Design of Microbial Consortia Based on Arbuscular Mycorrhizal Fungi, Yeasts, and Bacteria to Improve the Biochemical, Nutritional, and Physiological Status of Strawberry Plants Growing under Water Deficits
Abstract
1. Introduction
2. Results
2.1. Plant Growth and Arbuscular Mycorrhizal Fungi Traits
2.2. Photosynthetic Traits
2.3. Nutrient Concentration
2.4. K-Means Clustering Algorithm
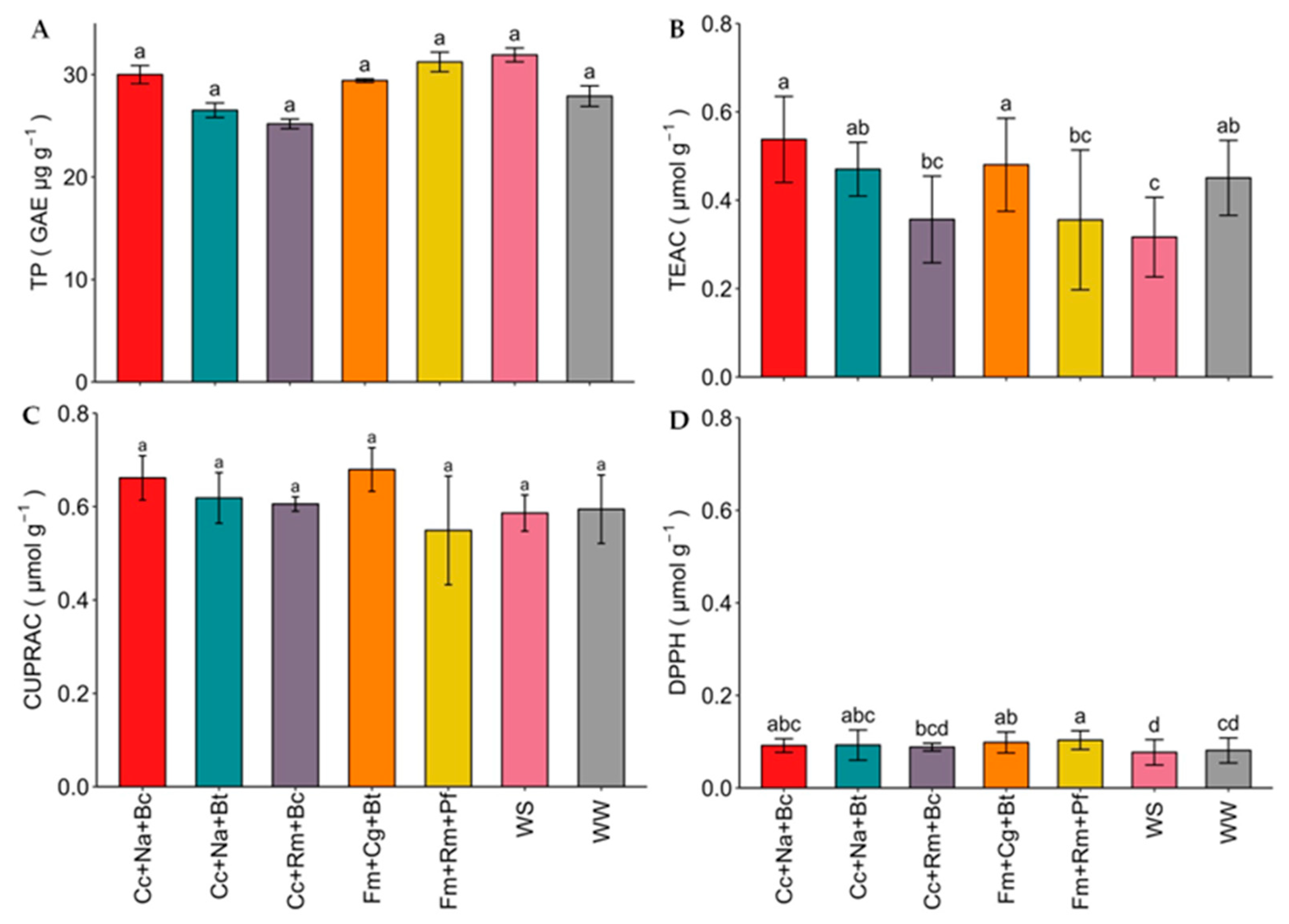
2.5. Total Phenols and Antioxidants
2.6. Chlorophylls and Carotenoid Contents
2.7. Lipid Peroxidation
2.8. Multivariate Analysis
3. Discussion
4. Materials and Methods
4.1. Microbial Material
4.1.1. Arbuscular Mycorrhizal Fungi (AMF)
4.1.2. Plant Growth-Promoting Rhizobacteria (PGPR)
4.1.3. Plant Growth-Promoting Yeasts (PGPY)
4.2. Location, Plant Material, and Growth Conditions
4.3. Experimental Design, Treatments, and Inoculation
4.4. Measurements in Plants
4.4.1. Plant Growth and Arbuscular Mycorrhizal Fungi Traits
4.4.2. Nutrient Concentration
4.4.3. Determination of Total Phenols and Antioxidants
4.4.4. Photosynthetic Traits and Pigments
4.4.5. Lipid Peroxidation
4.5. Data Analysis
5. Conclusions
Supplementary Materials
Author Contributions
Funding
Data Availability Statement
Conflicts of Interest
References
- Fahad, S.; Bajwa, A.A.; Nazir, U.; Anjum, S.A.; Farooq, A.; Zohaib, A.; Sadia, S.; Nasim, W.; Adkins, S.; Saud, S.; et al. Crop Production under Drought and Heat Stress: Plant Responses and Management Options. Front. Plant Sci. 2017, 8, 1147. [Google Scholar] [CrossRef]
- Aceituno, P.; Boisier, J.P.; Garreaud, R.; Rondanelli, R.; Rutllant, J.A. Climate and Weather in Chile. In Water Resources of Chile, World Water Resources; Fernández, B., Gironás, J., Eds.; Springer Nature Switzerland AG: Cham, Switzerland, 2021; Volume 8, pp. 7–29. [Google Scholar]
- Garreaud, R.D.; Boisier, J.P.; Rondanelli, R.; Montecinos, A.; Sepúlveda, H.H.; Veloso-Aguila, D. The Central Chile Mega Drought (2010–2018): A Climate Dynamics Perspective. Int. J. Climatol. 2020, 40, 421–439. [Google Scholar] [CrossRef]
- Hernández-Martínez, N.R.; Blanchard, C.; Wells, D.; Salazar-Gutiérrez, M.R. Current State and Future Perspectives of Commercial Strawberry Production: A Review. Sci. Hortic. 2023, 312, 111893. [Google Scholar] [CrossRef]
- Yenni; Ibrahim, M.H.; Nulit, R.; Sakimin, S.Z. Influence of Drought Stress on Growth, Biochemical Changes and Leaf Gas Exchange of Strawberry (Fragaria × ananassa Duch.) in Indonesia. AIMS Agric. Food 2022, 7, 37–60. [Google Scholar] [CrossRef]
- Parada, J.; Valenzuela, T.; Gómez, F.; Tereucán, G.; García, S.; Cornejo, P.; Winterhalter, P.; Ruiz, A. Effect of Fertilization and Arbuscular Mycorrhizal Fungal Inoculation on Antioxidant Profiles and Activities in Fragaria ananassa Fruit. J. Sci. Food Agric. 2019, 99, 1397–1404. [Google Scholar] [CrossRef]
- Ruiz, A.; Sanhueza, M.; Gómez, F.; Tereucán, G.; Valenzuela, T.; García, S.; Cornejo, P.; Hermosín-Gutiérrez, I. Changes in the Content of Anthocyanins, Flavonols, and Antioxidant Activity in Fragaria ananassa Var. Camarosa Fruits under Traditional and Organic Fertilization. J. Sci. Food Agric. 2019, 99, 2404–2410. [Google Scholar] [CrossRef] [PubMed]
- Klamkowski, K.; Treder, W. Response to Drought Stress of Three Strawberry Cultivars Grown Under Greenhouse Conditions. J. Fruit Ornam. Plant Res. 2008, 16, 179–188. [Google Scholar]
- Red Agrometeorologica INIA. Available online: https://agrometeorologia.cl/ (accessed on 1 April 2024).
- Fang, Y.; Xiong, L. General Mechanisms of Drought Response and Their Application in Drought Resistance Improvement in Plants. Cell. Mol. Life Sci. 2015, 72, 673–689. [Google Scholar] [CrossRef]
