Growth, Productivity, Yield Components and Seasonality of Different Genotypes of Forage Clover Lotus corniculatus L. under Varied Soil Moisture Contents
Abstract
1. Introduction
2. Results
2.1. Climatic Conditions within the Shade Mesh
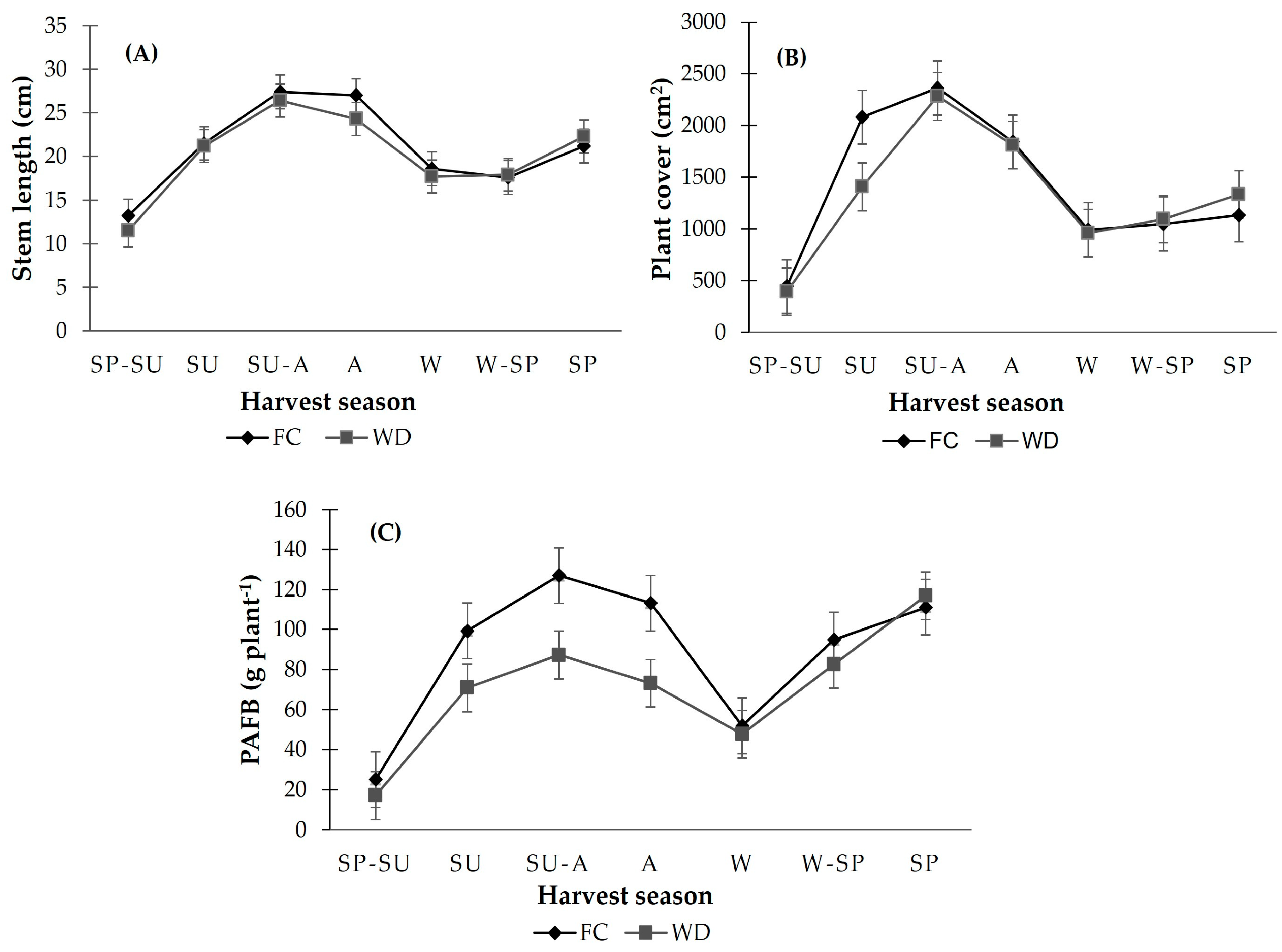
2.2. Stem Length
2.3. Plant Coverage
2.4. Production of Accumulated Fresh Biomass (PAFB)
2.5. Performance Components
2.6. Temporal Dynamics of Plant Growth
3. Discussion
4. Materials and Methods
4.1. Geographic Location of the Study Area
4.2. Preparing the Experiment
4.3. Experimental Design
4.4. Measured Variables
4.4.1. Stem Length
4.4.2. Plant Coverage
4.4.3. Production Accumulated Fresh Biomass
4.4.4. Yield Components of Forage
4.5. Analysis of Data
5. Conclusions
Author Contributions
Funding
Data Availability Statement
Acknowledgments
Conflicts of Interest
References
- Martin, M.L.; Rivera, A.J.Y.; Castizo, R.R. Cambio Climático y Desarrollo Sustentable. Informe La Rábida, Huelva. 2018, p. 13. Available online: https://www.fundacioncarolina.es (accessed on 22 March 2023).
