The Influence of Cadmium on Fountain Grass Performance Correlates Closely with Metabolite Profiles
Abstract
1. Introduction
2. Results and Discussion
2.1. Cadmium Accumulated More in Roots Than in Leaves
2.2. The Negative Effects of Cd Stress on Morphological Characteristics
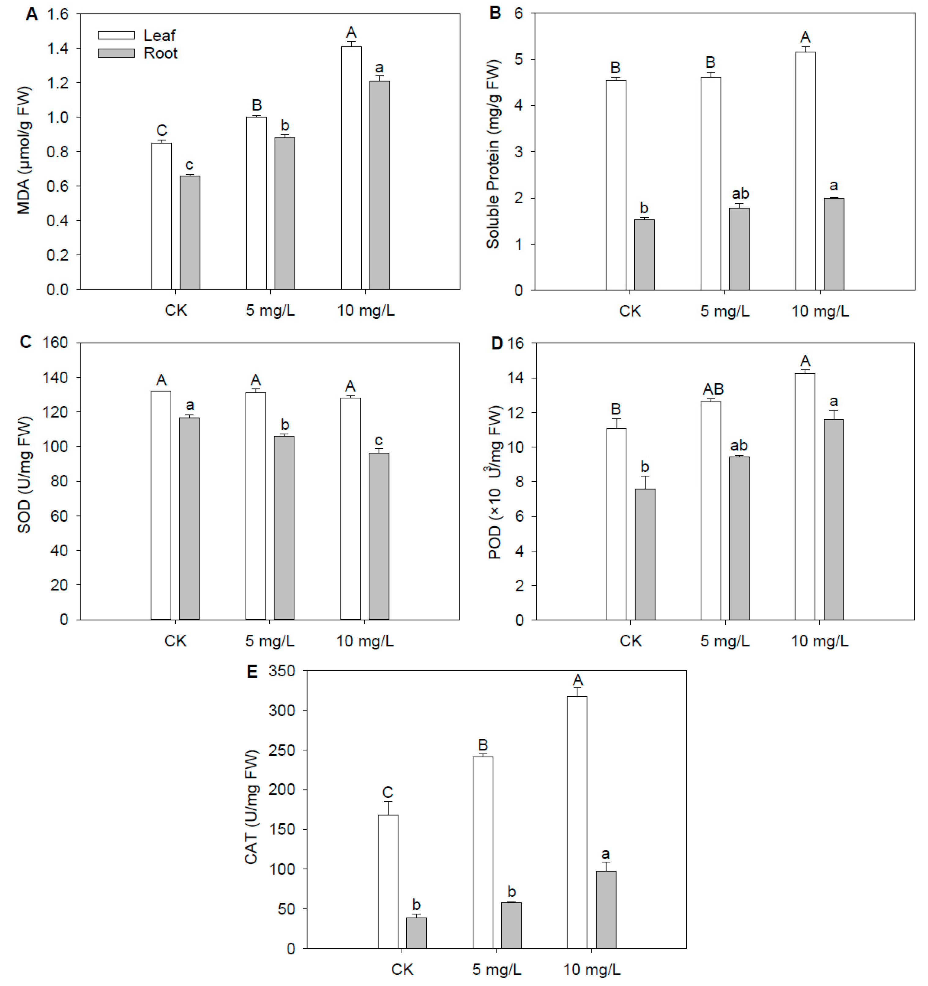
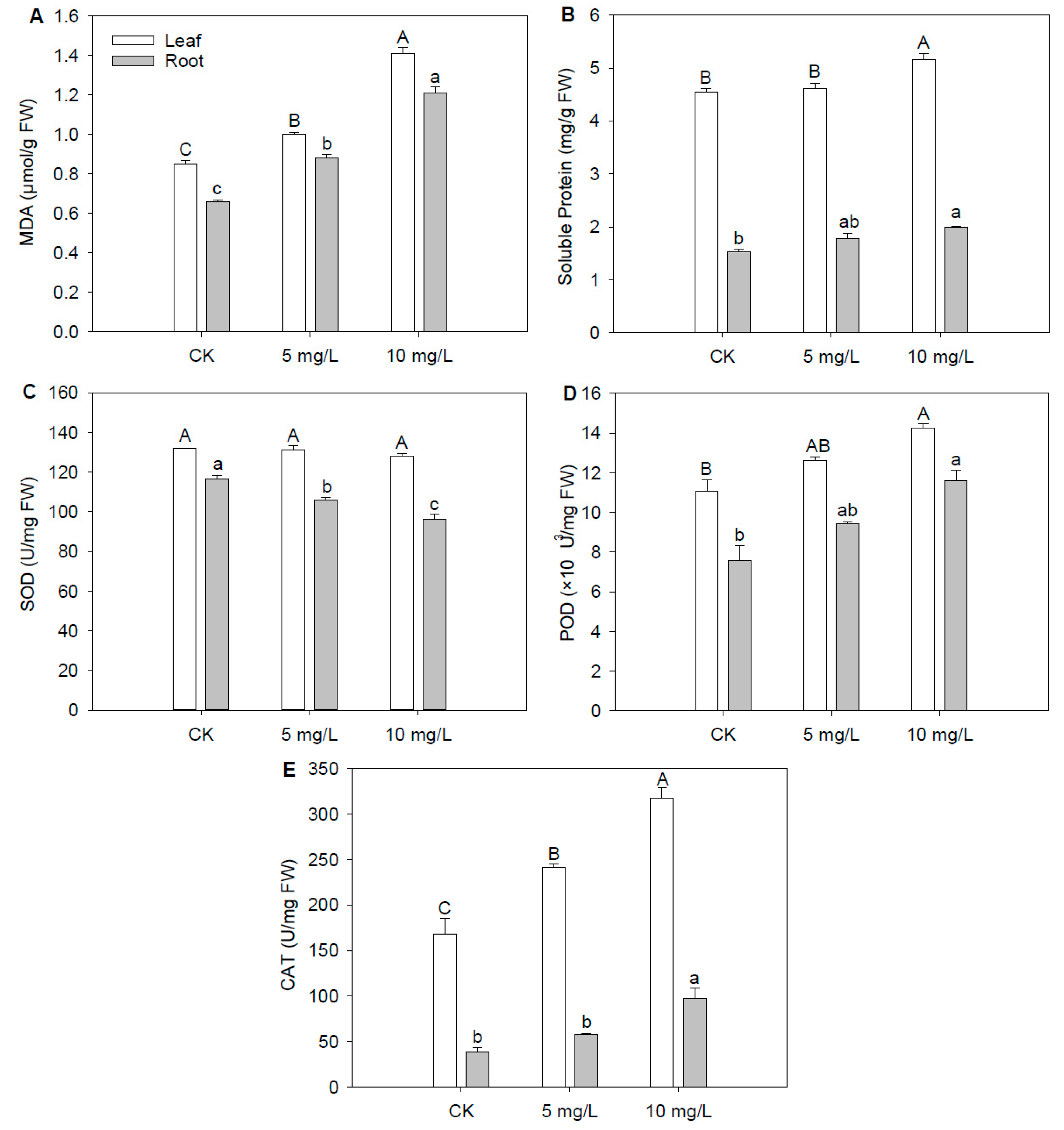
2.3. MDA Content, Soluble Protein Content, and SOD, POD, and CAT Activity Changes under Cd Stress
2.4. Metabolite Changes under Cd Stress and Their Relationships with BEs
2.4.1. The Changes in Differential Amino Acids under Cd Stress
2.4.2. The Variations in Differential Carbohydrates under Cd Stress
2.4.3. Alterations in the Differential Lipids Induced by Cd Stress
2.4.4. Most of the Differential Nucleotides in Roots Decreased under Cd Stress
2.4.5. The Differential Organic Acid Variations under Cd Treatment
2.4.6. The Differential Phytohormone Changes Induced by Cd Ions
2.4.7. The Alterations of Benzenoids, Phenylpropanoids, and Polyketides under Cd Stress
2.5. The Relationships of Main Metabolite Changes with BEs under Cd Stress
2.6. The Metabolic Pathway Changes under Cd Stress
3. Materials and Methods
3.1. Plant Growth Parameters
3.2. Cd Contents
3.3. MDA, Superoxide Dismutase Activity, and Soluble Protein Content Assay
3.4. Metabolite Detection and Analysis
3.5. Statistical Analysis
4. Conclusions
Supplementary Materials
Author Contributions
Funding
Data Availability Statement
Conflicts of Interest
References
- Adnan, M.; Xiao, B.; Xiao, P.; Zhao, P.; Bibi, S. Heavy metal, waste, COVID-19, and rapid industrialization in this modern era—Fit for sustainable future. Sustainability 2022, 14, 4746. [Google Scholar] [CrossRef]
- Bouida, L.; Rafatullah, M.; Kerrouche, A.; Qutob, M.; Alosaimi, A.M.; Alorfi, H.S.; Hussein, M.A. A review on Cadmium and Lead contamination: Sources, fate, mechanism, health effects and remediation methods. Water 2022, 14, 3432. [Google Scholar] [CrossRef]
- Ilyas, M.; Shah, S.; Lai, Y.-W.; Sher, J.; Bai, T.; Zaman, F.; Bibi, F.; Koul, M.; Wani, S.H.; Majrashi, A.; et al. Leaf functional traits of invasive grasses conferring high-Cadmium adaptation over natives. Front. Plant Sci. 2022, 13, 869072. [Google Scholar] [CrossRef]
- Han, T.; Sun, M.; Zhao, J.; Dai, C.; Li, Y.; Zhang, P.; Lang, D.; Zhou, J.; Li, X.; Ge, S. The roles of Cadmium on growth of seedlings by analysing the composition of metabolites in pumpkin tissues. Ecotoxicol. Environ. Saf. 2021, 226, 112817. [Google Scholar] [CrossRef] [PubMed]
- Tang, T.; Kang, W.; Shen, M.; Chen, L.; Zhao, X.; Wang, Y.; Xu, S.; Ming, A.; Feng, T.; Deng, H.; et al. Accumulation mechanism and risk assessment of Artemisia selengensis seedling in vitro with the hydroponic culture under Cadmium pressure. Int. J. Environ. Res. Public Health 2022, 19, 1183. [Google Scholar] [CrossRef]
- Tan, P.; Zeng, C.; Wan, C.; Liu, Z.; Dong, X.; Peng, J.; Lin, H.; Li, M.; Liu, Z.; Yan, M. Metabolic profiles of Brassica juncea roots in response to Cadmium stress. Metabolites 2021, 11, 383. [Google Scholar] [CrossRef] [PubMed]
