Chemopreventive Activity of Ellagitannins from Acer pseudosieboldianum (Pax) Komarov Leaves on Prostate Cancer Cells
Abstract
1. Introduction
2. Results
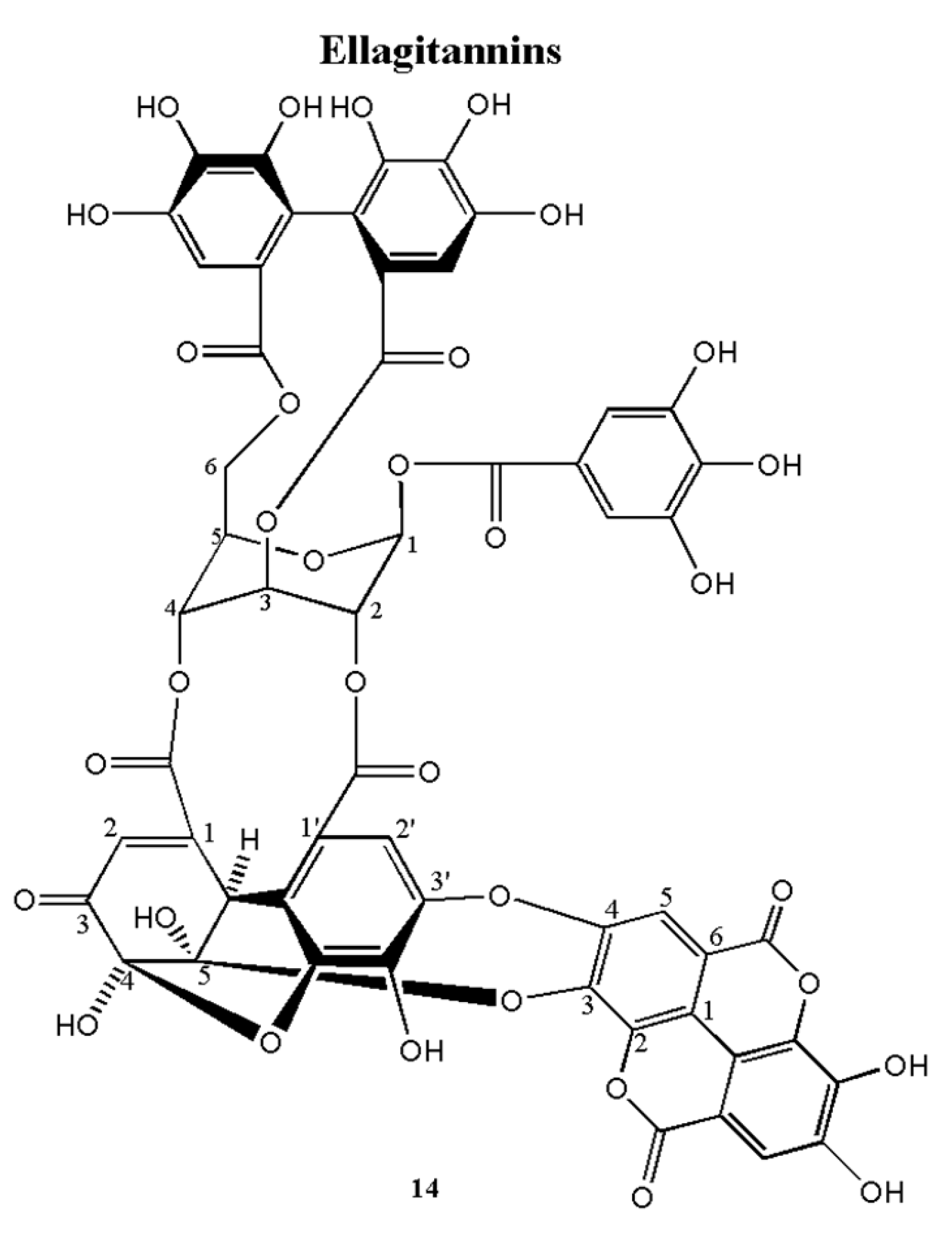
2.1. Isolation of Phenolic Compounds along with the Novel Ellagitannin [Komaniin (14)]
2.2. Anti-Proliferative Activities
2.3. Apoptosis-Promoting Activities
2.4. Cytokine Inhibitory Activities
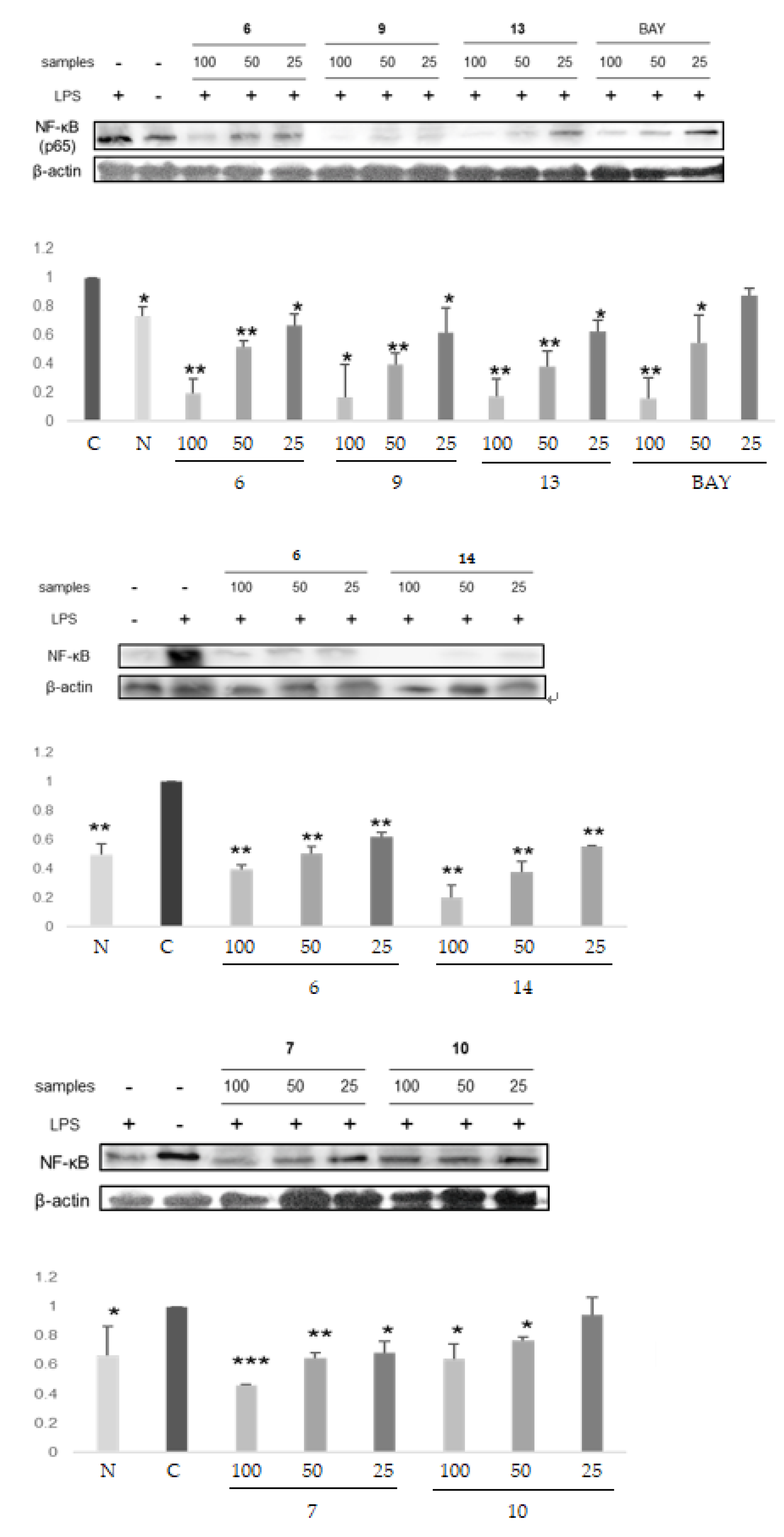
2.5. NF-κB Inhibitory Activities of Hydrolysable Tannins
2.6. DNA Methyltransferases Inhibitory Activities of Selected Ellagitannins
2.7. Methyl Removing and Re-Expression Activities of Glutathione S-Transferase P1 of Ellagitannins from APL
3. Discussion
4. Materials and Methods
4.1. Plant Material
4.2. Isolation of the Compounds from APL
4.3. Cell Cultures
4.4. Cell Proliferative Inhibition Assay
4.5. Apoptosis-Promoting Assay
4.6. Cytokine Inhibition Assay
4.7. Western Blotting Assay
4.8. Real-Time Reverse Transcription Polymerase Chain Reaction
4.9. Methyl Specific-Polymerase Chain Reaction
4.10. Statistical Analysis
5. Patents
Supplementary Materials
Author Contributions
Funding
Institutional Review Board Statement
Informed Consent Statement
Data Availability Statement
Acknowledgments
Conflicts of Interest
References
- Ahuja, N.; Easwaran, H.; Baylin, S.B. Harnessing the potential of epigenetic therapy to target solid tumors. J. Clin. Investig. 2014, 124, 56–63. [Google Scholar] [CrossRef]
- Easwaran, H.; Tsai, H.C.; Baylin, S.B. Cancer epigenetics: Tumor heterogeneity, plasticity of stem-like states, and drug resistance. Mol. Cell 2014, 54, 716–727. [Google Scholar] [CrossRef] [PubMed]
- Gravina, G.L.; Ranieri, G.; Muzi, P.; Marampon, F.; Mancini, A.; Di Pasquale, B.; Di Clemente, L.; Dolo, V.; D’Alessandro, A.M.; Festuccia, C. Increased levels of DNA methyltransferases are associated with the tumorigenic capacity of prostate cancer cells. Oncol. Rep. 2013, 29, 1189–1195. [Google Scholar] [CrossRef] [PubMed]
- Li, E.; Zhang, Y. DNA methylation in mammals. Cold Spring Harb. Perspect. Biol. 2014, 6, a019133. [Google Scholar] [CrossRef] [PubMed]
- Nelson, W.G.; Yegnasubramanian, S.; Agoston, A.T.; Bastian, P.J.; Lee, B.H.; Nakayama, M.; De Marzo, A.M. Abnormal DNA methylation, epigenetics, and prostate cancer. Front. Biosci. 2007, 12, 4254–4266. [Google Scholar] [CrossRef] [PubMed]
- Barnicle, A.; Seoighe, C.; Greally, J.M.; Golden, A.; Egan, L.J. Inflammation-associated DNA methylation patterns in epithelium of ulcerative colitis. Epigenetics 2017, 12, 591–606. [Google Scholar] [CrossRef] [PubMed]
- Bayarsaihan, D. Epigenetic mechanisms in inflammation. J. Dent. Res. 2011, 90, 9–17. [Google Scholar] [CrossRef]
- Braconi, C.; Huang, N.; Patel, T. MicroRNA-dependent regulation of DNA methyltransferase-1 and tumor suppressor gene expression by interleukin-6 in human malignant cholangiocytes. Hepatology 2010, 51, 881–890. [Google Scholar] [CrossRef]
- Franco, R.; Schoneveld, O.; Georgakilas, A.G.; Panayiotidis, M.I. Oxidative stress, DNA methylation and carcinogenesis. Cancer Lett. 2008, 266, 6–11. [Google Scholar] [CrossRef]
