The Growth–Climate Relationships of Three Dominant Subalpine Conifers on the Baima Snow Mountain in the Southeastern Tibetan Plateau
Abstract
1. Introduction
2. Materials and Methods
2.1. Study Area
2.2. Climate Data
2.3. Tree-Ring Sampling and Processing
2.4. Chronology Development
2.5. Growth–Climate Relationships
3. Results
3.1. Climate Drivers at Monthly and Seasonal Scale
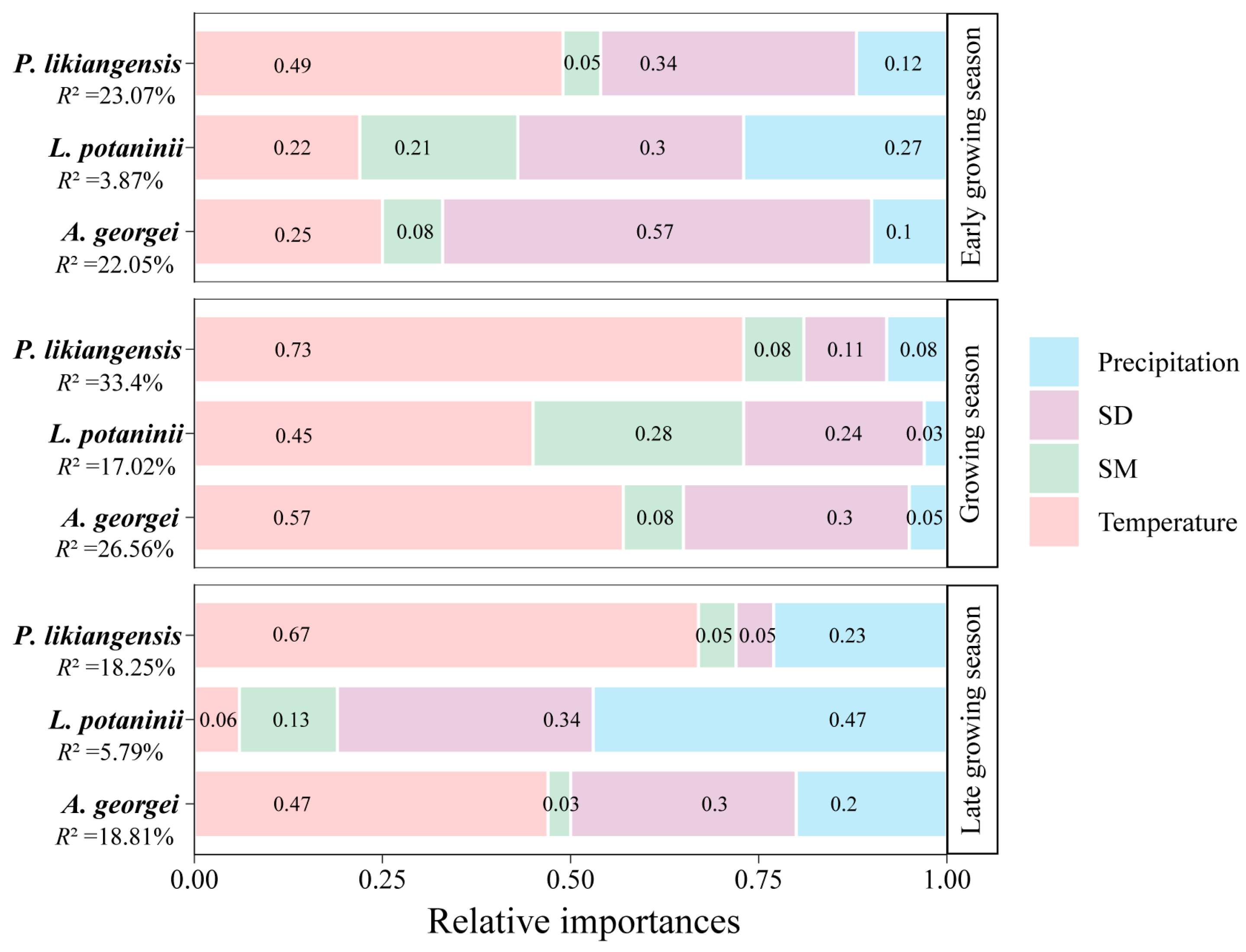
3.2. Relative Importance of Climate Variables
3.3. Growth–Climate Relationships at Inter-Annual Scale
4. Discussion
4.1. Common Response
4.2. Species-Specific Response
4.3. Dynamics of Growth–Climate Relationships
5. Conclusions
Supplementary Materials
Author Contributions
Funding
Data Availability Statement
Acknowledgments
Conflicts of Interest
References
- Richardson, A.D.; Keenan, T.F.; Migliavacca, M.; Ryu, Y.; Sonnentag, O.; Toomey, M. Climate Change, Phenology, and Phenological Control of Vegetation Feedbacks to the Climate System. Agric. For. Meteorol. 2013, 169, 156–173. [Google Scholar] [CrossRef]
- Yang, B.; He, M.; Shishov, V.; Tychkov, I.; Vaganov, E.; Rossi, S.; Ljungqvist, F.C.; Bräuning, A.; Grießinger, J. New Perspective on Spring Vegetation Phenology and Global Climate Change Based on Tibetan Plateau Tree-Ring Data. Proc. Natl. Acad. Sci. USA 2017, 114, 6966–6971. [Google Scholar] [CrossRef]
- Aber, J.; Neilson, R.P.; McNulty, S.; Lenihan, J.M.; Bachelet, D.; Drapek, R.J. Forest Processes and Global Environmental Change: Predicting the Effects of Individual and Multiple Stressors. BioScience 2001, 51, 735–751. [Google Scholar] [CrossRef]
- Fang, O.; Zhang, Q.-B.; Vitasse, Y.; Zweifel, R.; Cherubini, P. The Frequency and Severity of Past Droughts Shape the Drought Sensitivity of Juniper Trees on the Tibetan Plateau. For. Ecol. Manag. 2021, 486, 118968. [Google Scholar] [CrossRef]
- Schnabel, F.; Purrucker, S.; Schmitt, L.; Engelmann, R.A.; Kahl, A.; Richter, R.; Seele-Dilbat, C.; Skiadaresis, G.; Wirth, C. Cumulative Growth and Stress Responses to the 2018–2019 Drought in a European Floodplain Forest. Glob. Chang. Biol. 2022, 28, 1870–1883. [Google Scholar] [CrossRef]
- Zeng, X.; Evans, M.N.; Liu, X.; Wang, W.; Xu, G.; Wu, G.; Zhang, L. Spatial Patterns of Precipitation-Induced Moisture Availability and Their Effects on the Divergence of Conifer Stem Growth in the Western and Eastern Parts of China’s Semi-Arid Region. For. Ecol. Manag. 2019, 451, 117524. [Google Scholar] [CrossRef]