- Peng, B.; Li, H.; Peng, X.-X. Functional metabolomics: From biomarker discovery to metabolome reprogramming. Protein cell 2015, 6, 628–637. [Google Scholar] [CrossRef]
- Soleimani, S.H.; Bernard, F.; Amini, M.; Khavari-nezhad, R.-A. Cadmium accumulation and alkaloid production of Narcissus tazetta plants grown under in vitro condition with Cadmium stress. Plant Physiol. Rep. 2020, 25, 51–57. [Google Scholar] [CrossRef]
- Zhang, Z.; Tang, Z.; Jing, G.; Gao, S.; Liu, C.; Ai, S.; Liu, Y.; Liu, Q.; Li, C.; Ma, F. Dopamine confers Cadmium tolerance in apples by improving growth, reducing reactive oxygen species, and changing secondary metabolite levels. Environ. Exp. Bot. 2023, 208, 105264. [Google Scholar] [CrossRef]
- Wang, R.; Lin, K.; Chen, H.; Qi, Z.; Liu, B.; Cao, F.; Chen, H.; Wu, F. Metabolome analysis revealed the mechanism of exogenous glutathione to alleviate Cadmium stress in maize (Zea mays L.) seedlings. Plants 2021, 10, 105. [Google Scholar] [CrossRef] [PubMed]
- Rani, S.; Singh, V.; Sharma, M.K.; Sisodia, R. GC–MS based metabolite profiling of medicinal plant-Catharanthus roseus under Cadmium stress. Plant Physiol. Rep. 2021, 26, 491–502. [Google Scholar] [CrossRef]
- Sun, L.; Cao, X.; Tan, C.; Deng, Y.; Cai, R.; Peng, X.; Bai, J. Analysis of the effect of Cadmium stress on root exudates of Sedum plumbizincicola based on metabolomics. Ecotoxicol. Environ. Saf. 2020, 205, 111152. [Google Scholar] [CrossRef]
- Mi, Z.; Ma, Y.; Liu, P.; Zhang, H.; Zhang, L.; Jia, W.; Zhu, X.; Wang, Y.; Zhang, C.; Du, L.; et al. Combining metabolic analysis With biological endpoints provides a view into the drought resistance mechanism of Carex breviculmis. Front. Plant Sci. 2022, 13, 945441. [Google Scholar] [CrossRef]
- Tang, S.; Xu, C.; Vu, L.T.K.; Liu, S.; Ye, P.; Li, L.; Wu, Y.; Chen, M.; Xiao, Y.; Wu, Y.; et al. Enhanced enzymatic hydrolysis of Pennisetum alopecuroides by dilute acid, alkaline and ferric chloride pretreatments. Molecules 2019, 24, 1715. [Google Scholar] [CrossRef]
- Wilson, S.B.; Knox, G.W. Landscape performance of green fountain grass alternatives grown in northern and southern Florida. HortTechnology 2009, 19, 471–476. [Google Scholar] [CrossRef]
- Hou, X.; Teng, K.; Guo, Q.; Zhao, C.; Gao, K.; Yue, Y.; Fan, X. Research advances in forage Pennisetum resource. Chin. Bull. Bot. 2022, 57, 814–825. [Google Scholar]
- Zheng, R.; Teng, W.; Hu, Y.; Hou, X.; Shi, D.; Tian, X.; Scullion, J.; Wu, J. Cadmium uptake by a hyperaccumulator and three Pennisetum grasses with associated rhizosphere effects. Environ. Sci. Pollut. Res. 2022, 29, 1845–1857. [Google Scholar] [CrossRef] [PubMed]
- Chen, C.; Li, Z.; Li, S.; Deng, N.; Mei, P. Effects of root exudates on the activation and remediation of Cadmium ion in contaminated soils. Environ. Sci. Pollut. Res. 2020, 27, 2926–2934. [Google Scholar] [CrossRef] [PubMed]
- Seregin, I.V.; Kozhevnikova, A.D. Roles of root and shoot tissues in transport and accumulation of Cadmium, Lead, Nickel, and Strontium. Russ. J. Plant Physiol. 2008, 55, 1–22. [Google Scholar] [CrossRef]