- Li, Y.; Deuring, J.; Peppelenbosch, M.P.; Kuipers, E.J.; de Haar, C.; van der Woude, C.J. IL-6-induced DNMT1 activity mediates SOCS3 promoter hypermethylation in ulcerative colitis-related colorectal cancer. Carcinogenesis 2012, 33, 1889–1896. [Google Scholar] [CrossRef]
- Lim, S.O.; Gu, J.M.; Kim, M.S.; Kim, H.S.; Park, Y.N.; Park, C.K.; Cho, J.W.; Park, Y.M.; Jung, G. Epigenetic changes induced by reactive oxygen species in hepatocellular carcinoma: Methylation of the E-cadherin promoter. Gastroenterology 2008, 135, 2128–2140. [Google Scholar] [CrossRef] [PubMed]
- Lu, T.; Stark, G.R. NF-kappaB: Regulation by Methylation. Cancer Res. 2015, 75, 3692–3695. [Google Scholar] [CrossRef]
- Mahalingaiah, P.K.; Ponnusamy, L.; Singh, K.P. Oxidative stress-induced epigenetic changes associated with malignant transformation of human kidney epithelial cells. Oncotarget 2017, 8, 11127–11143. [Google Scholar] [CrossRef] [PubMed]
- Wu, Q.; Ni, X. ROS-mediated DNA methylation pattern alterations in carcinogenesis. Curr. Drug Targets 2015, 16, 13–19. [Google Scholar] [CrossRef] [PubMed]
- Oka, M.; Meacham, A.M.; Hamazaki, T.; Rodic, N.; Chang, L.J.; Terada, N. De novo DNA methyltransferases Dnmt3a and Dnmt3b primarily mediate the cytotoxic effect of 5-aza-2’-deoxycytidine. Oncogene 2005, 24, 3091–3099. [Google Scholar] [CrossRef]
- Rajabi, H.; Tagde, A.; Alam, M.; Bouillez, A.; Pitroda, S.; Suzuki, Y.; Kufe, D. DNA methylation by DNMT1 and DNMT3b methyltransferases is driven by the MUC1-C oncoprotein in human carcinoma cells. Oncogene 2016, 35, 6439–6445. [Google Scholar] [CrossRef]
- Zhang, Z.M.; Lu, R.; Wang, P.; Yu, Y.; Chen, D.; Gao, L.; Liu, S.; Ji, D.; Rothbart, S.B.; Wang, Y.; et al. Structural basis for DNMT3A-mediated de novo DNA methylation. Nature 2018, 554, 387–391. [Google Scholar] [CrossRef]
- Jair, K.W.; Bachman, K.E.; Suzuki, H.; Ting, A.H.; Rhee, I.; Yen, R.W.; Baylin, S.B.; Schuebel, K.E. De novo CpG island methylation in human cancer cells. Cancer Res. 2006, 66, 682–692. [Google Scholar] [CrossRef]
- Pradhan, S.; Bacolla, A.; Wells, R.D.; Roberts, R.J. Recombinant human DNA (cytosine-5) methyltransferase. I. Expression, purification, and comparison of de novo and maintenance methylation. J. Biol. Chem. 1999, 274, 33002–33010. [Google Scholar] [CrossRef]
- Ting, A.H.; Jair, K.W.; Schuebel, K.E.; Baylin, S.B. Differential requirement for DNA methyltransferase 1 in maintaining human cancer cell gene promoter hypermethylation. Cancer Res. 2006, 66, 729–735. [Google Scholar] [CrossRef]
- Liang, G.G.; Chan, M.F.; Tomigahara, Y.; Tsai, Y.C.; Gonzales, F.A.; Li, E.; Laird, P.W.; Jones, P.A. Cooperativity between DNA methyltransferases in the maintenance methylation of repetitive elements. Mol. Cell. Biol. 2002, 22, 480–491. [Google Scholar] [CrossRef] [PubMed]
- Okano, M.; Bell, D.W.; Haber, D.A.; Li, E. DNA methyltransferases Dnmt3a and Dnmt3b are essential for de novo methylation and mammalian development. Cell 1999, 99, 247–257. [Google Scholar] [CrossRef] [PubMed]
