Introgression of the Self-Pruning Gene into Dwarf Tomatoes to Obtain Salad-Type Determinate Growth Lines
Abstract
1. Introduction
2. Results
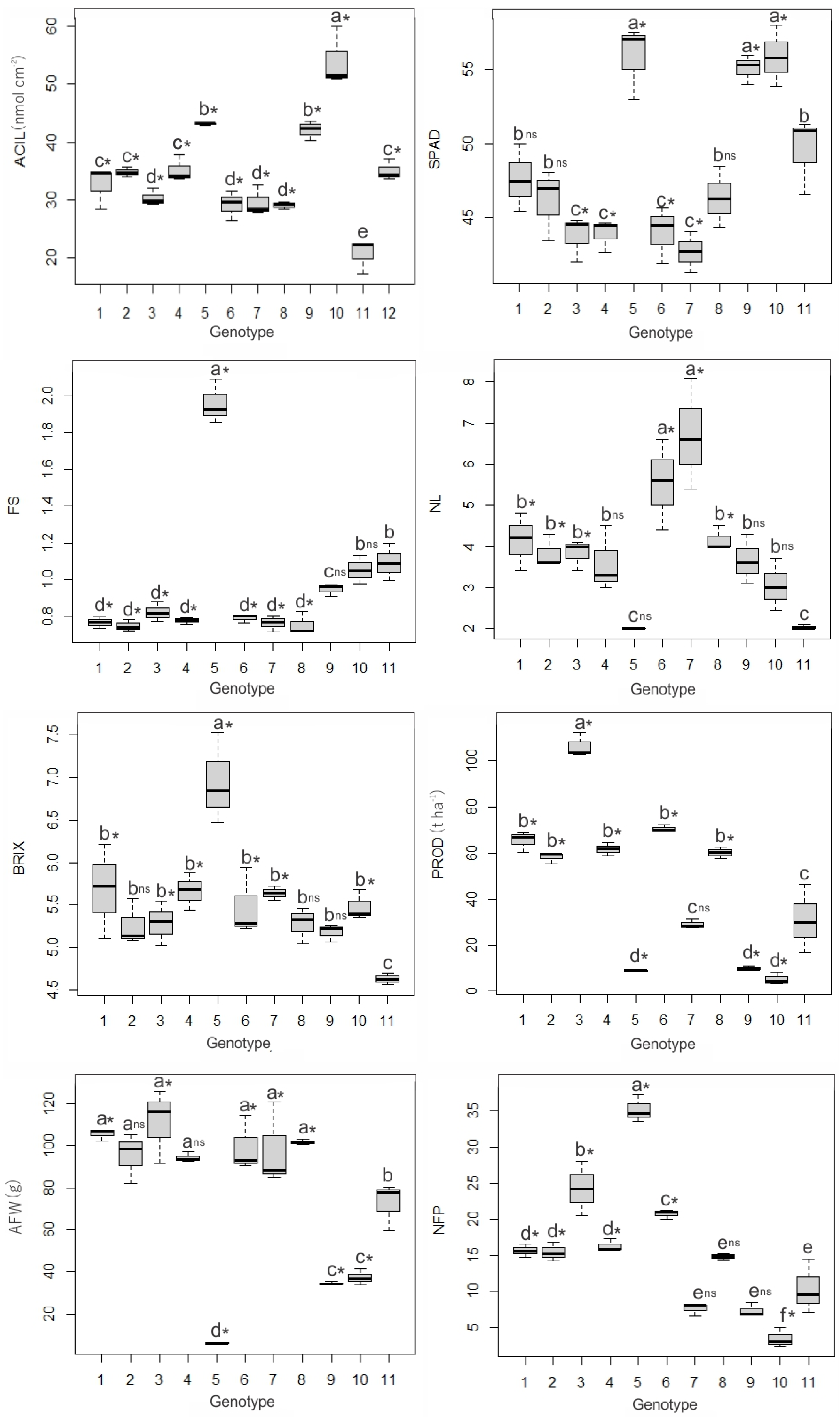
2.1. Agronomic Variables
2.2. Cluster Analysis
2.3. Kohonen Self-Organizing Map (SOM)
2.4. Obtaining Dwarf Plants with a Determinate Growth Habit
2.5. New Insights into Resistance Mechanisms from the Dwarf Plant
3. Discussion
4. Materials and Methods
4.1. Experimental Site and Description of Genotypes
4.2. Agronomic Evaluations
4.3. Chromatographic Analysis and Metabolomic Profile
4.4. Statistical Analysis
5. Conclusions
Author Contributions
Funding
Data Availability Statement
Conflicts of Interest
References
- FAOSTAT. FAO. Available online: https://www.fao.org/faostat/en/#data/QCL/visualize (accessed on 26 August 2023).
