Plant-Mediated Effects of Beneficial Microbes and a Plant Strengthener against Spider Mites in Tomato
Abstract
1. Introduction
2. Results
2.1. Plant-Mediated Effects on Spider Mite Performance
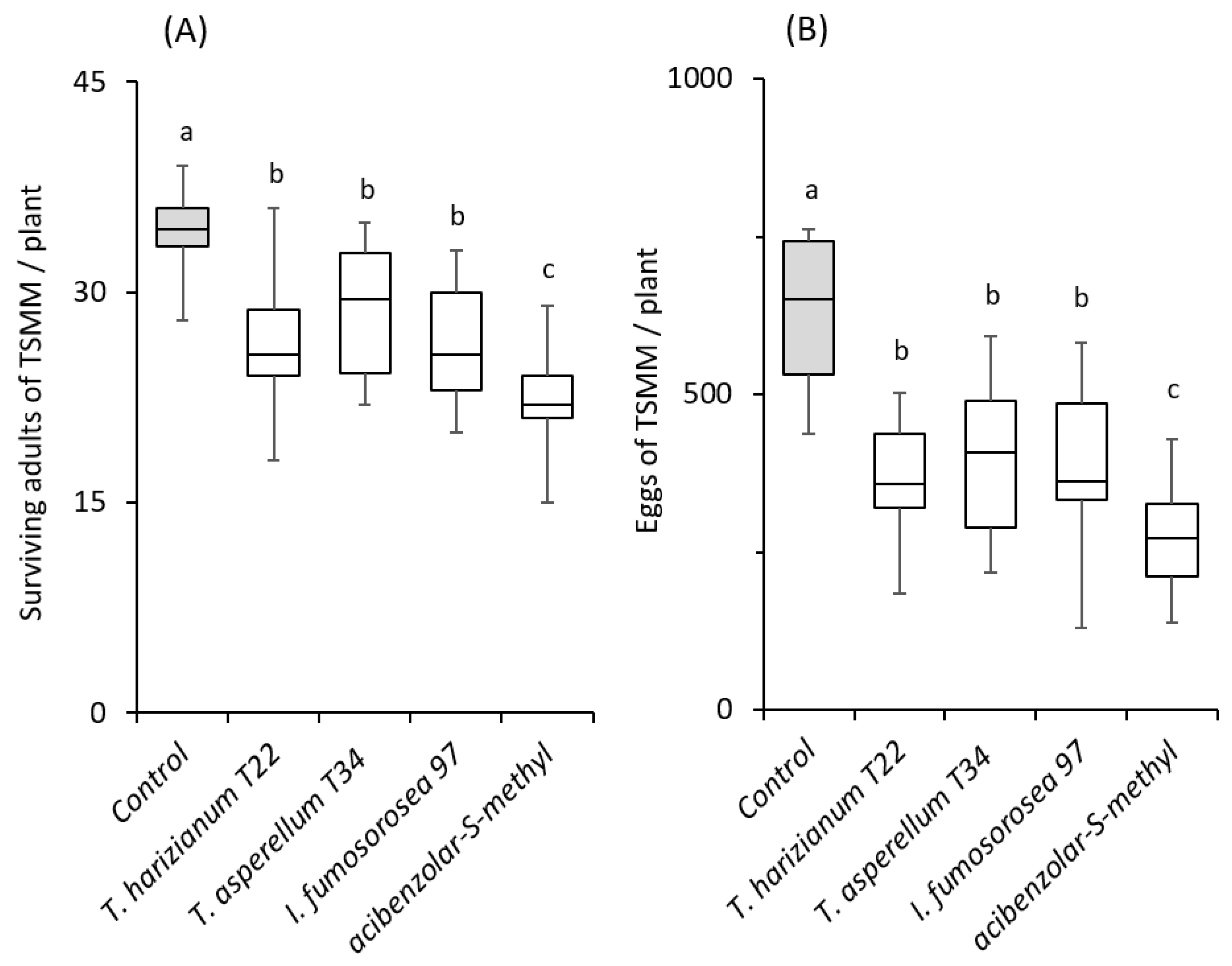
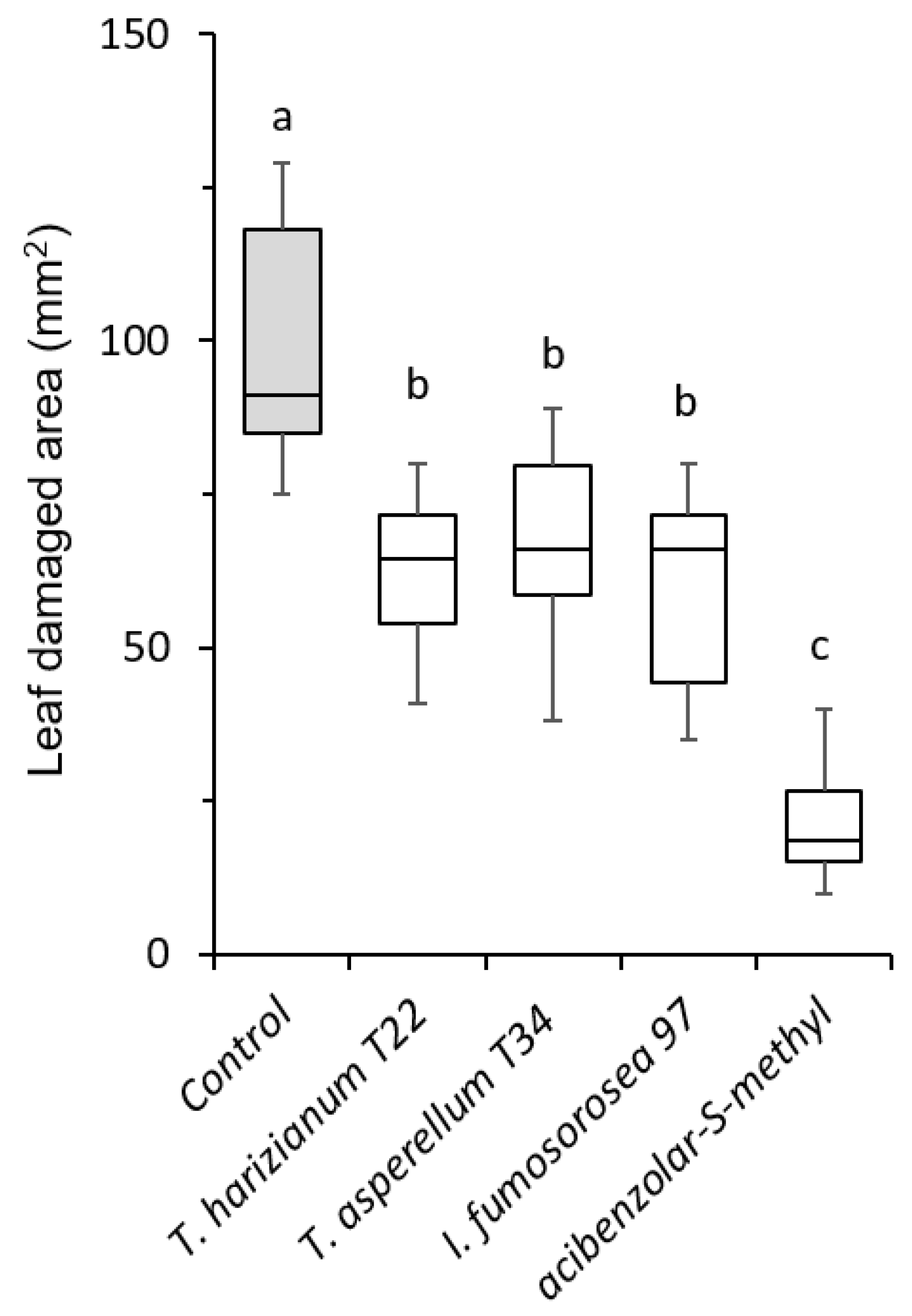
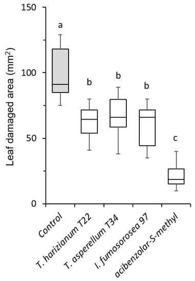
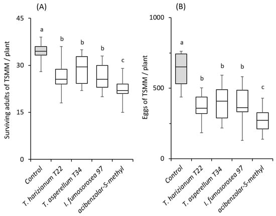
2.1.1. Spider Mite Performance on Tomato Plants cv. Ace 55
