Genome-Wide Investigation and Expression Analysis of the Catalase Gene Family in Oat Plants (Avena sativa L.)
Abstract
:1. Introduction
2. Results
2.1. Bioinformatic Analysis of Catalase Genes in A. sativa L.
2.2. Gene Distribution of Catalase Genes in Oat
2.3. AvCAT Proteins Characteristics
2.4. In Silico Analysis of AvCAT Proteins
2.5. Identification of CaM Binding Domains
2.6. Gene Ontology (GO) Term Distribution of A. sativa Catalase
2.7. In Silico Analysis of Cis-Elements
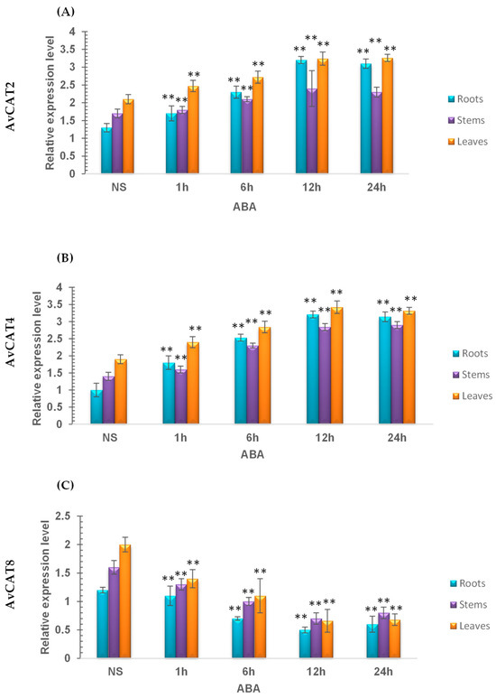
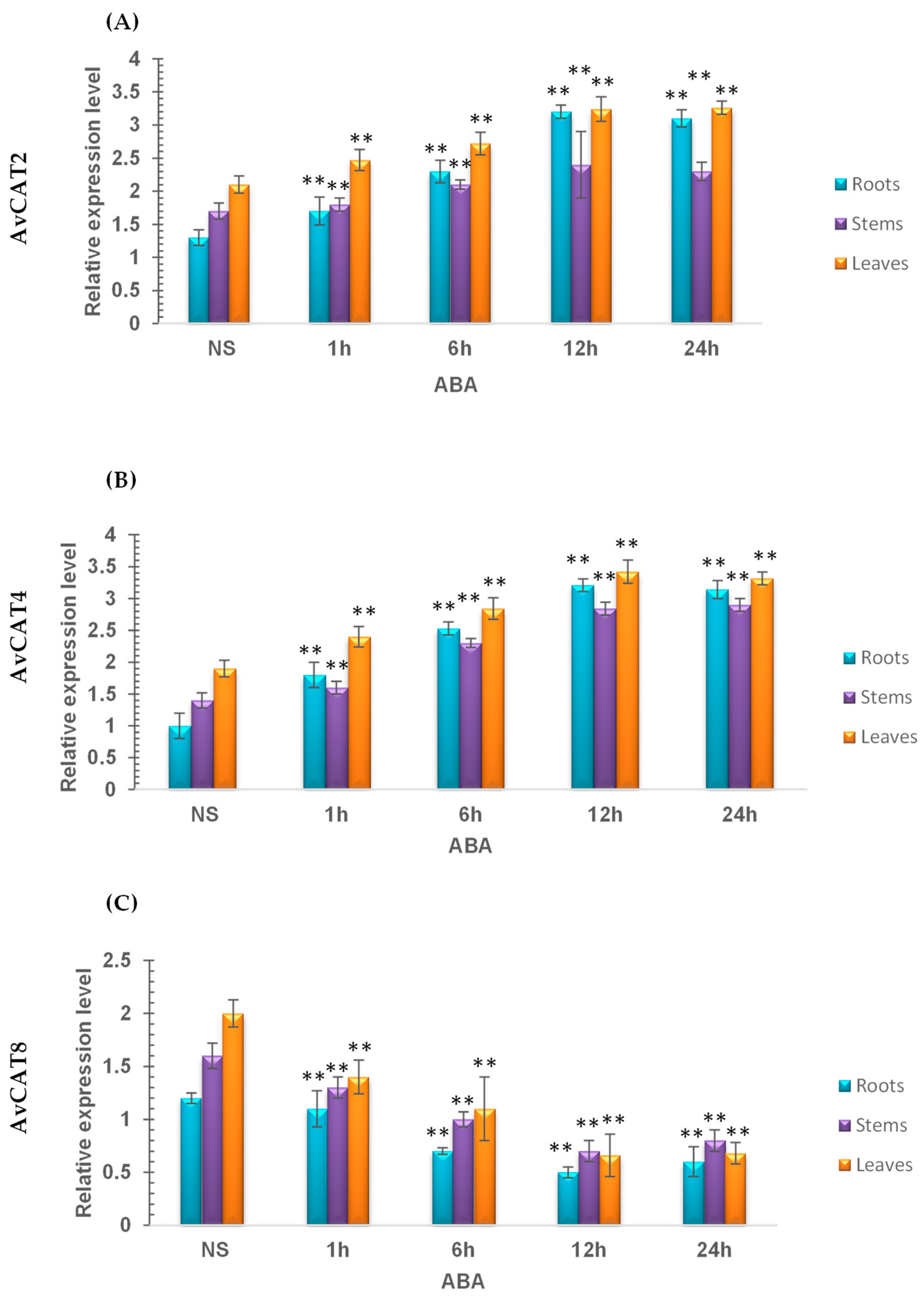
2.8. Expression Analysis of AvCATs in Different Tissues/Organs and under Different Stress Conditions
3. Discussion
4. Materials and Methods
4.1. Plant Material
4.2. Identification of AvCAT Gene Family
4.3. Characterization of AvCAT Proteins and Genes
4.4. Chromosome Location and Phylogenetic Analysis of the AvCAT Gene Family
4.5. The 2D and 3D Structures of Oat Catalase
4.6. Gene Structure and Conserved Motifs of AvCAT Genes
4.7. Promoter Cis-Regulatory Element Analysis of the AvCAT Gene Family
4.8. Subcellular and GO Ontology of AvCAT Proteins
4.9. RNA Extraction and Quantitative Real-Time Reverse Transcription PCR (QRT-PCR)
4.10. Statistical Analysis
5. Conclusions
Supplementary Materials
Author Contributions
Funding
Institutional Review Board Statement
Informed Consent Statement
Data Availability Statement
Acknowledgments
Conflicts of Interest
References
- Tuteja, N. Mechanisms of High Salinity Tolerance in Plants. Methods Enzymol. 2007, 428, 419–438. [Google Scholar] [PubMed]
- Hirayama, T.; Shinozaki, K. Research on Plant Abiotic Stress Responses in the Post-genome Era: Past, Present and Future. Plant J. 2010, 61, 1041–1052. [Google Scholar] [CrossRef] [PubMed]
- Vellosillo, T.; Vicente, J.; Kulasekaran, S.; Hamberg, M.; Castresana, C. Emerging Complexity in Reactive Oxygen Species Production and Signaling during the Response of Plants to Pathogens. Plant Physiol. 2010, 154, 444–448. [Google Scholar] [CrossRef] [PubMed]
- Sharma, P.; Jha, A.B.; Dubey, R.S.; Pessarakli, M. Reactive Oxygen Species, Oxidative Damage, and Antioxidative Defense Mechanism in Plants under Stressful Conditions. J. Bot. 2012, 2012, 217037. [Google Scholar] [CrossRef]
- Bose, J.; Rodrigo-Moreno, A.; Shabala, S. ROS Homeostasis in Halophytes in the Context of Salinity Stress Tolerance. J. Exp. Bot. 2014, 65, 1241–1257. [Google Scholar] [CrossRef] [PubMed]
- Bhattacharjee, S. The Language of Reactive Oxygen Species Signaling in Plants. J. Bot. 2012, 2012, 985298. [Google Scholar] [CrossRef]