- Conab—Companhia Nacional do Abastecimento. Tomate: Análise dos Indicadores da Produção e Comercialização no Mercado Mundial, Brasileiro e Catarinense. Compêndio de Estudos Conab/Companhia Nacional de Abastecimento; Conab: Brasília, Brazil, 2019; Volume 21. [Google Scholar]
- EMBRAPA—Empresa Brasileira de Pesquisa Agropecuária. A Cultura do Tomate. Available online: https://www.embrapa.br/en/hortalicas/tomate-de-mesa/cultivares2 (accessed on 26 February 2024).
- Yuri, J.E.; Costa, N.D.; Resende, G.M.; Ferreira, T.D.; Silva, M.C. Produção de genótipos de tomate tipo salada em duas épocas de plantio. Rev. Bras. Agric. Irrig. 2016, 10, 1056–1064. [Google Scholar] [CrossRef]
- Rubin, C.A.; Schneider, L.; Campos, M.S.; Oliveira, R.C. Tomato: Analysis of Production and Commercialization Indicators in the World, Brazilian and Santa Catarina Markets. Compendium of Conab Studies, Brasília, v. 21. 2019. Available online: https://www.conab.gov.br/institucional/publicacoes/compendio-de-estudos-daconab/item/12529-compendio-de-estudos-da-conab-v-21-tomate-analise-dosindicadores-da-producao-e-comercializacao-no-mercado-mundial-brasileiro-ecatarinense (accessed on 18 November 2023).
- Filgueira, F.A.R. Novo Manual de Olericultura: Agrotecnologia Moderna na Produção e Comercialização de Hortaliças, 3rd ed.; Editora UFV: Viçosa, Brazil, 2013; 421p. [Google Scholar]
- Piotto, F.A.; Peres, L.E.P. Base genética do hábito de crescimento e florescimento em tomateiro e sua importância na agricultura. Cienc. Rural 2012, 42, 1941–1946. [Google Scholar] [CrossRef]
- Finzi, R.R.; Maciel, G.M.; Luz, J.M.Q.; Clemente, A.A.; Siquieroli, A.C.S. Growth habit in mini tomato hybrids from a dwarf line. Biosci. J. 2017, 33, 52–56. [Google Scholar] [CrossRef]
- Luz, J.M.; Bittar, C.A.; Oliveira, R.C.; Nascimento, A.R.; Nogueira, A.P. Desempenho e divergência genética de genótipos de tomate para processamento industrial. Hortic. Bras. 2016, 34, 483–490. [Google Scholar] [CrossRef]
- Dipple, F.L.; Ponce, F.S.; Toledo, C.A.L.; Silva, R.M.; Rocha, R.R.; Salamina, B.A.Z.; Zanuzo, M.R.; Dallacort, R.; Seabra Júnior, S. Do the Training System and Spacing Affect the Productivity and Quality of Tomato Plants? Res. Soc. Dev. 2022, 11, e210111637766. [Google Scholar] [CrossRef]
- Reynolds, M.; Slafer, G.; Royo, C.; Araus, J. Physiology of yield and adaptation in wheat and barley breeding. In Physiology and Biotechnology Integration for Plant Breeding; CRC Press: Boca Raton, FL, USA, 2004. [Google Scholar] [CrossRef]
- Rutger, J.N.; Peterson, M.L. Improved short stature rice. Calif. Agric. 1976, 30, 4–6. [Google Scholar]
- Xue, W.Y.; Xing, Y.Z.; Weng, X.Y.; Zhao, Y.; Tang, W.J.; Wang, L.; Zhou, H.; Yu, S.; Xu, C.; Li, X.; et al. Natural variation in ghd7 is an important regulator of heading date and yield potential in rice. Nat. Genet. 2008, 40, 761–767. [Google Scholar] [CrossRef]