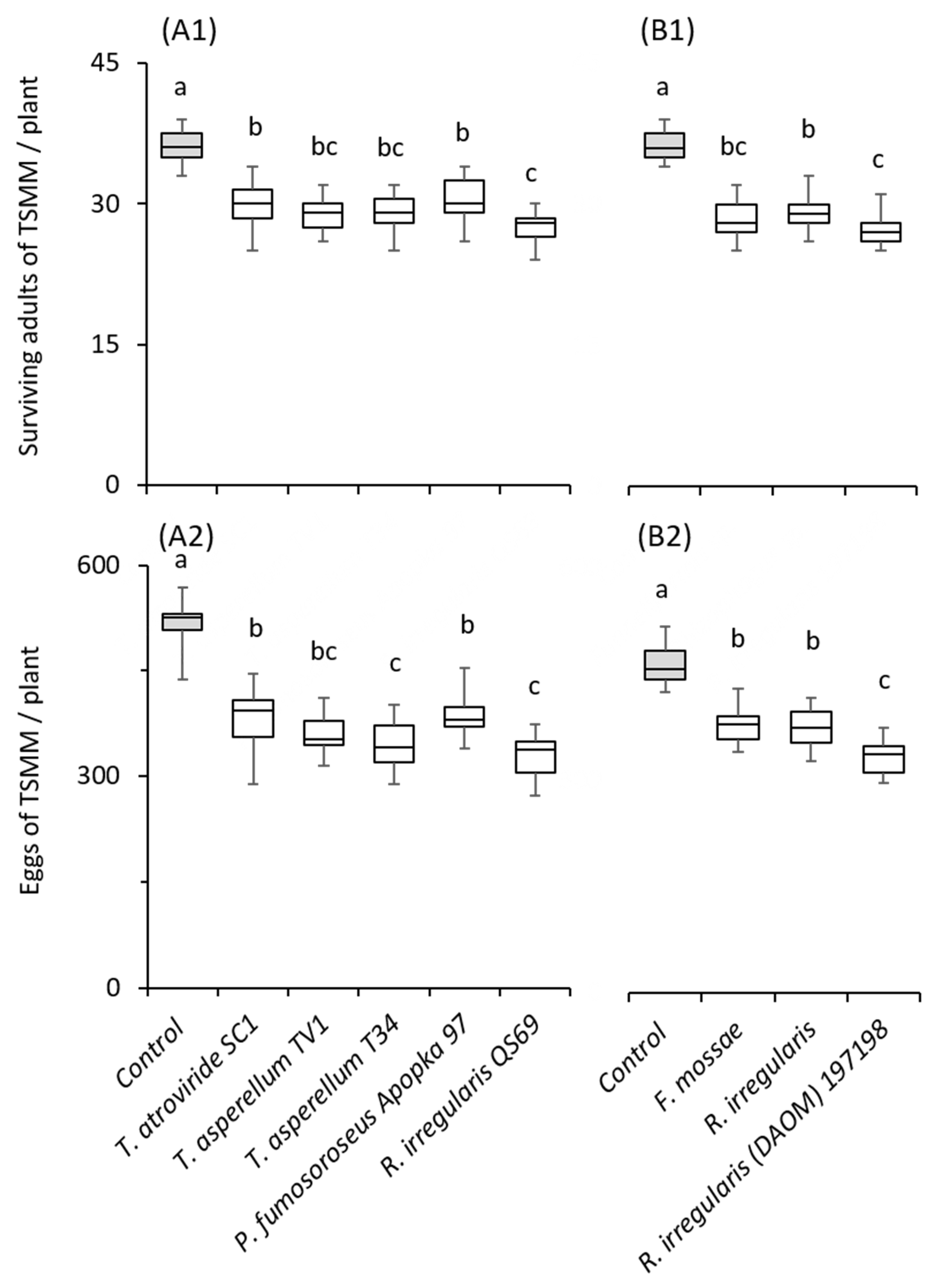
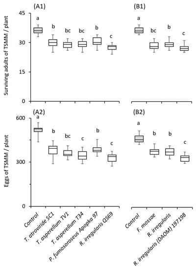
2.1.2. Spider Mite Performance on Tomato Plants cv. Moneymaker
2.2. Plant Growth Parameters
3. Materials and Methods
3.1. Plants
3.2. Herbivores
3.3. Plant Treatments
3.3.1. Experiments with Tomato Plants cv. Ace 55
3.3.2. Experiments with Tomato Plants cv. Moneymaker
3.4. Plant Growth Parameters
3.5. Statistics
4. Discussion
5. Conclusions
Author Contributions
Funding
Data Availability Statement
Acknowledgments
Conflicts of Interest
References
- Oerke, E.C. Crop losses to pests. J. Agric. Sci. 2006, 144, 31–43. [Google Scholar] [CrossRef]
- EU 128/2009/EC; Directive of the European Parliament and of the Council Establishing a Framework for Community Action to Achieve the Sustainable Use of Pesticides. European Union: Brussels, Belgium, 2009.