- Lin, R.K.; Hsu, H.S.; Chang, J.W.; Chen, C.Y.; Chen, J.T.; Wang, Y.C. Alteration of DNA methyltransferases contributes to 5’CpG methylation and poor prognosis in lung cancer. Lung Cancer 2007, 55, 205–213. [Google Scholar] [CrossRef] [PubMed]
- Mizuno, S.; Chijiwa, T.; Okamura, T.; Akashi, K.; Fukumaki, Y.; Niho, Y.; Sasaki, H. Expression of DNA methyltransferases DNMT1, 3A, and 3B in normal hematopoiesis and in acute and chronic myelogenous leukemia. Blood 2001, 97, 1172–1179. [Google Scholar] [CrossRef] [PubMed]
- Qu, Y.; Mu, G.Y.; Wu, Y.W.; Dai, X.; Zhou, F.; Xu, X.Y.; Wang, Y.; Wei, F.C. Overexpression of DNA Methyltransferases 1, 3a, and 3b Significantly Correlates with Retinoblastoma Tumorigenesis. Am. J. Clin. Pathol. 2010, 134, 826–834. [Google Scholar] [CrossRef]
- Lee, W.H.; Morton, R.A.; Epstein, J.I.; Brooks, J.D.; Campbell, P.A.; Bova, G.S.; Hsieh, W.S.; Isaacs, W.B.; Nelson, W.G. Cytidine methylation of regulatory sequences near the pi-class glutathione S-transferase gene accompanies human prostatic carcinogenesis. Proc. Natl. Acad. Sci. USA 1994, 91, 11733–11737. [Google Scholar] [CrossRef]
- Martignano, F.; Gurioli, G.; Salvi, S.; Calistri, D.; Costantini, M.; Gunelli, R.; De Giorgi, U.; Foca, F.; Casadio, V. GSTP1 Methylation and Protein Expression in Prostate Cancer: Diagnostic Implications. Dis. Markers 2016, 2016, 4358292. [Google Scholar] [CrossRef]
- Mian, O.Y.; Khattab, M.H.; Hedayati, M.; Coulter, J.; Abubaker-Sharif, B.; Schwaninger, J.M.; Veeraswamy, R.K.; Brooks, J.D.; Hopkins, L.; Shinohara, D.B.; et al. GSTP1 Loss Results in Accumulation of Oxidative DNA Base Damage and Promotes Prostate Cancer Cell Survival Following Exposure to Protracted Oxidative Stress. Prostate 2016, 76, 199–206. [Google Scholar] [CrossRef]
- Singal, R.; van Wert, J.; Bashambu, M. Cytosine methylation represses glutathione S-transferase P1 (GSTP1) gene expression in human prostate cancer cells. Cancer Res. 2001, 61, 4820–4826. [Google Scholar]
- Bianco, R.; Gelardi, T.; Damiano, V.; Ciardiello, F.; Tortora, G. Rational bases for the development of EGFR inhibitors for cancer treatment. Int. J. Biochem. Cell Biol. 2007, 39, 1416–1431. [Google Scholar] [CrossRef]
- De Miguel, M.P.; Royuela, M.; Bethencourt, F.R.; Santamaria, L.; Fraile, B.; Paniagua, R. Immunoexpression of tumour necrosis factor-alpha and its receptors 1 and 2 correlates with proliferation/apoptosis equilibrium in normal, hyperplasic and carcinomatous human prostate. Cytokine 2000, 12, 535–538. [Google Scholar] [CrossRef] [PubMed]
- Elaraj, D.M.; Weinreich, D.M.; Varghese, S.; Puhlmann, M.; Hewitt, S.M.; Carroll, N.M.; Feldman, E.D.; Turner, E.M.; Alexander, H.R. The role of interleukin 1 in growth and metastasis of human cancer xenografts. Clin. Cancer Res. 2006, 12, 1088–1096. [Google Scholar] [CrossRef] [PubMed]
- Reis, S.T.d.; Pontes-Júnior, J.; Antunes, A.A.; Sousa-Canavez, J.M.d.; Abe, D.K.; Cruz, J.A.S.d.; Dall’Oglio, M.F.; Crippa, A.; Passerotti, C.C.; Ribeiro-Filho, L.A. Tgf-β1 expression as a biomarker of poor prognosis in prostate cancer. Clinics 2011, 66, 1143–1147. [Google Scholar] [PubMed]
