Effect of NaCl and EDDS on Heavy Metal Accumulation in Kosteletzkya pentacarpos in Polymetallic Polluted Soil
Abstract
1. Introduction
2. Results and Discussion
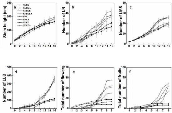
2.1. Plant Growth and Reproduction
2.2. Heavy Metal Concentration and Bioavailability in Soil
2.3. Heavy Metal Concentration in the Vegetative Organs
2.4. Structural Polysaccharides Analysis
3. Materials and Methods
3.1. Culture Condition and Plant Material
3.2. Growth and Reproduction Assessment
3.3. Evaluation of Ion Concentration in Plants
3.4. Ion Concentration and Bioavailability in Soil
3.5. Structural Polysaccharides Analysis by the Van Soest Method
3.6. Statistical Analysis
4. Conclusions
Supplementary Materials
Author Contributions
Funding
Data Availability Statement
Conflicts of Interest
References
- Arfaeinia, H.; Nabipour, I.; Ostovar, A.; Asadgol, Z.; Abuee, E.; Keshtkar, M.; Dobaradaran, S. Assessment of sediment quality based on acid-volatile sulfide and simultaneously extracted metals in heavily industrialized area of Asaluyeh, Persian Gulf: Concentrations, spatial distributions, and sediment bioavailability/toxicity. Environ. Sci. Pollut. Res. Int. 2016, 23, 9871–9890. [Google Scholar] [CrossRef] [PubMed]
- Bhat, S.A.; Singh, S.; Singh, J.; Kumar, S.; Bhawana, V.A.P. Bioremediation and detoxification of industrial wastes by earthworms: Vermicompost as powerful crop nutrient in sustainable agriculture. Bioresour. Technol. 2018, 252, 172–179. [Google Scholar] [CrossRef] [PubMed]
- Eshraghi, F.; Nezamzadeh-Ejhieh, A. EDTA-functionalized clinoptilolite nanoparticles as an effective adsorbent for Pb (II) removal. Environ. Sci. Pollut. Res. Int. 2018, 25, 14043–14056. [Google Scholar] [CrossRef] [PubMed]
- Yoo, J.C.; Beiyuan, J.; Wang, L.; Tsang, D.C.W.; Baek, K.; Bolan, N.S.; Ok, Y.S.; Li, X.D. A combination of ferric nitrate / EDDS-enhanced washing and sludge-derived biochar stabilization of metal-contaminated soils. Sci. Total Environ. 2018, 616, 572–582. [Google Scholar] [CrossRef] [PubMed]
- Qin, P.; Han, R.-M.; Zhou, M.-X.; Zhang, H.-S.; Fan, L.-S.; Seliskar, D.M.; Gallagher, J.L. Ecological engineering through the biosecure introduction of Kosteletzkya virginica (seashore mallow) to saline lands in China: A review of 20 years of activity. Ecol. Eng. 2015, 74, 174–186. [Google Scholar] [CrossRef]
- Ghanem, M.E.; Han, R.M.; Classen, B.; Leclerq, J.; Mahy, G.; Ruan, C.J.; PérezAlfcoea, F.; Lutts, S. Mucilages and polysaccharides in the halophyte plant species Kosteletzkya virginica (L.) Presl.: Localization and composition in relation to salt-induced physiological modifications. J. Plant Physiol. 2010, 167, 382–392. [Google Scholar] [CrossRef]