- Lai, J.; Liu, Z.; Li, C.; Luo, X. Analysis of accumulation and phytotoxicity mechanism of Uranium and Cadmium in two sweet potato cultivars. J. Hazard. Mater. 2021, 409, 124997. [Google Scholar] [CrossRef]
- Haider, F.U.; Liqun, C.; Coulter, J.A.; Cheema, S.A.; Wu, J.; Zhang, R.; Wenjun, M.; Farooq, M. Cadmium toxicity in plants: Impacts and remediation strategies. Ecotoxicol. Environ. Saf. 2021, 211, 111887. [Google Scholar] [CrossRef] [PubMed]
- Leng, Y.; Li, Y.; Ma, Y.-H.; He, L.-F.; Li, S.-W. Abscisic acid modulates differential physiological and biochemical responses of roots, stems, and leaves in mung bean seedlings to Cadmium stress. Environ. Sci. Pollut. Res. 2021, 28, 6030–6043. [Google Scholar] [CrossRef] [PubMed]
- Kučerová, K.; Henselová, M.; Slováková, Ľ.; Hensel, K. Effects of plasma activated water on wheat: Germination, growth parameters, photosynthetic pigments, soluble protein content, and antioxidant enzymes activity. Plasma Process Polym. 2019, 16, 1800131. [Google Scholar] [CrossRef]
- Zhao, H.; Guan, J.; Liang, Q.; Zhang, X.; Hu, H.; Zhang, J. Effects of Cadmium stress on growth and physiological characteristics of sassafras seedlings. Sci. Rep. 2021, 11, 9913. [Google Scholar] [CrossRef]
- Hou, P.; Wang, F.; Luo, B.; Li, A.; Wang, C.; Shabala, L.; Ahmed, H.A.I.; Deng, S.; Zhang, H.; Song, P.; et al. Antioxidant enzymatic activity and osmotic adjustment as components of the drought tolerance mechanism in Carex duriuscula. Plants 2021, 10, 436. [Google Scholar] [CrossRef]
- Wu, J.; Qian, C.; Liu, Z.; Zhong, X. Phytoremediation potential of hybrid Pennisetum in Cadmium-contaminated soil and its physiological responses to Cadmium. Environ. Sci. Pollut. Res. 2023, 30, 26208–26217. [Google Scholar] [CrossRef]
- Luo, J.-S.; Zhang, Z. Proteomic changes in the xylem sap of Brassica napus under Cadmium stress and functional validation. BMC Plant Biol. 2019, 19, 280. [Google Scholar] [CrossRef]
- Yap, C.K.; Tan, W.S.; Wong, K.W.; Ong, G.H.; Cheng, W.H.; Nulit, R.; Ibrahim, M.H.; Chew, W.; Berandah Edward, F.; Okamura, H.; et al. Antioxidant enzyme activities as biomarkers of Cu and Pb stress in Centella asiatica. Stresses 2021, 1, 253–265. [Google Scholar] [CrossRef]
- Liu, S.; Ali, S.; Yang, R.; Tao, J.; Ren, B. A newly discovered Cd-hyperaccumulator Lantana camara L. J. Hazard. Mater. 2019, 371, 233–242. [Google Scholar] [CrossRef] [PubMed]
- Wu, Z.; Liu, S.; Zhao, J.; Wang, F.; Du, Y.; Zou, S.; Li, H.; Wen, D.; Huang, Y. Comparative responses to Silicon and Selenium in relation to antioxidant enzyme system and the glutathione-ascorbate cycle in flowering Chinese cabbage (Brassica campestris L. ssp. chinensis var. utilis) under Cadmium stress. Environ. Exp. Bot. 2017, 133, 1–11. [Google Scholar] [CrossRef]
- Xu, J.; Zhu, Y.; Ge, Q.; Li, Y.; Sun, J.; Zhang, Y.; Liu, X. Comparative physiological responses of Solanum nigrum and Solanum torvum to Cadmium stress. New Phytol. 2012, 196, 125–138. [Google Scholar] [CrossRef]
- Singh, S.; Parihar, P.; Singh, R.; Singh, V.P.; Prasad, S.M. Heavy metal tolerance in plants: Role of transcriptomics, proteomics, metabolomics, and ionomics. Front. Plant Sci. 2016, 6, 1143. [Google Scholar] [CrossRef] [PubMed]
