The Relationship and Influencing Factors between Endangered Plant Tetraena mongolica and Soil Microorganisms in West Ordos Desert Ecosystem, Northern China
Abstract
1. Introduction
2. Results
2.1. Characteristics of Plant, Soil, and Soil Microbial Communities in T. mongolica Community
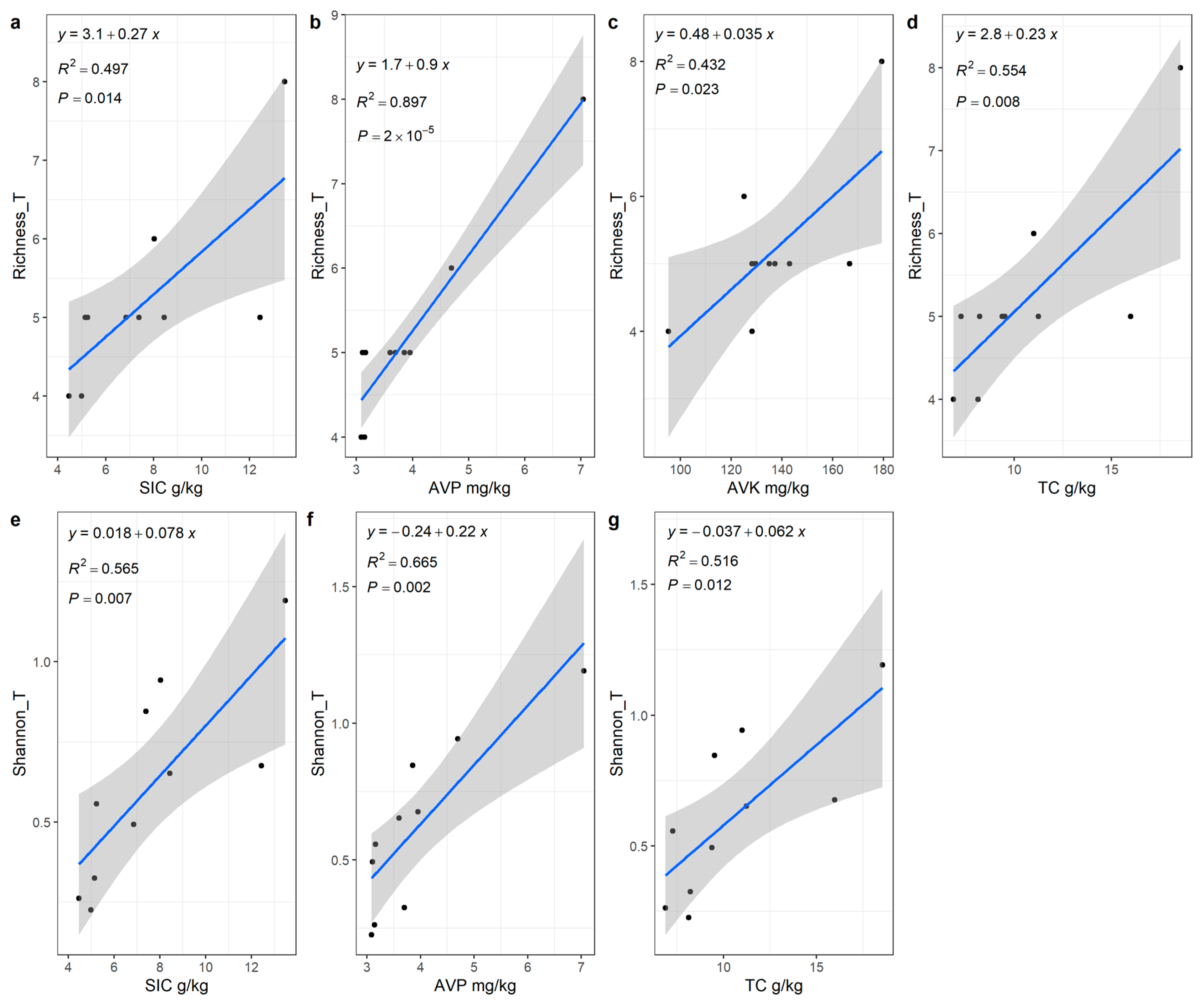
2.2. Relationship and Influencing Factors of Aboveground and Belowground Biodiversity
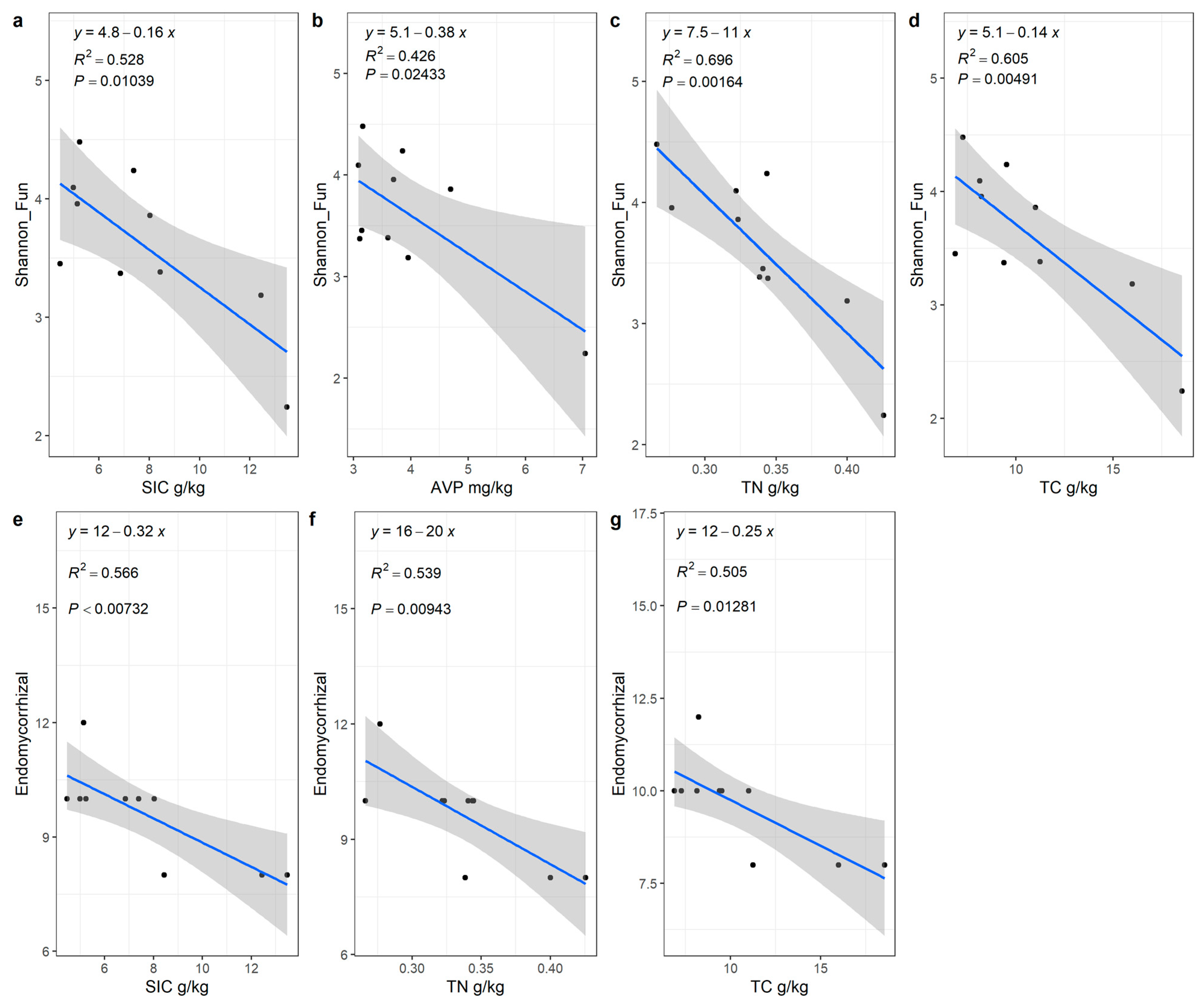
2.3. Relationship and Influencing Factors between the Community of T. mongolica and Fungal Functional Groups
3. Discussion
4. Materials and Methods
4.1. Study Area
4.2. Plant Community Survey
4.3. Investigation and Measurement of Soil Properties
4.4. Soil Microbial Sample Collection, DNA Sequencing, and Bioinformatics Analysis
4.5. Statistical Analysis
5. Conclusions
Supplementary Materials
Author Contributions
Funding
Data Availability Statement
Acknowledgments
Conflicts of Interest
References
- Chen, C.; Zhang, L. The extreme arid desert of China. J. Arid. Land Resour. Environ. 1987, Z1, 1–12. [Google Scholar]
- Li, E.G.; Huang, Y.M.; Chen, H.Y.; Zhang, J.H. Floristic diversity analysis of the Ordos Plateau, a biodiversity hotspot in arid and semi-arid areas of China. Folia. Geobot. 2018, 53, 405–416. [Google Scholar] [CrossRef]
- Zhen, J.H. Change of Landscape Pattern and its Impact in the Distribution Region of Tetraena mongolica Maxim. Appl. Mech. Mater. 2012, 2034, 2694–2697. [Google Scholar] [CrossRef]
- Ma, Q.; Wang, J.; Li, X.; Zhu, S.; Liu, H.; Zhan, K. Long-term changes of Tamarix-vegetation in the oasis-desert ecotone and its driving factors: Implication for dryland management. Environ. Earth Sci. 2009, 59, 765–774. [Google Scholar] [CrossRef]
- Ksiksi, T.S.; El-Keblawy, A.A. Floral diversity in desert ecosystems: Comparing field sampling to image analyses in assessing species cover. BMC Ecol. 2013, 13, 22. [Google Scholar] [CrossRef]
- Chen, J.; Xu, Q.; Gao, D.; Song, A.; Hao, Y.; Ma, Y. Differential water use strategies among selected rare and endangered species in West Ordos Desert of China. J. Plant Ecol. 2017, 10, 660–669. [Google Scholar] [CrossRef]
- Chen, N.; Feng, J.; Song, B.; Tang, S.; He, J.; Zhou, Y.; Shi, S.; Xu, X. De novo transcriptome sequencing and identification of genes related to salt and PEG stress in Tetraena mongolica Maxim. Trees Struct. Funct. 2019, 33, 1639–1656. [Google Scholar] [CrossRef]
- Ma, X.; Chang, J.; Li, Z.; Zhai, W.; Yu, X.; Feng, Y. The complete chloroplast genome of Tetraena mongolica (Zygophyllaceae), an endangered shrub endemic to China. Mitochondrial DNA B 2019, 4, 1030–1031. [Google Scholar] [CrossRef]