- Sati, D.; Pande, V.; Pandey, S.C.; Samant, M. Recent Advances in PGPR and Molecular Mechanisms Involved in Drought Stress Resistance. J. Soil Sci. Plant Nutr. 2023, 23, 106–124. [Google Scholar] [CrossRef]
- Gupta, A.; Rico-Medina, A.; Caño-Delgado, A.I. The Physiology of Plant Responses to Drought. Science 2020, 368, 266–269. [Google Scholar] [CrossRef]
- Wang, X.; Li, Q.; Xie, J.; Huang, M.; Cai, J.; Zhou, Q.; Dai, T.; Jiang, D. Abscisic Acid and Jasmonic Acid Are Involved in Drought Priming-Induced Tolerance to Drought in Wheat. Crop J. 2021, 9, 120–132. [Google Scholar] [CrossRef]
- Farooqi, Z.U.R.; Ayub, M.A.; Zia ur Rehman, M.; Sohail, M.I.; Usman, M.; Khalid, H.; Naz, K. Regulation of Drought Stress in Plants. In Plant Life Under Changing Environment; Elsevier: Amsterdam, The Netherlands, 2020; pp. 77–104. [Google Scholar]
- Iwaniuk, P.; Kaczyński, P.; Pietkun, M.; Łozowicka, B. Evaluation of Titanium and Silicon Role in Mitigation of Fungicides Toxicity in Wheat Expressed at the Level of Biochemical and Antioxidant Profile. Chemosphere 2022, 308, 136284. [Google Scholar] [CrossRef]
- Silambarasan, S.; Logeswari, P.; Cornejo, P.; Abraham, J.; Valentine, A. Simultaneous Mitigation of Aluminum, Salinity and Drought Stress in Lactuca sativa Growth via Formulated Plant Growth Promoting Rhodotorula mucilaginosa CAM4. Ecotoxicol. Environ. Saf. 2019, 180, 63–72. [Google Scholar] [CrossRef]
- Gamalero, E.; Glick, B.R. Recent Advances in Bacterial Amelioration of Plant Drought and Salt Stress. Biology 2022, 11, 437. [Google Scholar] [CrossRef]
- Tereucán, G.; Ruiz, A.; Nahuelcura, J.; Oyarzún, P.; Santander, C.; Winterhalter, P.; Ademar Avelar Ferreira, P.; Cornejo, P. Shifts in Biochemical and Physiological Responses by the Inoculation of Arbuscular Mycorrhizal Fungi in Triticum aestivum Growing under Drought Conditions. J. Sci. Food Agric. 2022, 102, 1927–1938. [Google Scholar] [CrossRef]
- Treseder, K.K.; Lennon, J.T. Fungal Traits That Drive Ecosystem Dynamics on Land. Microbiol. Mol. Biol. Rev. 2015, 79, 243–262. [Google Scholar] [CrossRef]
- Silambarasan, S.; Logeswari, P.; Cornejo, P.; Kannan, V.R. Evaluation of the Production of Exopolysaccharide by Plant Growth Promoting Yeast Rhodotorula Sp. Strain CAH2 under Abiotic Stress Conditions. Int. J. Biol. Macromol. 2019, 121, 55–62. [Google Scholar] [CrossRef]
- Bilek, F.N.; Rezki, M.A.; Grondin, C.; Yahia, N.; Bekki, A. Plant Growth Promoting Characteristics and Stress Tolerance of Yeasts Isolated from Algerian Agricultural Soils. South Asian J. Exp. Biol. 2020, 10, 413–426. [Google Scholar] [CrossRef]
- Alzandi, A.A.; Naguib, D.M. Effect of Yeast Application on Soil Health and Root Metabolic Status of Corn Seedlings under Drought Stress. Arch. Microbiol. 2022, 204, 233. [Google Scholar] [CrossRef]
- Santander, C.; Aroca, R.; Ruiz-Lozano, J.M.; Olave, J.; Cartes, P.; Borie, F.; Cornejo, P. Arbuscular Mycorrhiza Effects on Plant Performance under Osmotic Stress. Mycorrhiza 2017, 27, 639–657. [Google Scholar] [CrossRef]
- Zhang, F.; Zou, Y.-N.; Wu, Q.-S. Quantitative Estimation of Water Uptake by Mycorrhizal Extraradical Hyphae in Citrus under Drought Stress. Sci. Hortic. 2018, 229, 132–136. [Google Scholar] [CrossRef]
- Kakouridis, A.; Hagen, J.A.; Kan, M.P.; Mambelli, S.; Feldman, L.J.; Herman, D.J.; Weber, P.K.; Pett-Ridge, J.; Firestone, M.K. Routes to Roots: Direct Evidence of Water Transport by Arbuscular Mycorrhizal Fungi to Host Plants. New Phytol. 2022, 236, 210–221. [Google Scholar] [CrossRef] [PubMed]