- He, X.; Zhang, J.; Ren, Y.; Sun, C.; Deng, X.; Qian, M.; Hu, Z.; Li, R.; Chen, Y.; Shen, Z.; et al. Polyaspartate and liquid amino acid fertilizer are appropriate alternatives for promoting the phytoextraction of Cadmium and Lead in Solanum nigrum L. Chemosphere 2019, 237, 124483. [Google Scholar] [CrossRef]
- Xu, J.; Sun, J.; Du, L.; Liu, X. Comparative transcriptome analysis of Cadmium responses in Solanum nigrum and Solanum torvum. New Phytol. 2012, 196, 110–124. [Google Scholar] [CrossRef] [PubMed]
- Zemanová, V.; Pavlík, M.; Pavlíková, D.; Tlustoš, P. The significance of methionine, histidine and tryptophan in plant responses and adaptation to Cadmium stress. Plant Soil Environ. 2014, 60, 426–432. [Google Scholar] [CrossRef]
- Mayer, J.A.; Wone, B.W.; Alexander, D.C.; Guo, L.; Ryals, J.A.; Cushman, J.C. Metabolic profiling of epidermal and mesophyll tissues under water-deficit stress in Opuntia ficus-indica reveals stress-adaptive metabolic responses. Funct. Plant Biol. 2021, 48, 717–731. [Google Scholar] [CrossRef]
- Gracanin, M.; Hawkins, C.L.; Pattison, D.I.; Davies, M.J. Singlet-oxygen-mediated amino acid and protein oxidation: Formation of tryptophan peroxides and decomposition products. Free. Radic. Biol. Med. 2009, 47, 92–102. [Google Scholar] [CrossRef] [PubMed]
- Bor, M.; Seckin, B.; Ozgur, R.; Yılmaz, O.; Ozdemir, F.; Turkan, I. Comparative effects of drought, salt, heavy metal and heat stresses on gamma-aminobutryric acid levels of sesame (Sesamum indicum L.). Acta Physiol. Plant. 2009, 31, 655–659. [Google Scholar] [CrossRef]
- Freeman, J.L.; Persans, M.W.; Nieman, K.; Albrecht, C.; Peer, W.; Pickering, I.J.; Salt, D.E. Increased glutathione biosynthesis plays a role in Nickel tolerance in Thlaspi Nickel hyperaccumulators. Plant Cell 2004, 16, 2176–2191. [Google Scholar] [CrossRef]
- Michaletti, A.; Naghavi, M.R.; Toorchi, M.; Zolla, L.; Rinalducci, S. Metabolomics and proteomics reveal drought-stress responses of leaf tissues from spring-wheat. Sci. Rep. 2018, 8, 5710. [Google Scholar] [CrossRef]
- Ma, Q.; Cao, X.; Tan, X.; Si, L.; Wu, L. Effects of Cadmium stress on pakchoi (Brassica chinensis L.) growth and uptake of inorganic and organic nitrogenous compounds. Environ. Exp. Bot. 2017, 137, 49–57. [Google Scholar] [CrossRef]
- Lu, H.; Wang, Z.; Xu, C.; Li, L.; Yang, C. Multiomics analysis provides insights into alkali stress tolerance of sunflower (Helianthus annuus L.). Plant Physiol. Biochem. 2021, 166, 66–77. [Google Scholar] [CrossRef]
- Rabêlo, F.H.S.; Fernie, A.R.; Navazas, A.; Borgo, L.; Keunen, E.; Silva, B.K.d.A.d.; Cuypers, A.; Lavres, J. A glimpse into the effect of Sulfur supply on metabolite profiling, glutathione and phytochelatins in Panicum maximum cv. Massai exposed to Cadmium. Environ. Exp. Bot. 2018, 151, 76–88. [Google Scholar] [CrossRef]
- Sun, H.; Wang, X.; Li, H.; Bi, J.; Yu, J.; Liu, X.; Zhou, H.; Rong, Z. Selenium modulates Cadmium-induced ultrastructural and metabolic changes in cucumber seedlings. RSC Adv. 2020, 10, 17892–17905. [Google Scholar] [CrossRef]