- Udeigwe, T.K.; Teboh, J.M.; Eze, P.N.; Hashem Stietiya, M.; Kumar, V.; Hendrix, J.; Mascagni, H.J.; Ying, T.; Kandakji, T. Implications of leading crop production practices on environmental quality and human health. J. Environ. Manag. 2015, 151, 267–279. [Google Scholar] [CrossRef]
- Whitehorn, P.R.; O’Connor, S.; Wackers, F.L.; Goulson, D. Neonicotinoid pesticide reduces bumble bee colony growth and queen production. Science 2012, 336, 351–352. [Google Scholar] [CrossRef]
- Bale, J.S.; Van Lenteren, J.C.; Bigler, F. Biological control and sustainable food production. Philos. Trans. R. Soc. B Biol. Sci. 2008, 363, 761–776. [Google Scholar] [CrossRef] [PubMed]
- McDonald, B.A.; Linde, C. Pathogen population genetics, evolutionary potential, and durable resistance. Annu. Rev. Phytopathol. 2002, 40, 349–379. [Google Scholar] [CrossRef]
- Nombela, G.; Williamson, V.M.; Muñiz, M. The root-knot nematode resistance gene Mi-1.2 of tomato is responsible for resistance against the whitefly Bemisia tabaci. Mol. Plant-Microbe Interact. 2003, 16, 645–649. [Google Scholar] [CrossRef] [PubMed]
- Russell, G.E. Plant breeding for pest and disease resistance. Studies in the agricultural and food sciences; Butterworth-Heinemann: Boston, MA, USA, 2013. [Google Scholar]
- Seifi, A.; Kaloshian, I.; Vossen, J.; Che, D.; Bhattarai, K.K.; Fan, J.; Naher, Z.; Goverse, A.; Tjallingii, W.F.; Lindhout, P.; et al. Linked, if not the same, Mi-1 homologues confer resistance to tomato powdery mildew and root-knot nematodes. Mol. Plant-Microbe Interact. 2011, 24, 441–450. [Google Scholar] [CrossRef]
- Martinez-Medina, A.; Flors, V.; Heil, M.; Mauch-Mani, B.; Pieterse, C.M.J.; Pozo, M.J.; Ton, J.; van Dam, N.M.; Conrath, U. Recognizing Plant Defense Priming. Trends Plant Sci. 2016, 21, 818–822. [Google Scholar] [CrossRef]
- Pieterse, C.M.J.; Van Der Does, D.; Zamioudis, C.; Leon-Reyes, A.; Van Wees, S.C.M. Hormonal modulation of plant immunity. Annu. Rev. Cell Dev. Biol. 2012, 28, 489–521. [Google Scholar] [CrossRef]
- Pieterse, C.M.J.; Zamioudis, C.; Berendsen, R.L.; Weller, D.M.; Van Wees, S.C.M.; Bakker, P.A.H.M. Induced systemic resistance by beneficial microbes. Annu. Rev. Phytopathol. 2014, 52, 347–375. [Google Scholar] [CrossRef]
- Pineda, A.; Soler, R.; Weldegergis, B.T.; Shimwela, M.M.; Van Loon, J.J.A.; Dicke, M. Non-pathogenic rhizobacteria interfere with the attraction of parasitoids to aphid-induced plant volatiles via jasmonic acid signalling. Plant Cell Environ. 2013, 36, 393–404. [Google Scholar] [CrossRef]
- Shikano, I.; Rosa, C.; Tan, C.W.; Felton, G.W. Tritrophic interactions: Microbe-mediated plant effects on insect herbivores. Annu. Rev. Phytopathol. 2017, 55, 313–331. [Google Scholar] [CrossRef] [PubMed]
- Pappas, M.L.; Liapoura, M.; Papantoniou, D.; Avramidou, M.; Kavroulakis, N.; Weinhold, A.; Broufas, G.D.; Papadopoulou, K.K. The beneficial endophytic fungus fusarium solani strain K alters tomato responses against spider mites to the benefit of the plant. Front. Plant Sci. 2018, 9, 1603. [Google Scholar] [CrossRef] [PubMed]
- Pappas, M.L.; Baptista, P.; Broufas, G.D.; Dalakouras, A.; Djobbi, W.; Flors, V.; Guerfali, M.M.; Khayi, S.; Mentag, R.; Pastor, V.; et al. Biological and Molecular Control Tools in Plant Defense. In Plant Defence: Biological Control; Mérillon, J.-M., Ramawat, K.G., Eds.; Springer International Publishing: Cham, Switzerland, 2020; pp. 3–43. [Google Scholar] [CrossRef]