- Li, W.; Wu, J.; Weng, S.; Zhang, Y.; Zhang, D.; Shi, C. Identification and characterization of dwarf 62, a loss-of-function mutation in DLT/OsGRAS-32 affecting gibberellin metabolism in rice. Planta 2010, 232, 1383–1396. [Google Scholar] [CrossRef]
- Zanette, V.A.; Paterniani, E. The brachytic-2 gene effect in maize improved populations of reduced height plants. Pesq. Agropec. Bras. 1992, 27, 1173–1181. [Google Scholar]
- Winkler, R.; Helentjaris, G.T. The maize dwarf 3 gene encodes a cytochrome P450- mediated early step in gibberellin biosynthesis. Plant Cell 1995, 7, 1307–1317. [Google Scholar] [CrossRef]
- Teng, F.; Zhai, L.; Liu, R.; Bai, W.; Wang, L.; Huo, D.; Tao, Y.; Zheng, Y.; Zhang, Z. ZmGA3ox2, a candidate gene for a major QTL, qPH3.1, for plant height in maize. Plant J. 2013, 73, 405–416. [Google Scholar] [CrossRef] [PubMed]
- Yamaguchi, M.; Fujimoto, H.; Hirano, K.; Araki-Nakamura, S.; Ohmae-Shinohara, K.; Fujii, A.; Tsunashima, M.; Song, X.J.; Ito, Y.; Nagae, R.; et al. Sorghum Dw1, an agronomically important gene for lodging resistance, encodes a novel protein involved in cell proliferation. Sci. Rep. 2016, 6, 28366. [Google Scholar] [CrossRef] [PubMed]
- Wang, M.; Sun, S.; Wu, C.; Han, T.; Wang, Q. Isolation and Characterization of the Brassinosteroid Receptor Gene (GmBRI1) from Glycine max. Int. J. Mol. Sci. 2014, 15, 3871–3888. [Google Scholar] [CrossRef] [PubMed]
- Cantín, C.M.; Arús, P.; Eduardo, I. Identification of a new allele of the Dw gene causing brachytic dwarfing in peach. BMC Res. Notes 2018, 11, 386. [Google Scholar] [CrossRef] [PubMed]
- Xu, Y.; Jia, Q.; Zhou, G.; Zhang, X.; Angessa, T.; Broughton, S.; Yan, G.; Zhang, W.; Li, C. Characterization of the sdw1 semi-dwarf gene in barley. BMC Plant Biol. 2017, 17, 11. [Google Scholar] [CrossRef] [PubMed]
- Carvalho, A.; Medina Filho, H.P.; Fazuoli, L.C.; Costa, W.M.D. Number of loci and gene action of short stature factors in Coffea arabica L. Bragantia 1984, 43, 425–442. [Google Scholar] [CrossRef]
- Wang, Y.; Zhao, J.; Lu, W.; Deng, D. Gibberellin in plant height control: Old player, new story. Plant Cell Rep. 2017, 36, 391–398. [Google Scholar] [CrossRef] [PubMed]
- Liu, X.; Yang, W.; Wang, J.; Yang, M.; Wei, K.; Liu, X.; Qiu, Z.; Giang, T.V.; Wang, X.; Guo, Y.; et al. SlGID1a is a Putative Candidate Gene for qtph1.1, a Major-Effect Quantitative Trait Locus Controlling Tomato Plant Height. Front. Genet. 2020, 11, 881. [Google Scholar] [CrossRef] [PubMed]
- MacArthur, J.W. Inherited characters in the tomato. I. The self pruning habit. J. Hered. 1932, 23, 395–396. [Google Scholar] [CrossRef]
- Elkind, Y.; Gurnick, A.; Kedar, N. Genetics of semideterminate growth habit in tomato. HortScience 1991, 26, 1074–1075. [Google Scholar] [CrossRef]
- Park, S.J.; Jiang, K.; Tal, L.; Yichie, Y.; Gar, O.; Zamir, D.; Eshed, Y.; Lippman, Z.B. Optimization of crop productivity in tomato using induced mutations in the florigen pathway. Nat. Genet. 2014, 46, 1337–1342. [Google Scholar] [CrossRef] [PubMed]