- Karuppanapandian, T.; Moon, J.-C.; Kim, C.; Manoharan, K.; Kim, W. Reactive Oxygen Species in Plants: Their Generation, Signal Transduction, and Scavenging Mechanisms. Aust. J. Crop Sci. 2011, 5, 709–725. [Google Scholar]
- Noctor, G.; Mhamdi, A.; Chaouch, S.; Han, Y.I.; Neukermans, J.; Marquez-Garcia, B.; Queval, G.; Foyer, C.H. Glutathione in Plants: An Integrated Overview. Plant. Cell Environ. 2012, 35, 454–484. [Google Scholar] [CrossRef]
- Shangari, N.; O’Brien, P.J. Catalase Activity Assays. Curr. Protoc. Toxicol. 2006, 27, 7. [Google Scholar] [CrossRef]
- Borges, P.T.; Frazao, C.; Miranda, C.S.; Carrondo, M.A.; Romão, C. V Structure of the Monofunctional Heme Catalase DR 1998 from D Einococcus Radiodurans. FEBS J. 2014, 281, 4138–4150. [Google Scholar] [CrossRef]
- Alam, N.B.; Ghosh, A. Comprehensive Analysis and Transcript Profiling of Arabidopsis Thaliana and Oryza Sativa Catalase Gene Family Suggests Their Specific Roles in Development and Stress Responses. Plant Physiol. Biochem. 2018, 123, 54–64. [Google Scholar] [CrossRef] [PubMed]
- Zhang, Y.; Zheng, L.; Yun, L.; Ji, L.; Li, G.; Ji, M.; Shi, Y.; Zheng, X. Catalase (CAT) Gene Family in Wheat (Triticum aestivum L.): Evolution, Expression Pattern and Function Analysis. Int. J. Mol. Sci. 2022, 23, 542. [Google Scholar] [CrossRef]
- Ghorbel, M.; Feki, K.; Tounsi, S.; Haddaji, N.; Hanin, M.; Brini, F. The Activity of the Durum Wheat (Triticum durum L.) Catalase 1 (TdCAT1) Is Modulated by Calmodulin. Antioxidants 2022, 11, 1483. [Google Scholar] [CrossRef] [PubMed]
- Ghorbel, M.; Feki, K.; Tounsi, S.; Bouali, N.; Besbes, M.; Brini, F. The Putative Auto-Inhibitory Domain of Durum Wheat Catalase (TdCAT1) Positively Regulates Bacteria Cells in Response to Different Stress Conditions. Antioxidants 2022, 11, 1820. [Google Scholar] [CrossRef] [PubMed]
- Ghorbel, M.; Besbes, M.; Haddaji, N.; Bouali, N.; Brini, F. Identification and Expression Profiling of Two Saudi Arabia Catalase Genes from Wheat and Barley in Response to Abiotic and Hormonal Stresses. Antioxidants 2022, 11, 2208. [Google Scholar] [CrossRef]
- Ghorbel, M.; Zribi, I.; Besbes, M.; Bouali, N.; Brini, F. Catalase Gene Family in Durum Wheat: Genome-Wide Analysis and Expression Profiling in Response to Multiple Abiotic Stress Conditions. Plants 2023, 12, 2720. [Google Scholar] [CrossRef]
- Wang, W.; Cheng, Y.; Chen, D.; Liu, D.; Hu, M.; Dong, J.; Zhang, X.; Song, L.; Shen, F. The Catalase Gene Family in Cotton: Genome-Wide Characterization and Bioinformatics Analysis. Cells 2019, 8, 86. [Google Scholar] [CrossRef]
- Wu, Q.; Chen, Y.; Zou, W.; Pan, Y.-B.; Lin, P.; Xu, L.; Grisham, M.P.; Ding, Q.; Su, Y.; Que, Y. Genome-Wide Characterization of Sugarcane Catalase Gene Family Identifies a ScCAT1 Gene Associated Disease Resistance. Int. J. Biol. Macromol. 2023, 232, 123398. [Google Scholar] [CrossRef]