- Tanaka, T.; Narazaki, M.; Kishimoto, T. IL-6 in inflammation, immunity, and disease. Cold Spring Harb. Perspect. Biol. 2014, 6, a016295. [Google Scholar] [CrossRef] [PubMed]
- Zheleznova, N.N.; Wilson, P.D.; Staruschenko, A. Epidermal growth factor-mediated proliferation and sodium transport in normal and PKD epithelial cells. Biochim. Biophys. Acta 2011, 1812, 1301–1313. [Google Scholar] [CrossRef] [PubMed]
- Culig, Z. Proinflammatory cytokine interleukin-6 in prostate carcinogenesis. Am. J. Clin. Exp. Urol. 2014, 2, 231–238. [Google Scholar]
- Culig, Z.; Puhr, M. Interleukin-6: A multifunctional targetable cytokine in human prostate cancer. Mol. Cell. Endocrinol. 2012, 360, 52–58. [Google Scholar] [CrossRef] [PubMed]
- Culig, Z.; Steiner, H.; Bartsch, G.; Hobisch, A. Interleukin-6 regulation of prostate cancer cell growth. J. Cell. Biochem. 2005, 95, 497–505. [Google Scholar] [CrossRef]
- Nguyen, D.P.; Li, J.; Tewari, A.K. Inflammation and prostate cancer: The role of interleukin 6 (IL-6). BJU Int. 2014, 113, 986–992. [Google Scholar] [CrossRef]
- Okamoto, M.; Lee, C.; Oyasu, R. Interleukin-6 as a paracrine and autocrine growth factor in human prostatic carcinoma cells in vitro. Cancer Res. 1997, 57, 141–146. [Google Scholar]
- Brasier, A.R. The NF-kappaB regulatory network. Cardiovasc. Toxicol. 2006, 6, 111–130. [Google Scholar] [CrossRef]
- Gilmore, T.D. Introduction to NF-kappaB: Players, pathways, perspectives. Oncogene 2006, 25, 6680–6684. [Google Scholar] [CrossRef]
- Tian, B.; Brasier, A.R. Identification of a nuclear factor kappa B-dependent gene network. Recent Prog. Horm. Res. 2003, 58, 95–130. [Google Scholar] [CrossRef]
- Verzella, D.; Fischietti, M.; Capece, D.; Vecchiotti, D.; Del Vecchio, F.; Cicciarelli, G.; Mastroiaco, V.; Tessitore, A.; Alesse, E.; Zazzeroni, F. Targeting the NF-kappaB pathway in prostate cancer: A promising therapeutic approach? Curr. Drug Targets 2016, 17, 311–320. [Google Scholar] [CrossRef]
- Albensi, B.C.; Mattson, M.P. Evidence for the involvement of TNF and NF-kappaB in hippocampal synaptic plasticity. Synapse 2000, 35, 151–159. [Google Scholar] [CrossRef]
- Staal, J.; Beyaert, R. Inflammation and NF-kappaB Signaling in Prostate Cancer: Mechanisms and Clinical Implications. Cells 2018, 7, 122. [Google Scholar] [CrossRef]
- Vlahopoulos, S.A.; Cen, O.; Hengen, N.; Agan, J.; Moschovi, M.; Critselis, E.; Adamaki, M.; Bacopoulou, F.; Copland, J.A.; Boldogh, I.; et al. Dynamic aberrant NF-kappaB spurs tumorigenesis: A new model encompassing the microenvironment. Cytokine Growth Factor Rev. 2015, 26, 389–403. [Google Scholar] [CrossRef] [PubMed]
- Vlahopoulos, S.A. Aberrant control of NF-kappaB in cancer permits transcriptional and phenotypic plasticity, to curtail dependence on host tissue: Molecular mode. Cancer Biol. Med. 2017, 14, 254–270. [Google Scholar] [CrossRef] [PubMed]
