Effects of Humic Substances and Mycorrhizal Fungi on Drought-Stressed Cactus: Focus on Growth, Physiology, and Biochemistry
Abstract
:1. Introduction
2. Results
2.1. Soil Analysis
2.2. Root Colonization and Plant Growth
| Before Experiment | After Experiment | ||||||||||||
|---|---|---|---|---|---|---|---|---|---|---|---|---|---|
| Treatments | Without Irrigation | 15% F.c | 30% F.c | ||||||||||
| T | Hs | AMF | Hs+AMF | T | Hs | AMF | Hs+AMF | T | Hs | AMF | Hs+AMF | ||
| Ec mS (cm−1) | 0.17 ± 0.03 cd | 0.29 ± 0.02 a | 0.21 ± 0.05 bc | 0.26 ± 0.06 ab | 0.21 ± 0.04 bc | 0.25 ± 0.04 ab | 0.20 ± 0.03 bc | 0.22 ± 0.02 b | 0.19 ± 0.02 c | 0.16 ± 0.04 cd | 0.13 ± 0.02 d | 0.14 ± 0.03 cd | 0.15 ± 0.03 cd |
| Ph | 8.47 ± 0.3 ef | 8.59 ± 0.2 cd | 8.69 ± 0.3 ab | 8.61 ± 0.2 c | 8.71 ± 0.3 a | 8.62 ± 0.4 bc | 8.71 ± 0.2 a | 8.62 ± 0.2 c | 8.73 ± 0.4 a | 8.51 ± 0.1 e | 8.54 ± 0.2 de | 8.5 ± 0.5 e | 8.57 ± 0.2 cd |
| TOC (%) | 1.00 ± 0.08 e | 0.84 ± 0.05 g | 0.98 ± 0.04 e | 0.92 ± 0.08 f | 1.06 ± 0.04 d | 0.87 ± 0.02 g | 1.14 ± 0.04 cd | 1.04 ± 0.05 de | 1.19 ± 0.04 bc | 1.10 ± 0.08 d | 1.21 ± 0.11 ab | 1.18 ± 0.09 bc | 1.27 ± 0.05 a |
| AP (mg/Kg) | 12.00 ± 0.82 d | 11.75 ± 0.32 e | 12.28 ± 0.87 cd | 11.92 ± 0.32 e | 12.36 ± 0.16 c | 12.00 ± 0.39 d | 12.58 ± 0.19 c | 12.06 ± 0.24 d | 12.36 ± 0.39 c | 12.04 ± 0.74 d | 13.23 ± 0.94 b | 14.11 ± 0.58 a | 14.36 ± 0.54 a |
| N (mg/Kg) | 314.00 ± 28.36 de | 310.25 ± 17.69 e | 319.25 ± 29.48 d | 314.75 ± 18.44 de | 322.19 ± 27.39 c | 310.45 ± 30.14 e | 326.36 ± 25.69 b | 314.75 ± 27.57 de | 322.19 ± 20.18 c | 314.23 ± 25.47 de | 341.36 ± 30.17 ab | 333.14 ± 19.63 b | 347.00 ± 21.58 a |
| K (mg/Kg) | 1020.21 ± 40.28 i | 1238.48 ± 38.19 g | 1515.36 ± 30.47 c | 1347.69 ± 41.28 f | 1568.40 ± 44.39 b | 1180.41 ± 30.20 h | 1586.39 ± 41.46 b | 1450.36 ± 32.42 d | 1620.32 ± 33.69 a | 1148.28 ± 25.85 i | 1359.23 ± 42.76 ef | 1122.74 ± 34.22 i | 1379.11 ± 29.70 e |
| Ca mg/Kg) | 3.20 ± 0.05 cd | 3.22 ± 0.08 cd | 3.18 ± 0.04 d | 3.22 ± 0.05 cd | 3.25 ± 0.05 bc | 3.21 ± 0.07 cd | 3.27 ± 0.03 c | 3.25 ± 0.02 bc | 3.27 ± 0.00 bc | 3.21 ± 0.03 cd | 3.31 ± 0.01 ab | 3.27 ± 0.02 c | 3.35 ± 0.04 a |
| Mg (mg/Kg) | 332.40 ± 14.36 c | 330.78 ± 20.52 c | 378.00 ± 8.69 b | 359.40 ± 30.32 bc | 382.11 ± 18.69 ab | 330.57 ± 20.11 c | 395.15 ± 15.39 a | 352.04 ± 20.39 c | 396.04 ± 20.38 a | 332.43 ± 21.48 c | 380.52 ± 20.10 ab | 343.67 ± 34.68 c | 394.02 ± 28.69 a |
| Treatments | Water Regime | F % | M % | Number of Cladodes/Plants | Surface Area (cm2) | Cladode Dry Weight (g) | Root Length (cm) | Root Dry Weight (g) |
|---|---|---|---|---|---|---|---|---|
| T | Without irrigation | 0.00 ± 0.00 f | 0.00 ± 0.00 f | 1.17 ± 0.56 f | 86.92 ± 11.60 e | 3.90 ± 0.18 e | 0.53 ± 0.12 i | 1.32 ± 0.23 gh |
| 15% F.c | 0.00 ± 0.00 f | 0.00 ± 0.00 f | 1.67 ± 0.67 e | 99.70 ± 9.91 e | 3.75 ± 0.52 e | 0.64 ± 0.10 h | 1.27 ± 0.26 h | |
| 30% F.c | 0.00 ± 0.00 f | 0.00 ± 0.00 f | 2.50 ± 0.50 bc | 174.83 ± 12.68 dc | 7.13 ± 0.10 b | 1.10 ± 0.11 de | 2.48 ± 0.25 c | |
| Hs | Without irrigation | 0.00 ± 0.00 f | 0.00 ± 0.00 f | 1.33 ± 0.44 ef | 137.39 ± 6.17 b | 5.40 ± 0.17 dc | 0.87 ± 0.09 f | 2.05 ± 0.11 d |
| 15% F.c | 0.00 ± 0.00 f | 0.00 ± 0.00 f | 2.00 ± 0.33 cd | 153.62 ± 9.19 dc | 5.73 ± 0.13 c | 0.90 ± 0.04 e | 1.82 ± 0.28 ef | |
| 30% F.c | 0.00 ± 0.00 f | 0.00 ± 0.00 f | 3.17 ± 0.89 a | 225.41 ± 4.97 a | 9.22 ± 0.22 a | 1.77 ± 0.19 b | 3.45 ± 0.27 a | |
| AMF | Without irrigation | 51.11± 10.18 cd | 34.71 ± 2.64 d | 1.50 ± 0.50 ef | 93.75 ± 7.81 e | 4.19 ± 0.08 e | 0.73 ± 0.04 g | 1.53 ± 0.13 f |
| 15% F.c | 60.00 ± 6.66 c | 41.17 ± 1.56 c | 1.50 ± 0.50 ef | 133.80 ± 9.79 d | 4.60 ± 1.03 de | 0.84 ± 0.11 f | 1.62 ± 0.15 f | |
| 30% F.c | 80.00 ± 6.66 a | 62.31 ± 3.13 a | 3.00 ± 0.67 ab | 200.78 ± 5.75 ab | 8.02 ± 0.14 b | 1.44 ± 0.11 c | 2.80 ± 0.14 b | |
| Hs+AMF | Without irrigation | 42.22 ± 3.84 e | 27.88 ± 2.62 e | 1.50 ± 0.83 ef | 143.05 ± 9.59 d | 5.53 ± 0.14 dc | 0.91 ± 0.09 e | 1.98 ± 0.08 e |
| 15% F.c | 48.88 ± 10.18 de | 36.4 ± 1.66 d | 1.83 ± 0.56 de | 144.72 ± 7.08 d | 5.58 ± 0.11 dc | 0.99 ± 0.10 e | 2.02 ± 0.15 de | |