- Hu, L.; Yang, Y.; Jiang, L.; Liu, S. The Catalase Gene Family in Cucumber: Genome-Wide Identification and Organization. Genet. Mol. Biol. 2016, 39, 408–415. [Google Scholar] [CrossRef]
- Liu, Z.; Wang, D.; Tang, H.; Li, H.; Zhang, X.; Dong, S.; Zhang, L.; Yang, L. Identification and Analysis of the Catalase Gene Family Response to Abiotic Stress in Nicotiana tabacum L. Agronomy 2023, 13, 936. [Google Scholar] [CrossRef]
- Raza, A.; Su, W.; Gao, A.; Mehmood, S.S.; Hussain, M.A.; Nie, W.; Lv, Y.; Zou, X.; Zhang, X. Catalase (CAT) Gene Family in Rapeseed (Brassica napus L.): Genome-Wide Analysis, Identification, and Expression Pattern in Response to Multiple Hormones and Abiotic Stress Conditions. Int. J. Mol. Sci. 2021, 22, 4281. [Google Scholar] [CrossRef]
- Sharma, S.; Hooda, V. Identification of Coding Sequence and Its Use for Functional and Structural Characterization of Catalase from Phyllanthus emblica. Bioinformation 2018, 14, 8. [Google Scholar] [CrossRef]
- Scandalios, J.G.; Acevedo, A.; Ruzsa, S. Catalase Gene Expression in Response to Chronic High Temperature Stress in Maize. Plant Sci. 2000, 156, 103–110. [Google Scholar] [CrossRef] [PubMed]
- Zang, Y.; Liu, J.; Tang, X.X.; Zhou, B. Description of a Zostera Marina Catalase Gene Involved in Responses to Temperature Stress. PeerJ 2018, 6, e4532. [Google Scholar] [CrossRef]
- Lin, K.-H.; Huang, H.-C.; Lin, C.-Y. Cloning, Expression and Physiological Analysis of Broccoli Catalase Gene and Chinese Cabbage Ascorbate Peroxidase Gene under Heat Stress. Plant Cell Rep. 2010, 29, 575–593. [Google Scholar] [CrossRef] [PubMed]
- Cansev, A.; Gulen, H.; Eris, A. The Activities of Catalase and Ascorbate Peroxidase in Olive (Olea europaea L. Cv. Gemlik) under Low Temperature Stress. Hortic. Environ. Biotechnol. 2011, 52, 113–120. [Google Scholar] [CrossRef]
- Gao, J.-J.; Tao, L.I.; YU, X. Gene Expression and Activities of SOD in Cucumber Seedlings Were Related with Concentrations of Mn2+, Cu2+, or Zn2+ under Low Temperature Stress. Agric. Sci. China 2009, 8, 678–684. [Google Scholar] [CrossRef]
- Su, Y.; Guo, J.; Ling, H.; Chen, S.; Wang, S.; Xu, L.; Allan, A.C.; Que, Y. Isolation of a Novel Peroxisomal Catalase Gene from Sugarcane, Which Is Responsive to Biotic and Abiotic Stresses. PLoS ONE 2014, 9, e84426. [Google Scholar] [CrossRef] [PubMed]