- Zhu, G.P.; Li, H.Q.; Zhao, L.; Man, L.; Liu, Q. Mapping the ecological dimensions and potential distributions of endangered relic shrubs in western Ordos biodiversity center. Sci. Rep. 2016, 6, 26268. [Google Scholar] [CrossRef]
- Bardgett, R.D.; Freeman, C.; Ostle, N.J. Microbial contributions to climate change through carbon cycle feedbacks. ISME J. 2008, 2, 805–814. [Google Scholar] [CrossRef]
- Bardgett, R.D.; van der Putten, W.H. Belowground biodiversity and ecosystem functioning. Nature 2014, 515, 505–511. [Google Scholar] [CrossRef]
- Oldroyd, G.E.D.; Leyser, O. A plant’s diet, surviving in a variable nutrient environment. Science 2020, 368, eaba0196. [Google Scholar] [CrossRef] [PubMed]
- van der Heijden, M.G.A.; Bardgett, R.D.; van Straalen, N.M. The unseen majority: Soil microbes as drivers of plant diversity and productivity in terrestrial ecosystems. Ecol. Lett. 2008, 11, 296–310. [Google Scholar] [CrossRef] [PubMed]
- David, A.S.; Quintana-Ascencio, P.F.; Menges, E.S.; Thapa-Magar, K.B.; Afkhami, M.E.; Searcy, C.A. Soil Microbiomes Underlie Population Persistence of an Endangered Plant Species. Am. Nat. 2019, 194, 488–494. [Google Scholar] [CrossRef] [PubMed]
- Wardle, D.A.; Bardgett, R.D.; Klironomos, J.N.; Setala, H.; van der Putten, W.H.; Wall, D.H. Ecological linkages between aboveground and belowground biota. Science 2004, 304, 1629–1633. [Google Scholar] [CrossRef] [PubMed]
- Teste, F.P.; Kardol, P.; Turner, B.L.; Wardle, D.A.; Zemunik, G.; Renton, M.; Laliberte, E. Plant-soil feedback and the maintenance of diversity in Mediterranean-climate shrublands. Science 2017, 355, 173–176. [Google Scholar] [CrossRef]
- van der Putten, W.H. Belowground drivers of plant diversity. Science 2017, 355, 134–135. [Google Scholar] [CrossRef]
- Saleem, M.; Hu, J.; Jousset, A. More Than the Sum of Its Parts: Microbiome Biodiversity as a Driver of Plant Growth and Soil Health. Annu. Rev. Ecol. Evol. S 2019, 50, 145–168. [Google Scholar] [CrossRef]
- de Vries, F.T.; Griffiths, R.I.; Knight, C.G.; Nicolitch, O.; Williams, A. Harnessing rhizosphere microbiomes for drought-resilient crop production. Science 2020, 368, 270–274. [Google Scholar] [CrossRef]
- Ratzke, C.; Barrere, J.; Gore, J. Strength of species interactions determines biodiversity and stability in microbial communities. Nat. Ecol. Evol. 2020, 4, 376–383. [Google Scholar] [CrossRef]