- Neri, G.M.C.Y.; Ortega, M.A. Cultivos alternativos como un mecanismo para el desarrollo de zonas áridas: El caso de jojoba en el Altiplano Potosino. Rev. Int. Estadística Geogr. 2019, 10, 44–63. [Google Scholar]
- Pedrozo, A.A. Escasez de Agua, Disponibilidad y Agricultura; Perspectivas IMTA, Medio Ambiente: 2022; p. 5. [CrossRef]
- Corral-Bermudez, M.L.; Sánchez-Ortiz, E.; Álvarez-Bernal, D.; Gutiérrez-Montenegro, M.O.; Cassio-Madrazo, E. Scenarios of availability of water due to overexploitation of the aquifer in the basin of Laguna de Santiaguillo, Durango, Mexico. PeerJ 2019, 7, e6814. [Google Scholar] [CrossRef] [PubMed]
- Azpilcueta-Pérez, M.E.; Pedroza-Sandoval, A.; Trejo-Calzada, R.; Sánchez-Cohen, I.Y.; Jacobo-Salcedo, M.; Del, R. Chemical residuality in maize (Zea mays L.) fields irrigated with deep well water. Rev. Ecosistemas Recur. Agropecu. 2018, 5, 111–117. [Google Scholar] [CrossRef]
- Varijakshapanicker, P.; Mckune, S.; Miller, L.; Hendrickx, S.; Balehegn, M.; Dahl, G.E.; Adesogan, A.T. Sustainable livestock systems to improve human health, nutrition, and economic status. Anim. Front. 2019, 9, 39–50. [Google Scholar] [CrossRef] [PubMed]
- Ramírez Barraza, B.A.; González Estrada, A.; Valdivia Alcalá, R.; Salas González, J.M.; García Salazar, J.A. Tarifas eficientes para el agua de uso agrícola en la Comarca Lagunera. Rev. Mex. Cienc. Agrícolas 2019, 10, 539–550. [Google Scholar] [CrossRef][Green Version]
- Çakmakçı, R.; Salık, M.A.; Çakmakçı, S. Assessment and Principles of Environmentally Sustainable Food and Agriculture Systems. Agriculture 2023, 13, 1073. [Google Scholar] [CrossRef]
- Scott, R.C.; Murari, J.; Serkan, A.; Faik, Y.B.; Mohamed, K.O.; Loss, S. Potential legume alternatives to fallow and wheat monoculture for Mediterranean environments. Crop Pasture Sci. 2014, 66, 113–121. [Google Scholar]
- Capstaff, N.; Miller, A. Improving the Yield and Nutritional Quality of Forage Crops. Front. Plant Sci. 2018, 9, 535. [Google Scholar] [CrossRef]
- Hasanuzzaman, M. Plant Ecophysiology and Adaptation under Climate Change: Mechanisms and Perspectives I; Springer: Singapore, 2020. [Google Scholar]
- Yimer, E.A.; De Trift, L.; Lobkowicz, I.; Villani, L.; Nossent, J.; van Griensven, A. The underexposed nature-based solutions: A critical state-of-art review on drought mitigation. J. Environ. Manag. 2024, 352, 119903. [Google Scholar] [CrossRef]
- Sinclair, F.; Wezel, A.; Mbow, C.; Chomba, S.; Robiglio, V.; Harrison, R. The Contribution of Agroecological Approaches To Realizing Climate-Resilient Agriculture; Global Commission on Adaptation to Inform Its 2019 Flagship Report; GCA: Rotterdam, The Netherlands; Washington, DC, USA, 2019; Volume 46, Available online: https://gca.org/wp-content/uploads/2020/12/TheContributionsOfAgroecologicalApproaches.pdf (accessed on 5 April 2023).