- Liu, Y.X.; Ma, Y.L.; Aray, H.; Lan, H.Y. Morphogenesis and cell wall composition of trichomes and their function in response to salt in halophyte Salsola ferganica. BMC Plant Biol. 2022, 22, 551. [Google Scholar] [CrossRef]
- Chen, Y.T.; Li, W.L.; Turner, J.A.; Anderson, J.T. PECTATE LYASE LIKE12 patterns the guard cell wall to coordinate turgor pressure and wall mechanics for proper stomatal function in Arabidopsis. Plant Cell 2021, 33, 3134–3150. [Google Scholar] [CrossRef]
- Zhou, M.X.; Classen, B.; Angeessen, R.; Godin, B.; Lutts, S. Salinity Improves Zinc Resistance in Kosteletzkya pentacarpos in Relation to a Modification in Mucilage and Polysaccharides Composition. Int. J. Environ. Res. Vol. 2020, 14, 323–333. [Google Scholar] [CrossRef]
- Han, R.M.; Lefèvre, I.; Ruan, C.J.; Qin, P.; Lutts, S. NaCl differently interferes with Cd and Zn toxicities in the wetland halophyte species Kosteletzkya virginica (L.) Presl. Plant Growth Regul. 2012, 68, 97–109. [Google Scholar] [CrossRef]
- Han, R.M.; Quinet, M.; André, E.; Van Elteren, J.; Destrebecq, F.; Vogel-Mikus, K.; Cui, G.; Debeljak, M.; Lefèvre, I.; Lutts, S. Accumulation and distribution of Zn in the shoots and reproductive structures of the halophyte plant species Kosteletzkya virginica as a function of salinity. Planta 2013, 238, 441–457. [Google Scholar] [CrossRef]
- Han, R.M.; Lefèvre, I.; Albacete, A.; Pérez-Alfocéa, F.; Baeba-Espín, G.; Díaz-Vivancos, P.; Quinet, M.; Ruan, C.J.; Hernández, J.A.; Cantero-Navarro, E.; et al. Antioxidant enzyme activities and hormonal status in response to Cd stress in the wetland halophyte Kosteletzkya virginica under saline conditions. Physiol. Plant 2013, 147, 352–368. [Google Scholar] [CrossRef]
- Fässler, E.; Evangelou, M.W.; Robinson, B.H.; Schulin, R. Effects of indole-3-acetic acid (IAA) on sunflower growth and heavy metal uptake in combination with ethylene diamine disuccinic acid (EDDS). Chemosphere 2010, 80, 901–907. [Google Scholar] [CrossRef]
- Ryser, P.; Sauder, W.R. Effects of heavy-metal-contaminated soil on growth, phenology and biomass turnover of Hieracium piloselloides. Environ. Pollut. 2006, 140, 52–61. [Google Scholar] [CrossRef]
- Weggler-Beaton, K.; McLaughlin, M.J.; Graham, R.D. Salinity increases cadmium uptake by wheat and Swiss chard from soil amended with biosolids. Aust. J. Soil Res. 2000, 38, 37–46. [Google Scholar] [CrossRef]
- Manousaki, E.; Kalogerakis, N. Phytoextraction of Pb and Cd by the Mediterranean saltbush (Atriplex halimus L.): Metal uptake in relation to salinity. Environ. Sci. Pollut. Res. 2009, 16, 844–854. [Google Scholar] [CrossRef]