- Shestakova, T.A.; Gutiérrez, E.; Valeriano, C.; Lapshina, E.; Voltas, J. Recent Loss of Sensitivity to Summer Temperature Constrains Tree Growth Synchrony among Boreal Eurasian Forests. Agric. For. Meteorol. 2019, 268, 318–330. [Google Scholar] [CrossRef]
- Peterson, D.W.; Peterson, D.L. Mountain Hemlock Growth Responds to Climatic Variability at Annual and Decadal Time Scales. Ecology 2001, 82, 3330–3345. [Google Scholar] [CrossRef]
- Maes, S.L.; Perring, M.P.; Vanhellemont, M.; Depauw, L.; Van den Bulcke, J.; Brūmelis, G.; Brunet, J.; Decocq, G.; den Ouden, J.; Härdtle, W.; et al. Environmental Drivers Interactively Affect Individual Tree Growth across Temperate European Forests. Glob. Chang. Biol. 2019, 25, 201–217. [Google Scholar] [CrossRef]
- Harvey, J.E.; Smiljanić, M.; Scharnweber, T.; Buras, A.; Cedro, A.; Cruz-García, R.; Drobyshev, I.; Janecka, K.; Jansons, Ā.; Kaczka, R.; et al. Tree Growth Influenced by Warming Winter Climate and Summer Moisture Availability in Northern Temperate Forests. Glob. Chang. Biol. 2020, 26, 2505–2518. [Google Scholar] [CrossRef]
- Liang, E.; Shao, X.; Eckstein, D.; Liu, X. Spatial Variability of Tree Growth along a Latitudinal Transect in the Qilian Mountains, Northeastern Tibetan Plateau. Can. J. For. Res. 2010, 40, 200–211. [Google Scholar] [CrossRef]
- Villalba, R.; Veblen, T.T.; Ogden, J. Climatic Influences on the Growth of Subalpine Trees in the Colorado Front Range. Ecology 1994, 75, 1450–1462. [Google Scholar] [CrossRef]
- Andreassen, K.; Solberg, S.; Tveito, O.E.; Lystad, S.L. Regional Differences in Climatic Responses of Norway Spruce (Picea abies L. Karst) Growth in Norway. For. Ecol. Manag. 2006, 222, 211–221. [Google Scholar] [CrossRef]
- Zuidema, P.A.; Baker, P.J.; Groenendijk, P.; Schippers, P.; van der Sleen, P.; Vlam, M.; Sterck, F. Tropical Forests and Global Change: Filling Knowledge Gaps. Trends Plant Sci. 2013, 18, 413–419. [Google Scholar] [CrossRef]
- Liu, B.; Yang, W.Q.; Wu, F.Z. Advances in the Subalpine Forest Ecosystem Processes. Acta Ecol. Sin. 2010, 30, 4476–4483. [Google Scholar]
- Álvarez, C.; Veblen, T.T.; Christie, D.A.; González-Reyes, Á. Relationships between Climate Variability and Radial Growth of Nothofagus pumilio near Altitudinal Treeline in the Andes of Northern Patagonia, Chile. For. Ecol. Manag. 2015, 342, 112–121. [Google Scholar] [CrossRef]
- Diego Galván, J.; Büntgen, U.; Ginzler, C.; Grudd, H.; Gutiérrez, E.; Labuhn, I.; Julio Camarero, J. Drought-Induced Weakening of Growth–Temperature Associations in High-Elevation Iberian Pines. Glob. Planet. Chang. 2015, 124, 95–106. [Google Scholar] [CrossRef]