- Lee, T.G.; Hutton, S.F.; Shekasteband, R. Fine mapping of the brachytic locus on the tomato genome. J. Amer. Soc. Hort. Sci. 2018, 143, 239–247. [Google Scholar] [CrossRef]
- Bishop, G.J.; Harrison, K.; Jones, J.D.G. The tomato Dwarf gene lsolated by heterologous transposon tagging encodes the first member of a new cytochrome P450 family. Plant Cell 1996, 8, 959–969. [Google Scholar] [CrossRef] [PubMed]
- Sun, X.; Shu, J.; Ali Mohamed, A.M.; Deng, X.; Zhi, X.; Bai, J.; Cui, Y.; Lu, X.; Du, Y.; Wang, X.; et al. Identification and characterization of EI (Elongated Internode) gene in tomato (Solanum lycopersicum). Int. J. Mol. Sci. 2019, 20, 2204. [Google Scholar] [CrossRef]
- Koornneef, M.; Bosma, T.D.; Hanhart, C.J.; Van der Veen, J.H.; Zeevaart, J.A. The isolation and characterization of gibberellin-deficient mutants in tomato. Theor. Appl. Genet. 1990, 80, 852–857. [Google Scholar] [CrossRef] [PubMed]
- Jupe, S.C.; Causton, D.R.; Scott, I.M. Cellular basis of the effects of gibberellin and the pro gene on stem growth in tomato. Planta 1988, 174, 106–111. [Google Scholar] [CrossRef] [PubMed]
- Kwon, C.T.; Heo, J.; Lemmon, Z.H.; Capus, Y.; Hutton, S.F.; Eck, J.V.; Park, S.J.; Lippman, Z.B. Rapid customization of Solanaceae fruit crops for urban agriculture. Nat. Biotechnol. 2020, 38, 182–188. [Google Scholar] [CrossRef] [PubMed]
- Schrager-Lavelle, A.; Gath, N.N.; Devisetty, U.K.; Carrera, E.; Lopez-Diaz, I.; Blazquez, M.A.; Maloof, J.N. The role of a class III gibberellin 2-oxidase in tomato internode elongation. Plant J. 2019, 97, 603–615. [Google Scholar] [CrossRef] [PubMed]
- Prince, H.L.; Drinkard, A.W. Inheritance in tomato hybrid. Va. Agr. Exp. Sta. Bull 1908, 177, 1–53. [Google Scholar]
- Maciel, G.M.; Silva, E.C.D.; Fernandes, M.A.R. Ocorrência de nanismo em planta de tomateiro do tipo grape. Rev. Caatinga 2015, 28, 259–264. [Google Scholar] [CrossRef]
- Finzi, R.R.; Maciel, G.M.; Silva, E.C.; Luz, J.M.Q.; Borba, M.E.A. Agronomic performance of mini-tomato hybrids from dwarf lines. Cienc. Agrotecnologia 2017, 41, 15–21. [Google Scholar] [CrossRef]
- Finzi, R.R.; Maciel, G.M.; Peres, H.G.; Silva, M.F.E.; Peixoto, J.V.M.; Gomes, D.A. Agronomic potential of BC1F2 dwarf round tomato populations. Cienc. Agrotecnologia 2020, 44, e028819. [Google Scholar] [CrossRef]
- Finzi, R.R.; Maciel, G.M.; Siquieroli, A.C.S.; Oliveira, C.S.; Peixoto, J.V.M.; Ribeiro, A.L.A. Agronomic potential, pest resistance, and fruit quality in BC1F3 dwarf round tomato populations. Comun. Sci. 2022, 13, e3759. [Google Scholar] [CrossRef]
- Gomes, D.A.; Maciel, G.M.; Siquieroli, A.C.S.; Oliveira, C.S.; Finzi, R.R.; Marques, D.J. Selection of BC1F3 populations of Santa Cruz type dwarf tomato plant by computational intelligence techniques. Bragantia 2021, 80, e4821. [Google Scholar] [CrossRef]