- Figueroa-Yáñez, L.; Cano-Sosa, J.; Castaño, E.; Arroyo-Herrera, A.-L.; Caamal-Velazquez, J.H.; Sanchez-Teyer, F.; López-Gómez, R.; De Los Santos-Briones, C.; Rodríguez-Zapata, L. Phylogenetic Relationships and Expression in Response to Low Temperature of a Catalase Gene in Banana (Musa acuminata Cv.‘“Grand Nain”’) Fruit. Plant Cell Tissue Organ Cult. (PCTOC) 2012, 109, 429–438. [Google Scholar] [CrossRef]
- Harker, K.N.; O’donovan, J.T. Editorial Recent Weed Control, Weed Management, and Integrated Weed Management. Weed Technol. 2013, 27, 1–11. [Google Scholar] [CrossRef]
- Prates, L.L.; Yu, P. Recent research on inherent molecular structure, physiochemical properties, and bio-functions of food and feed-type Avena sativa oats and processing-induced changes revealed with molecular microspectroscopic techniques. Appl. Spectrosc. Rev. 2017, 52, 850–867. [Google Scholar] [CrossRef]
- Butt, M.S.; Tahir-Nadeem, M.; Khan, M.K.I.; Shabir, R.; Butt, M.S. Oat: Unique among the cereals. Eur. J. Nutr. 2008, 47, 68–79. [Google Scholar] [CrossRef] [PubMed]
- Bai, J.; Yan, W.; Wang, Y.; Yin, Q.; Liu, J.; Wight, C.; Ma, B. Screening Oat Genotypes for Tolerance to Salinity and Alkalinity. Front. Plant Sci. 2018, 9, 1302. [Google Scholar] [CrossRef] [PubMed]
- Heuschele, D.J.; Case, A.; Smith, K.P. Evaluation of Fast Generation Cycling in Oat (Avena sativa). Cereal Res. Commun. 2019, 47, 626–635. [Google Scholar] [CrossRef]
- Goff, S.A.; Ricke, D.; Lan, T.H.; Presting, G.; Wang, R.; Dunn, M.; Glazebrook, J.; Sessions, A.; Oeller, P.; Varma, H.; et al. A draft sequence of the rice genome (Oryza sativa L. ssp. japonica). Science 2002, 296, 92–100. [Google Scholar]
- Schnable, P.S.; Ware, D.; Fulton, R.S.; Stein, J.C.; Wei, F.; Pasternak, S.; Liang, C.; Zhang, J.; Fulton, L.; Graves, T.A.; et al. The B73 maize genome: Complexity, diversity, and dynamics. Science 2009, 326, 1112–1115. [Google Scholar] [CrossRef] [PubMed]
- Appels, R.; Eversole, K.; Feuillet, C.; Keller, B.; Rogers, J.; Stein, N.; Pozniak, C.J.; Choulet, F.; Distelfeld, A.; Poland, J.; et al. Shifting the limits in wheat research and breeding using a fully annotated reference genome. Science 2018, 361, eaar7191. [Google Scholar]
- Forsberg, R.A.; Reeves, D.L. Breeding Oat Cultivars for Improved Grain Quality. Oat Sci. Technol. 1992, 33, 751–775. [Google Scholar]
- Wang, B.; Song, F.B. Physiological Responses and Adaptive Capacity of Oats to Saline-Alkali Stress. Ecol. Environ. Ecol. Env. 2006, 15, 625–629. [Google Scholar]
- Storsley, J.; Jew, S.; Ames, N. Health Claims for Oat Products: A Global Perspective. In Oats Nutrition and Technology; John Wiley & Sons, Ltd: Hoboken, NJ, USA, 2013; pp. 333–356. [Google Scholar]