- Grant, W.F.; Small, E. The origin of the Lotus corniculatus (Fabaceae) complex: A synthesis of diverse evidence. Can. J. Bot. 1996, 74, 975–989. [Google Scholar] [CrossRef]
- Qi, A.; Whatford, L.; Payne-Gifford, S.; Cooke, R.; Van Winden, S.; Häsler, B.; Barling, D. Can 100% Pasture-Based Livestock Farming Produce Enough Ruminant Meat to Meet the Current Consumption Demand in the UK? Grasses 2023, 2, 185–206. [Google Scholar] [CrossRef]
- Sitterson, J.M.; Andales, A.A.; Mooney, D.F.; Capurro, M.C.; Brummer, J.E. Developing a Crop Water Production Function for Alfalfa under Deficit Irrigation: A Case Study in Eastern Colorado. Agriculture 2023, 13, 831. [Google Scholar] [CrossRef]
- Flores-Hernández, A.; Araújo-Filho, J.T.; Gomes da Silva, F.; Ramírez-Ordoñez, S.; Murillo-Amador, B. Dietas a base de forraje tradicional y nopal (Opuntia spp.) enriquecido con proteínas para alimentar cabras. Nova Sci. 2017, 9, 149–166. [Google Scholar] [CrossRef]
- Bacarrillo-López, R.; Pedroza-Sandoval, A.; Inzunza Ibarra, M.A.; Flores-Hernández, A.; Macías-Rodríguez, F.J. Productividad de forraje de variedades de nopal (Opuntia spp.) bajo diferentes regímenes de humedad del suelo. Ecosistemas Recur. Agropecu. 2021, 8, 1–10. [Google Scholar] [CrossRef]
- Pedroza-Sandoval, A.; Xolocotzi-Acoltzi, S.; Trejo-Calzada, R.; García-De Los Santos, G.; Álvarez-Vázquez, P.Y.; Arreola-Ávila, J.G. Leaf area index and forage productivity indicators of Lotus corniculatus L. at different soil moisture contents and seasons of the year. Rev. Mex. Cienc. Pecu. 2024, 15, 17–31. [Google Scholar]
- González-Espíndola, L.A.; Pedroza-Sandoval, A.; de los Santos, G.G.; Trejo-Calzada, R.; Álvarez-Vázquez, P.Y.; María del Rosario Jacobo-Salcedo, M. Secondary Metabolites and Their Antioxidant Activity Enhance the Tolerance to Water Deficit on Clover Lotus corniculatus L. through Different Seasonal Times. Int. J. Plant Biol. 2024, 15, 175–186. [Google Scholar] [CrossRef]
- Voisin, A.S.; Guéguen, J.; Huyghe, C.; Jeuffroy, M.H.; Magrini, M.B.; Meynard, J.M.; Mougel, C.; Pellerin, S.; Pelzer, E. Legumes for feed, food, biomaterials and bioenergy in Europe: A review. Agron. Sustain. Dev. 2014, 34, 361–380. [Google Scholar] [CrossRef]
- Ventura Ríos, J.; Hernández Moreno, E.; Santiago Ortega, M.A.; Wilson García, C.Y.; Maldonado Peralta, M.D.L.Á.; Rojas García, A.R. Rendimiento de trébol blanco asociado con pasto ovillo a diferentes frecuencias de pastoreo. Rev. Mex. Cienc. Agrícolas 2020, 11, 1–12. [Google Scholar] [CrossRef][Green Version]
- Sujkowska-Rybkowska, M.; Kasowska, D.Y.; Gediga, K. Lotus corniculatus-rhizobia symbiosis under Ni, Co and Cr stress on ultramafic soil. Plant Soil 2020, 451, 459–484. [Google Scholar] [CrossRef]
- Marley, C.L.; Fychan, R.; Jones, R. Yield, persistency and chemical composition of Lotus species and varieties (birdsfoot trefoil and greater birdsfoot trefoil) when harvested for silage in the UK. Grass Forage Sci. 2006, 61, 134–145. [Google Scholar] [CrossRef]
- Barry, T.N.; Kemp, P.D.; Ramírez-Restrepo, C.A.Y.; López-Villalobos, N. Sheep production and agronomic performance of Lotus corniculatus under dryland farming. Res. Pract. Ser. 2003, 11, 109–115. [Google Scholar] [CrossRef]
- IICA. LOTASSA: Un Puente Entre la Genómica y las Pasturas del Siglo XXI; PROCISUR: Montevideo, Uruguay, 2010. [Google Scholar]
- Casler, M.D.; Undersander, D.J. Identification of temperate pasture grasses and legumes. In Horse Pasture Management; Sharpe, P., Ed.; Academic Press: London, UK, 2018; pp. 11–36. [Google Scholar]