- Oliveira, C.S.; Maciel, G.M.; Siquieroli, A.C.S.; Gomes, D.A.; Martins, M.P.C.; Finzi, R.R. Selection of F2RC1 Saladette-Type Dwarf Tomato Plant Populations for Fruit Quality and Whitefly Resistance. Rev. Bras. Eng. Agric. Ambient. 2022, 26, 28–35. [Google Scholar] [CrossRef]
- Gomes, D.A.; Maciel, G.M.; Brandão Neto, L.; Oliveira, C.S.; Siquieroli, A.C.S.; Finzi, R.R. Agronomic potential of BC1F2 populations of Santa Cruz dwarf tomato plants. Acta Sci. Agron. 2022, 45, e56482. [Google Scholar] [CrossRef]
- Cruz, C.D.; Regazzi, A.; Carneiro, P. Modelos Biométricos Aplicados ao Melhoramento Genético, 3rd ed.; Editora UFV: Viçosa, Brazil, 2014; 668p. [Google Scholar]
- Andrade, M.C.; Silva, A.A.; Neiva, I.P.; Oliveira, I.R.; Castro, E.M.; Francis, D.M.; Maluf, W.R. Inheritance of type IV glandular trichome density and its association with whitefly resistance from Solanum galapagense accession LA140. Euphytica 2017, 213, 52–64. [Google Scholar] [CrossRef]
- Dias, D.M.; Corte, L.E.D.; Resende, J.T.V.; Zeffa, D.M.; Resende, N.C.V.; Zanin, D.S.; Lima Filho, R.B.D. Acylsugars in tomato varieties confer resistance to the whitefly and reduce the spread of fumagine. Bragantia 2021, 80, e4421. [Google Scholar] [CrossRef]
- Lucini, T.; Faria, M.V.; Rohde, C.; Resende, J.T.V.; Oliveira, J.R.F. Acylsugar and the role of trichomes in tomato genotypes resistance to Tetranychus urticae. Arthropod-Plant Interact. 2015, 9, 45–53. [Google Scholar] [CrossRef]
- Kabelka, E.; Yang, W.; Francis, D.M. Improved Tomato Fruit Color within an Inbred Backcross Line Derived from Lycopersicon esculentum and L. hirsutum Involves the Interaction of Loci. J. Am. Soc. Hortic. Sci. 2004, 129, 250–257. [Google Scholar] [CrossRef]
- Mesquita, A.G.G.; Guimarães, C.T.; Parentoni, S.N.; Paiva, E. Recuperação do Genitor Recorrente em Milho Utilizando Retrocruzamento Assistido por Marcadores Microssatélites. Rev. Bras. Milho Sorgo 2005, 4, 275–285. [Google Scholar] [CrossRef]
- Osei, M.K.; Prempeh, R.; Adjebeng-Danquah, J.; Opoku, J.A.; Danquah, A.; Danquah, E.; Blay, E.; Adu-Dapaah, H. Recent Advances in Tomato Breeding and Production. In Marker-Assisted Selection (MAS): A Fast-Track Tool in Tomato Breeding, Recent Advances in Tomato Breeding and Production; IntechOpen: London, UK, 2018. [Google Scholar] [CrossRef]
- Cassetari, L.S.; Gomes, M.S.; Santos, D.C.; Santiago, W.D.; Andrade, J.; Guimarães, A.C.; Souza, J.A.; Cardoso, M.G.; Maluf, W.R.; Gomes, L.A. β-Carotene and chlorophyll levels in cultivars and breeding lines of lettuce. Acta Hortic. 2015, 1083, 469–473. [Google Scholar] [CrossRef]
- Li, Q.; Wei, M.; Li, Y.; Feng, G.; Wang, Y.; Li, S.; Zhang, D. Effects of soil moisture on water transport, photosynthetic carbon gain and water use efficiency in tomato are influenced by evaporative demand. Agric. Water Manag. 2019, 226, 105818. [Google Scholar] [CrossRef]