| 30% F.c | 68.88 ± 3.48 b | 49.86 ± 6.66 b | 3.00 ± 0.67 ab | 221.81 ± 12.50 a | 9.55 ± 0.09 a | 1.92 ± 0.10 a | 2.76 ± 0.25 bc |
2.3. Stomatal Conductance and Malic Acid Content
2.4. Oxidative Stress Indicators
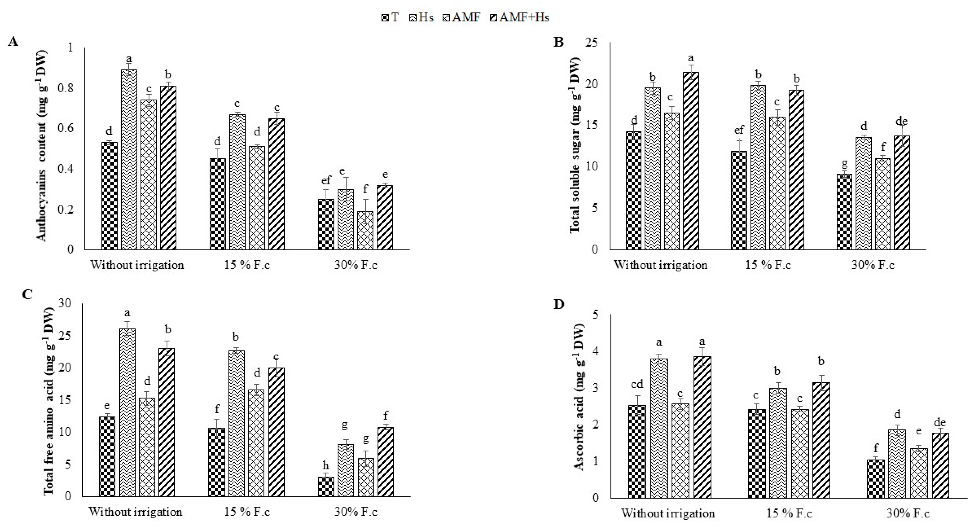
2.5. Anthocyanin Content, Sugar, Free Amino Acids, and Ascorbic Acid

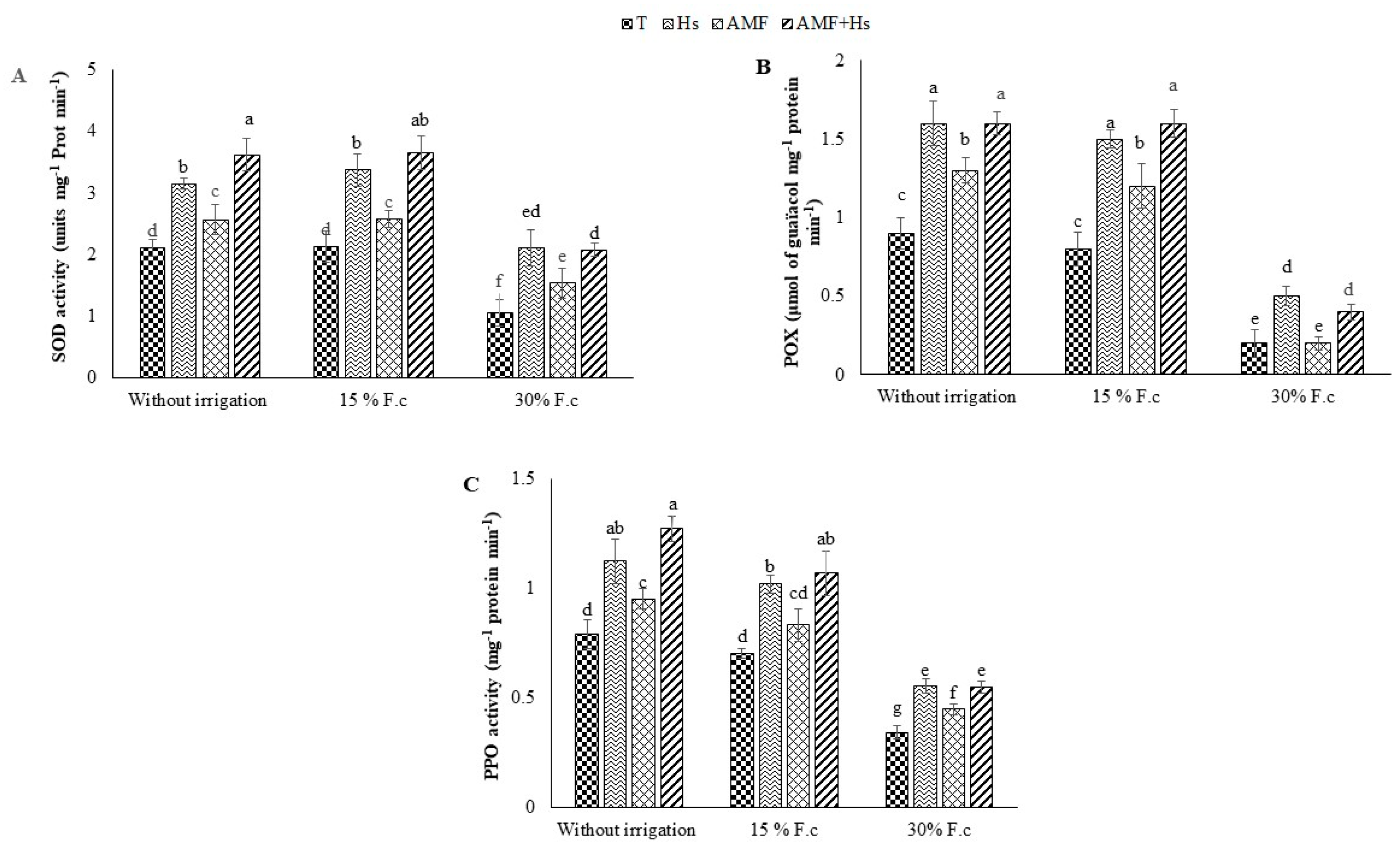
2.6. Antioxidant Enzyme Activities
2.7. Plant Nutrient Uptake Analysis
2.8. Principal Component Analysis
3. Discussion
4. Materials and Methods
4.1. Biological and Biostimulant Materials
4.2. Experimental Design
4.3. Soil Composition
4.4. Estimation of Mycorrhizal Root Colonization and Plant Growth
4.5. Stomatal Conductance and Malic acid Content
4.6. Measurement of Oxidative Stress Indicators
4.7. Anthocyanin Content
4.8. Estimation of Sugar, Free Amino Acids, and Ascorbic Acid
4.9. Antioxidant Enzyme Activities
4.10. Plant Nutrient Uptake Analysis
4.11. Statistical Analysis
5. Conclusions
Author Contributions
Funding
Data Availability Statement
Conflicts of Interest
References
- Neupane, D.; Adhikari, P.; Bhattarai, D.; Rana, B.; Ahmed, Z.; Sharma, U.; Adhikari, D. Does Climate Change Affect the Yield of the Top Three Cereals and Food Security in the World? Earth 2022, 3, 45–71. [Google Scholar] [CrossRef]
- Kazemi Garajeh, M.; Salmani, B.; Zare Naghadehi, S.; Valipoori Goodarzi, H.; Khasraei, A. An Integrated Approach of Remote Sensing and Geospatial Analysis for Modeling and Predicting the Impacts of Climate Change on Food Security. Sci. Rep. 2023, 13, 1057. [Google Scholar] [CrossRef] [PubMed]
- Daniel, A.I.; Fadaka, A.O.; Gokul, A.; Bakare, O.O.; Aina, O.; Fisher, S.; Burt, A.F.; Mavumengwana, V.; Keyster, M.; Klein, A. Biofertilizer: The Future of Food Security and Food Safety. Microorganisms 2022, 10, 1220. [Google Scholar] [CrossRef] [PubMed]
- Kalele, D.N.; Ogara, W.O.; Oludhe, C.; Onono, J.O. Climate Change Impacts and Relevance of Smallholder Farmers’ Response in Arid and Semi-Arid Lands in Kenya. Sci. Afr. 2021, 12, e00814. [Google Scholar] [CrossRef]
- Sipango, N.; Ravhuhali, K.E.; Sebola, N.A.; Hawu, O.; Mabelebele, M.; Mokoboki, H.K.; Moyo, B. Prickly Pear (Opuntia Spp.) as an Invasive Species and a Potential Fodder Resource for Ruminant Animals. Sustainability 2022, 14, 3719. [Google Scholar] [CrossRef]
- Rodrigues, C.; de Paula, C.D.; Lahbouki, S.; Meddich, A.; Outzourhit, A.; Rashad, M.; Pari, L.; Coelhoso, I.; Fernando, A.L.; Souza, V.G.L. Opuntia Spp.: An Overview of the Bioactive Profile and Food Applications of This Versatile Crop Adapted to Arid Lands. Foods 2023, 12, 1465. [Google Scholar] [CrossRef] [PubMed]
- Lahbouki, S.; Meddich, A.; Ben-Laouane, R.; Outzourhit, A.; Pari, L. Subsurface Water Retention Technology Promotes Drought Stress Tolerance in Field-Grown Tomato. Energies 2022, 15, 6807. [Google Scholar] [CrossRef]
- Al-Alam, J.; Harb, M.; Hage, T.G.; Wazne, M. Assessment of Opuntia ficus-indica (L.) Mill. Extracts for the Removal of Lead from Soil: The Role of CAM Plant Harvest Phase and Soil Properties. Environ. Sci. Pollut. Res. 2023, 30, 798–810. [Google Scholar] [CrossRef]
- Campos, A.R.F.; da Silva, A.J.P.; van Lier, Q.D.J.; do Nascimento, F.A.L.; Fernandes, R.D.M.; de Almeida, J.N.; da Silva Paz, V.P. Yield and Morphology of Forage Cactus Cultivars under Drip Irrigation Management Based on Soil Water Matric Potential Thresholds. J. Arid Environ. 2021, 193, 104564. [Google Scholar] [CrossRef]
- Banga, M.; Maburutse, B.E.; Mugova, C.J.; Tauro, T.P.; Pisa, C. Utilisation of Cactus (Opuntia ficus-indica) in Mitigating Drought Effects on Livestock in Matabeleland South Province of Zimbabwe. In Climate Change Adaptations in Dryland Agriculture in Semi-Arid Areas; Springer: Berlin/Heidelberg, Germany, 2022; pp. 311–327. [Google Scholar]
- Scalisi, A.; Morandi, B.; Inglese, P.; Bianco, R. Lo Cladode Growth Dynamics in Opuntia ficus-indica under Drought. Environ. Exp. Bot. 2016, 122, 158–167. [Google Scholar] [CrossRef]
- do Nascimento Araújo, G., Jr.; da Silva, T.G.F.; de Souza, L.S.B.; de Araújo, G.G.L.; de Moura, M.S.B.; Alves, C.P.; da Silva Salvador, K.R.; de Souza, C.A.A.; de Assunção Montenegro, A.A.; da Silva, M.J. Phenophases, Morphophysiological Indices and Cutting Time in Clones of the Forage Cacti under Controlled Water Regimes in a Semiarid Environment. J. Arid Environ. 2021, 190, 104510. [Google Scholar] [CrossRef]