- Tedersoo, L.; Bahram, M.; Zobel, M. How mycorrhizal associations drive plant population and community biology. Science 2020, 367, 867–876. [Google Scholar] [CrossRef] [PubMed]
- Liu, S.; Garcia-Palacios, P.; Tedersoo, L.; Guirado, E.; van der Heijden, M.G.A.; Wagg, C.; Chen, D.; Wang, Q.; Wang, J.; Singh, B.K.; et al. Phylotype diversity within soil fungal functional groups drives ecosystem stability. Nat. Ecol. Evol. 2022, 6, 900–909. [Google Scholar] [CrossRef] [PubMed]
- Prober, S.M.; Leff, J.W.; Bates, S.T.; Borer, E.T.; Firn, J.; Harpole, W.S.; Lind, E.M.; Seabloom, E.W.; Adler, P.B.; Bakker, J.D.; et al. Plant diversity predicts beta but not alpha diversity of soil microbes across grasslands worldwide. Ecol. Lett. 2015, 18, 85–95. [Google Scholar] [CrossRef] [PubMed]
- Yang, T.; Adams, J.M.; Shi, Y.; He, J.-s.; Jing, X.; Chen, L.; Tedersoo, L.; Chu, H. Soil fungal diversity in natural grasslands of the Tibetan Plateau: Associations with plant diversity and productivity. New Phytol. 2017, 215, 756–765. [Google Scholar] [CrossRef]
- Wang, J.M.; Chen, C.; Ye, Z.Q.; Li, J.W.; Feng, Y.M.; Lu, Q. Relationships Between Fungal and Plant Communities Differ Between Desert and Grassland in a Typical Dryland Region of Northwest China. Front. Microbiol. 2018, 9, 2327. [Google Scholar] [CrossRef]
- Porazinska, D.L.; Farrer, E.C.; Spasojevic, M.J.; de Mesquita, C.P.B.; Sartwell, S.A.; Smith, J.G.; White, C.T.; King, A.J.; Suding, K.N.; Schmidt, S.K. Plant diversity and density predict belowground diversity and function in an early successional alpine ecosystem. Ecology 2018, 99, 1942–1952. [Google Scholar] [CrossRef] [PubMed]
- Dassen, S.; Cortois, R.; Martens, H.; de Hollander, M.; Kowalchuk, G.A.; van der Putten, W.H.; de Deyn, G.B. Differential responses of soil bacteria, fungi, archaea and protists to plant species richness and plant functional group identity. Mol. Ecol. 2017, 26, 4085–4098. [Google Scholar] [CrossRef] [PubMed]
- Grime, J.P.; Mackey, J.M.L.; Hillier, S.H.; Read, D.J. Floristic diversity in a model system using experimental microcosms. Nature 1987, 328, 420–422. [Google Scholar] [CrossRef]
- van der Heijden, M.G.A.; Klironomos, J.N.; Ursic, M.; Moutoglis, P.; Streitwolf-Engel, R.; Boller, T.; Wiemken, A.; Sanders, I.R. Mycorrhizal fungal diversity determines plant biodiversity, ecosystem variability and productivity. Nature 1998, 396, 69–72. [Google Scholar] [CrossRef]