- Iannolo, G.; Conticello, C.; Memeo, L.; De Maria, R. Apoptosis in normal and cancer stem cells. Crit. Rev. Oncol. Hematol. 2008, 66, 42–51. [Google Scholar] [CrossRef] [PubMed]
- Garg, R.; Blando, J.; Perez, C.J.; Wang, H.; Benavides, F.J.; Kazanietz, M.G. Activation of nuclear factor κB (NF-κB) in prostate cancer is mediated by protein kinase C ϵ (PKCϵ). J. Biol. Chem. 2012, 287, 37570–37582. [Google Scholar] [CrossRef] [PubMed]
- Zhang, Y.; Lapidus, R.G.; Liu, P.; Choi, E.Y.; Adediran, S.; Hussain, A.; Wang, X.; Liu, X.; Dan, H.C. Targeting IκB Kinase β/NF-κB Signaling in Human Prostate Cancer by a Novel IκB Kinase β Inhibitor CmpdAIκB Kinase β in Human Prostate Cancer. Mol. Cancer Ther. 2016, 15, 1504–1514. [Google Scholar] [CrossRef]
- Wu, Z.; Raven, P.H.; Hong, D. Flora of China, Volume 7: Menispermaceae through Capparaceae; Science Press: Beijing, China, 2008. [Google Scholar]
- Kwon, D.-J.; Bae, Y.-S. Flavonols from the stem bark of Acer komarovii. Chem. Nat. Compd. 2013, 49, 131–132. [Google Scholar] [CrossRef]
- Lu, R.L.; Hu, F.L.; Xia, T. Activity-guided isolation and identification of radical scavenging components in Gao-Cha tea. J. Food Sci. 2010, 75, H239–H243. [Google Scholar] [CrossRef]
- Yonezawa, T.; Lee, J.W.; Akazawa, H.; Inagaki, M.; Cha, B.Y.; Nagai, K.; Yagasaki, K.; Akihisa, T.; Woo, J.T. Osteogenic activity of diphenyl ether-type cyclic diarylheptanoids derived from Acer nikoense. Bioorg. Med. Chem. Lett. 2011, 21, 3248–3251. [Google Scholar] [CrossRef]
- Glénsk, M.; Włodarczyk, M.; Bassarello, C.; Pizza, C.; Stefanowicz, P.; Świtalska, M. A major saponin from leaves extract of Acer velutinum. Z. Nat. B 2009, 64, 1081–1086. [Google Scholar] [CrossRef]
- Bi, W.; Gao, Y.; Shen, J.; He, C.; Liu, H.; Peng, Y.; Zhang, C.; Xiao, P. Traditional uses, phytochemistry, and pharmacology of the genus Acer (maple): A review. J. Ethnopharmacol. 2016, 189, 31–60. [Google Scholar] [CrossRef]
- Company, C.H.M. Chinese Traditional Medicine Resource Records; Science Press: Beijing, China, 1994. [Google Scholar]
- Li, R.; Zhang, J.; Chen, X.; Jia, J.; Zhang, H.; Sun, J. Studies on chemical constituents from ethyl acetate extracts of Acer ginnala Maxim. leaves. J. Jilin Agric. Univ. 2013, 35, 684–707. [Google Scholar]
- Van Gelderen, D.M.; De Jong, P.C.; Oterdoom, H.J. Maples of the World; Timber Press: Portland, OR, USA, 1994. [Google Scholar]
- Park, W.-Y. Phenolic compounds from Acer ginnala Maxim. Korean J. Pharmacogn. 1996, 27, 212–218. [Google Scholar]
- Kim, H.-H.; Kwon, J.-H.; Park, K.-H.; Kim, M.-H.; Oh, M.-H.; Choe, K.-I.; Park, S.-H.; Jin, H.-Y.; Kim, S.-S.; Lee, M.-W. Screening of antioxidative activities and antiinflammatory activities in local native plants. Korean J. Pharmacogn. 2012, 43, 85–93. [Google Scholar]
- Kim, H.H.; Park, K.H.; Kim, M.H.; Oh, M.H.; Kim, S.R.; Park, K.J.; Heo, J.H.; Lee, M.W. Antiproliferative effects of native plants on prostate cancer cells. Nat. Prod. Sci. 2013, 19, 192–200. [Google Scholar]