- Lahbouki, S.; Ben-Laouane, R.; Anli, M.; Boutasknit, A.; Ait-Rahou, Y.; Ait-El-Mokhtar, M.; El Gabardi, S.; Douira, A.; Wahbi, S.; Outzourhit, A. Arbuscular Mycorrhizal Fungi and/or Organic Amendment Enhance the Tolerance of Prickly Pear (Opuntia ficus-indica) under Drought Stress. J. Arid Environ. 2022, 199, 104703. [Google Scholar] [CrossRef]
- Franzoni, G.; Cocetta, G.; Prinsi, B.; Ferrante, A.; Espen, L. Biostimulants on Crops: Their Impact under Abiotic Stress Conditions. Horticulturae 2022, 8, 189. [Google Scholar] [CrossRef]
- Chen, Q.; Qu, Z.; Ma, G.; Wang, W.; Dai, J.; Zhang, M.; Wei, Z.; Liu, Z. Humic Acid Modulates Growth, Photosynthesis, Hormone and Osmolytes System of Maize under Drought Conditions. Agric. Water Manag. 2022, 263, 107447. [Google Scholar] [CrossRef]
- Li, Y.; Fang, F.; Wei, J.; Wu, X.; Cui, R.; Li, G.; Zheng, F.; Tan, D. Humic Acid Fertilizer Improved Soil Properties and Soil Microbial Diversity of Continuous Cropping Peanut: A Three-Year Experiment. Sci. Rep. 2019, 9, 1118. [Google Scholar] [CrossRef] [PubMed]
- Nguyen, H.V.-M.; Lee, H.-S.; Lee, S.-Y.; Hur, J.; Shin, H.-S. Changes in Structural Characteristics of Humic and Fulvic Acids under Chlorination and Their Association with Trihalomethanes and Haloacetic Acids Formation. Sci. Total Environ. 2021, 790, 148142. [Google Scholar] [CrossRef] [PubMed]
- Ozfidan-Konakci, C.; Yildiztugay, E.; Bahtiyar, M.; Kucukoduk, M. The Humic Acid-Induced Changes in the Water Status, Chlorophyll Fluorescence and Antioxidant Defense Systems of Wheat Leaves with Cadmium Stress. Ecotoxicol. Environ. Saf. 2018, 155, 66–75. [Google Scholar] [CrossRef]
- Zhang, C.; Dong, J.; Ge, Q. Mapping 20 Years of Irrigated Croplands in China Using MODIS and Statistics and Existing Irrigation Products. Sci. Data 2022, 9, 407. [Google Scholar] [CrossRef]
- Esringü, A.; Kaynar, D.; Turan, M.; Ercisli, S. Ameliorative Effect of Humic Acid and Plant Growth-Promoting Rhizobacteria (PGPR) on Hungarian Vetch Plants under Salinity Stress. Commun. Soil Sci. Plant Anal. 2016, 47, 602–618. [Google Scholar] [CrossRef]
- Makhlouf, B.S.I.; Khalil, S.R.A.E.; Saudy, H.S. Efficacy of Humic Acids and Chitosan for Enhancing Yield and Sugar Quality of Sugar Beet under Moderate and Severe Drought. J. Soil Sci. Plant Nutr. 2022, 22, 1676–1691. [Google Scholar] [CrossRef]
- Smith, S.E.; Read, D.J. The Symbionts Forming Arbuscular Mycorrhizas. Mycorrhizal Symbiosis 2008, 2, 13–41. [Google Scholar] [CrossRef]
- Silvestri, A.; Fiorilli, V.; Miozzi, L.; Accotto, G.P.; Turina, M.; Lanfranco, L. In Silico Analysis of Fungal Small RNA Accumulation Reveals Putative Plant MRNA Targets in the Symbiosis between an Arbuscular Mycorrhizal Fungus and Its Host Plant. BMC Genom. 2019, 20, 169. [Google Scholar] [CrossRef] [PubMed]
- Püschel, D.; Bitterlich, M.; Rydlová, J.; Jansa, J. Drought Accentuates the Role of Mycorrhiza in Phosphorus Uptake. Soil Biol. Biochem. 2021, 157, 108243. [Google Scholar] [CrossRef]
- Silva, A.M.M.; Jones, D.L.; Chadwick, D.R.; Qi, X.; Cotta, S.R.; Araújo, V.L.V.P.; Matteoli, F.P.; Lacerda-Júnior, G.V.; Pereira, A.P.A.; Fernandes-Júnior, P.I. Can Arbuscular Mycorrhizal Fungi and Rhizobacteria Facilitate 33P Uptake in Maize Plants under Water Stress? Microbiol. Res. 2023, 127350. [Google Scholar] [CrossRef] [PubMed]
- Wu, Q.-S.; Zou, Y.-N. Arbuscular Mycorrhizal Fungi and Tolerance of Drought Stress in Plants. In Arbuscular Mycorrhizas and Stress Tolerance of Plants; Springer: Singapore, 2017; pp. 25–41. [Google Scholar]
- Porcel, R.; Ruiz-Lozano, J.M. Arbuscular Mycorrhizal Influence on Leaf Water Potential, Solute Accumulation, and Oxidative Stress in Soybean Plants Subjected to Drought Stress. J. Exp. Bot. 2004, 55, 1743–1750. [Google Scholar] [CrossRef] [PubMed]
- Yang, Y.; He, C.; Huang, L.; Ban, Y.; Tang, M. The Effects of Arbuscular Mycorrhizal Fungi on Glomalin-Related Soil Protein Distribution, Aggregate Stability and Their Relationships with Soil Properties at Different Soil Depths in Lead-Zinc Contaminated Area. PLoS ONE 2017, 12, e0182264. [Google Scholar] [CrossRef]