- van der Heijden, M.G.A.; Streitwolf-Engel, R.; Riedl, R.; Siegrist, S.; Neudecker, A.; Ineichen, K.; Boller, T.; Wiemken, A.; Sanders, I.R. The mycorrhizal contribution to plant productivity, plant nutrition and soil structure in experimental grassland. New Phytol. 2006, 172, 739–752. [Google Scholar] [CrossRef]
- Hartnett, D.C.; Wilson, G.W.T. Mycorrhizae influence plant community structure and diversity in tallgrass prairie. Ecology 1999, 80, 1187–1195. [Google Scholar] [CrossRef]
- O’Connor, P.J.; Smith, S.E.; Smith, F.A. Arbuscular mycorrhizas influence plant diversity and community structure in a semiarid herbland. New Phytol. 2002, 154, 209–218. [Google Scholar] [CrossRef]
- Xu, D.; Yu, X.; Yang, J.; Zhao, X.; Bao, Y. High-Throughput Sequencing Reveals the Diversity and Community Structure in Rhizosphere Soils of Three Endangered Plants in Western Ordos, China. Curr. Microbiol. 2020, 77, 2713–2723. [Google Scholar] [CrossRef] [PubMed]
- Ruan, M.; Zhang, Y.; Chai, T. Rhizosphere Soil Microbial Properties on Tetraena mongolica in the Arid and Semi-Arid Regions, China. Int. J. Environ. Res. Public Health 2020, 17, 5142. [Google Scholar] [CrossRef]
- Wang, T.; Bao, Y. Effects of AM Fungi on the Growth and Drought Resistance of Endangered Shrub Tetraena mongolica Maxim and Zygophyllumx anthoxylum Maxim. Acta Agric. Boreali. Sin. 2014, 29, 170–175. (In Chinese) [Google Scholar]
- Coban, O.; De Deyn, G.B.; van der Ploeg, M. Soil microbiota as game-changers in restoration of degraded lands. Science 2022, 375, abe0725. [Google Scholar] [CrossRef]
- Sokol, N.W.; Slessarev, E.; Marschmann, G.L.; Nicolas, A.; Blazewicz, S.J.; Brodie, E.L.; Firestone, M.K.; Foley, M.M.; Hestrin, R.; Hungate, B.A.; et al. Life and death in the soil microbiome: How ecological processes influence biogeochemistry. Nat. Rev. Microbiol. 2022, 20, 415–430. [Google Scholar] [CrossRef] [PubMed]
- Li, Y.; Liu, B.; Zhang, W.; Pan, X.; Wang, J. Community Characteristics of Tetraena mongolica in Helan Mountain Nature Reserve. Ningxia J. Agric. For. Sci. Technol. 2020, 61, 28–31. (In Chinese) [Google Scholar]
- Ma, Y.; Liu, F.; Hao, Y.; Lin, F.; Liu, Y.; Liu, Y.; Yang, Z.; Wang, J. Growth Characteristics of Typical Plant Communities in Ulanbuh Desert. J. Temp. For. Res. 2021, 4, 19–24+53. (In Chinese) [Google Scholar]
- Piao, S.; Fang, J.; He, J.; Xiao, Y. Spatial distribution of grassland biomass in China. J. Plant Ecol. 2004, 04, 491–498. (In Chinese) [Google Scholar]
- Ma, W.; Yang, Y.; He, J.; Zeng, H.; Fang, J. Biomass of temperate grassland and its relationship with environmental factors in Inner Mongolia. Sci. China 2008, 01, 84–92. (In Chinese) [Google Scholar]