- Clua, A.; Paez, M.; Orsini, H.; Beltrano, J. Incidence of drought stress and rewatering on Lotus tenuis. Effects on cell membrane stability. Lotus Newsl. 2009, 29, 21–27. [Google Scholar]
- Christensen, R.G.; Eun, J.S.; Yang, S.Y.; Min, B.R.; MacAdam, J.W. In vitro effects of birdsfoot trefoil (Lotus corniculatus L.) pasture on ruminal fermentation, microbial population, and methane production. Prof. Anim. Sci. 2017, 33, 451–460. [Google Scholar] [CrossRef]
- Ixtaina, V.Y.Y.; Mujica, M.M. Seedling vigor response of Lotus tenuis populations to contrasting variations of water and nutrient availability. Agrociencia 2010, 44, 31–41. [Google Scholar]
- Tyree, M.T.; Engelbrecht, B.M.; Vargas, G.; Kursar, T.A. Desiccation tolerance of five tropical seedlings in Panama: Relationship to a field assessment of drought performance. Plant Physiol. 2003, 132, 1439–1447. [Google Scholar] [CrossRef] [PubMed]
- García-Bonilla, D.V.; Guerrero-Rodríguez, J.D.; García-de los Santos, G.Y.; Lagunes-Rivera, S. Rendimiento y calidad de forraje de genotipos Lotus corniculatus L., en el Estado de México. Nova Sci. 2014, 7, 170–189. [Google Scholar] [CrossRef][Green Version]
- Álvarez-Vázquez, P.; García-de los Santos, G.; Guerrero-Rodríguez, J.; Mendoza-Pedroza, S.I.; Ortega-Cerilla, M.Y.; Hernández-Garay, A. Productive performance of Lotus corniculatus L. dependent on harvest strategy. Agrociencia 2018, 52, 1081–1093. [Google Scholar]
- Corrêa, T.R.; Picoli, E.A.d.T.; Pereira, W.L.; Condé, S.A.; Resende, R.T.; de Resende, M.D.V.; da Costa, W.G.; Cruz, C.D.; Zauza, E.A.V. Very Early Biomarkers Screening for Water Deficit Tolerance in Commercial Eucalyptus Clones. Agronomy 2023, 13, 937. [Google Scholar] [CrossRef]
- Medrano, H.; Bota, J.; Cifre, J.; Flexas, J.; Ribas-Carbó, M.Y.; Gulías, J. Eficiencia del uso del agua por las plantas. Investig. Geográficas 2007, 43, 63–84. [Google Scholar] [CrossRef]
- Moore, K.J.; Lenssen, A.W.; Fales, S.L. Factors Affecting Forage Quality. In Forages: The Science of Grassland Agriculture II; Moore, K.J., Collins, M., Nelson, C.J., Redfearn, D., Eds.; Wiley: Hoboken, NJ, USA, 2020; pp. 701–717. [Google Scholar]
- Andrzejewska, J.; Ignaczak, S.; Albrecht, K.A.; Surucu, M. Fractional harvest of perennial legumes can improve forage quality and their exploitation. Grassl. Sci. Eur. 2017, 22, 509–511. [Google Scholar]
- Álvarez-Vázquez, P.; Hernández-Garay, A.; García-de los Santos, G.; Guerrero-Rodríguez, J.D.; Mendoza-Pedroza, S.I.; Ortega-Cerilla, M.E.; Rojas-García, A.R.Y.; Wilson-García, C.Y. Potencial Forrajero de Lotus corniculatus L. con diferentes estrategias de manejo. Agroproductividad 2018, 11, 24–28. [Google Scholar]
- Festo, J.M.; Sabed, N.A.Y.; Jeremy, A.R. The impact of temperature on leaf appearance in bamba groundnut landraces. Crop Sci. 2003, 43, 1375–1379. [Google Scholar]
- Tafolla-Arellano, J.C.; González-León, A.; Tiznado-Hernández, M.E.; Zacarías-García, L.Y. Báez-Sañudo, R. Composición, fisiología y biosíntesis de la cutícula en plantas. Rev. Fitotec. Mex. 2013, 36, 3–12. [Google Scholar]
- Medina, G.; Díaz, G.; López, J.; Ruíz, J.A.Y.; Marín, M.S. Estadísticas Climatológicas Básicas del Estado de Durango (Periodo 1961–2003); Libro Técnico No. 1; Campo Experimental Valle del Guadiana, CIRNOC-INIFAP: Durango, Mexico, 2005. [Google Scholar]
- Richards, L.A. Porous plate apparatus for measuring moisture retention and transmission by soil. Soil Sci. 1948, 66, 105–110. [Google Scholar] [CrossRef]