- Panda, A.; Rangani, J.; Kumari, A.; Paride, A.K. Efficient regulation of arsenic translocation to shoot tissue and modulation of phytochelatin levels and antioxidative defense system confers salinity and arsenic tolerance in the Halophyte Suaeda maritima. Environ. Exp. Bot. 2017, 143, 149–171. [Google Scholar] [CrossRef]
- Vromman, D.; Lefèvre, I.; Šlejkovec, Z.; Martínez, J.P.; Vanhecke, N.; Briceño, M.; Kumar, M.; Lutts, S. Salinity influences arsenic resistance in the xerohalophyte Atriplex atacamensis Phil. Environ. Exp. Bot. 2016, 126, 32–43. [Google Scholar] [CrossRef]
- Li, X.; Zhang, X.; Wang, X.; Yang, X.; Cui, Z. Bioaugmentation-assisted phytoremediation of lead and salinity co-contaminated soil by Suaeda salsa and Trichoderma asperellum. Chemosphere 2019, 224, 716–725. [Google Scholar] [CrossRef]
- Ghnaya, T.; Slama, I.; Messedi, D.; Grignon, C.; Ghorbel, M.H.; Abdelly, C. Cd-induced growth reduction in the halophyte Sesuvium portulacastrum is significantly improved by NaCl. J. Plant Res. 2007, 120, 309–316. [Google Scholar] [CrossRef]
- Lan, J.C.; Zhang, S.R.; Lin, H.C.; Li, T.; Xu, X.X.; Li, Y.; Jia, Y.X.; Gong, G.S. Efficiency of biodegradable EDDS, NTA and APAM on enhancing the phytoextraction of cadmium by Siegesbeckia orientalis L. grown in Cd-contaminated soils. Chemosphere 2013, 91, 1362–1367. [Google Scholar] [CrossRef] [PubMed]
- Epelde, L.; Hernández-Allica, J.; Becerril, J.M.; Blanco, F.; Garbisu, C. Effects of chelates on plants and soil microbial community: Comparison of EDTA and EDDS for lead phytoextraction. Sci. Total Environ. 2008, 401, 21–28. [Google Scholar] [CrossRef] [PubMed]
- Attinti, R.; Barrett, K.R.; Datta, R.; Sarkar, D. Ethylenediaminedisuccinic acid (EDDS) enhances phytoextraction of lead by vetiver grass from contaminated residential soils in a panel study in the field. Environ. Pollut. 2017, 225, 524–533. [Google Scholar] [CrossRef] [PubMed]
- Marques, A.P.G.C.; Oliveira, R.S.; Smardjieva, K.A.; Pissarra, J.; Rangel, A.O.O.S.; Castro, P.M.L. EDDS and EDTA-enhanced zinc accumulation by solanum nigrum inoculated with arbuscular mycorrhizal fungi grown in contaminated soil. Chemosphere 2008, 70, 1002–1014. [Google Scholar] [CrossRef]
- Xiong, J.; An, L.Y.; Lu, H.; Zhu, C. Exogenous nitric oxide enhances cadmium tolerance of rice by increasing pectin and hemicellulose contents in root cell wall. Plants 2009, 230, 755–765. [Google Scholar] [CrossRef]
- Zhu, X.F.; Wang, Z.W.; Dong, F.; Lei, G.J.; Shi, Y.Z.; Li, G.X.; Zheng, S.J. Exogenous auxin alleviates cadmium toxicity in Arabidopsis thaliana by stimulating synthesis of hemicellulose 1 and increasing the cadmium fixation capacity of root cell walls. J. Hazard Mater. 2013, 263, 398–403. [Google Scholar] [CrossRef]