- Benaffari, W.; Boutasknit, A.; Anli, M.; Ait-El-Mokhtar, M.; Ait-Rahou, Y.; Ben-Laouane, R.; Ben Ahmed, H.; Mitsui, T.; Baslam, M.; Meddich, A. The Native Arbuscular Mycorrhizal Fungi and Vermicompost-Based Organic Amendments Enhance Soil Fertility, Growth Performance, and the Drought Stress Tolerance of Quinoa. Plants 2022, 11, 393. [Google Scholar] [CrossRef] [PubMed]
- Bisht, A.; Garg, N. AMF Modulated Rhizospheric Microbial Enzyme Activities and Their Impact on Sulphur Assimilation along with Thiol Metabolism in Pigeonpea under Cd Stress. Rhizosphere 2022, 21, 100478. [Google Scholar] [CrossRef]
- Meddich, A.; Ait Rahou, Y.; Boutasknit, A.; Ait-El-Mokhtar, M.; Fakhech, A.; Lahbouki, S.; Benaffari, W.; Ben-Laouane, R.; Wahbi, S. Role of Mycorrhizal Fungi in Improving the Tolerance of Melon (Cucumus Melo) under Two Water Deficit Partial Root Drying and Regulated Deficit Irrigation. J. Deal. All Asp. Plant Biol. 2022, 156, 469–479. [Google Scholar] [CrossRef]
- Porcel, R.; Azcón, R.; Ruiz-Lozano, J.M. Evaluation of the Role of Genes Encoding for Δ1-Pyrroline-5-Carboxylate Synthetase (P5CS) during Drought Stress in Arbuscular Mycorrhizal Glycine Max and Lactuca Sativa Plants. Physiol. Mol. Plant Pathol. 2004, 65, 211–221. [Google Scholar] [CrossRef]
- Porcel, R.; Barea, J.M.; Ruiz-Lozano, J.M. Antioxidant Activities in Mycorrhizal Soybean Plants under Drought Stress and Their Possible Relationship to the Process of Nodule Senescence. New Phytol. 2003, 157, 135–143. [Google Scholar] [CrossRef] [PubMed]
- Porcel, R.; Aroca, R.; Azcon, R.; Ruiz-Lozano, J.M. PIP Aquaporin Gene Expression in Arbuscular Mycorrhizal Glycine Max and Lactuca Sativa Plants in Relation to Drought Stress Tolerance. Plant Mol. Biol. 2006, 60, 389–404. [Google Scholar] [CrossRef]
- Ruiz-Lozano, J.M.; Porcel, R.; Aroca, R. Does the Enhanced Tolerance of Arbuscular Mycorrhizal Plants to Water Deficit Involve Modulation of Drought-Induced Plant Genes? New Phytol. 2006, 171, 693–698. [Google Scholar] [CrossRef] [PubMed]
- Hossain, M.Z.; Bahar, M.M.; Sarkar, B.; Donne, S.W.; Ok, Y.S.; Palansooriya, K.N.; Kirkham, M.B.; Chowdhury, S.; Bolan, N. Biochar and Its Importance on Nutrient Dynamics in Soil and Plant. Biochar 2020, 2, 379–420. [Google Scholar] [CrossRef]
- Ouhaddou, R.; Ech-chatir, L.; Anli, M.; Ben-Laouane, R.; Boutasknit, A.; Meddich, A. Secondary Metabolites, Osmolytes and Antioxidant Activity as the Main Attributes Enhanced by Biostimulants for Growth and Resilience of Lettuce to Drought Stress. Gesunde Pflanz. 2023, 75, 1–17. [Google Scholar] [CrossRef]
- Kulikova, N.A.; Volikov, A.B.; Filippova, O.I.; Kholodov, V.A.; Yaroslavtseva, N.V.; Farkhodov, Y.R.; Yudina, A.V.; Roznyatovsky, V.A.; Grishin, Y.K.; Zhilkibayev, O.T. Modified Humic Substances as Soil Conditioners: Laboratory and Field Trials. Agronomy 2021, 11, 150. [Google Scholar] [CrossRef]
- Verlinden, G.; Pycke, B.; Mertens, J.; Debersaques, F.; Verheyen, K.; Baert, G.; Bries, J.; Haesaert, G. Application of Humic Substances Results in Consistent Increases in Crop Yield and Nutrient Uptake. J. Plant Nutr. 2009, 32, 1407–1426. [Google Scholar] [CrossRef]
- Xu, J.; Mohamed, E.; Li, Q.; Lu, T.; Yu, H.; Jiang, W. Effect of Humic Acid Addition on Buffering Capacity and Nutrient Storage Capacity of Soilless Substrates. Front. Plant Sci. 2021, 12, 644229. [Google Scholar] [CrossRef]
- Wahid, F.; Fahad, S.; Danish, S.; Adnan, M.; Yue, Z.; Saud, S.; Siddiqui, M.H.; Brtnicky, M.; Hammerschmiedt, T.; Datta, R. Sustainable Management with Mycorrhizae and Phosphate Solubilizing Bacteria for Enhanced Phosphorus Uptake in Calcareous Soils. Agriculture 2020, 10, 334. [Google Scholar] [CrossRef]
- Wang, Y.; Zhang, W.; Liu, W.; Ahammed, G.J.; Wen, W.; Guo, S.; Shu, S.; Sun, J. Auxin Is Involved in Arbuscular Mycorrhizal Fungi-Promoted Tomato Growth and NADP-Malic Enzymes Expression in Continuous Cropping Substrates. BMC Plant Biol. 2021, 21, 1–12. [Google Scholar] [CrossRef]