- Liang, E.; Dawadi, B.; Pederson, N.; Eckstein, D. Is the Growth of Birch at the Upper Timberline in the Himalayas Limited by Moisture or by Temperature? Ecology 2014, 95, 2453–2465. [Google Scholar] [CrossRef]
- Kharal, D.K.; Thapa, U.K.; George, S.S.; Meilby, H.; Rayamajhi, S.; Bhuju, D.R. Tree-Climate Relations along an Elevational Transect in Manang Valley, Central Nepal. Dendrochronologia 2017, 41, 57–64. [Google Scholar] [CrossRef]
- Salzer, M.W.; Hughes, M.K.; Bunn, A.G.; Kipfmueller, K.F. Recent Unprecedented Tree-Ring Growth in Bristlecone Pine at the Highest Elevations and Possible Causes. Proc. Natl. Acad. Sci. USA 2009, 106, 20348–20353. [Google Scholar] [CrossRef]
- Shah, S.K.; Pandey, U.; Mehrotra, N.; Wiles, G.C.; Chandra, R. A Winter Temperature Reconstruction for the Lidder Valley, Kashmir, Northwest Himalaya Based on Tree-Rings of Pinus wallichiana. Clim. Dyn. 2019, 53, 4059–4075. [Google Scholar] [CrossRef]
- Liu, Q.; Pang, X.Y.; Xiang, S.; Pan, K.W. Restoration of Degraded Alpine and Subalpine Forest Ecosystems at Different Stages of Succession in Southwestern China. Chin. J. Appl. Environ. Biol. 2021, 27, 513–518. [Google Scholar]
- Panthi, S.; Fan, Z.; Sleen, P.; Zuidema, P.A. Long-term Physiological and Growth Responses of Himalayan Fir to Environmental Change Are Mediated by Mean Climate. Glob. Chang. Biol. 2020, 26, 1778–1794. [Google Scholar] [CrossRef]
- Keyimu, M.; Li, Z.; Liu, G.; Fu, B.; Fan, Z.; Wang, X.; Wu, X.; Zhang, Y.; Halik, U. Tree-Ring Based Minimum Temperature Reconstruction on the Southeastern Tibetan Plateau. Quat. Sci. Rev. 2021, 251, 106712. [Google Scholar] [CrossRef]
- Du, Q.; Rossi, S.; Lu, X.; Wang, Y.; Zhu, H.; Liang, E.; Camarero, J.J. Negative Growth Responses to Temperature of Sympatric Species Converge under Warming Conditions on the Southeastern Tibetan Plateau. Trees 2021, 34, 395–404. [Google Scholar] [CrossRef]
- Yang, L.; Cui, G.; Zhao, W.; Zhang, Z.; Luo, T.; Zhang, L. Sensitivity of Radial Growth of Subalpine Conifer Trees to Climate Warming on the Southeastern Tibetan Plateau. Glob. Ecol. Conserv. 2023, 43, e02470. [Google Scholar] [CrossRef]
- Zhang, Y.; Yin, D.; Sun, M.; Wang, H.; Tian, K.; Xiao, D.; Zhang, W. Variations of Climate-Growth Response of Major Conifers at Upper Distributional Limits in Shika Snow Mountain, Northwestern Yunnan Plateau, China. Forests 2017, 8, 377. [Google Scholar] [CrossRef]
- Climatic Research Unit. Available online: https://crudata.uea.ac.uk/cru/data/hrg (accessed on 20 November 2023).