- Gruden, K.; Lidoy, J.; Petek, M.; Podpečan, V.; Flors, V.; Papadopoulou, K.K.; Pappas, M.L.; Martinez-Medina, A.; Bejarano, E.; Biere, A.; et al. Ménage à Trois: Unraveling the Mechanisms Regulating Plant–Microbe–Arthropod Interactions. Trends Plant Sci. 2020, 25, 1215–1226. [Google Scholar] [CrossRef]
- Pappas, M.L.; Broekgaarden, C.; Broufas, G.D.; Kant, M.R.; Messelink, G.J.; Steppuhn, A.; Wäckers, F.; van Dam, N.M. Induced plant defences in biological control of arthropod pests: A double-edged sword. Pest Manag. Sci. 2017, 73, 1780–1788. [Google Scholar] [CrossRef] [PubMed]
- Inbar, M.; Doostdar, H.; Gerling, D.; Mayer, R.T. Induction of systemic acquired resistance in cotton by BTH has a negligible effect on phytophagous insects. Entomol. Exp. Et Appl. 2001, 99, 65–70. [Google Scholar] [CrossRef]
- Sobhy, I.S.; Erb, M.; Lou, Y.; Turlings, T.C.J. The prospect of applying chemical elicitors and plant strengtheners to enhance the biological control of crop pests. Philos. Trans. R. Soc. B Biol. Sci. 2014, 369, 20120283. [Google Scholar] [CrossRef]
- Arimura, G.I.; Kost, C.; Boland, W. Herbivore-induced, indirect plant defences. Biochim. Et Biophys. Acta Mol. Cell Biol. Lipids 2005, 1734, 91–111. [Google Scholar] [CrossRef]
- Sobhy, I.S.; Erb, M.; Sarhan, A.A.; El-Husseini, M.M.; Mandour, N.S.; Turlings, T.C.J. Less is more: Treatment with BTH and Laminarin Reduces herbivore-induced volatile emissions in maize but increases parasitoid attraction. J. Chem. Ecol. 2012, 38, 348–360. [Google Scholar] [CrossRef]
- Thaler, J.S.; Humphrey, P.T.; Whiteman, N.K. Evolution of jasmonate and salicylate signal crosstalk. Trends Plant Sci. 2012, 17, 260–270. [Google Scholar] [CrossRef]
- Pineda, A.; Zheng, S.J.; van Loon, J.J.A.; Pieterse, C.M.J.; Dicke, M. Helping plants to deal with insects: The role of beneficial soil-borne microbes. Trends Plant Sci. 2010, 15, 507–514. [Google Scholar] [CrossRef]
- Rasmann, S.; Bennett, A.; Biere, A.; Karley, A.; Guerrieri, E. Root symbionts: Powerful drivers of plant above- and belowground indirect defenses. Insect Sci. 2017, 24, 947–960. [Google Scholar] [CrossRef] [PubMed]
- Rosenblueth, M.; Martínez-Romero, E. Bacterial endophytes and their interactions with hosts. Mol. Plant-Microbe Interact. 2006, 19, 827–837. [Google Scholar] [CrossRef]
- Van Wees, S.C.; Van der Ent, S.; Pieterse, C.M. Plant immune responses triggered by beneficial microbes. Curr. Opin. Plant Biol. 2008, 11, 443–448. [Google Scholar] [CrossRef] [PubMed]
- Alba, J.M.; Schimmel, B.C.J.; Glas, J.J.; Ataide, L.M.S.; Pappas, M.L.; Villarroel, C.A.; Schuurink, R.C.; Sabelis, M.W.; Kant, M.R. Spider mites suppress tomato defenses downstream of jasmonate and salicylate independently of hormonal crosstalk. New Phytol. 2015, 205, 828–840. [Google Scholar] [CrossRef] [PubMed]
- Kant, M.R.; Jonckheere, W.; Knegt, B.; Lemos, F.; Liu, J.; Schimmel, B.C.J.; Villarroel, C.A.; Ataide, L.M.S.; Dermauw, W.; Glas, J.J.; et al. Mechanisms and ecological consequences of plant defence induction and suppression in herbivore communities. Ann. Bot. 2015, 115, 1015–1051. [Google Scholar] [CrossRef]
- Hoffmann, D.; Vierheilig, H.; Peneder, S.; Schausberger, P. Mycorrhiza modulates aboveground tri-trophic interactions to the fitness benefit of its host plant. Ecol. Entomol. 2011, 36, 574–581. [Google Scholar] [CrossRef]
- Hoffmann, D.; Vierheilig, H.; Riegler, P.; Schausberger, P. Arbuscular mycorrhizal symbiosis increases host plant acceptance and population growth rates of the two-spotted spider mite Tetranychus urticae. Oecologia 2009, 158, 663–671. [Google Scholar] [CrossRef]
