attracts More Stick Tea Thrips Dendrothrips minowai Priesner (Thysanoptera: Thripidae) and the Application as an Attractant in Tea Plantations. Plants 2024, 13, 1944. https://doi.org/10.3390/plants13141944
Xu Z, Zhang G, Qiu Y, Luo Z, Cai X, Li Z, Bian L, Fu N, Zhou L, Magsi FH, et al. Mixture of Synthetic Plant Volatiles Attracts More Stick Tea Thrips Dendrothrips minowai Priesner (Thysanoptera: Thripidae) and the Application as an Attractant in Tea Plantations. Plants. 2024; 13(14):1944. https://doi.org/10.3390/plants13141944
Chicago/Turabian StyleXu, Zhengwei, Guowei Zhang, Yan Qiu, Zongxiu Luo, Xiaoming Cai, Zhaoqun Li, Lei Bian, Nanxia Fu, Li Zhou, Fida Hussain Magsi, and et al. 2024. "Mixture of Synthetic Plant Volatiles Attracts More Stick Tea Thrips Dendrothrips minowai Priesner (Thysanoptera: Thripidae) and the Application as an Attractant in Tea Plantations" Plants 13, no. 14: 1944. https://doi.org/10.3390/plants13141944
APA StyleXu, Z., Zhang, G., Qiu, Y., Luo, Z., Cai, X., Li, Z., Bian, L., Fu, N., Zhou, L., Magsi, F. H., Chen, Z., Zhang, X., & Xiu, C. (2024). Mixture of Synthetic Plant Volatiles Attracts More Stick Tea Thrips Dendrothrips minowai Priesner (Thysanoptera: Thripidae) and the Application as an Attractant in Tea Plantations. Plants, 13(14), 1944. https://doi.org/10.3390/plants13141944