- National Meteorological Information Centre of China Home Page. Available online: http://data.cma.cn/ (accessed on 17 December 2023).
- Goddard Earth Sciences Data and Information Services Center (GES DISC). Available online: https://disc.gsfc.nasa.gov/datasets/GLDAS_CLSM025_D_2.0/summary (accessed on 18 December 2023).
- Holmes, R.L. Computer-Assisted Quality Control in Tree-Ring Dating and Measurement. Tree-Ring Bull. 1983, 43, 69–78. [Google Scholar]
- Bigler, C.; Bugmann, H. Growth-Dependent Tree Mortality Models Based on Tree Rings. Can. J. For. Res. 2003, 33, 210–221. [Google Scholar] [CrossRef]
- Biondi, F.; Qeadan, F. A Theory-Driven Approach to Tree-Ring Standardization: Defining the Biological Trend from Expected Basal Area Increment. Tree-Ring Res. 2008, 64, 81–96. [Google Scholar] [CrossRef]
- Bunn, A.G. A Dendrochronology Program Library in R (dplR). Dendrochronologia 2008, 26, 115–124. [Google Scholar] [CrossRef]
- Girardin, M.P.; Bouriaud, O.; Hogg, E.H.; Kurz, W.; Zimmermann, N.E.; Metsaranta, J.M.; De Jong, R.; Frank, D.C.; Esper, J.; Büntgen, U.; et al. No Growth Stimulation of Canada’s Boreal Forest under Half-Century of Combined Warming and CO2 Fertilization. Proc. Natl. Acad. Sci. USA 2016, 113, E8406–E8414. [Google Scholar] [CrossRef]
- Stasinopoulos, M. Generalized Additive Models: An Introduction with R. by S. N. Wood. Biometrics 2007, 63, 1298–1299. [Google Scholar] [CrossRef]
- Yang, R.; Fu, P.; Fan, Z.; Panthi, S.; Gao, J.; Niu, Y.; Li, Z.; Bräuning, A. Growth-Climate Sensitivity of Two Pine Species Shows Species-Specific Changes along Temperature and Moisture Gradients in Southwest China. Agric. For. Meteorol. 2022, 318, 108907. [Google Scholar] [CrossRef]
- Biondi, F.; Waikul, K. DENDROCLIM2002: A C++ Program for Statistical Calibration of Climate Signals in Tree-Ring Chronologies. Comput. Geosci. 2004, 30, 303–311. [Google Scholar] [CrossRef]
- Fritts, H.C.; Smith, D.G.; Cardis, J.W.; Budelsky, C.A. Tree-Ring Characteristics Along a Vegetation Gradient in Northern Arizona. Ecology 1965, 46, 393–401. [Google Scholar] [CrossRef]
- Groemping, U. Relative Importance for Linear Regression in R: The Package Relaimpo. J. Stat. Softw. 2007, 17, 1–27. [Google Scholar]
- Balducci, L.; Cuny, H.E.; Rathgeber, C.B.K.; Deslauriers, A.; Giovannelli, A.; Rossi, S. Compensatory Mechanisms Mitigate the Effect of Warming and Drought on Wood Formation. Plant Cell Environ. 2016, 39, 1338–1352. [Google Scholar] [CrossRef]
- Yu, B.Y.; Tang, J.L.; Wei, H.Y.; Hu, B.Q.; Su, H.X. Radial Growth of Pinus yunnanensis var. tenuifolia and Its Response to Climatic Factors in Jinzhongshan, Guangxi. Guihaia 2023, 43, 1568–1577. [Google Scholar]
- Panthi, S.; Bräuning, A.; Zhou, Z.K.; Fan, Z.X. Growth Response of Abies georgei to Climate Increases with Elevation in the Central Hengduan Mountains, Southwestern China. Dendrochronologia 2018, 47, 1–9. [Google Scholar] [CrossRef]
- Zhang, Y.; Yin, D.C.; Tian, K.; He, R.H.; He, M.Z.; LI, Y.C.; Sun, D.C.; Zhang, W.G. Relationship Between Radial Growth of Abies georgei and Climate Factors at Different Altitudes on the Eastern Slope of Yulong Snow Mountain, China. Chin. J. Appl. Ecol. 2018, 29, 2355–2361. [Google Scholar]