- Augé, R.M. Water Relations, Drought and Vesicular-Arbuscular Mycorrhizal Symbiosis. Mycorrhiza 2001, 11, 3–42. [Google Scholar] [CrossRef]
- Ashwin, R.; Bagyaraj, D.J.; Mohan Raju, B. Dual Inoculation with Rhizobia and Arbuscular Mycorrhizal Fungus Improves Water Stress Tolerance and Productivity in Soybean. Plant Stress. 2022, 4, 100084. [Google Scholar] [CrossRef]
- Begum, N.; Wang, L.; Ahmad, H.; Akhtar, K.; Roy, R.; Khan, M.I.; Zhao, T. Co-Inoculation of Arbuscular Mycorrhizal Fungi and the Plant Growth-Promoting Rhizobacteria Improve Growth and Photosynthesis in Tobacco Under Drought Stress by Up-Regulating Antioxidant and Mineral Nutrition Metabolism. Microb. Ecol. 2022, 83, 971–988. [Google Scholar] [CrossRef] [PubMed]
- Yin, B.; Wang, Y.; Liu, P.; Hu, J.; Zhen, W. Effects of Vesicular-Arbuscular Mycorrhiza on the Protective System in Strawberry Leaves under Drought Stress. Front. Agric. China 2010, 4, 165–169. [Google Scholar] [CrossRef]
- Boyer, L.R.; Brain, P.; Xu, X.-M.; Jeffries, P. Inoculation of Drought-Stressed Strawberry with a Mixed Inoculum of Two Arbuscular Mycorrhizal Fungi: Effects on Population Dynamics of Fungal Species in Roots and Consequential Plant Tolerance to Water Deficiency. Mycorrhiza 2015, 25, 215–227. [Google Scholar] [CrossRef]
- Paliwoda, D.; Mikiciuk, G.; Mikiciuk, M.; Kisiel, A.; Sas-Paszt, L.; Miller, T. Effects of Rhizosphere Bacteria on Strawberry Plants (Fragaria × ananassa Duch.) under Water Deficit. Int. J. Mol. Sci. 2022, 23, 10449. [Google Scholar] [CrossRef]
- Mitter, E.K.; Tosi, M.; Obregón, D.; Dunfield, K.E.; Germida, J.J. Rethinking Crop Nutrition in Times of Modern Microbiology: Innovative Biofertilizer Technologies. Front. Sustain. Food Syst. 2021, 5, 516818. [Google Scholar]
- Gollner, M.J.; Püschel, D.; Rydlová, J.; Vosátka, M. Effect of Inoculation with Soil Yeasts on Mycorrhizal Symbiosis of Maize. Pedobiologia 2006, 50, 341–345. [Google Scholar] [CrossRef]
- Mohamed, H.M. Effect of Arbuscular Mycorrhizal Fungus (Glomus mosseae) and Soil Yeasts Interaction on Root Nodulation, N-Fixation and Growth of Faba Bean (Vichia faba). Malays. J. Soil Sci. 2015, 19, 157–168. [Google Scholar]
- Kaur, J.; Anand, V.; Srivastava, S.; Bist, V.; Naseem, M.; Singh, P.; Gupta, V.; Singh, P.C.; Saxena, S.; Bisht, S.; et al. Mitigation of Arsenic Toxicity in Rice by the Co-Inoculation of Arsenate Reducer Yeast with Multifunctional Arsenite Oxidizing Bacteria. Environ. Pollut. 2023, 320, 120975. [Google Scholar] [CrossRef] [PubMed]
- Mohamed, H.M. Impact of Inoculation with Arbuscular Mycorrhizal, Phosphate Solubilizing Bacteria and Soil Yeast on Growth, Yield and Phosphorus Content of Onion Plants. Int. J. Soil Sci. 2015, 10, 93–99. [Google Scholar] [CrossRef]
- Reyes, S.M.; Hoyos, G.R.; Júnior, D.C.; Filho, A.B.; Fonseca, L.P. Physiological Response of Physalis peruviana L. Seedlings with Funneliformis mosseae under Drought Stress. Rev. Ciências Agrárias 2019, 42, 175–183. [Google Scholar] [CrossRef]
- Uzma, M.; Iqbal, A.; Hasnain, S. Drought Tolerance Induction and Growth Promotion by Indole Acetic Acid Producing Pseudomonas aeruginosa in Vigna radiata. PLoS ONE 2022, 17, e0262932. [Google Scholar] [CrossRef] [PubMed]
- Calvo-Polanco, M.; Sánchez-Romera, B.; Aroca, R.; Asins, M.J.; Declerck, S.; Dodd, I.C.; Martínez-Andújar, C.; Albacete, A.; Ruiz-Lozano, J.M. Exploring the Use of Recombinant Inbred Lines in Combination with Beneficial Microbial Inoculants (AM Fungus and PGPR) to Improve Drought Stress Tolerance in Tomato. Environ. Exp. Bot. 2016, 131, 47–57. [Google Scholar] [CrossRef]