- Khaitov, B.; Patiño-Ruiz, J.D.; Pina, T.; Schausberger, P. Interrelated effects of mycorrhiza and free-living nitrogen fixers cascade up to aboveground herbivores. Ecol. Evol. 2015, 5, 3756–3768. [Google Scholar] [CrossRef]
- Schausberger, P.; Peneder, S.; Jürschik, S.; Hoffmann, D. Mycorrhiza changes plant volatiles to attract spider mite enemies. Funct. Ecol. 2012, 26, 441–449. [Google Scholar] [CrossRef]
- Kavroulakis, N.; Tsiknia, M.; Ipsilantis, I.; Kavadia, A.; Stedel, C.; Psarras, G.; Tzerakis, C.; Doupis, G.; Karpouzas, D.G.; Papadopoulou, K.K.; et al. Arbuscular mycorrhizal fungus inocula from coastal sand dunes arrest olive cutting growth under salinity stress. Mycorrhiza 2020, 30, 475–489. [Google Scholar] [CrossRef]
- Cazaux, M.; Navarro, M.; Bruinsma, K.A.; Zhurov, V.; Negrave, T.; Van Leeuwen, T.; Grbic, V.; Grbic, M. Application of two-spotted spider mite tetranychus urticae for plant-pest interaction studies. J. Vis. Exp. 2014, e51738. [Google Scholar] [CrossRef]
- IBM Corp. Released 2020. IBM SPSS Statistics for Windows, SPSS Version 27.0; IBM Corp.: Armonk, NY, USA, 2020. [Google Scholar]
- Arora, N.K. Plant Microbes Symbiosis: Applied Facets; Springer: Berlin/Heidelberg, Germany, 2015; pp. 1–381. [Google Scholar] [CrossRef]
- Warabieda, W. The effect of methyl jasmonate and acibenzolar-S-methyl on the populations of the European red mite (Panonychus ulmi Koch) and Typhlodromus pyri Scheut. in apple orchards, as well as on the yield and growth of apple trees. Int. J. Acarol. 2015, 41, 100–107. [Google Scholar] [CrossRef]
- Warabieda, W.; Markiewicz, M.; Wójcik, D. Mutual relations between jasmonic acid and acibenzolar-S-methyl in the induction of resistance to the two-spotted spider mite (Tetranychus urticae) in apple trees. Exp. Appl. Acarol. 2020, 82, 59–79. [Google Scholar] [CrossRef] [PubMed]
- Civolani, S.; Mirandola, D.; Benetti, L.; Finetti, L.; Pezzi, M.; Bernacchia, G. Effects of Acibenzolar-S-methyl on the Probing Behaviour and Mortality of Cacopsylla pyri on Pear Plants. Insects 2022, 13, 525. [Google Scholar] [CrossRef] [PubMed]
- Canassa, F.; D’Alessandro, C.P.; Sousa, S.B.; Demétrio, C.G.B.; Meyling, N.V.; Klingen, I.; Delalibera, I., Jr. Fungal isolate and crop cultivar influence the beneficial effects of root inoculation with entomopathogenic fungi in strawberry. Pest Manag. Sci. 2020, 76, 1472–1482. [Google Scholar] [CrossRef] [PubMed]
- Canassa, F.; Esteca, F.C.N.; Moral, R.A.; Meyling, N.V.; Klingen, I.; Delalibera, I. Root inoculation of strawberry with the entomopathogenic fungi Metarhizium robertsii and Beauveria bassiana reduces incidence of the twospotted spider mite and selected insect pests and plant diseases in the field. J. Pest Sci. 2020, 93, 261–274. [Google Scholar] [CrossRef]
- Castro, T.; Eilenberg, J.; Delalibera, I. Exploring virulence of new and less studied species of Metarhizium spp. from Brazil for two-spotted spider mite control. Exp. Appl. Acarol. 2018, 74, 139–146. [Google Scholar] [CrossRef] [PubMed]
- Dash, C.K.; Bamisile, B.S.; Keppanan, R.; Qasim, M.; Lin, Y.; Islam, S.U.; Hussain, M.; Wang, L. Endophytic entomopathogenic fungi enhance the growth of Phaseolus vulgaris L. (Fabaceae) and negatively affect the development and reproduction of Tetranychus urticae Koch (Acari: Tetranychidae). Microb. Pathog. 2018, 125, 385–392. [Google Scholar] [CrossRef]
- Elhakim, E.; Mohamed, O.; Elazouni, I. Virulence and proteolytic activity of entomopathogenic fungi against the two-spotted spider mite, Tetranychus urticae Koch (Acari: Tetranychidae). Egypt. J. Biol. Pest Control 2020, 30, 30. [Google Scholar] [CrossRef]