- Huang, J.G.; Ma, Q.; Rossi, S.; Biondi, F.; Deslauriers, A.; Fonti, P.; Liang, E.; Mäkinen, H.; Oberhuber, W.; Rathgeber, C.B.K.; et al. Photoperiod and Temperature as Dominant Environmental Drivers Triggering Secondary Growth Resumption in Northern Hemisphere Conifers. Proc. Natl. Acad. Sci. USA 2020, 117, 20645–20652. [Google Scholar] [CrossRef]
- Duchesne, L.; Houle, D.; D’Orangeville, L. Influence of Climate on Seasonal Patterns of Stem Increment of Balsam Fir in a Boreal Forest of Québec, Canada. Agric. For. Meteorol. 2012, 162–163, 108–114. [Google Scholar] [CrossRef]
- Zhou, P.; Huang, J.G.; Liang, H.; Rossi, S.; Bergeron, Y.; Shishov, V.V.; Jiang, S.; Kang, J.; Zhu, H.; Dong, Z. Radial Growth of Larix sibirica Was More Sensitive to Climate at Low than High Altitudes in the Altai Mountains, China. Agric. For. Meteorol. 2021, 304–305, 108392. [Google Scholar] [CrossRef]
- Graumlich, L.J. Subalpine Tree Growth, Climate, and Increasing CO2: An Assessment of Recent Growth Trends. Ecology 1991, 72, 1–11. [Google Scholar] [CrossRef]
- Fan, Z.X.; Bräuning, A. Tree-Ring Evidence for the Historical Cyclic Defoliator Outbreaks on Larix potaninii in the Central Hengduan Mountains, SW China. Ecol. Indic. 2017, 74, 160–171. [Google Scholar] [CrossRef]
- Dawadi, B.; Liang, E.; Tian, L.; Devkota, L.P.; Yao, T. Pre-Monsoon Precipitation Signal in Tree Rings of Timberline Betula Utilis in the Central Himalayas. Quat. Int. 2013, 283, 72–77. [Google Scholar] [CrossRef]
- Zhang, Y.; Yin, D.C.; Zhang, W.G.; Yue, H.T.; Du, J.; Li, Q.P.; Yang, R.; Tian, K. Response of Radial Growth of Two Conifers to Temperature and Precipitation in Potatso National Park, Southwest China. Acta Ecol. Sin. 2018, 38, 5383–5392. [Google Scholar]
- Rossi, S.; Deslauriers, A.; Anfodillo, T.; Morin, H.; Saracino, A.; Motta, R.; Borghetti, M. Conifers in Cold Environments Synchronize Maximum Growth Rate of Tree-Ring Formation with Day Length. New Phytol. 2006, 170, 301–310. [Google Scholar] [CrossRef]
- Gričar, J.; Čufar, K.; Oven, P.; Schmitt, U. Differentiation of Terminal Latewood Tracheids in Silver Fir Trees During Autumn. Ann. Bot. 2005, 95, 959–965. [Google Scholar] [CrossRef]
- Gindl, W.; Grabner, M.; Wimmer, R. The Influence of Temperature on Latewood Lignin Content in Treeline Norway Spruce Compared with Maximum Density and Ring Width. Trees 2000, 14, 409–414. [Google Scholar] [CrossRef]
- Zhang, Y.; Cao, R.; Yin, J.; Tian, K.; Xiao, D.; Zhang, W.; Yin, D. Radial Growth Response of Major Conifers to Climate Change on Haba Snow Mountain, Southwestern China. Dendrochronologia 2020, 60, 125682. [Google Scholar] [CrossRef]
- Chen, L.; Huang, J.; Stadt, K.; Comeau, P.; Zhai, L.; Dawson, A.; Alam, S. Drought Explains Variation in the Radial Growth of White Spruce in Western Canada. Agric. For. Meteorol. 2017, 233, 133–142. [Google Scholar] [CrossRef]
- Shen, J.; Li, Z.; Gao, C.; Li, S.; Huang, X.; Lang, X.; Su, J. Radial Growth Response of Pinus yunnanensis to Rising Temperature and Drought Stress on the Yunnan Plateau, Southwestern China. For. Ecol. Manag. 2020, 474, 118357. [Google Scholar] [CrossRef]