- Zhou, H.; Zhao, X.; Zhou, L.; Liu, W.; Li, Y.; Tang, Y. A study on correlations between vegetation degradation and soil degradation in the ‘Alpine Meadow’ of the Qinghai-Tibetan Plateau. Acta Pratacult. Sin. 2005, 14, 31–40. (In Chinese) [Google Scholar]
- Luo, G.; Xu, W.; Chen, X. Effect of Different Land-use Systems on Soil Properties in the Alluvial Plain-oasis in the Arid Land. Acta Geogr. Sin. 2005, 60, 779–790. (In Chinese) [Google Scholar]
- Tao, Y.; Wu, G.; Liu, Y.; Zhang, Y. Soil Stoichiometry and Their Influencing Factors in Typical Shrub Communities in the Gurbantunggut Desert, China. J. Desert Res. 2017, 37, 305–314. (In Chinese) [Google Scholar]
- Tilman, D.; Wedin, D.; Knops, J. Productivity and sustainability influenced by biodiversity in grassland ecosystems. Nature 1996, 379, 718–720. [Google Scholar] [CrossRef]
- Loreau, M. Biodiversity and ecosystem functioning: A mechanistic model. Proc. Natl. Acad. Sci. USA 1998, 95, 5632–5636. [Google Scholar] [CrossRef]
- Bedford, B.L.; Walbridge, M.R.; Aldous, A. Patterns in nutrient availability and plant diversity of temperate North American wetlands. Ecology 1999, 80, 2151–2169. [Google Scholar] [CrossRef]
- Wang, W.; Zhang, F.; Sun, L.; Yang, L.; Yang, Y.; Wang, Y.; Siddique, K.H.M.; Pang, J. Alkaline Salt Inhibits Seed Germination and Seedling Growth of Canola More Than Neutral Salt. Front. Plant Sci. 2022, 13, 814755. [Google Scholar] [CrossRef] [PubMed]
- Li, X.; Tan, H.; He, M.; Wang, X.; Li, X. Responses of shrub species richness and abundance patterns to environmental changes in the Alxa Plateau: A prerequisite for the conservation of shrub diversity in extremely arid desert areas. Sci. China Ser. D Earth Sci. 2009, 39, 504–515. (In Chinese) [Google Scholar]
- Wang, C.W.; Ma, L.N.; Zuo, X.; Ye, X.H.; Wang, R.Z.; Huang, Z.Y.; Liu, G.F.; Cornelissen, J.H.C. Plant diversity has stronger linkage with soil fungal diversity than with bacterial diversity across grasslands of northern China. Glob. Ecol. Biogeogr. 2022, 31, 886–900. [Google Scholar] [CrossRef]
- Prosser, J.I. Ecosystem processes and interactions in a morass of diversity. Fems. Microbiol. Ecol. 2012, 81, 507–519. [Google Scholar] [CrossRef] [PubMed]
- Liu, J.; Wang, Y.; Wei, L.; Wang, J.; Lu, Y.; Sun, Q.; Gou, Q.; Li, J. Effect of relict plant Tetraena mongolica on archaeal community in desert soil. Acta Ecol. Sin. 2021, 41, 3548–3563. (In Chinese) [Google Scholar]