- Osmolovskaya, N.; Tatiana, B.; Vu, V.D.; Orlova, A.; Kuchaeva, L.; Frolova, N.; Tarakhovskaya, E.; Frolov, A. Metabolic responses to Zinc stress in Amaranthus caudatus roots and leaves. ChemRxiv 2022, preprint. [Google Scholar] [CrossRef]
- Singh, A.K.; Dhanapal, S.; Yadav, B.S. The dynamic responses of plant physiology and metabolism during environmental stress progression. Mol. Biol. Rep. 2020, 47, 1459–1470. [Google Scholar] [CrossRef]
- Deng, C.; Tang, Q.; Yang, Z.; Dai, Z.; Cheng, C.; Xu, Y.; Chen, X.; Zhang, X.; Su, J. Effects of iron oxide nanoparticles on phenotype and metabolite changes in hemp clones (Cannabis sativa L.). Front. Environ. Sci. Eng. 2022, 16, 134. [Google Scholar] [CrossRef]
- Nebenführ, A.; Staehelin, L.A. Mobile factories: Golgi dynamics in plant cells. Trends Plant Sci. 2001, 6, 160–167. [Google Scholar] [CrossRef]
- Sattelmacher, B. The apoplast and its significance for plant mineral nutrition. New Phytol. 2001, 149, 167–192. [Google Scholar] [CrossRef]
- Fryzova, R.; Pohanka, M.; Martinkova, P.; Cihlarova, H.; Brtnicky, M.; Hladky, J.; Kynicky, J. Oxidative stress and heavy metals in plants. In Reviews of Environmental Contamination and Toxicology; Springer: Cham, Switzerland, 2018; Volume 245, pp. 129–156. [Google Scholar]
- Serna Saldívar, S.O.; Ayala Soto, F.E. Chemical composition and biosynthesis of dietary fiber components. In Science and Technology of Fibers in Food Systems; Springer: Cham, Switzerland, 2020; pp. 15–43. [Google Scholar]
- Kumari, P.; Reddy, C.; Jha, B. Methyl jasmonate-induced lipidomic and biochemical alterations in the intertidal macroalga Gracilaria dura (Gracilariaceae, Rhodophyta). Plant Cell Physiol. 2015, 56, 1877–1889. [Google Scholar] [CrossRef] [PubMed]
- Lin, K.; Zeng, M.; Williams, D.V.; Hu, W.; Shabala, S.; Zhou, M.; Cao, F. Integration of transcriptome and metabolome analyses reveals the mechanistic basis for Cadmium accumulation in maize. iScience 2022, 25, 105484. [Google Scholar] [CrossRef] [PubMed]
- Wang, Y.; Liu, J.; Yang, F.; Zhou, W.; Mao, S.; Lin, J.; Yan, X. Untargeted LC-MS-based metabolomics revealed specific metabolic changes in cotyledons and roots of Ricinus communis during early seedling establishment under salt stress. Plant Physiol. Biochem. 2021, 163, 108–118. [Google Scholar] [CrossRef]
- Hsu, Y.; Kao, C. Role of abscisic acid in Cadmium tolerance of rice (Oryza sativa L.) seedlings. Plant Cell Environ. 2003, 26, 867–874. [Google Scholar] [CrossRef]
- Tao, X.; Wu, Q.; Huang, S.; Zhu, B.; Chen, F.; Liu, B.; Cai, L.; Mao, L.; Luo, Z.; Li, L.; et al. Exogenous abscisic acid regulates primary metabolism in postharvest cherry tomato fruit during ripening. Sci. Hortic. 2022, 299, 111008. [Google Scholar] [CrossRef]
- Zhang, C.; Shi, C.; Zhang, H.; Yu, K.; Wang, Y.; Jiang, J.; Kan, G. Metabolomics reveals the mechanism of antarctic yeast Rhodotorula mucliaginosa AN5 to cope with Cadmium stress. BioMetals 2022, 35, 53–65. [Google Scholar] [CrossRef]
- Xue, R.; Wang, S.; Xu, H.; Zhang, P.; Li, H.; Zhao, H. Progesterone increases photochemical efficiency of photosystem II in wheat under heat Stress by facilitating D1 protein phosphorylation. Photosynthetica 2017, 55, 664–670. [Google Scholar] [CrossRef]