- Hosseini, A.; Hosseini, M.; Schausberger, P. Plant Growth-Promoting Rhizobacteria Enhance Defense of Strawberry Plants Against Spider Mites. Front. Plant Sci. 2022, 12, 783578. [Google Scholar] [CrossRef] [PubMed]
- Pappas, M.L.; Samaras, K.; Koufakis, I.; Broufas, G.D. Beneficial soil microbes negatively affect spider mites and aphids in pepper. Agronomy 2021, 11, 1831. [Google Scholar] [CrossRef]
- Nishida, T.; Katayama, N.; Izumi, N.; Ohgushi, T. Arbuscular mycorrhizal fungi species-specifically affect induced plant responses to a spider mite. Popul. Ecol. 2010, 52, 507–515. [Google Scholar] [CrossRef]
- Manresa-Grao, M.; Pastor-Fernández, J.; Sanchez-Bel, P.; Jaques, J.A.; Pastor, V.; Flors, V. Mycorrhizal Symbiosis Triggers Local Resistance in Citrus Plants Against Spider Mites. Front. Plant Sci. 2022, 13, 867778. [Google Scholar] [CrossRef] [PubMed]
- Hartley, S.E.; Gange, A.C. Impacts of plant symbiotic fungi on insect herbivores: Mutualism in a multitrophic context. Annu. Rev. Entomol. 2009, 54, 323–342. [Google Scholar] [CrossRef]
- Poveda, J. Trichoderma as biocontrol agent against pests: New uses for a mycoparasite. Biol. Control 2021, 159, 104634. [Google Scholar] [CrossRef]
- Vega, F.E. Insect pathology and fungal endophytes. J. Invertebr. Pathol. 2008, 98, 277–279. [Google Scholar] [CrossRef]
- Vega, F.E. The use of fungal entomopathogens as endophytes in biological control: A review. Mycologia 2018, 110, 4–30. [Google Scholar] [CrossRef]
- Zimmermann, G. The entomopathogenic fungi Isaria farinosa (formerly Paecilomyces farinosus) and the Isaria fumosorosea species complex (formerly Paecilomyces fumosoroseus): Biology, ecology and use in biological control. Biocontrol Sci. Technol. 2008, 18, 865–901. [Google Scholar] [CrossRef]
- Cooper, W.C.; Jia, L.; Goggin, F.L. Acquired and r-gene-mediated resistance against the potato aphid in tomato. J. Chem. Ecol. 2004, 30, 2527–2542. [Google Scholar] [CrossRef]
- Boughton, A.J.; Hoover, K.; Felton, G.W. Impact of chemical elicitor applications on greenhouse tomato plants and population growth of the green peach aphid, Myzus persicae. Entomol. Exp. Et Appl. 2006, 120, 175–188. [Google Scholar] [CrossRef]
- Favaro, R.; Resende, J.T.V.; Gabriel, A.; Zeist, A.R.; Cordeiro, E.C.N.; Favaro Júnior, J.L. Salicylic acid: Resistance inducer to two-spotted spider mite in strawberry crop. Hortic. Bras. 2019, 37, 60–64. [Google Scholar] [CrossRef]
- Choh, Y.; Ozawa, R.; Takabayashi, J. Effects of exogenous Jasmonic acid and benzo (1,2,3) thiadiazole-7- carbothioic acid S-methyl ester (BTH), a functional analogue of salicylic acid, on the egg production of a herbivorous mite Tetranychus urticae (Acari: Tetranychidae). Appl. Entomol. Zool. 2004, 39, 311–314. [Google Scholar] [CrossRef]
- Pozo, M.J.; Azcón-Aguilar, C. Unraveling mycorrhiza-induced resistance. Curr. Opin. Plant Biol. 2007, 10, 393–398. [Google Scholar] [CrossRef] [PubMed]
- Kempel, A.; Schmidt, A.K.; Brandl, R.; Schädler, M. Support from the underground: Induced plant resistance depends on arbuscular mycorrhizal fungi. Funct. Ecol. 2010, 24, 293–300. [Google Scholar] [CrossRef]
- Gehring, C.; Bennett, A. Mycorrhizal fungal-plant-insect interactions: The importance of a community approach. Environ. Entomol. 2009, 38, 93–102. [Google Scholar] [CrossRef]