- Ghorchiani, M.; Etesami, H.; Alikhani, H.A. Improvement of Growth and Yield of Maize under Water Stress by Co-Inoculating an Arbuscular Mycorrhizal Fungus and a Plant Growth Promoting Rhizobacterium Together with Phosphate Fertilizers. Agric. Ecosyst. Environ. 2018, 258, 59–70. [Google Scholar] [CrossRef]
- Mestre, M.C.; Tamayo Navarrete, M.I.; García Garrido, J.M. Exploring the Yeast-Mycorrhiza-Plant Interaction: Saccharomyces eubayanus Negative Effects on Arbuscular Mycorrhizal Formation in Tomato Plants. Plant Soil 2022, 479, 529–542. [Google Scholar] [CrossRef]
- Ikan, C.; Ben-Laouane, R.; Ouhaddou, R.; Ghoulam, C.; Meddich, A. Co-Inoculation of Arbuscular Mycorrhizal Fungi and Plant Growth-Promoting Rhizobacteria Can Mitigate the Effects of Drought in Wheat Plants (Triticum durum). Plant Biosyst. Int. J. Deal. All Asp. Plant Biol. 2023, 157, 907–919. [Google Scholar] [CrossRef]
- Cheng, H.-Q.; Giri, B.; Wu, Q.-S.; Zou, Y.-N.; Kuča, K. Arbuscular Mycorrhizal Fungi Mitigate Drought Stress in Citrus by Modulating Root Microenvironment. Arch. Agron. Soil Sci. 2022, 68, 1217–1228. [Google Scholar] [CrossRef]
- Hamedani, N.G.; Gholamhoseini, M.; Bazrafshan, F.; Habibzadeh, F.; Amiri, B. Yield, Irrigation Water Productivity and Nutrient Uptake of Arbuscular Mycorrhiza Inoculated Sesame under Drought Stress Conditions. Agric. Water Manag. 2022, 266, 107569. [Google Scholar] [CrossRef]
- Fiorilli, V.; Maghrebi, M.; Novero, M.; Votta, C.; Mazzarella, T.; Buffoni, B.; Astolfi, S.; Vigani, G. Arbuscular Mycorrhizal Symbiosis Differentially Affects the Nutritional Status of Two Durum Wheat Genotypes under Drought Conditions. Plants 2022, 11, 804. [Google Scholar] [CrossRef]
- Bechtaoui, N.; Rabiu, M.K.; Raklami, A.; Oufdou, K.; Hafidi, M.; Jemo, M. Phosphate-Dependent Regulation of Growth and Stresses Management in Plants. Front. Plant Sci. 2021, 12, 679916. [Google Scholar] [CrossRef] [PubMed]
- Ding, L.; Lu, Z.; Gao, L.; Guo, S.; Shen, Q. Is Nitrogen a Key Determinant of Water Transport and Photosynthesis in Higher Plants Upon Drought Stress? Front. Plant Sci. 2018, 9, 1143. [Google Scholar] [CrossRef] [PubMed]
- Ahmad, Z.; Anjum, S.; Waraich, E.A.; Ayub, M.A.; Ahmad, T.; Tariq, R.M.S.; Ahmad, R.; Iqbal, M.A. Growth, Physiology, and Biochemical Activities of Plant Responses with Foliar Potassium Application under Drought Stress—A Review. J. Plant Nutr. 2018, 41, 1734–1743. [Google Scholar] [CrossRef]
- Abiala, M.; Sadhukhan, A.; Muthuvel, J.; Shekhawat, R.S.; Yadav, P.; Sahoo, L. Rhizosphere Priestia Species Altered Cowpea Root Transcriptome and Enhanced Growth under Drought and Nutrient Deficiency. Planta 2023, 257, 11. [Google Scholar] [CrossRef] [PubMed]
- Zhang, H.; Han, X.; Liu, K.; Zhang, W.; Zhou, Y.; Tang, M. Synergistic Effect of Extra Potassium Application and AM Fungi on Drought Tolerance of Lycium Barbarum. New For. 2024, 55, 101–117. [Google Scholar] [CrossRef]
- Geneva, M.; Hristozkova, M.; Kirova, E.; Sichanova, M.; Stancheva, I. Response to Drought Stress of In Vitro and In Vivo Propagated Physalis peruviana L. Plants Inoculated with Arbuscular Mycorrhizal Fungi. Agriculture 2023, 13, 472. [Google Scholar] [CrossRef]
- Nahuelcura, J.; Ruiz, A.; Gomez, F.; Cornejo, P. The Effect of Arbuscular Mycorrhizal Fungi on the Phenolic Compounds Profile, Antioxidant Activity and Grain Yields in Wheat Cultivars Growing under Hydric Stress. J. Sci. Food Agric. 2022, 102, 407–416. [Google Scholar] [CrossRef]
- Chandwani, S.; Amaresan, N. Role of ACC Deaminase Producing Bacteria for Abiotic Stress Management and Sustainable Agriculture Production. Environ. Sci. Pollut. Res. 2022, 29, 22843–22859. [Google Scholar] [CrossRef]