- Li, Y.; Long, L.; Ge, J.; Li, H.; Zhang, M.; Wan, Q.; Yu, X. Effect of imidacloprid uptake from contaminated soils on vegetable growth. J. Agric. Food Chem. 2019, 67, 7232–7242. [Google Scholar] [CrossRef] [PubMed]
- He, L.; Wang, X.; Na, X.; Feng, R.; He, Q.; Wang, S.; Liang, C.; Yan, L.; Zhou, L.; Bi, Y. Alternative pathway is involved in hydrogen peroxide-enhanced Cadmium tolerance in hulless barley roots. Plants 2021, 10, 2329. [Google Scholar] [CrossRef]
- Wang, H.-R.; Zhao, X.-Y.; Zhang, J.-M.; Lu, C.; Feng, F.-J. Arbuscular mycorrhizal fungus regulates Cadmium accumulation, migration, transport, and tolerance in Medicago sativa. J. Hazard. Mater. 2022, 435, 129077. [Google Scholar] [CrossRef]
- Yadav, P.; Srivastava, S.; Patil, T.; Raghuvanshi, R.; Srivastava, A.K.; Suprasanna, P. Tracking the time-dependent and tissue-specific processes of arsenic accumulation and stress responses in rice (Oryza sativa L.). J. Hazard. Mater. 2021, 406, 124307. [Google Scholar] [CrossRef]
- Thomas, M.; Reid, R. Vacuolar compartmentalisation and efflux of Cadmium in barley. Botany 2021, 99, 1–8. [Google Scholar] [CrossRef]
- Mizushima, M.; Ferreira, B.; França, M.; Almeida, A.; Cortez, P.; Silva, J.; Jesus, R.; Prasad, M.; Mangabeira, P. Ultrastructural and metabolic disorders induced by short-term Cadmium exposure in Avicennia schaueriana plants and its excretion through leaf salt glands. Plant Biol. 2019, 21, 844–853. [Google Scholar] [CrossRef] [PubMed]
- Demecsová, L.; Zelinová, V.; Liptáková, Ľ.; Valentovičová, K.; Tamás, L. Indole-3-butyric acid priming reduced Cadmium toxicity in barley root tip via NO generation and enhanced glutathione peroxidase activity. Planta 2020, 252, 46. [Google Scholar] [CrossRef] [PubMed]
- Rolón-Cárdenas, G.A.; Arvizu-Gómez, J.L.; Soria-Guerra, R.E.; Pacheco-Aguilar, J.R.; Alatorre-Cobos, F.; Hernández-Morales, A. The role of auxins and auxin-producing bacteria in the tolerance and accumulation of Cadmium by plants. Environ. Geochem. Health 2022, 44, 3743–3764. [Google Scholar] [CrossRef] [PubMed]
- Haroun, S.; Aldesuquy, H.; Abo-Hamed, S.; El-Said, A. Kinetin-induced modification in growth criteria, ion contents and water relations of sorghum plants treated with Cadmium chloride. Acta Bot. Hung. 2003, 45, 113–126. [Google Scholar] [CrossRef]
- Talarek-Karwel, M.; Bajguz, A.; Piotrowska-Niczyporuk, A. Hormonal response of Acutodesmus obliquus exposed to combined treatment with 24-epibrassinolide and Lead. J. Appl. Phycol. 2020, 32, 2903–2914. [Google Scholar] [CrossRef]
- Borgo, L.; Rabêlo, F.H.S.; Budzinski, I.G.F.; Cataldi, T.R.; Ramires, T.G.; Schaker, P.D.C.; Ribas, A.F.; Labate, C.A.; Lavres, J.; Cuypers, A.; et al. Proline exogenously supplied or endogenously overproduced induces different nutritional, metabolic, and antioxidative responses in transgenic tobacco exposed to Cadmium. J. Plant Growth Regul. 2022, 41, 2846–2868. [Google Scholar] [CrossRef]
- Raj, A.; Nachiappan, V. Hydroquinone exposure accumulates neutral lipid by the activation of CDP-DAG pathway in Saccharomyces cerevisiae. Toxicol. Res. 2021, 10, 354–367. [Google Scholar] [CrossRef]