- Hasegawa, T.; Okabe, A.; Kato, Y.; Ooshiro, A.; Kawaide, H.; Natsume, M. Ethyl beta-d-glucoside: A novel chemoattractant of Ralstonia solanacearum isolated from tomato root exudates by a bioassay-guided fractionation. Biosci. Biotechnol. Biochem. 2018, 82, 2049–2052. [Google Scholar] [CrossRef]
- Ishikawa, T.; Takayanagi, T.; Kitajima, J. Water-soluble constituents of cumin: Monoterpenoid glucosides. Chem. Pharm. Bull. 2002, 50, 1471–1478. [Google Scholar] [CrossRef] [PubMed][Green Version]
- Comte, G.; Vercauteren, J.; Chulia, A.J.; Allais, D.P.; Delage, C. Phenylpropanoids from leaves of Juniperus phoenicea. Phytochemistry 1997, 45, 1679–1682. [Google Scholar] [CrossRef]
- Kang, Q.J.; Yang, X.W.; Wu, S.H.; Ma, Y.L.; Li, L.; Shen, Y.M. Chemical constituents from the stem bark of Trewia nudiflora L. and their antioxidant activities. Planta Med. 2008, 74, 445–448. [Google Scholar] [CrossRef] [PubMed]
- Goriparti, S.; Harish, M.N.; Sampath, S. Ellagic acid—A novel organic electrode material for high capacity lithium ion batteries. Chem. Commun. 2013, 49, 7234–7236. [Google Scholar] [CrossRef]
- Nishimura, H.; Nonaka, G.-I.; Nishioka, I. Seven quinic acid gallates from quercus stenophylla. Phytochemistry 1984, 23, 2621–2623. [Google Scholar] [CrossRef]
- Lu, Y.; Yeap Foo, L. The polyphenol constituents of grape pomace. Food Chem. 1999, 65, 1–8. [Google Scholar] [CrossRef]
- Ahmadu, A.A.; Hassan, H.S.; Abubakar, M.U.; Akpulu, I.N. Flavonoid glycosides from Byrsocarpus coccineus leaves. Schum and Thonn (Connaraceae). Afr. J. Tradit. Complement. Altern. Med. 2007, 4, 257–260. [Google Scholar] [CrossRef][Green Version]
- Scotti, L.; Fernandes, M.B.; Muramatsu, E.; Emereciano, V.D.; Tavares, J.F.; da Silva, M.S.; Scotti, M.T. C-13 NMR spectral data and molecular descriptors to predict the antioxidant activity of flavonoids. Braz. J. Pharm. Sci. 2011, 47, 241–249. [Google Scholar] [CrossRef]
- Kurihara, H.; Kawabata, J.; Hatano, M. Geraniin, a hydrolyzable tannin from Nymphaea tetragona Georgi (Nymphaeaceae). Biosci. Biotechnol. Biochem. 1993, 57, 1570–1571. [Google Scholar] [CrossRef]
- Okuda, T.; Yoshida, T.; Hatano, T. Equilibrated stereostructures of hydrated geraniin and mallotusinic acid. Tetrahedron Lett. 1980, 21, 2561–2564. [Google Scholar] [CrossRef]
- Okuda, T.; Yoshida, T.; Hatano, T. Constituents of Geranium thunbergii Sieb. et Zucc. Part 12. Hydrated stereostructure and equilibration of geraniin. J. Chem. Soc. Perkin Trans. 1 1982, 9–14. [Google Scholar] [CrossRef]
- Nawwar, M.A.; Hussein, S.A.; Merfort, I. NMR spectral analysis of polyphenols from Punica granatum. Phytochemistry 1994, 36, 793–798. [Google Scholar] [CrossRef]
- Tanaka, T.; Nonaka, G.-I.; Nishioka, I. Punicafolin, an ellagitannin from the leaves of Punica granatum. Phytochemistry 1985, 24, 2075–2078. [Google Scholar] [CrossRef]
- Haddock, E.A.; Gupta, R.K.; Haslam, E. The metabolism of gallic acid and hexahydroxydiphenic acid in plants. Part 3. Esters of (R)-and (S)-hexahydroxydiphenic acid and dehydrohexahydroxydiphenic acid with D-glucopyranose (1 C 4 and related conformations). J. Chem. Soc. Perkin Trans. 1 1982, 2535–2545. [Google Scholar] [CrossRef]