- Lambrechts, T.; Couder, E.; Bernal, M.P.; Faz, A.; Iserentant, A.; Lutts, S. Assessment of heavy metal bioavailability from a former mining area (La Union, Spain) using a rhizospheric test. Water Air Soil Pollut. 2011, 217, 333–346. [Google Scholar] [CrossRef]
- Van Soest, P. Collaborative study of acid-detergent fiber and lignin. J. AOAC 1973, 56, 781–784. [Google Scholar] [CrossRef]
- Van Soest, P.; Wine, P. Use of detergents in the analysis of fibrous feeds. IV. Determine of plant cell wall constitutes. J. AOAC 1967, 50, 50–55. [Google Scholar] [CrossRef]


| Concentration (mg kg−1 Soil) | As | Cd | Pb | Zn |
|---|---|---|---|---|
| SNPK | 5.4 | 0.92 | 22.1 | 83.2 |
| SNPKA | 8.2 | 0.28 | 24.2 | 73.7 |
| SNPKE | 9.6 | 0.41 | 44 | 67.2 |
| SNPKEA | 7.6 | 0.28 | 23.4 | 67.6 |
| SPK | 173 | 6.1 | 347 | 216 |
| SPKA | 127 | 4.7 | 230 | 184 |
| SPKE | 179 | 6.2 | 360 | 218 |
| SPKEA | 146 | 5.5 | 253 | 215 |
| Bioavailability (%) | As | Pb | Cd | Zn |
|---|---|---|---|---|
| SPK | 0.47 | <0.25 | 0.53 | 0.078 |
| SPKA | 0.39 | <0.25 | 0.25 | 0.088 |
| SPKE | 0.69 | <0.25 | 0.46 | 0.16 |
| SPKEA | 0.42 | <0.25 | 0.42 | 0.16 |
| Treatment | As | Pb | Cd | Zn |
|---|---|---|---|---|
| SNPK | 2.5 ± 0.8 a | 1.7 ± 0.4 a | 0.60 ± 0.09 a | 20.6 ± 1.3 a |
| SNPKA | 1.7 ± 0.2 a | 1.8 ± 0.2 a | 0.90 ± 0.16 a | 28.0 ± 5.6 a |
| SNPKE | 2.0 ± 0.5 a | 1.5 ± 0.3 a | 0.55 ± 0.07 a | 25.0 ± 4.8 a |
| SNPKEA | 2.1 ± 0.2 a | 1.9 ± 1.1 a | 0.73 ± 0.21 a | 21.4 ± 0.8 a |
| SPK | 43.0 ± 4.6 b | 132 ± 20 b | 6.5 ± 0.3 c | 79.0 ± 6.7 c |
| SPKA | 121 ± 4.4 d | 126 ± 12 b | 4.3 ± 0.8 b | 66.2 ± 2.0 b |
| SPKE | 53.9 ± 7.4 c | 171 ± 16 c | 10.4 ± 0.7 d | 99.2 ± 1.2 d |
| SPKEA | 129 ± 2.4 e | 153 ± 27 bc | 7.2 ± 2.9 c | 72.4 ± 10.1 bc |
| Treatment | As (mg kg−1 DW) | Pb (mg kg−1 DW) | Cd (mg kg−1 DW) | Zn (mg kg−1 DW) | ||||
|---|---|---|---|---|---|---|---|---|
| MS | LB | MS | LB | MS | LB | MS | LB | |
| SNPK | 0.63 ± 0.12 a | 0.59 ± 0.08 a | 0.25 ± 0.02 a | 0.33 ± 0.05 a | 0.34 ± 0.04 a | 0.46 ± 0.09 a | 13 ± 2.9 a | 21 ± 1.8 a |
| SNPKA | 0.56 ± 0.12 a | 0.63 ± 0.11 a | 0.12 ± 0.02 a | 0.28 ± 0.11 a | 0.52 ± 0.1 a | 0.43 ± 0.07 a | 17 ± 1.0 abc | 22 ± 0.47 a |
| SNPKE | 0.53 ± 0.16 a | 0.59 ± 0.15 a | 0.20 ± 0.02 a | 0.36 ± 0.15 a | 0.29 ± 0.03 a | 0.46 ± 0.04 a | 14 ± 0.6 ab | 22 ± 2.0 a |
| SNPKEA | 0.53 ± 0.12 a | 0.57 ± 0.15 a | 0.19 ± 0.08 a | 0.25 ± 0.08 a | 0.62 ± 0.12 a | 0.63 ± 0.19 a | 17 ± 1.4 abc | 23 ± 2.2 a |
| SPK | 2.5 ± 0.2 d | 2.2 ± 0.17 d | 5.7 ± 0.2 c | 5.4 ± 0.8 d | 2.0 ± 0.2 b | 3.7 ± 0.15 b | 22 ± 5.6 cd | 45 ± 2.6 c |