- El Sherif, F.; Alkuwayti, M.A.; Khattab, S. Foliar spraying of salicylic acid enhances growth, yield, and curcuminoid biosynthesis gene expression as well as curcuminoid accumulation in Curcuma longa. Horticulturae 2022, 8, 417. [Google Scholar] [CrossRef]
- Lwalaba, J.L.W.; Zvobgo, G.; Gai, Y.; Issaka, J.H.; Mwamba, T.M.; Louis, L.T.; Fu, L.; Nazir, M.M.; Kirika, B.A.; Tshibangu, A.K.; et al. Transcriptome analysis reveals the tolerant mechanisms to Cobalt and Copper in barley. Ecotoxicol. Environ. Saf. 2021, 209, 111761. [Google Scholar] [CrossRef]
- Tousi, S.; Zoufan, P.; Ghahfarrokhie, A.R. Alleviation of Cadmium-induced phytotoxicity and growth improvement by exogenous melatonin pretreatment in mallow (Malva parviflora) plants. Ecotoxicol. Environ. Saf. 2020, 206, 111403. [Google Scholar] [CrossRef]
- El-Beltagi, H.S.; Mohamed, H.I. Alleviation of Cadmium toxicity in Pisum sativum L. seedlings by Calcium chloride. Not. Bot. Horti Agrobot. 2013, 41, 157–168. [Google Scholar] [CrossRef][Green Version]
- Lysenko, E.A.; Klaus, A.A.; Pshybytko, N.L.; Kusnetsov, V.V. Cadmium accumulation in chloroplasts and its impact on chloroplastic processes in barley and maize. Photosynth. Res. 2015, 125, 291–303. [Google Scholar] [CrossRef] [PubMed]
- Chen, Y.; Huang, W.; Zhang, F.; Luo, X.; Hu, B.; Xie, J. Metabolomic profiling of Dongxiang wild rice under salinity demonstrates the significant role of amino acids in rice salt stress. Front. Plant Sci. 2021, 12, 729004. [Google Scholar] [CrossRef] [PubMed]
- Gu, Z.; Wang, D.; Gong, Q.; You, J.; Ren, Q.; An, H.; Zhou, Y.; Jiang, H. Metabolomic analysis of rapeseed priming with H2O2 in response to germination under chilling stress. Plant Growth Regul. 2023, 99, 477–491. [Google Scholar] [CrossRef]
- Chen, L.; Shi, S.; Jiang, N.; Khanzada, H.; Wassan, G.M.; Zhu, C.; Peng, X.; Xu, J.; Chen, Y.; Yu, Q.; et al. Genome-wide analysis of long non-coding RNAs affecting roots development at an early stage in the rice response to Cadmium stress. BMC Genomics 2018, 19, 460. [Google Scholar] [CrossRef] [PubMed]
- Tang, M.; Mao, D.; Xu, L.; Li, D.; Song, S.; Chen, C. Integrated analysis of miRNA and mRNA expression profiles in response to Cd exposure in rice seedlings. BMC Genom. 2014, 15, 835. [Google Scholar] [CrossRef]
- de Abreu Silva, M.M.A.; Santos, J.A.G.; Moura, S.C.; de Abreu, C.B.; Bomfim, M.R.; de Azevedo Neto, A.D. Cadmium effects on sunflower growth and mineral nutrition. Afr. J. Agric. Res. 2016, 11, 3488–3496. [Google Scholar]
- Ouyang, S.; Hu, X.; Zhou, Q. Envelopment–internalization synergistic effects and metabolic mechanisms of graphene oxide on single-cell Chlorella vulgaris are dependent on the nanomaterial particle size. ACS Appl. Mater. Interfaces 2015, 7, 18104–18112. [Google Scholar] [CrossRef]
- Song, G.; Gao, Y.; Wu, H.; Hou, W.; Zhang, C.; Ma, H. Physiological effect of anatase TiO2 nanoparticles on Lemna minor. Environ. Toxicol. Chem. 2012, 31, 2147–2152. [Google Scholar] [CrossRef]