- Ferreira, S.M.R.; Freitas, R.J.S.; Lazzari, E.N. Padrão de identidade e qualidade do tomate (Lycopersicon esculentum Mill.) de mesa. Cienc. Rural 2004, 34, 329–335. [Google Scholar] [CrossRef]
- Marques, M.J.; Vizú, J.F.; Silva Filho, D.F.; Ticona-Benavente, C.A. Tomato progenies selection in Rondônia, Brazil. Hortic. Bras. 2019, 37, 106–111. [Google Scholar] [CrossRef]
- Tijskens, L.M.M.; Mourik, S.; Dieleman, J.A.; Schouten, R.E. Size development of tomatoes growing in trusses: Linking time of fruit set to diameter. J. Sci. Food Agric. 2020, 100, 4020–4028. [Google Scholar] [CrossRef]
- Vazquez, D.V.; Costa, J.H.P.; Godoy, F.N.I.; Cambiaso, V.; Rodríguez, G.R. Genetic basis of the lobedness degree in tomato fruit morphology. Plant Sci. 2022, 319, 111258. [Google Scholar] [CrossRef] [PubMed]
- Schwarz, K.; Resende, J.T.V.; Preczenhak, A.P.; Paula, J.T.; Faria, M.V.; Dias, D.M. Desempenho agronômico e qualidade físico-química de híbridos de tomateiro em cultivo rasteiro. Hortic. Bras. 2013, 31, 410–418. [Google Scholar] [CrossRef]
- Asri, F.O.; Demirtas, E.I.; Ari, N. Changes in fruit yield, quality and nutrient concentrations in response to soil humic acid applications in processing tomato. Bulg. J. Agric. Sci. 2015, 21, 585–591. [Google Scholar]
- Boiteux, L.S.; Fonseca, M.E.N.; Giordano, L.B.; Melo, P.C.T. Melhoramento Genético. In Produção de Tomate para Processamento Industrial; Clemente, F.M.V.T., Boiteux, L.S., Eds.; Embrapa: Brasília, Brazil, 2012; pp. 31–50. [Google Scholar]
- Rosa, C.L.S.; Soares, A.G.; Freitas, D.F.G.C.; Rocha, M.C.; Ferreira, J.C.S.; Godoy, R.L.O. Characterization of four heirloom Italian tomato (Lycopersicum esculentum Mill) accessions produced under organic management for concentrated pulp preparation. Alim. Nutr. 2011, 22, 649–656. [Google Scholar]
- Osorio-Gracia, N.A.; Ortiz-Gonzalez, D.; Sandoval-Contreras, H.A.; Gomes, C.N.; Toledo-Picoli, E.A.; García-Parra, M. A Produtividade de tomates oriundos da polinização natural e mecânica em duas épocas de plantio. Rev. Agron. Noroeste Argent. 2020, 40, 51–61. [Google Scholar]
- Diel, M.I.; Zamban, D.T.; Olivoto, T.; Krysczun, D.K.; Pinheiro, M.V.M.; Sari, B.G.; Lúcio, A.D. Relationship between morpho-agronomic traits in tomato hybrids. Rev. Colomb. Cienc. Hortic. 2019, 13, 64–70. [Google Scholar] [CrossRef]
- Rohlf, F.J. Adaptive Hierarchical Clustering Schemes. Syst. Zool. 1970, 19, 58. [Google Scholar] [CrossRef]
- Oliveira, C.S.; Maciel, G.M.; Siquieroli, A.C.S.; Gomes, D.A.; Diniz, N.M.; Luz, J.M.Q.; Yada, R.Y. Artificial neural networks and genetic dissimilarity among saladette type dwarf tomato plant populations. Food Chem. 2021, 3, 100056. [Google Scholar] [CrossRef] [PubMed]
- Smeda, J.R.; Schilmiller, A.L.; Anderson, T.; Ben-Mahmoud, S.; Ullman, D.E.; Chappell, T.M.; Kessler, A.; Mutschler, M.A. Combination of Acylglucose QTL reveals additive and epistatic genetic interactions and impacts insect oviposition and virus infection. Mol. Breed. 2018, 38, 3. [Google Scholar] [CrossRef]