- Begum, N.; Qin, C.; Ahanger, M.A.; Raza, S.; Khan, M.I.; Ashraf, M.; Ahmed, N.; Zhang, L. Role of Arbuscular Mycorrhizal Fungi in Plant Growth Regulation: Implications in Abiotic Stress Tolerance. Front. Plant Sci. 2019, 10, 1068. [Google Scholar] [CrossRef]
- Etesami, H.; Jeong, B.R.; Glick, B.R. Contribution of Arbuscular Mycorrhizal Fungi, Phosphate-Solubilizing Bacteria, and Silicon to P Uptake by Plant. Front. Plant Sci. 2021, 12, 699618. [Google Scholar] [CrossRef] [PubMed]
- Fang, S.; Zhang, X. Control of vegetation distribution: Climate, geological substrate, and geomorphic factors. A case study of grassland in Ordos, Inner Mongolia, China. J. Remote Sens. 2013, 39, 167–174. [Google Scholar]
- Wu, Z.Y.; Committee, C.V.E. Vegetation of China; Science Press: Beijing, China, 1980; pp. 348–352. [Google Scholar]
- Caporaso, J.G.; Lauber, C.L.; Walters, W.A.; Berg-Lyons, D.; Huntley, J.; Fierer, N.; Owens, S.M.; Betley, J.; Fraser, L.; Bauer, M.; et al. Ultra-high-throughput microbial community analysis on the Illumina HiSeq and MiSeq platforms. ISME J. 2012, 6, 1621–1624. [Google Scholar] [CrossRef] [PubMed]
- Toju, H.; Tanabe, A.S.; Yamamoto, S.; Sato, H. High-Coverage ITS Primers for the DNA-Based Identification of Ascomycetes and Basidiomycetes in Environmental Samples. PLoS ONE 2012, 7, e40863. [Google Scholar] [CrossRef]
- Quast, C.; Pruesse, E.; Yilmaz, P.; Gerken, J.; Schweer, T.; Yarza, P.; Peplies, J.; Glockner, F.O. The SILVA ribosomal RNA gene database project: Improved data processing and web-based tools. Nucleic Acids Res. 2013, 41, D590–D596. [Google Scholar] [CrossRef]
- Koljalg, U.; Nilsson, R.H.; Abarenkov, K.; Tedersoo, L.; Taylor, A.F.S.; Bahram, M.; Bates, S.T.; Bruns, T.D.; Bengtsson-Palme, J.; Callaghan, T.M.; et al. Towards a unified paradigm for sequence-based identification of fungi. Mol. Ecol. 2013, 22, 5271–5277. [Google Scholar] [CrossRef]







| Plant Species | Plant Life Form | Family | Genus | Average Height (cm) | Coverage by Species | Density (/hm2) | Importance Value |
|---|---|---|---|---|---|---|---|
| Tetraena mongolica | Shrub | Zygophyllaceae | Tetraena | 33.95 | 21.46 | 55.6 | 0.56 |
| Reaumuria songarica | Shrub | Tamaricaceae | Reaumuria | 38.08 | 7.82 | 18.6 | 0.29 |
| Potaninia mongolica | Shrub | Rosaceae | Potaninia | 20.27 | 1.64 | 15.5 | 0.13 |
| Salsola passerina | Shrub | Amaranthaceae | Salsola | 21.54 | 0.27 | 2.6 | 0.05 |
| Tripolium vulgare | Herb | Asteraceae | Tripolium | 19.8 | 0.755 | 4705 | 0.65 |
| Cleistogenes chinensis | Herb | Poaceae | Cleistogenes | 3.0 | 0.225 | 425 | 0.18 |