- Caleño, R.B.L. Caracterización de Poblaciones y Producción Silvestre de Frutos de Agraz (Vaccinium meridionale Sw.) en Ráquira, Boyacá: Bases para su Protocolo de Manejo Sostenible en el Altiplano Cundiboyacense; Instituto de Investigación de Recursos Biológicos Alexander von Humboldt: Bogotá, Colombia, 2022; p. 87. [Google Scholar]
- SAS, Institute. SAS/STAT® 9.2. Use’s Guide Release; SAS Institute Inc.: Cary, NC, USA, 2009. [Google Scholar]





| Ecotypes/Variety | Stem Length (cm) | Plant Coverage (cm2) | PAFB (g plant−1) | |||
|---|---|---|---|---|---|---|
| FC | WD | FC | WD | FC | WD | |
| 255301 | 20.5 a ± 6.0 | 21.6 ab ± 7.2 | 1299.7 b ± 643.7 | 1252.8 ab ± 880.1 | 605.8 ab ± 54.5 | 410.6 b ± 118.7 |
| 255305 | 22.0 a ± 5.2 | 19.5 b ± 4.8 | 1661.2 a ± 875.5 | 1244.3 ab ± 681.4 | 740.1 a ± 58.9 | 497.6 ab ± 94.6 |
| 202700 | 21.8 a ± 7.0 | 23.0 a ± 4.3 | 1530.0 ab ± 920.2 | 1649.0 a ± 756.5 | 571.3 b ± 160.9 | 583.7 a ± 45.7 |
| 226792 | 20.3 a ± 5.8 | 19.1 b ± 5.3 | 1249.0 b ± 589.1 | 1121.5 b ± 597.7 | 554.7 b ± 322.2 | 497.7 ab ± 278.5 |
| Estanzuela Ganador | 21.2 a ± 4.6 | 19.7 b ± 4.4 | 1334.1 ab ± 671.8 | 1117.1 b ± 498.9 | 640.4 ab ± 116.9 | 486.5 ab ± 283.0 |
| Ecotypes/Variety | Country of Origin | Growth Habit |
|---|---|---|
| 255301 | Francia | Semi erecto |
| 255305 | Italia | Semi erecto |
| 202700 | Uruguay | Erecto |
| 226792 | Canadá | Semi erecto |
| Estanzuela Ganador | Uruguay | Erecto |
Disclaimer/Publisher’s Note: The statements, opinions and data contained in all publications are solely those of the individual author(s) and contributor(s) and not of MDPI and/or the editor(s). MDPI and/or the editor(s) disclaim responsibility for any injury to people or property resulting from any ideas, methods, instructions or products referred to in the content. |
© 2024 by the authors. Licensee MDPI, Basel, Switzerland. This article is an open access article distributed under the terms and conditions of the Creative Commons Attribution (CC BY) license (https://creativecommons.org/licenses/by/4.0/).
Share and Cite
Xolocotzi-Acoltzi, S.; Pedroza-Sandoval, A.; García-De los Santos, G.; Álvarez-Vázquez, P.; Gramillo-Ávila, I. Growth, Productivity, Yield Components and Seasonality of Different Genotypes of Forage Clover Lotus corniculatus L. under Varied Soil Moisture Contents. Plants 2024, 13, 1407. https://doi.org/10.3390/plants13101407
Xolocotzi-Acoltzi S, Pedroza-Sandoval A, García-De los Santos G, Álvarez-Vázquez P, Gramillo-Ávila I. Growth, Productivity, Yield Components and Seasonality of Different Genotypes of Forage Clover Lotus corniculatus L. under Varied Soil Moisture Contents. Plants. 2024; 13(10):1407. https://doi.org/10.3390/plants13101407
Chicago/Turabian StyleXolocotzi-Acoltzi, Sahara, Aurelio Pedroza-Sandoval, Gabino García-De los Santos, Perpetuo Álvarez-Vázquez, and Isaac Gramillo-Ávila. 2024. "Growth, Productivity, Yield Components and Seasonality of Different Genotypes of Forage Clover Lotus corniculatus L. under Varied Soil Moisture Contents" Plants 13, no. 10: 1407. https://doi.org/10.3390/plants13101407
APA StyleXolocotzi-Acoltzi, S., Pedroza-Sandoval, A., García-De los Santos, G., Álvarez-Vázquez, P., & Gramillo-Ávila, I. (2024). Growth, Productivity, Yield Components and Seasonality of Different Genotypes of Forage Clover Lotus corniculatus L. under Varied Soil Moisture Contents. Plants, 13(10), 1407. https://doi.org/10.3390/plants13101407