- Okuda, T.; Hatano, T.; Nitta, H.; Fujii, R. Hydrolysable tannins having enantiomeric dehydrohexahydroxydiphenoyl group: Revised structure of terchebin and structure of granatin B. Tetrahedron Lett. 1980, 21, 4361–4364. [Google Scholar] [CrossRef]
- Steinmetz, W.E. NMR assignment and characterization of proton exchange of the ellagitannin granatin B. Magn. Reson. Chem. 2010, 48, 565–570. [Google Scholar] [CrossRef] [PubMed]
- Tanaka, T.; Nonaka, G.-i.; Nishioka, I. Tannins and Related Compounds. C.: Reaction of Dehydrohexahydroxydiphenic Acid Esters with Bases, and Its Application to the Structure Determination of Pomegranate Tannins, Granatins A and B. Chem. Pharm. Bull. 1990, 38, 2424–2428. [Google Scholar] [CrossRef]
- Cho, J.-Y.; Sohn, M.-J.; Lee, J.; Kim, W.-G. Isolation and identification of pentagalloylglucose with broad-spectrum antibacterial activity from Rhus trichocarpa Miquel. Food Chem. 2010, 123, 501–506. [Google Scholar] [CrossRef]
- Lin, J.-H.; Ishimatsu, M.; Tanaka, T.; Nonaka, G.-i.; Nishioka, I. Tannins and Related Compounds. XCVI.: Structures of Macaranins and Macarinins, New Hydrolyzable Tannins Possessing Macaranoyl and Tergalloy Ester Groups, from the Leaves of Macaranga sinensis (BAILL.) MUELL.-ARG. Chem. Pharm. Bull. 1990, 38, 1844–1851. [Google Scholar] [CrossRef][Green Version]
- Lin, J.-H.; Nonaka, G.-i.; Nishioka, I. Tannins and Related Compounds. XCIV.: Isolation and Characterization of Seven New Hydrolyzable Tannins from the Leaves of Macaranga tanarius (L.) MUELL. et ARG. Chem. Pharm. Bull. 1990, 38, 1218–1223. [Google Scholar] [CrossRef]
- Saijo, R.; Nonaka, G.-i.; Nishioka, I. Tannins and related compounds. Lxxxiv.: Isolation and characterization of five new hydrolyzable tannins from the bark of mallotus japonicus. Chem. Pharm. Bull. 1989, 37, 2063–2070. [Google Scholar] [CrossRef] [PubMed]
- Saijo, R.; Nonaka, G.-i.; Nishioka, I. Tannins and Related Compounds. LXXXVII.: Isolation and Characterization of Four New Hydrolyzable Tannins from the Leaves of Mallotus repandus. Chem. Pharm. Bull. 1989, 37, 2624–2630. [Google Scholar] [CrossRef]
- Saijo, R.; Nonaka, G.-i.; Nishioka, I.; Chen, I.-S.; Hwang, T.-H. Tannins and Related Compounds. LXXXVIII.: Isolation and Characterization of Hydrolyzable Tannins from Mallotus japonicus (THUNB.) MUELLER-ARG. and M. philippinensis (LAM.) MUELLER-ARG. Chem. Pharm. Bull. 1989, 37, 2940–2947. [Google Scholar] [CrossRef]
- Moosavi, M.A.; Haghi, A.; Rahmati, M.; Taniguchi, H.; Mocan, A.; Echeverría, J.; Gupta, V.K.; Tzvetkov, N.T.; Atanasov, A.G. Phytochemicals as potent modulators of autophagy for cancer therapy. Cancer Lett. 2018, 424, 46–69. [Google Scholar] [CrossRef]
- Patra, S.; Nayak, R.; Patro, S.; Pradhan, B.; Sahu, B.; Behera, C.; Bhutia, S.K.; Jena, M. Chemical diversity of dietary phytochemicals and their mode of chemoprevention. Biotechnol. Rep. 2021, 30, e00633. [Google Scholar] [CrossRef]
- Rios, J.L.; Giner, R.M.; Marin, M.; Recio, M.C. A Pharmacological Update of Ellagic Acid. Planta Med. 2018, 84, 1068–1093. [Google Scholar] [CrossRef]