- Zeist, A.R.; Resende, J.T.V.; Oliveira, G.J.A.; Lima Filho, R.B.; Henschel, J.M.; Figueiredo, A.S.T.; Silva Júnior, A.D.; Faria, M.V. Genetic divergence among wild and hybrid tomato accessions based on morphoagronomic and physiological traits. Hortic. Bras. 2022, 40, 326–333. [Google Scholar] [CrossRef]
- Silva, T.L.; Terenciano, R.M.; Cruz, C.G.; Fernandes, F.L.; Fernandes, M.L.S. Resistance, hybrid vigor, genetic diversity, and toxicity of chemical constituents of tomatoes to Tuta absoluta (Lepidoptera: Gelechiidae). Arthropod Plant Interact. 2022, 16, 677–689. [Google Scholar] [CrossRef]
- Lattin, J.; Carroll, J.D.; Green, P.E. Análise de Dados Multivariados; Cengage Learning: São Paulo, Brazil, 2011; 475p. [Google Scholar]
- Barbosa, C.D.; Viana, A.P.; Quintal, S.S.R.; Pereira, M.G. Artificial neural network analysis of genetic diversity in Carica papaya L. Crop Breed. Appl. Biotechnol. 2011, 11, 224–231. [Google Scholar] [CrossRef][Green Version]
- Spanoghe, M.C.; Marique, T.; Rivière, J.; Moulin, M.; Dekuijper, C.; Nirsha, A.; Bonnave, M.; Lanterbecq, D. Genetic patterns recognition in crop species using self-organizing map: The example of the highly heterozygous autotetraploid potato (Solanum tuberosum L.). Genet. Resour. Crop Evol. 2020, 67, 947–966. [Google Scholar] [CrossRef]
- Kohonen, T. MATLAB Implementations and Applications of the Self-Organizing Map; Unigraphia Oy: Helsinki, Finland, 2014; 201p. [Google Scholar]
- Santos, I.G.; Carneiro, V.Q.; Silva Junior, A.C.D.; Cruz, C.D.; Soares, P.C. Self-organizing maps in the study of genetic diversity among irrigated rice genotypes. Acta Sci. Agron. 2018, 41, 39803. [Google Scholar] [CrossRef]
- Anzano, A.; Bonanomi, G.; Mazzoleni, S.; Lanzotti, V. Plant Metabolomics in Biotic and Abiotic Stress: A Critical Overview. Phytochem. Rev. 2022, 21, 503–524. [Google Scholar] [CrossRef]
- Han, M.; Zhang, C.; Suglo, P.; Sun, S.; Wang, M.; Su, T. l-Aspartate: An Essential Metabolite for Plant Growth and Stress Acclimation. Molecules 2021, 26, 1887. [Google Scholar] [CrossRef]
- Salam, U.; Ullah, S.; Tang, Z.-H.; Elateeq, A.A.; Khan, Y.; Khan, J.; Khan, A.; Ali, S. Plant metabolomics: An overview of the role of primary and secondary metabolites against different environmental stress factors. Life 2023, 13, 706. [Google Scholar] [CrossRef] [PubMed]
- Naik, B.; Kumar, V.; Rizwanuddin, S.; Chauhan, M.; Choudhary, M.; Gupta, A.K.; Kumar, P.; Kumar, V.; Saris, P.E.J.; Rather, M.A.; et al. Genomics, Proteomics, and Metabolomics Approaches to Improve Abiotic Stress Tolerance in Tomato Plant. Int. J. Mol. Sci. 2023, 24, 3025. [Google Scholar] [CrossRef] [PubMed]
- SISMET. Sistema de Monitoramento Meteorológico Cooxupé, 2023. Available online: https://sismet.cooxupe.com.br:9000/ (accessed on 14 August 2023).