- Zhang, F.; Zou, Y.-N.; Wu, Q.-S. Quantitative Estimation of Water Uptake by Mycorrhizal Extraradical Hyphae in Citrus under Drought Stress. Sci. Hortic. 2018, 229, 132–136. [Google Scholar] [CrossRef]
- Salloum, M.S.; Menduni, M.F.; Benavides, M.P.; Larrauri, M.; Luna, C.M.; Silvente, S. Polyamines and Flavonoids: Key Compounds in Mycorrhizal Colonization of Improved and Unimproved Soybean Genotypes. Symbiosis 2018, 76, 265–275. [Google Scholar] [CrossRef]
- Branco, S.; Schauster, A.; Liao, H.; Ruytinx, J. Mechanisms of Stress Tolerance and Their Effects on the Ecology and Evolution of Mycorrhizal Fungi. New Phytol. 2022, 235, 2158–2175. [Google Scholar] [CrossRef] [PubMed]
- Wang, C.; White, P.J.; Li, C. Colonization and Community Structure of Arbuscular Mycorrhizal Fungi in Maize Roots at Different Depths in the Soil Profile Respond Differently to Phosphorus Inputs on a Long-Term Experimental Site. Mycorrhiza 2017, 27, 369–381. [Google Scholar] [CrossRef] [PubMed]
- Izhar Shafi, M.; Adnan, M.; Fahad, S.; Wahid, F.; Khan, A.; Yue, Z.; Danish, S.; Zafar-ul-Hye, M.; Brtnicky, M.; Datta, R. Application of Single Superphosphate with Humic Acid Improves the Growth, Yield and Phosphorus Uptake of Wheat (Triticum Aestivum L.) in Calcareous Soil. Agronomy 2020, 10, 1224. [Google Scholar] [CrossRef]
- Das, D.; Abbhishek, K.; Banik, P.; Bhattacharya, P. A Valorisation Approach in Recycling of Organic Wastes Using Low-Grade Rock Minerals and Microbial Culture through Vermicomposting. Environ. Chall. 2021, 5, 100225. [Google Scholar] [CrossRef]
- Lu, K.; Ping, Q.; Lu, Q.; Li, Y. Understanding Roles of Humic Substance and Protein on Iron Phosphate Transformation during Anaerobic Fermentation of Waste Activated Sludge. Bioresour. Technol. 2022, 355, 127242. [Google Scholar] [CrossRef]
- Karimi, E.; Shirmardi, M.; Dehestani Ardakani, M.; Gholamnezhad, J.; Zarebanadkouki, M. The Effect of Humic Acid and Biochar on Growth and Nutrients Uptake of Calendula (Calendula Officinalis L.). Commun. Soil Sci. Plant Anal. 2020, 51, 1658–1669. [Google Scholar] [CrossRef]
- Fattahi, M.; Mohammadkhani, A.; Shiran, B.; Baninasab, B.; Ravash, R.; Gogorcena, Y. Beneficial Effect of Mycorrhiza on Nutritional Uptake and Oxidative Balance in Pistachio (Pistacia Spp.) Rootstocks Submitted to Drought and Salinity Stress. Sci. Hortic. 2021, 281, 109937. [Google Scholar] [CrossRef]
- Liao, X.; Zhao, J.; Yi, Q.; Li, J.; Li, Z.; Wu, S.; Zhang, W.; Wang, K. Metagenomic Insights into the Effects of Organic and Inorganic Agricultural Managements on Soil Phosphorus Cycling. Agric. Ecosyst. Environ. 2023, 343, 108281. [Google Scholar] [CrossRef]
- Olaetxea, M.; De Hita, D.; Garcia, C.A.; Fuentes, M.; Baigorri, R.; Mora, V.; Garnica, M.; Urrutia, O.; Erro, J.; Zamarreño, A.M. Hypothetical Framework Integrating the Main Mechanisms Involved in the Promoting Action of Rhizospheric Humic Substances on Plant Root-and Shoot-Growth. Appl. Soil Ecol. 2018, 123, 521–537. [Google Scholar] [CrossRef]
- Lahbouki, S.; Ben-Laouane, R.; Outzourhit, A.; Meddich, A. The Combination of Vermicompost and Arbuscular Mycorrhizal Fungi Improves the Physiological Properties and Chemical Composition of Opuntia ficus-indica under Semi-Arid Conditions in the Field. Arid. Land Res. Manag. 2022, 37, 284–309. [Google Scholar] [CrossRef]
- Nobel, P.S.; De la Barrera, E. Stem Water Relations and Net CO2 Uptake for a Hemiepiphytic Cactus during Short-Term Drought. Environ. Exp. Bot. 2002, 48, 129–137. [Google Scholar] [CrossRef]
- Ojeda-Pérez, Z.Z.; Jiménez-Bremont, J.F.; Delgado-Sánchez, P. Continuous High and Low Temperature Induced a Decrease of Photosynthetic Activity and Changes in the Diurnal Fluctuations of Organic Acids in Opuntia Streptacantha. PLoS ONE 2017, 12, e0186540. [Google Scholar] [CrossRef] [PubMed]
- da Jardim, A.M.R.F.; Santos, H.R.B.; Alves, H.K.M.N.; Ferreira-Silva, S.L.; de Souza, L.S.B.; do Nascimento Araújo, G., Jr.; de Sá Souza, M.; de Araújo, G.G.L.; de Souza, C.A.A.; da Silva, T.G.F. Genotypic Differences Relative Photochemical Activity, Inorganic and Organic Solutes and Yield Performance in Clones of the Forage Cactus under Semi-Arid Environment. Plant Physiol. Biochem. 2021, 162, 421–430. [Google Scholar] [CrossRef] [PubMed]