- Vanella, L.; Di Giacomo, C.; Acquaviva, R.; Barbagallo, I.; Cardile, V.; Kim, D.H.; Abraham, N.G.; Sorrenti, V. Apoptotic markers in a prostate cancer cell line: Effect of ellagic acid. Oncol. Rep. 2013, 30, 2804–2810. [Google Scholar] [CrossRef]















| Compounds | IC50 (µM) |
|---|---|
| 1 | >40 |
| 2 | >40 |
| 3 | >40 |
| 4 | >40 |
| 5 | >40 |
| 6 | 271.0 ± 5. |
| 7 | 314.2 ± 5. |
| 8 | >40 |
| 9 | 157.1 ± 4. |
| 10 | 242.2 ± 10. |
| 11 | >40 |
| 12 | >40 |
| 13 | 308.1 ± 2. |
| 14 | 179.2 ± 4. |
| Compounds | IC50 (µM) |
|---|---|
| 1 | >10 |
| 2 | >10 |
| 3 | 72.75 ± 1.9 |
| 4 | 45.01 ± 1.2 |
| 5 | 62.82 ± 1.3 |
| 6 | 0.36 ± 0.0 |
| 7 | 0.68 ± 0.1 |
| 8 | 48.49 ± 1.2 |
| 9 | 2.06 ± 0.4 |
| 10 | 0.81 ± 0.1 |
| 11 | 34.81 ± 0.7 |
| 12 | 17.64 ± 0.6 |
| 13 | 3.48 ± 0.4 |
| 14 | 0.91 ± 0.1 |
| Compounds | IC50 (µM) |
|---|---|
| 6 | 72.18 ± 7.6 |
| 7 | 20.37 ± 4.7 |
| 9 | 37.66 ± 5.4 |
| 10 | 17.13 ± 1.5 |
| 11 | 155.16 ± 10.8 |
| 12 | 80.22 ± 2.0 |
| 13 | 47.85 ± 2.2 |
| 14 | 39.45 ± 4.7 |
| BAY | 71.82 ± 1.8 |
| Compounds | IC50 (µM) |
|---|---|
| 6 | 52.61 ± 5.5 |
| 7 | 86.90 ± 6.7 |
| 9 | 42.37 ± 9.7 |
| 10 | 119.77 ± 9.9 |
| 13 | 42.10 ± 8.3 |
| 14 | 33.86 ± 5.2 |
| BAY | 61.37 ± 9.1 |
Disclaimer/Publisher’s Note: The statements, opinions and data contained in all publications are solely those of the individual author(s) and contributor(s) and not of MDPI and/or the editor(s). MDPI and/or the editor(s) disclaim responsibility for any injury to people or property resulting from any ideas, methods, instructions or products referred to in the content. |
© 2023 by the authors. Licensee MDPI, Basel, Switzerland. This article is an open access article distributed under the terms and conditions of the Creative Commons Attribution (CC BY) license (https://creativecommons.org/licenses/by/4.0/).
Share and Cite
Son, S.-Y.; Choi, J.-H.; Kim, E.-B.; Yin, J.; Seonu, S.-Y.; Jin, S.-Y.; Oh, J.-Y.; Lee, M.-W. Chemopreventive Activity of Ellagitannins from Acer pseudosieboldianum (Pax) Komarov Leaves on Prostate Cancer Cells. Plants 2023, 12, 1047. https://doi.org/10.3390/plants12051047
Son S-Y, Choi J-H, Kim E-B, Yin J, Seonu S-Y, Jin S-Y, Oh J-Y, Lee M-W. Chemopreventive Activity of Ellagitannins from Acer pseudosieboldianum (Pax) Komarov Leaves on Prostate Cancer Cells. Plants. 2023; 12(5):1047. https://doi.org/10.3390/plants12051047
Chicago/Turabian StyleSon, Se-Yeon, Jin-Hyeok Choi, Eun-Bin Kim, Jun Yin, Seo-Yeon Seonu, Si-Yeon Jin, Jae-Yoon Oh, and Min-Won Lee. 2023. "Chemopreventive Activity of Ellagitannins from Acer pseudosieboldianum (Pax) Komarov Leaves on Prostate Cancer Cells" Plants 12, no. 5: 1047. https://doi.org/10.3390/plants12051047
APA StyleSon, S.-Y., Choi, J.-H., Kim, E.-B., Yin, J., Seonu, S.-Y., Jin, S.-Y., Oh, J.-Y., & Lee, M.-W. (2023). Chemopreventive Activity of Ellagitannins from Acer pseudosieboldianum (Pax) Komarov Leaves on Prostate Cancer Cells. Plants, 12(5), 1047. https://doi.org/10.3390/plants12051047