- Su, J.; Gou, X.; HilleRisLambers, J.; Deng, Y.; Fan, H.; Zheng, W.; Zhang, R.; Manzanedo, R.D. Increasing Climate Sensitivity of Subtropical Conifers along an Aridity Gradient. For. Ecol. Manag. 2021, 482, 118841. [Google Scholar] [CrossRef]
- Huo, Y.; Gou, X.; Liu, W.; Li, J.; Zhang, F.; Fang, K. Climate–Growth Relationships of Schrenk Spruce (Picea schrenkiana) along an Altitudinal Gradient in the Western Tianshan Mountains, Northwest China. Trees 2017, 31, 429–439. [Google Scholar] [CrossRef]
- IPCC. Summary for Policymakers. In Climate Change 2021: The Physical Science Basis. Contribution of Working Group I to the Sixth Assessment Report of the Intergovernmental Panel on Climate Change; Masson-Delmotte, V., Zhai, P., Pirani, A., Connors, S.L., Péan, C., Berger, S., Caud, N., Chen, Y., Goldfarb, L., Gomis, M.I., et al., Eds.; Cambridge University Press: Cambridge, UK; New York, NY, USA, 2021; pp. 3–32. [Google Scholar]







| Species | Longitude (E) | Latitude (N) | Altitude (m) | No. (Trees/Cores) | Time Span | Common Interval | |
|---|---|---|---|---|---|---|---|
| Total | Used | ||||||
| Abies georgei | 99°7′36″ | 28°19′39″ | 4169 | 39/78 | 38/68 | 1869–2019 | 1935–2019 |
| Larix potaninii | 99°7′24″ | 28°19′42″ | 4141 | 30/60 | 29/53 | 1687–2019 | |
| Picea likiangensis | 99°7′31″ | 28°20′58″ | 3735 | 22/44 | 21/39 | 1698–2019 | |
Disclaimer/Publisher’s Note: The statements, opinions and data contained in all publications are solely those of the individual author(s) and contributor(s) and not of MDPI and/or the editor(s). MDPI and/or the editor(s) disclaim responsibility for any injury to people or property resulting from any ideas, methods, instructions or products referred to in the content. |
© 2024 by the authors. Licensee MDPI, Basel, Switzerland. This article is an open access article distributed under the terms and conditions of the Creative Commons Attribution (CC BY) license (https://creativecommons.org/licenses/by/4.0/).
Share and Cite
Xie, S.; Zhang, Y.; Kang, Y.; Yan, T.; Yue, H. The Growth–Climate Relationships of Three Dominant Subalpine Conifers on the Baima Snow Mountain in the Southeastern Tibetan Plateau. Plants 2024, 13, 1645. https://doi.org/10.3390/plants13121645
Xie S, Zhang Y, Kang Y, Yan T, Yue H. The Growth–Climate Relationships of Three Dominant Subalpine Conifers on the Baima Snow Mountain in the Southeastern Tibetan Plateau. Plants. 2024; 13(12):1645. https://doi.org/10.3390/plants13121645
Chicago/Turabian StyleXie, Siyu, Yun Zhang, Yaoyao Kang, Tao Yan, and Haitao Yue. 2024. "The Growth–Climate Relationships of Three Dominant Subalpine Conifers on the Baima Snow Mountain in the Southeastern Tibetan Plateau" Plants 13, no. 12: 1645. https://doi.org/10.3390/plants13121645
APA StyleXie, S., Zhang, Y., Kang, Y., Yan, T., & Yue, H. (2024). The Growth–Climate Relationships of Three Dominant Subalpine Conifers on the Baima Snow Mountain in the Southeastern Tibetan Plateau. Plants, 13(12), 1645. https://doi.org/10.3390/plants13121645