- Valentine, A.J.; Osborne, B.A.; Mitchell, D.T. Interactions between Phosphorus Supply and Total Nutrient Availability on Mycorrhizal Colonization, Growth and Photosynthesis of Cucumber. Sci. Hortic. 2001, 88, 177–189. [Google Scholar] [CrossRef]
- Liang, X.; Zhang, T.; Lu, X.; Ellsworth, D.S.; BassiriRad, H.; You, C.; Wang, D.; He, P.; Deng, Q.; Liu, H. Global Response Patterns of Plant Photosynthesis to Nitrogen Addition: A Meta-analysis. Glob. Chang. Biol. 2020, 26, 3585–3600. [Google Scholar] [CrossRef] [PubMed]
- Yamori, W.; Kusumi, K.; Iba, K.; Terashima, I. Increased Stomatal Conductance Induces Rapid Changes to Photosynthetic Rate in Response to Naturally Fluctuating Light Conditions in Rice. Plant. Cell Environ. 2020, 43, 1230–1240. [Google Scholar] [CrossRef]
- Waraich, E.A.; Ahmad, R.; Halim, A.; Aziz, T. Alleviation of Temperature Stress by Nutrient Management in Crop Plants: A Review. J. Soil Sci. Plant Nutr. 2012, 12, 221–244. [Google Scholar] [CrossRef]
- El-Hoseiny, H.M.; Helaly, M.N.; Elsheery, N.I.; Alam-Eldein, S.M. Humic Acid and Boron to Minimize the Incidence of Alternate Bearing and Improve the Productivity and Fruit Quality of Mango Trees. HortScience 2020, 55, 1026–1037. [Google Scholar] [CrossRef]
- Liu, C.-Y.; Hao, Y.; Wu, X.-L.; Dai, F.-J.; Abd-Allah, E.F.; Wu, Q.-S.; Liu, S.-R. Arbuscular Mycorrhizal Fungi Improve Drought Tolerance of Tea Plants via Modulating Root Architecture and Hormones. Plant Growth Regul. 2023, 1–10. [Google Scholar] [CrossRef]
- Wei, H.; Jing, Y.; Zhang, L.; Kong, D. Phytohormones and Their Crosstalk in Regulating Stomatal Development and Patterning. J. Exp. Bot. 2021, 72, 2356–2370. [Google Scholar] [CrossRef] [PubMed]
- Sihi, S.; Bakshi, S.; Maiti, S.; Nayak, A.; Sengupta, D.N. Analysis of DNA Polymerase λ Activity and Gene Expression in Response to Salt and Drought Stress in Oryza sativa Indica Rice Cultivars. J. Plant Growth Regul. 2022, 41, 1499–1515. [Google Scholar] [CrossRef]
- Turan, M.; Ekinci, M.; Kul, R.; Boynueyri, F.G.; Yildirim, E. Mitigation of Salinity Stress in Cucumber Seedlings by Exogenous Hydrogen Sulfide. J. Plant Res. 2022, 135, 517–529. [Google Scholar] [CrossRef] [PubMed]
- Jan, A.U.; Hadi, F.; Ditta, A.; Suleman, M.; Ullah, M. Zinc-Induced Anti-Oxidative Defense and Osmotic Adjustments to Enhance Drought Stress Tolerance in Sunflower (Helianthus annuus L.). Environ. Exp. Bot. 2022, 193, 104682. [Google Scholar] [CrossRef]
- Alagoz, S.M.; Lajayer, B.A.; Ghorbanpour, M. Proline and Soluble Carbohydrates Biosynthesis and Their Roles in Plants under Abiotic Stresses. In Plant Stress Mitigators; Elsevier: Amsterdam, The Netherlands, 2023; pp. 169–185. [Google Scholar]
- Hao, L.; Liu, X.; Zhang, X.; Sun, B.; Cheng, L.I.U.; Zhang, D.; Tang, H.; Li, C.; Li, Y.; Shi, Y. Genome-Wide Identification and Comparative Analysis of Drought Related Genes in Roots of Two Maize Inbred Lines with Contrasting Drought Tolerance by RNA Sequencing. J. Integr. Agric. 2020, 19, 449–464. [Google Scholar] [CrossRef]
- Chapman, J.M.; Muhlemann, J.K.; Gayomba, S.R.; Muday, G.K. RBOH-Dependent ROS Synthesis and ROS Scavenging by Plant Specialized Metabolites to Modulate Plant Development and Stress Responses. Chem. Res. Toxicol. 2019, 32, 370–396. [Google Scholar] [CrossRef]
- Naing, A.H.; Kim, C.K. Abiotic Stress-induced Anthocyanins in Plants: Their Role in Tolerance to Abiotic Stresses. Physiol. Plant. 2021, 172, 1711–1723. [Google Scholar] [CrossRef]
- Ibrahim, M.H.; Jaafar, H.Z.E.; Rahmat, A.; Rahman, Z.A. Involvement of Nitrogen on Flavonoids, Glutathione, Anthocyanin, Ascorbic Acid and Antioxidant Activities of Malaysian Medicinal Plant Labisia pumila Blume (Kacip Fatimah). Int. J. Mol. Sci. 2011, 13, 393–408. [Google Scholar] [CrossRef]
- Stincone, A.; Prigione, A.; Cramer, T.; Wamelink, M.M.C.; Campbell, K.; Cheung, E.; Olin-Sandoval, V.; Grüning, N.; Krüger, A.; Tauqeer Alam, M. The Return of Metabolism: Biochemistry and Physiology of the Pentose Phosphate Pathway. Biol. Rev. 2015, 90, 927–963. [Google Scholar] [CrossRef]