| SPKA | 1.8 ± 0.3 c | 1.1 ± 0.02 b | 5.8 ± 0.4 c | 2.6 ± 0.1 b | 2.7 ± 0.1 c | 3.5 ± 0.4 b | 20 ± 1.7 bc | 37 ± 1.7 b |
| SPKE | 2.3 ± 0.3 d | 2.8 ± 0.3 e | 6.6 ± 0.5 d | 5.9 ± 0.6 d | 2.2 ± 0.5 b | 5.2 ± 0.2 c | 30 ± 4.0 e | 62 ± 4.3 e |
| SPKEA | 1.0 ± 0.2 b | 1.7 ± 0.3 c | 4.7 ± 0.2 b | 4.0 ± 0.5 c | 2.1 ± 0.1 b | 3.6 ± 0.4 b | 27 ± 1.4 de | 52 ± 3.4 d |
| Treatment | As Concentration (mg/kg DW) | Pb Concentration (mg/kg DW) | Cd Concentration (mg/kg DW) | Zn Concentration (mg/kg DW) | ||||
|---|---|---|---|---|---|---|---|---|
| v | LMS | LLB | LMS | LLB | LMS | LLB | LMS | LLB |
| SNPK | 0.46 ± 0.14 a | 0.40 ± 0.09 a | 1.1 ± 0.1 a | 1.0 ± 0.2 a | 1.2 ± 0.4 a | 0.95 ± 0.11 a | 44 ± 10.9 a | 48 ± 6.3 a |
| SNPKA | 0.39 ± 0.07 a | 0.27 ± 0.04 a | 1.0 ± 0.1 a | 1.3 ± 0.2 a | 1.8 ± 0.01 a | 1.6 ± 0.3 a | 55 ± 6.3 a | 55 ± 3.7 a |
| SNPKE | 0.41 ± 0.04 a | 0.41 ± 0.07 a | 1.0 ± 0.2 a | 1.4 ± 0.2 a | 0.92 ± 0.1 a | 0.88 ± 0.05 a | 47 ± 8.3 a | 51 ± 6.9 a |
| SNPKEA | 0.46 ± 0.04 a | 0.33 ± 0.08 a | 1.0 ± 0.1 a | 1.2 ± 0.2 a | 1.5 ± 0.2 a | 1.6 ± 0.3 a | 67 ± 1.8 b | 60 ± 6.7 a |
| SPK | 2.3 ± 0.3 b | 3.7 ± 0.6 bc | 9.4 ± 2.1 c | 10.6 ± 1.9 c | 5.3 ± 0.5 c | 5.8 ± 0.6 bc | 101 ± 3.2 d | 115 ± 12 c |
| SPKA | 2.0 ± 0.3 b | 3.2 ± 0.2 b | 4.4 ± 1.0 b | 6.3 ± 0.6 b | 4.3 ± 0.5 b | 5.0 ± 0.2 b | 92 ± 4.1 d | 78 ± 13 b |
| SPKE | 2.8 ± 0.3 c | 5.1 ± 0.4 d | 5.7 ± 1.5 b | 3.7 ± 0.9 a | 7.2 ± 1.2 d | 6.4 ± 0.8 c | 101 ± 1.4 d | 102 ± 9.1 c |
| SPKEA | 2.8 ± 0.1 c | 4.0 ± 0.6 c | 7.4 ± 1.0 bc | 3.6 ± 0.4 a | 5.7 ± 0.5 c | 6.4 ± 0.9 c | 81 ± 2.7 c | 78 ± 1.5 b |
| As | Pb | Cd | Zn | |||||
|---|---|---|---|---|---|---|---|---|
| BF | TFC | BF | TFC | BF | TFC | BF | TFC | |
| SPK | 1.7 ± 0.01 b | 6.0 ± 0.04 d | 2.1 ± 0.04 d | 5.0 ± 0.10 d | 61 ± 2.0 a | 49 ± 1.6 b | 26 ± 1.4 b | 61 ± 3.2 a |
| SPKA | 1.2 ± 0.01 a | 1.5 ± 0.01 b | 1.7 ± 0.01 b | 4.3 ± 0.01 c | 61 ± 0.24 a | 75 ± 0.30 c | 22 ± 0.21 a | 61 ± 0.58 a |
| SPKE | 1.9 ± 0.02 c | 5.5 ± 0.06 c | 1.9 ± 0.01 c | 3.4 ± 0.02 b | 81 ± 0.63 c | 41 ± 0.32 a | 31 ± 0.58 c | 58 ± 1.1 a |
| SPKEA | 1.2 ± 0.31 a | 1.4 ± 0.02 a | 1.5 ± 0.01 a | 3.1 ± 0.02 a | 69 ± 0.71 b | 50 ± 0.52 b | 25 ± 0.24 b | 66 ± 3.2 b |
| Treatment | Main Stem (MS) | Lateral Branch (LB) | ||||
|---|---|---|---|---|---|---|
| Lignin (g/100 g OM) | Hemicellulose (g/100 g OM) | Cellulose (g/100 g OM) | Lignin (g/100 g OM) | Hemicellulose (g/100 g OM) | Cellulose (g/100 g OM) | |
| SNPK | 15.2 ± 0.84 cd | 10.9 ± 0.48 b | 51.0 ± 0.19 bc | 11.3 ± 1.2 a | 10.9 ± 0.41 a | 44.9 ± 1.1 bc |
| SNPKA | 14.5 ± 0.50 acd | 11.6 ± 0.41 bc | 52.1 ± 3.5 c | 10.6 ± 0.75 a | 11.6 ± 0.25 b | 43.8 ± 0.74 ac |