- Bittencourt, P.P.; Alves, A.F.; Ferreira, M.B.; da Silva Irineu, L.E.S.; Pinto, V.B.; Olivares, F.L. Mechanisms and Applications of Bacterial Inoculants in Plant Drought Stress Tolerance. Microorganisms 2023, 11, 502. [Google Scholar] [CrossRef] [PubMed]
- Jain, R.; Saraf, M. ACC Deaminase Producing PGPR Modulates Nutrients Uptake, Soil Properties and Growth of Cluster Bean (Cyamopsis tetragonoloba L.) under Deficit Irrigation. Biologia 2023, 78, 2303–2316. [Google Scholar] [CrossRef]
- Choudhary, M.; Chandra, P.; Arora, S. Soil-Plant-Microbe Interactions in Salt-Affected Soils. In Research Developments in Saline Agriculture; Springer: Singapore, 2019; pp. 203–235. [Google Scholar]
- Uribe, L.F.; Galván, A.E.; Torres, M.T.; Bonilla, G.A. Mecanismos de Promoción de Crecimiento de Las PGPB. In Bacterias Promotoras del Crecimiento Vegetal en Sistemas de Agricultura Sostenible; Buitrago, R.B., González de Bashan, L.E., Pedraza, R.O., Eds.; Corporación Colombiana de Investigación Agropecuaria—AGROSAVIA: Mosquera, Colombia, 2021; pp. 78–105. [Google Scholar]
- Silva, A.M.M.; Jones, D.L.; Chadwick, D.R.; Qi, X.; Cotta, S.R.; Araújo, V.L.V.P.; Matteoli, F.P.; Lacerda-Júnior, G.V.; Pereira, A.P.A.; Fernandes-Júnior, P.I.; et al. Can Arbuscular Mycorrhizal Fungi and Rhizobacteria Facilitate 33P Uptake in Maize Plants under Water Stress? Microbiol. Res. 2023, 271, 127350. [Google Scholar] [CrossRef] [PubMed]
- Valdebenito, A.; Nahuelcura, J.; Santander, C.; Cornejo, P.; Contreras, B.; Gómez-Alonso, S.; Ruiz, A. Physiological and Metabolic Effects of the Inoculation of Arbuscular Mycorrhizal Fungi in Solanum tuberosum Crops under Water Stress. Plants 2022, 11, 2539. [Google Scholar] [CrossRef] [PubMed]
- Ruiz, A.; Bustamante, L.; Vergara, C.; von Baer, D.; Hermosín-Gutiérrez, I.; Obando, L.; Mardones, C. Hydroxycinnamic Acids and Flavonols in Native Edible Berries of South Patagonia. Food Chem. 2015, 167, 84–90. [Google Scholar] [CrossRef] [PubMed]
- Vafa, Z.N.; Sohrabi, Y.; Mirzaghaderi, G.; Heidari, G. The Effect of Rhizobia in Improving the Protective Mechanisms of Wheat under Drought and Supplementary Irrigation Conditions. Front. Sustain. Food Syst. 2022, 6, 1073240. [Google Scholar] [CrossRef]
- Rahimzadeh, S.; Pirzad, A. Arbuscular Mycorrhizal Fungi and Pseudomonas in Reduce Drought Stress Damage in Flax (Linum Usitatissimum L.): A Field Study. Mycorrhiza 2017, 27, 537–552. [Google Scholar] [CrossRef] [PubMed]
- Azizi, S.; Tabari Kouchaksaraei, M.; Hadian, J.; Fallah Nosrat Abad, A.R.; Modarres Sanavi, S.A.M.; Ammer, C.; Bader, M.K.-F. Dual Inoculations of Arbuscular Mycorrhizal Fungi and Plant Growth-Promoting Rhizobacteria Boost Drought Resistance and Essential Oil Yield of Common Myrtle. For. Ecol. Manag. 2021, 497, 119478. [Google Scholar] [CrossRef]
- Ashwin, R.; Bagyaraj, D.J.; Mohan Raju, B. Ameliorating the Drought Stress Tolerance of a Susceptible Soybean Cultivar, MAUS 2 through Dual Inoculation with Selected Rhizobia and AM Fungus. Fungal Biol. Biotechnol. 2023, 10, 10. [Google Scholar] [CrossRef]
- Khan, W.; Zhu, Y.; Khan, A.; Zhao, L.; Yang, Y.-M.; Wang, N.; Hao, M.; Ma, Y.; Nepal, J.; Ullah, F.; et al. Above-and below-Ground Feedback Loop of Maize Is Jointly Enhanced by Plant Growth-Promoting Rhizobacteria and Arbuscular Mycorrhizal Fungi in Drier Soil. Sci. Total Environ. 2024, 917, 170417. [Google Scholar] [CrossRef]
- Smirnoff, N. Antioxidant Systems and Plant Response to the Environment. In Environment and Plant Metabolism: Flexibility and Acclimation; Smirnoff, N., Ed.; Bios Scientific Publishers: Oxford, UK, 1995; pp. 217–243. [Google Scholar]