- Mishra, P.; Sharma, P. Superoxide Dismutases (SODs) and Their Role in Regulating Abiotic Stress Induced Oxidative Stress in Plants. In Reactive Oxygen, Nitrogen and Sulfur Species in Plants: Production, Metabolism, Signaling and Defense Mechanisms; Wiley-Blackwell: Hoboken, NJ, USA, 2019; pp. 53–88. [Google Scholar]
- Rukmini, M.S.; D’souza, B.; D’souza, V. Superoxide Dismutase and Catalase Activities and Their Correlation with Malondialdehyde in Schizophrenic Patients. Indian J. Clin. Biochem. 2004, 19, 114. [Google Scholar] [CrossRef] [PubMed]
- Alsherif, E.A.; Almaghrabi, O.; Elazzazy, A.M.; Abdel-Mawgoud, M.; Beemster, G.T.S.; AbdElgawad, H. Carbon Nanoparticles Improve the Effect of Compost and Arbuscular Mycorrhizal Fungi in Drought-Stressed Corn Cultivation. Plant Physiol. Biochem. 2023, 194, 29–40. [Google Scholar] [CrossRef] [PubMed]
- Stevenson, F.J. Humus Chemistry: Genesis, Composition, Reactions; John Wiley & Sons: Hoboken, NJ, USA, 1994; ISBN 0471594741. [Google Scholar]
- Lahbouki, S.; Anli, M.; El Gabardi, S.; Ait-El-Mokhtar, M.; Ben-Laouane, R.; Boutasknit, A.; Ait-Rahou, Y.; Outzourhit, A.; Wahbi, S.; Douira, A. Evaluation of Arbuscular Mycorrhizal Fungi and Vermicompost Supplementation on Growth, Phenolic Content and Antioxidant Activity of Prickly Pear Cactus (Opuntia ficus-indica). Plant Biosyst. Int. J. Deal. Asp. Plant Biol. 2021, 156, 882–892. [Google Scholar] [CrossRef]
- Lermen, C.; da Cruz, R.M.S.; de Souza, J.S.; de Almeida Marchi, B.; Alberton, O. Growth of Lippia Alba (Mill.) NE Brown Inoculated with Arbuscular Mycorrhizal Fungi with Different Levels of Humic Substances and Phosphorus in the Soil. J. Appl. Res. Med. Aromat. Plants 2017, 7, 48–53. [Google Scholar]
- Meddich, A.; Jaiti, F.; Bourzik, W.; El Asli, A.; Hafidi, M. Use of Mycorrhizal Fungi as a Strategy for Improving the Drought Tolerance in Date Palm (Phoenix dactylifera). Sci. Hortic. 2015, 192, 468–474. [Google Scholar] [CrossRef]
- Aubert, G. Methodes d’Analyses des Sols: Documents de Travail Tous Droits Reserves; Centre régional de documentation pédagogique; C.R.D.P.: Marseille, France, 1978. [Google Scholar]
- Olsen, S.R.; Sommers, L.E. Phosphorus in Methods of Soil Analysis Part 2. Chem. Microbiol. Prop. Agron. Monogr. 1982, 421–422. [Google Scholar]
- Phillips, J.M.; Hayman, D.S. Improved Procedures for Clearing Roots and Staining Parasitic and Vesicular-Arbuscular Mycorrhizal Fungi for Rapid Assessment of Infection. Trans. Br. Mycol. Soc. 1970, 55, 158–161. [Google Scholar] [CrossRef]
- Trouvelot, A.; Kough, J.L. Mesure Du Taux de Mycorhization VA d’un Système Radiculaire. Recherche de Méthode d’estimation Ayant Une Signification Fonctionnelle. In Physiological and Genetical Aspects of Mycorrhizae; Gianinazzi-Pearson, V., Gianinazzi, S., Eds.; INRA: Paris, France, 1986; pp. 217–221. [Google Scholar]
- Tiznado-Hernandez, M.E.; Fortiz-Hernandez, J.; Ojeda-Contreras, A.J.; Rodriguez-Felix, A. Use of the Elliptical Mathematical Formula to Estimate the Surface Area of Cladodes in Four Varieties of Opuntia ficus-indica. J. Prof. Assoc. Cactus Dev. 2010, 12, 98–109. [Google Scholar]
- Rao, K.V.M.; Sresty, T.V.S. Antioxidative Parameters in the Seedlings of Pigeonpea (Cajanus cajan (L.) Millspaugh) in Response to Zn and Ni Stresses. Plant Sci. 2000, 157, 113–128. [Google Scholar] [CrossRef]
- Velikova, V.; Yordanov, I.; Edreva, A. Oxidative Stress and Some Antioxidant Systems in Acid Rain-Treated Bean Plants: Protective Role of Exogenous Polyamines. Plant Sci. 2000, 151, 59–66. [Google Scholar] [CrossRef]
- Baozhu, L.; Ruonan, F.; Yanting, F.; Runan, L.; Hui, Z.; Tingting, C.; Jiong, L.; Han, L.; Xiang, Z.; Chun-peng, S. The Flavonoid Biosynthesis Regulator PFG3 Confers Drought Stress Tolerance in Plants by Promoting Flavonoid Accumulation. Environ. Exp. Bot. 2022, 196, 104792. [Google Scholar] [CrossRef]
- Dubois, M.; Gilles, K.A.; Hamilton, J.K.; Rebers, P.T.; Smith, F. Colorimetric Method for Determination of Sugars and Related Substances. Anal. Chem. 1956, 28, 350–356. [Google Scholar] [CrossRef]
- Lee, Y.P.; Takahashi, T. An Improved Colorimetric Determination of Amino Acids with the Use of Ninhydrin. Anal. Biochem. 1966, 14, 71–77. [Google Scholar] [CrossRef]