| SNPKE | 15.2 ± 0.56 cd | 12.7 ± 1.1 c | 50.3 ± 0.38 ac | 11.6 ± 0.66 ab | 11.7 ± 0.31 b | 44.6 ± 1.6 bc |
| SNPKEA | 15.4 ± 0.84 cd | 12.8 ± 1.2 c | 52.4 ± 0.27 c | 10.7 ± 0.28 a | 13.2 ± 0.12 d | 44.5 ± 0.64 bc |
| SPK | 13.9 ± 0.12 ab | 9.5 ± 0.19 a | 48.9 ± 0.19 ab | 13.7 ± 1.5 bc | 10.4 ± 0.63 a | 42.3 ± 0.08 a |
| SPKA | 14.7 ± 0.46 bd | 10.6 ± 0.07 ab | 55.8 ± 0.47 d | 11.0 ± 2.4 a | 10.8 ± 0.20 a | 46.8 ± 1.6 d |
| SPKE | 13.4 ± 0.67 a | 11.0 ± 0.66 b | 48.4 ± 0.53 a | 11.8 ± 0.94 ac | 10.4 ± 0.26 a | 43.1 ± 0.19 ab |
| SPKEA | 14.6 ± 0.80 bc | 11.5 ± 0.59 b | 52.0 ± 0.67 c | 11.1 ± 0.70 a | 12.3 ± 0.42 c | 46.9 ± 1.5 d |
| Code | Treatment |
|---|---|
| SNPK | No-polluted soil + plant |
| SNPKA | No-polluted soil + plant + NaCl |
| SNPKE | No-polluted soil + plant + EDDS |
| SNPKEA | No-polluted soil + plant + NaCl + EDDS |
| SPK | Polluted soil + plant |
| SPKA | Polluted soil + plant + NaCl |
| SPKE | Polluted soil + plant + EDDS |
| SPKEA | Polluted soil + plant + NaCl + EDDS |
Disclaimer/Publisher’s Note: The statements, opinions and data contained in all publications are solely those of the individual author(s) and contributor(s) and not of MDPI and/or the editor(s). MDPI and/or the editor(s) disclaim responsibility for any injury to people or property resulting from any ideas, methods, instructions or products referred to in the content. |
© 2023 by the authors. Licensee MDPI, Basel, Switzerland. This article is an open access article distributed under the terms and conditions of the Creative Commons Attribution (CC BY) license (https://creativecommons.org/licenses/by/4.0/).
Share and Cite
Zhou, M.; Kiamarsi, Z.; Han, R.; Kafi, M.; Lutts, S. Effect of NaCl and EDDS on Heavy Metal Accumulation in Kosteletzkya pentacarpos in Polymetallic Polluted Soil. Plants 2023, 12, 1656. https://doi.org/10.3390/plants12081656
Zhou M, Kiamarsi Z, Han R, Kafi M, Lutts S. Effect of NaCl and EDDS on Heavy Metal Accumulation in Kosteletzkya pentacarpos in Polymetallic Polluted Soil. Plants. 2023; 12(8):1656. https://doi.org/10.3390/plants12081656
Chicago/Turabian StyleZhou, Mingxi, Zahar Kiamarsi, Ruiming Han, Mohammad Kafi, and Stanley Lutts. 2023. "Effect of NaCl and EDDS on Heavy Metal Accumulation in Kosteletzkya pentacarpos in Polymetallic Polluted Soil" Plants 12, no. 8: 1656. https://doi.org/10.3390/plants12081656
APA StyleZhou, M., Kiamarsi, Z., Han, R., Kafi, M., & Lutts, S. (2023). Effect of NaCl and EDDS on Heavy Metal Accumulation in Kosteletzkya pentacarpos in Polymetallic Polluted Soil. Plants, 12(8), 1656. https://doi.org/10.3390/plants12081656