- Pérez, R.; Tapia, Y.; Antilén, M.; Casanova, M.; Vidal, C.; Santander, C.; Aponte, H.; Cornejo, P. Interactive Effect of Compost Application and Inoculation with the Fungus Claroideoglomus claroideum in Oenothera picensis Plants Growing in Mine Tailings. Ecotoxicol. Environ. Saf. 2021, 208, 111495. [Google Scholar] [CrossRef] [PubMed]
- Pérez, R.; Tapia, Y.; Antilén, M.; Ruiz, A.; Pimentel, P.; Santander, C.; Aponte, H.; González, F.; Cornejo, P. Beneficial Interactive Effects Provided by an Arbuscular Mycorrhizal Fungi and Yeast on the Growth of Oenothera picensis Established on Cu Mine Tailings. Plants 2023, 12, 4012. [Google Scholar] [CrossRef] [PubMed]
- Santander, C.; González, F.; Pérez, U.; Ruiz, A.; Aroca, R.; Santos, C.; Cornejo, P.; Vidal, G. Enhancing Water Status and Nutrient Uptake in Drought-Stressed Lettuce Plants (Lactuca sativa L.) via Inoculation with Different Bacillus spp. Isolated from the Atacama Desert. Plants 2024, 13, 158. [Google Scholar] [CrossRef] [PubMed]
- Koider, R.T.; Li, M. Appropriate Controls for Vesicular–Arbuscular Mycorrhiza Research. New Phytol. 1989, 111, 35–44. [Google Scholar] [CrossRef]
- Hewitt, E.J. The Composition of the Nutrient Solution. In Sand and Water Culture Methods Used in the Study of Plant Nutrition; Commonwealth Agricultural Bureaux: Maidstone, UK, 1966; p. 547. [Google Scholar]
- Aroca, R.; Vernieri, P.; Irigoyen, J.; Sánchez-Díaz, M.; Tognoni, F.; Pardossi, A. Involvement of Abscisic Acid in Leaf and Root of Maize (Zea mays L.) in Avoiding Chilling-Induced Water Stress. Plant Sci. 2003, 165, 671–679. [Google Scholar] [CrossRef]
- Phillips, J.M.; Hayman, D.S. Improved Procedures for Clearing Roots and Staining Parasitic and Vesicular-Arbuscular Mycorrhizal Fungi for Rapid Assessment of Infection. Trans. Br. Mycol. Soc. 1970, 55, 158–161, IN16–IN18. [Google Scholar] [CrossRef]
- Trouvelot, A.; Kough, J.L.; Gianinazzi-Pearson, V. Mesure Du Taux de Mycorhization VA d’un Système Radiculaire. Recherche de Methods d’estimation Ayant Une Signification Fonctionnelle. In Physiology and Genetics Aspects of Mycorrhizae; Gianinazi-Pearson, V., Gianinazzi, S., Eds.; INRA: Paris, France, 1986; pp. 217–221. [Google Scholar]
- Sadzawka, R.A.; Carrasco, R.A.; Demanet, F.R.; Flores, P.H.; Grez, Z.R.; Mora, G.M.L.; Neaman, A. Métodos de Análisis de Tejidos Vegetales, 2nd ed.; Series Actas INIA N° 40; Instituto de Investigaciones Agropecuarias: Santiago, Chile, 2007. [Google Scholar]
- Lichtenthaler, H.K. Chlorophylls and Carotenoids: Pigments of Photosynthetic Biomembranes. Methods Enzymol. 1987, 148, 350–382. [Google Scholar]
- Du, Z.; Bramlage, W.J. Modified Thiobarbituric Acid Assay for Measuring Lipid Oxidation in Sugar-Rich Plant Tissue Extracts. J. Agric. Food Chem. 1992, 40, 1566–1570. [Google Scholar] [CrossRef]






| Treatments | SDW (g) | RDW (g) | Root–Shoot | RWC (%) | Fruit Number |
|---|---|---|---|---|---|
| Well-watered | 5.96 ± 0.09 a | 2.82 ± 0.08 d–i | 0.47 ± 0.05 h | 93.64 ± 0.57 a–e | 4.66 ± 0.26 a–d |
| Water-stressed | 3.78 ± 0.02 j | 2.36 ± 0.11 i | 0.65 ± 0.06 d–h | 87.56 ± 0.27 d–g | 1.00 ± 1.00 g |
| Cc+Cg+Bc | 3.96± 0.14 e–j | 2.36 ± 0.15 hi | 0.60 ± 0.02 e–h | 100 ± 0.00 a | 2.33 ± 1.00 e–g |
| Cc+Cg+Bt | 4.19 ± 0.06 b–h | 2.58 ± 0.13 f–i | 0.61 ± 0.04 e–h | 100 ± 0.00 a | 4.66 ± 0.70 a–d |
| Cc+Cg+Pf | 4.34 ± 0.05 b–e | 2.54 ± 0.17 f–i | 0.59 ± 0.07 e–h | 100 ± 0.00 a | 3.33 ± 0.83 c–f |
| Cc+Na+Bc | 4.54 ± 0.15 b | 3.42 ± 0.05 a–d | 0.75 ± 0.08 b–e | 100 ± 0.00 a | 5.33 ± 1.00 a–c |