- Alvarenga, M.A.R. Tomate: Produção em Campo, Em Casa-Devegetação e em Hidroponia; Editora UFLA: Lavras, Brazil, 2013; 455p. [Google Scholar]
- Maciel, G.M.; Silva, E.C. Methodological proposal to quantify acylsugars in tomato leaflets. Hortic. Bras. 2014, 32, 174–177. [Google Scholar] [CrossRef]
- Mantel, N. The detection of disease clustering and a generalized regression approach. Cancer Res. 1967, 27, 209–220. [Google Scholar] [PubMed]
- SINGH, D. The relative importance of characters affecting genetic divergence. Indian J. Genet. Pl. Br. 1981, 41, 237–245. [Google Scholar]
- Cruz, C.D. Genes Software—Extended and integrated with the R, Matlab and Selegen. Acta Sci. Agron. 2016, 38, 547–552. [Google Scholar] [CrossRef]
- Cruz, C.D.; Nascimento, M. Inteligência Computacional Aplicada ao Melhoramento Genético; Editora UFV: Viçosa, Brazil, 2018; 414p. [Google Scholar]
- R Core Team. R: A Language and Environment for Statistical Computing; R Foundation for Statistical Computing: Vienna, Austria, 2023; Available online: https://www.R-project.org/ (accessed on 14 October 2023).
- Wehrens, R.; Kruisselbrink, J. Flexible Self-Organizing Maps in Kohonen 3.0. J. Stat. Soft. 2018, 87, 1–18. [Google Scholar] [CrossRef]









Disclaimer/Publisher’s Note: The statements, opinions and data contained in all publications are solely those of the individual author(s) and contributor(s) and not of MDPI and/or the editor(s). MDPI and/or the editor(s) disclaim responsibility for any injury to people or property resulting from any ideas, methods, instructions or products referred to in the content. |
© 2024 by the authors. Licensee MDPI, Basel, Switzerland. This article is an open access article distributed under the terms and conditions of the Creative Commons Attribution (CC BY) license (https://creativecommons.org/licenses/by/4.0/).
Share and Cite
Pereira, L.M.; Maciel, G.M.; Siquieroli, A.C.S.; Luz, J.M.Q.; Ribeiro, A.L.A.; Oliveira, C.S.d.; Pinto, F.G.; Ikehara, B.R.M. Introgression of the Self-Pruning Gene into Dwarf Tomatoes to Obtain Salad-Type Determinate Growth Lines. Plants 2024, 13, 1522. https://doi.org/10.3390/plants13111522
Pereira LM, Maciel GM, Siquieroli ACS, Luz JMQ, Ribeiro ALA, Oliveira CSd, Pinto FG, Ikehara BRM. Introgression of the Self-Pruning Gene into Dwarf Tomatoes to Obtain Salad-Type Determinate Growth Lines. Plants. 2024; 13(11):1522. https://doi.org/10.3390/plants13111522
Chicago/Turabian StylePereira, Lucas Medeiros, Gabriel Mascarenhas Maciel, Ana Carolina Silva Siquieroli, José Magno Queiroz Luz, Ana Luisa Alves Ribeiro, Camila Soares de Oliveira, Frederico Garcia Pinto, and Brena Rodrigues Mota Ikehara. 2024. "Introgression of the Self-Pruning Gene into Dwarf Tomatoes to Obtain Salad-Type Determinate Growth Lines" Plants 13, no. 11: 1522. https://doi.org/10.3390/plants13111522
APA StylePereira, L. M., Maciel, G. M., Siquieroli, A. C. S., Luz, J. M. Q., Ribeiro, A. L. A., Oliveira, C. S. d., Pinto, F. G., & Ikehara, B. R. M. (2024). Introgression of the Self-Pruning Gene into Dwarf Tomatoes to Obtain Salad-Type Determinate Growth Lines. Plants, 13(11), 1522. https://doi.org/10.3390/plants13111522