- Zhao, S. Detection of the activity of MDA in plant tissue. In Manual of Plant Physiology Experiment; Zou, Y., Ed.; China Science Publishing & Media: Beijing, China, 2000; pp. 173–174. [Google Scholar]
- Read, S.; Northcote, D. Minimization of variation in the response to different proteins of the Coomassie Blue G dye-binding assay for protein. Anal. Biochem. 1981, 116, 53–64. [Google Scholar] [CrossRef] [PubMed]
- Lazar, A.G.; Romanciuc, F.; Socaciu, M.A.; Socaciu, C. Bioinformatics tools for metabolomic data processing and analysis using untargeted liquid chromatography coupled with mass spectrometry. Bull. Univ. Agric. Sci. Vet. Med. Cluj-Napoca. Anim. Sci. Biotechnol. 2015, 72, 103–115. [Google Scholar] [CrossRef] [PubMed]
- R Core Team. R: A Language and Environment for Statistical Computing; R Foundation for Statistical Computing: Vienna, Austria, 2016; Available online: https://www.R-project.org/ (accessed on 1 April 2022).
- Shannon, P.; Markiel, A.; Ozier, O.; Baliga, N.S.; Wang, J.T.; Ramage, D.; Amin, N.; Schwikowski, B.; Ideker, T. Cytoscape: A software environment for integrated models of biomolecular interaction networks. Genome Res. 2003, 13, 2498–2504. [Google Scholar] [CrossRef] [PubMed]






| Treatment | Cd Content in Roots (mg/g Dry Weight) | Cd Content in Leaves (mg/g Dry Weight) | Transfer Factor |
|---|---|---|---|
| CK | 0.00 (C, a) | 0.00 (C, a) | / |
| Cd5 | 0.50 ± 0.06 (B, a) | 0.04 ± 0.00 (B, b) | 0.08 |
| Cd10 | 1.05 ± 0.21 (A, a) | 0.07 ± 0.01 (A, b) | 0.07 |
Disclaimer/Publisher’s Note: The statements, opinions and data contained in all publications are solely those of the individual author(s) and contributor(s) and not of MDPI and/or the editor(s). MDPI and/or the editor(s) disclaim responsibility for any injury to people or property resulting from any ideas, methods, instructions or products referred to in the content. |
© 2023 by the authors. Licensee MDPI, Basel, Switzerland. This article is an open access article distributed under the terms and conditions of the Creative Commons Attribution (CC BY) license (https://creativecommons.org/licenses/by/4.0/).
Share and Cite
Mi, Z.; Liu, P.; Du, L.; Han, T.; Wang, C.; Fan, X.; Liu, H.; He, S.; Wu, J. The Influence of Cadmium on Fountain Grass Performance Correlates Closely with Metabolite Profiles. Plants 2023, 12, 3713. https://doi.org/10.3390/plants12213713
Mi Z, Liu P, Du L, Han T, Wang C, Fan X, Liu H, He S, Wu J. The Influence of Cadmium on Fountain Grass Performance Correlates Closely with Metabolite Profiles. Plants. 2023; 12(21):3713. https://doi.org/10.3390/plants12213713
Chicago/Turabian StyleMi, Zhaorong, Pinlin Liu, Lin Du, Tao Han, Chao Wang, Xifeng Fan, Huichao Liu, Songlin He, and Juying Wu. 2023. "The Influence of Cadmium on Fountain Grass Performance Correlates Closely with Metabolite Profiles" Plants 12, no. 21: 3713. https://doi.org/10.3390/plants12213713
APA StyleMi, Z., Liu, P., Du, L., Han, T., Wang, C., Fan, X., Liu, H., He, S., & Wu, J. (2023). The Influence of Cadmium on Fountain Grass Performance Correlates Closely with Metabolite Profiles. Plants, 12(21), 3713. https://doi.org/10.3390/plants12213713