| Cc+Na+Bt | 4.3 3± 0.09 b–e | 2.44 ± 0.02 g–i | 0.56 ± 0.04 f–h | 100 ± 0.00 a | 1.66 ± 1.18 fg |
| Cc+Na+Pf | 4.37 ± 0.03 b–d | 2.43 ± 0.08 g–i | 0.56 ± 0.03 gh | 96.21 ± 0.66 a–c | 4.00 ± 0.50 a–e |
| Cc+Rm+Bc | 4.44 ± 0.22 bc | 2.44 ± 0.14 g–i | 0.55 ± 0.10 gh | 85.53 ± 0.21 e–g | 3.66 ± 0.60 b–f |
| Cc+Rm+Bt | 3.90 ± 0.15 f–j | 2.95 ± 0.34 b–i | 0.75 ± 0.17 b–e | 89.16 ± 0.21 b–g | 5.66 ± 1.21 ab |
| Cc+Rm+Pf | 3.80 ± 0.04 h–j | 3.50 ± 0.18 a–c | 0.91 ± 0.07 ab | 80.83 ± 0.91 g | 4.66 ± 0.26 a–d |
| Cl+Cg+Bc | 3.84 ± 0.04 h–j | 2.44 ± 0.03 g–i | 0.64 ± 0.00 d–h | 90.95 ± 0.04 b–f | 4.00 ± 0.86 a–e |
| Cl+Cg+Bt | 4.14 ± 0.07 c–h | 3.55 ± 0.37 ab | 0.86 ± 0.21 a–c | 91.40 ± 0.10 b–f | 4.00 ± 0.50 a–e |
| Cl+Cg+Pf | 4.02 ± 0.19 d–j | 4.00 ± 0.45 a | 1.01 ± 0.30 a | 96.63 ± 0.59 ab | 5.66 ± 0.64 ab |
| Cl+Na+Bc | 3.70 ± 0.08 ij | 2.73 ± 0.31 e–i | 0.74 ± 0.17 b–f | 91.91 ± 0.88 a–e | 4.00 ± 0.00 a–e |
| Cl+Na+Bt | 4.18 ± 0.19 b–h | 3.13 ± 0.03 b–f | 0.75 ± 0.08 b–e | 88.42 ± 0.13 b–g | 4.44 ± 0.55 a–e |
| Cl+Na+Pf | 3.88 ± 0.16 g–j | 3.31 ± 0.40 b–e | 0.85 ± 0.15 a–c | 83.43 ± 0.92 fg | 3.66 ± 0.30 b–f |
| Cl+Rm+Bc | 3.97 ± 0.10 e–j | 2.84 ± 0.21 d–i | 0.72 ± 0.09 c–g | 100 ± 0.00 a | 4.00 ± 0.50 a–e |
| Cl+Rm+Bt | 4.44 ± 0.11 bc | 3.30 ± 0.07 b–e | 0.74 ± 0.04 b–e | 96.12 ± 0.68 a–c | 1.66 ± 1.18 fg |
| Cl+Rm+Pf | 4.17 ± 0.03 b–h | 3.32 ± 0.43 b–e | 0.80 ± 0.21 b–d | 95.55 ± 0.78 a–d | 2.33 ± 0.37 e–g |
| Fm+Cg+Bc | 4.01 ± 0.09 d–j | 2.89 ± 0.22 c–i | 0.72 ± 0.14 c–g | 86.96 ± 0.72 e–g | 3.00 ± 0.56 d–g |
| Fm+Cg+Bt | 4.46 ± 0.11 bc | 2.93 ± 0.09 b–i | 0.66 ± 0.02 d–g | 100 ± 0.00 a | 4.00 ± 0.00 a–e |
| Fm+Cg+Pf | 4.07 ± 0.02 c–i | 3.04 ± 0.03 b–g | 0.75 ± 0.01 b–e | 91.49 ± 0.87 b–f | 4.00 ± 0.00 a–e |
| Fm+Na+Bc | 4.46 ± 0.15 bc | 2.58 ± 0.05 f–i | 0.58 ± 0.02 e–h | 87.80 ± 0.34 c–g | 5.33 ± 0.25 a–c |
| Fm+Na+Bt | 4.27 ± 0.20 b–g | 2.36 ± 0.11 i | 0.56 ± 0.11 gh | 96.33 ± 0.64 ab | 4.00 ± 0.50 a–e |
| Fm+Na+Pf | 3.94 ± 0.09 e–j | 2.75 ± 0.09 e–i | 0.70 ± 0.07 c–g | 90.51 ± 0.93 b–f | 3.66 ± 0.79 b–f |
| Fm+Rm+Bc | 4.33 ± 0.04 b–e | 2.99 ± 0.24 b–h | 0.69 ± 0.10 c–g | 85.85 ± 0.44 e–g | 3.33 ± 0.83 c–f |
| Fm+Rm+Bt | 4.21 ± 0.05 b–h | 3.14 ± 0.19 b–f | 0.75 ± 0.10 b–e | 85.24 ± 0.17 e–g | 6.00 ± 1.08 a |
| Fm+Rm+Pf | 4.29 ± 0.13 b–f | 2.80 ± 0.17 d–i | 0.66 ± 0.11 d–g | 92.00 ± 0.83 a–e | 4.00 ± 0.86 a–d |
| Treatments | N | P | K |
|---|---|---|---|
| (g kg−1 Dry Matter) | |||
| Well-watered | 13.07 ± 0.80 a | 1.84 ± 0.02 a | 7.77 ± 0.29 ij |
| Water-stressed | 11.33 ± 0.23 bc | 1.51 ± 0.02 c–g | 7.96 ± 0.13 ij |
| Cc+Cg+Bc | 9.80 ± 0.70 d–h | 1.59 ± 0.00 b–e | 15.42 ± 0.32 bc |
| Cc+Cg+Bt | 9.80 ± 0.70 d–h | 1.50 ± 0.12 c–h | 14.72 ± 0.88 b–d |
| Cc+Cg+Pf | 9.57 ± 0.40 d–h | 1.49 ± 0.07 c–h | 13.30 ± 0.51 c–f |
| Cc+Na+Bc | 12.13 ± 0.40 ab | 1.75 ± 0.10 ab | 18.65 ± 0.19 a |
| Cc+Na+Bt | 10.73 ± 0.40 b–e | 1.65 ± 0.17 a–d | 16.87 ± 0.19 ab |
| Cc+Na+Pf | 9.80 ± 0.00 d–h | 1.56 ± 0.07 b–f | 16.87 ± 0.19 ab |
| Cc+Rm+Bc | 10.27 ± 0.40 c–g | 1.63 ± 0.12 a–d | 11.61 ± 1.38 d–h |
| Cc+Rm+Bt | 9.80 ± 0.00 c–h | 1.55 ± 0.15 b–f | 12.98 ± 0.32 c–g |
| Cc+Rm+Pf | 8.87 ± 0.80 gh | 1.49 ± 0.05 c–h | 6.85 ± 2.11 ij |
| Cl+Cg+Bc | 9.45 ± 0.35 e–h | 1.60 ± 0.12 abc | 11.61 ± 0.26 d–h |
| Cl+Cg+Bt | 8.87 ± 0.40 gh | 1.53 ± 0.08 b–g | 9.02 ± 0.52 h–j |
| Cl+Cg+Pf | 9.10 ± 0.00 fgh | 1.35 ± 0.05 f–i | 12.35 ± 0.08 c–g |
| Cl+Na+Bc | 9.67 ± 0.20 d–h | 1.27 ± 0.18 hi | 2.38 ± 0.27 k |
| Cl+Na+Bt | 9.80 ± 0.00 d–h | 1.59 ± 0.08 b–e | 14.38 ± 0.35 b–e |
| Cl+Na+Pf | 10.03 ± 0.40 c–h | 1.49 ± 0.11 c–h | 11.27 ± 0.85 e–h |
| Cl+Rm+Bc | 8.75 ± 0.35 h | 1.55 ± 0.10 b–g | 11.18 ± 0.65 f–h |