| Echinops sphaerocephalus | Herb | Asteraceae | Echinops | 16.4 | 0.345 | 180 | 0.098 |
| Cleistogenes squarrosa | Herb | Poaceae | Cleistogenes | 2.2 | 0.075 | 115 | 0.027 |
| Peganum harmala | Herb | Zygophyllaceae | Peganum | 9.75 | 0.25 | 10 | 0.025 |
| Limonium sinense | Herb | Plumbaginaceae | Limonium | 9 | 0.05 | 5 | 0.015 |
| Type | Richness Index | Shannon Diversity Index | |
|---|---|---|---|
| Plant | Shrub | 2.7 ± 0.82 | 0.62 ± 0.35 |
| Herb | 2.5 ± 0.85 | 0.47 ± 0.21 | |
| Shrub + Herb | 5.2 ± 1.14 | 0.56 ± 0.27 | |
| Soil Microbial | Fungi | 759.2 ± 81.19 | 3.63 ± 0.65 |
| Bacteria | 2450.8 ± 135.59 | 5.35 ± 0.08 | |
| Arachaea | 176.8 ± 27.82 | 2.45 ± 0.23 |
Disclaimer/Publisher’s Note: The statements, opinions and data contained in all publications are solely those of the individual author(s) and contributor(s) and not of MDPI and/or the editor(s). MDPI and/or the editor(s) disclaim responsibility for any injury to people or property resulting from any ideas, methods, instructions or products referred to in the content. |
© 2023 by the authors. Licensee MDPI, Basel, Switzerland. This article is an open access article distributed under the terms and conditions of the Creative Commons Attribution (CC BY) license (https://creativecommons.org/licenses/by/4.0/).
Share and Cite
Liu, Z.; Wang, C.; Yang, X.; Liu, G.; Cui, Q.; Indree, T.; Ye, X.; Huang, Z. The Relationship and Influencing Factors between Endangered Plant Tetraena mongolica and Soil Microorganisms in West Ordos Desert Ecosystem, Northern China. Plants 2023, 12, 1048. https://doi.org/10.3390/plants12051048
Liu Z, Wang C, Yang X, Liu G, Cui Q, Indree T, Ye X, Huang Z. The Relationship and Influencing Factors between Endangered Plant Tetraena mongolica and Soil Microorganisms in West Ordos Desert Ecosystem, Northern China. Plants. 2023; 12(5):1048. https://doi.org/10.3390/plants12051048
Chicago/Turabian StyleLiu, Zhangkai, Congwen Wang, Xuejun Yang, Guofang Liu, Qingguo Cui, Tuvshintogtokh Indree, Xuehua Ye, and Zhenying Huang. 2023. "The Relationship and Influencing Factors between Endangered Plant Tetraena mongolica and Soil Microorganisms in West Ordos Desert Ecosystem, Northern China" Plants 12, no. 5: 1048. https://doi.org/10.3390/plants12051048
APA StyleLiu, Z., Wang, C., Yang, X., Liu, G., Cui, Q., Indree, T., Ye, X., & Huang, Z. (2023). The Relationship and Influencing Factors between Endangered Plant Tetraena mongolica and Soil Microorganisms in West Ordos Desert Ecosystem, Northern China. Plants, 12(5), 1048. https://doi.org/10.3390/plants12051048