- Adrian, J.; Peiró Esteban, J.M. Análisis Nutricional de Los Alimentos; Editorial Acribia, S.A.: Madrid, Spain, 2000; ISBN 8420009199. [Google Scholar]
- Beyer Jr, W.F.; Fridovich, I. Assaying for Superoxide Dismutase Activity: Some Large Consequences of Minor Changes in Conditions. Anal. Biochem. 1987, 161, 559–566. [Google Scholar] [CrossRef]
- Nakano, Y.; Asada, K. Hydrogen Peroxide Is Scavenged by Ascorbate-Specific Peroxidase in Spinach Chloroplasts. Plant Cell Physiol. 1981, 22, 867–880. [Google Scholar]
- Hori, K.; Wada, A.; Shibuta, T. Changes in Phenoloxidase Activities of the Galls on Leaves of Ulmus Davidana Formed by Tetraneura Fuslformis (Homoptera: Eriosomatidae). Appl. Entomol. Zool. 1997, 32, 365–371. [Google Scholar] [CrossRef]
- Watts, S.; Halliwell, L. Essential Environmental Science: Methods & Techniques; Psychology Press: London, UK, 1996; ISBN 0415132460. [Google Scholar]
- Watts, S.; Halliwell, L. Appendix 3–Detailed Field and Chemical Methods for Soil. In Essential Environmental Science, Methods & Techniques; Routledge: London, UK, 1996; pp. 475–505. [Google Scholar]
- Wolf, B. A Comprehensive System of Leaf Analyses and Its Use for Diagnosing Crop Nutrient Status. Commun. Soil Sci. Plant Anal. 1982, 13, 1035–1059. [Google Scholar] [CrossRef]




| Treatments | Water Regime | Phosphorus (mg/g) | Nitrogen (mg/g) | Potassium (mg/g) |
|---|---|---|---|---|
| T | Without irrigation | 11.44 ± 0.22 f | 3.93 ± 0.11 g | 11.02 ± 0.47 i |
| 15% F.c | 11.87 ± 0.25 f | 3.65 ± 0.20 g | 11.36 ± 0.24 h | |
| 30% F.c | 18.88 ± 1.11 e | 6.71 ± 0.15 c | 15.25 ± 0.67 e | |
| Hs | Without irrigation | 18.15 ± 1.54 e | 4.75 ± 0.19 fg | 14.56 ± 0.41 ef |
| 15% F.c | 21.67 ± 0.19 cd | 5.02 ± 0.24 e | 15.86 ± 0.68 e | |
| 30% F.c | 22.08 ± 0.28 b | 7.98 ± 0.20 b | 21.35 ± 0.41 a | |
| AMF | Without irrigation | 20.74 ± 0.31 d | 4.41 ± 0.23 g | 13.20 ± 0.72 g |
| 15% F.c | 24.44 ± 0.28 ab | 4.57 ± 0.43 f | 13.25 ± 0.81 g | |
| 30% F.c | 26.81 ± 0.28 a | 7.68 ± 0.37 b | 18.36 ± 0.44 c | |
| Hs+AMF | Without irrigation | 18.75 ± 0.46 e | 5.35 ± 0.37 e | 14.56 ± 0.39 ef |
| 15% F.c | 21.85 ± 0.22 c | 5.74 ± 0.31 de | 16.48 ± 0.57 d | |
| 30% F.c | 23.94 ± 0.15 ab | 8.31 ± 0.57 a | 20.93 ± 0.35 b |
Disclaimer/Publisher’s Note: The statements, opinions and data contained in all publications are solely those of the individual author(s) and contributor(s) and not of MDPI and/or the editor(s). MDPI and/or the editor(s) disclaim responsibility for any injury to people or property resulting from any ideas, methods, instructions or products referred to in the content. |
© 2023 by the authors. Licensee MDPI, Basel, Switzerland. This article is an open access article distributed under the terms and conditions of the Creative Commons Attribution (CC BY) license (https://creativecommons.org/licenses/by/4.0/).
Share and Cite
Lahbouki, S.; Fernando, A.L.; Rodrigues, C.; Ben-Laouane, R.; Ait-El-Mokhtar, M.; Outzourhit, A.; Meddich, A. Effects of Humic Substances and Mycorrhizal Fungi on Drought-Stressed Cactus: Focus on Growth, Physiology, and Biochemistry. Plants 2023, 12, 4156. https://doi.org/10.3390/plants12244156
Lahbouki S, Fernando AL, Rodrigues C, Ben-Laouane R, Ait-El-Mokhtar M, Outzourhit A, Meddich A. Effects of Humic Substances and Mycorrhizal Fungi on Drought-Stressed Cactus: Focus on Growth, Physiology, and Biochemistry. Plants. 2023; 12(24):4156. https://doi.org/10.3390/plants12244156
Chicago/Turabian StyleLahbouki, Soufiane, Ana Luísa Fernando, Carolina Rodrigues, Raja Ben-Laouane, Mohamed Ait-El-Mokhtar, Abdelkader Outzourhit, and Abdelilah Meddich. 2023. "Effects of Humic Substances and Mycorrhizal Fungi on Drought-Stressed Cactus: Focus on Growth, Physiology, and Biochemistry" Plants 12, no. 24: 4156. https://doi.org/10.3390/plants12244156
APA StyleLahbouki, S., Fernando, A. L., Rodrigues, C., Ben-Laouane, R., Ait-El-Mokhtar, M., Outzourhit, A., & Meddich, A. (2023). Effects of Humic Substances and Mycorrhizal Fungi on Drought-Stressed Cactus: Focus on Growth, Physiology, and Biochemistry. Plants, 12(24), 4156. https://doi.org/10.3390/plants12244156