| Cl+Rm+Bt | 10.50 ± 0.70 c–f | 1.53 ± 0.27 b–g | 12.82 ± 0.45 c–g |
| Cl+Rm+Pf | 8.67 ± 0.46 h | 1.39 ± 0.21 e–i | 6.80 ± 0.33 j |
| Fm+Cg+Bc | 9.80 ± 0.00 d–h | 1.51 ± 0.05 c–g | 7.47 ± 0.23 ij |
| Fm+Cg+Bt | 10.97 ± 0.40 bcd | 1.72 ± 0.05 abc | 12.20 ± 0.39 d–g |
| Fm+Cg+Pf | 8.97 ± 0.20 gh | 1.39 ± 0.03 e–i | 6.08 ± 0.18 j |
| Fm+Na+Bc | 9.10 ± 0.70 fgh | 1.31 ± 0.15 ghi | 6.56 ± 0.35 j |
| Fm+Na+Bt | 9.33 ± 0.40 e–h | 1.18 ± 0.09 i | 6.56 ± 0.57 j |
| Fm+Na+Pf | 9.10 ± 0.00 fgh | 1.45 ± 0.12 d–h | 9.96 ± 0.65 g–i |
| Fm+Rm+Bc | 9.10 ± 0.00 fgh | 1.53 ± 0.08 b–g | 6.02 ± 0.08 j |
| Fm+Rm+Bt | 10.03 ± 0.80 c–h | 1.45 ± 0.07 d–h | 6.08 ± 0.59 j |
| Fm+Rm+Pf | 10.97 ± 0.40 bcd | 1.63 ± 0.12 a–d | 6.50 ± 0.24 j |
| Treatments | Chl a (mg g−1 FW) | Chl b (mg g−1 FW) | Total Chl (mg g−1 FW) | CARs (mg g−1 FW) | |
|---|---|---|---|---|---|
| Water Condition | |||||
| Control (85% WHC) | Watered | 0.53 ± 0.04 ab | 0.58 ± 0.10 ab | 1.15 ± 0.08 b | 0.15 ± 0.03 a |
| Control (30% WHC) | Stressed | 0.46 ± 0.01 bc | 0.54 ± 0.01 abc | 1.00 ± 0.02 c | 0.16 ± 0.01 a |
| 30% WHC | Cc+Na+Bc | 0.57 ± 0.14 a | 0.62 ± 0.10 a | 1.29 ± 0.08 a | 0.12 ± 0.03 b |
| Cc+Na+Bt | 0.36 ± 0.04 de | 0.52 ± 0.04 bcd | 0.85 ± 0.03 de | 0.15 ± 0.02 a | |
| Cc+Rm+Bc | 0.26 ± 0.05 f | 0.43 ± 0.00 d | 0.73 ± 0.01 f | 0.15 ± 0.02 a | |
| Fm+Cg+Bt | 0.33 ± 0.05 ef | 0.48 ± 0.05 cd | 0.82 ± 0.07 ef | 0.16 ± 0.04 a | |
| Fm+Rm+Pf | 0.43 ± 0.07 cd | 0.47 ± 0.05 cd | 0.93 ± 0.02 cd | 0.15 ± 0.01 a | |
Disclaimer/Publisher’s Note: The statements, opinions and data contained in all publications are solely those of the individual author(s) and contributor(s) and not of MDPI and/or the editor(s). MDPI and/or the editor(s) disclaim responsibility for any injury to people or property resulting from any ideas, methods, instructions or products referred to in the content. |
© 2024 by the authors. Licensee MDPI, Basel, Switzerland. This article is an open access article distributed under the terms and conditions of the Creative Commons Attribution (CC BY) license (https://creativecommons.org/licenses/by/4.0/).
Share and Cite
Pérez-Moncada, U.A.; Santander, C.; Ruiz, A.; Vidal, C.; Santos, C.; Cornejo, P. Design of Microbial Consortia Based on Arbuscular Mycorrhizal Fungi, Yeasts, and Bacteria to Improve the Biochemical, Nutritional, and Physiological Status of Strawberry Plants Growing under Water Deficits. Plants 2024, 13, 1556. https://doi.org/10.3390/plants13111556
Pérez-Moncada UA, Santander C, Ruiz A, Vidal C, Santos C, Cornejo P. Design of Microbial Consortia Based on Arbuscular Mycorrhizal Fungi, Yeasts, and Bacteria to Improve the Biochemical, Nutritional, and Physiological Status of Strawberry Plants Growing under Water Deficits. Plants. 2024; 13(11):1556. https://doi.org/10.3390/plants13111556
Chicago/Turabian StylePérez-Moncada, Urley A., Christian Santander, Antonieta Ruiz, Catalina Vidal, Cledir Santos, and Pablo Cornejo. 2024. "Design of Microbial Consortia Based on Arbuscular Mycorrhizal Fungi, Yeasts, and Bacteria to Improve the Biochemical, Nutritional, and Physiological Status of Strawberry Plants Growing under Water Deficits" Plants 13, no. 11: 1556. https://doi.org/10.3390/plants13111556
APA StylePérez-Moncada, U. A., Santander, C., Ruiz, A., Vidal, C., Santos, C., & Cornejo, P. (2024). Design of Microbial Consortia Based on Arbuscular Mycorrhizal Fungi, Yeasts, and Bacteria to Improve the Biochemical, Nutritional, and Physiological Status of Strawberry Plants Growing under Water Deficits. Plants, 13(11), 1556. https://doi.org/10.3390/plants13111556