- Meck, E.D.; Kennedy, G.G.; Walgenbach, J.F. Effect of Tetranychus urticae (Acari: Tetranychidae) on yield, quality, and economics of tomato production. Crop Prot. 2013, 52, 84–90. [Google Scholar] [CrossRef]




| Strain | Origin (Product/Lab) | Dosage (mg/pot) |
|---|---|---|
| Tomato cv: ACE | ||
| Fungi | ||
| Trichoderma harzianum T-22 | TRIANUM-P® KOPPERT 1 × 109 cfu/g | 35 |
| Trichoderma asperellum T34 | Asperello® T34 Biocontrol®, Biobest Group NV 1 × 109 cfu/g | 35 |
| Isaria fumosorosea Apopka 97 | PreFeRal®, Biobest Group NV 2 × 109 cfu/g | 35 |
| Plant strengthener | ||
| Acibenzolar-S-methyl | BION 50 WG Syngenta Hellas | 5 |
| Tomato cv: Moneymaker | ||
| Fungi | ||
| Isaria fumosorosea Apopka 97 | PreFeRal®, Biobest Group NV 2 × 109 cfu/g | 0.64 |
| Trichoderma atroviride SC1 | Vintec®, Bi-PA NV/SA 1 × 1010 cfu/g | 0.09 |
| Trichoderma asperellum TV1 | Xedavir, Intrachem Hellas 1 × 107 cfu/g | 350 |
| Trichoderma asperellum T34 | Asperello® T34 BiocontrolTM, Biobest Group NV 1 × 109 cfu/g | 3.50 |
| Rhizoglomus irregulare QS69 | Advantage, INOQ GmbH 3.6 × 104 propagules/g | 10 |
| Funneliformis mossae | Lab [34] 2 × 105 cfu/g | 10 |
| Rhizophagus irregularis | Lab [34] 2 × 105 cfu/g | 10 |
| Rhizophagus irregularis (DAOM) 197198 | DAOM Agronutrition 5 × 104 cfu/mL | 10 μL |
| Bacteria | ||
| Pseudomonas sp. DSMZ 13134 | Proradix®, Anthesis 6.6 × 1010 cfu/g | 0.08 |
| Bacillus amyloliquefaciens MBI600 | Serifel®, BASF Hellas 5.5 × 1010 cfu/g | 0.32 |
| Bacillus amyloliquefaciens FZB24 | Taegro ®, Syngenta 1 × 1010 cfu/g | 0.24 |
| Bacillus pumilus QST 2808 | Sonata ®, Bayer 1 × 109 cfu/gr | 6.4 |
| Bacillus amyloliquefaciens subsp. plantarum D747 | Amylo-X®, K&N Efthymiadis 2 × 1011 cfu/g | 1.60 |
Disclaimer/Publisher’s Note: The statements, opinions and data contained in all publications are solely those of the individual author(s) and contributor(s) and not of MDPI and/or the editor(s). MDPI and/or the editor(s) disclaim responsibility for any injury to people or property resulting from any ideas, methods, instructions or products referred to in the content. |
© 2023 by the authors. Licensee MDPI, Basel, Switzerland. This article is an open access article distributed under the terms and conditions of the Creative Commons Attribution (CC BY) license (https://creativecommons.org/licenses/by/4.0/).
Share and Cite
Samaras, K.; Mourtiadou, S.; Arampatzis, T.; Kakagianni, M.; Feka, M.; Wäckers, F.; Papadopoulou, K.K.; Broufas, G.D.; Pappas, M.L. Plant-Mediated Effects of Beneficial Microbes and a Plant Strengthener against Spider Mites in Tomato. Plants 2023, 12, 938. https://doi.org/10.3390/plants12040938
Samaras K, Mourtiadou S, Arampatzis T, Kakagianni M, Feka M, Wäckers F, Papadopoulou KK, Broufas GD, Pappas ML. Plant-Mediated Effects of Beneficial Microbes and a Plant Strengthener against Spider Mites in Tomato. Plants. 2023; 12(4):938. https://doi.org/10.3390/plants12040938
Chicago/Turabian StyleSamaras, Konstantinos, Soultana Mourtiadou, Theodoros Arampatzis, Myrsini Kakagianni, Maria Feka, Felix Wäckers, Kalliope K. Papadopoulou, George D. Broufas, and Maria L. Pappas. 2023. "Plant-Mediated Effects of Beneficial Microbes and a Plant Strengthener against Spider Mites in Tomato" Plants 12, no. 4: 938. https://doi.org/10.3390/plants12040938
APA StyleSamaras, K., Mourtiadou, S., Arampatzis, T., Kakagianni, M., Feka, M., Wäckers, F., Papadopoulou, K. K., Broufas, G. D., & Pappas, M. L. (2023). Plant-Mediated Effects of Beneficial Microbes and a Plant Strengthener against Spider Mites in Tomato. Plants, 12(4), 938. https://doi.org/10.3390/plants12040938