- Kamal, N.; Tsardakas Renhuldt, N.; Bentzer, J.; Gundlach, H.; Haberer, G.; Juhász, A.; Lux, T.; Bose, U.; Tye-Din, J.A.; Lang, D. The Mosaic Oat Genome Gives Insights into a Uniquely Healthy Cereal Crop. Nature 2022, 606, 113–119. [Google Scholar] [CrossRef]
- Islam, M.R.; Xue, X.; Mao, S.; Ren, C.; Eneji, A.E.; Hu, Y. Effects of Water-saving Superabsorbent Polymer on Antioxidant Enzyme Activities and Lipid Peroxidation in Oat (Avena sativa L.) under Drought Stress. J. Sci. Food Agric. 2011, 91, 680–686. [Google Scholar] [CrossRef]
- Willenborg, C.J.; Wildeman, J.C.; Miller, A.K.; Rossnagel, B.G.; Shirtliffe, S.J. Oat Germination Characteristics Differ among Genotypes, Seed Sizes, and Osmotic Potentials. Crop Sci. 2005, 45, 2023–2029. [Google Scholar] [CrossRef]
- Singh, R.; De, S.; Belkheir, A. Avena Sativa (Oat), a Potential Neutraceutical and Therapeutic Agent: An Overview. Crit. Rev. Food Sci. Nutr. 2013, 53, 126–144. [Google Scholar] [CrossRef]
- Du, Y.; Wang, P.; Chen, J.; Song, C. Comprehensive Functional Analysis of the Catalase Gene Family in Arabidopsis Thaliana. J. Integr. Plant Biol. 2008, 50, 1318–1326. [Google Scholar] [CrossRef]
- Skadsen, R.W.; Schulze-Lefert, P.; Herbst, J.M. Molecular Cloning, Characterization and Expression Analysis of Two Catalase Isozyme Genes in Barley. Plant Mol. Biol. 1995, 29, 1005–1014. [Google Scholar] [CrossRef] [PubMed]
- Wu, Z.-X.; Xu, N.-W.; Yang, M.; Li, X.-L.; Han, J.-L.; Lin, X.-H.; Yang, Q.; Lv, G.-H.; Wang, J. Responses of Photosynthesis, Antioxidant Enzymes, and Related Gene Expression to Nicosulfuron Stress in Sweet Maize (Zea mays L.). Environ. Sci. Pollut. Res. 2022, 29, 37248–37265. [Google Scholar] [CrossRef] [PubMed]
- Esaka, M.; Yamada, N.; Kitabayashi, M.; Setoguchi, Y.; Tsugeki, R.; Kondo, M.; Nishimura, M. CDNA Cloning and Differential Gene Expression of Three Catalases in Pumpkin. Plant Mol. Biol. 1997, 33, 141–155. [Google Scholar] [CrossRef] [PubMed]
- Raza, A. Eco-Physiological and Biochemical Responses of Rapeseed (Brassica napus L.) to Abiotic Stresses: Consequences and Mitigation Strategies. J. Plant Growth Regul. 2021, 40, 1368–1388. [Google Scholar] [CrossRef]
- Liu, Y.; Hu, X.; Yao, Y.; Xu, L.; Xing, S. Isolation and Expression Analysis of Catalase Genes in Erianthus Arundinaceus and Sugarcane. Sugar Tech 2016, 18, 468–477. [Google Scholar] [CrossRef]
- Tyagi, S.; Singh, K.; Upadhyay, S.K. Molecular Characterization Revealed the Role of Catalases under Abiotic and Arsenic Stress in Bread Wheat (Triticum aestivum L.). J. Hazard. Mater. 2021, 403, 123585. [Google Scholar] [CrossRef] [PubMed]
- Klotz, M.G.; Klassen, G.R.; Loewen, P.C. Phylogenetic Relationships among Prokaryotic and Eukaryotic Catalases. Mol. Biol. Evol. 1997, 14, 951–958. [Google Scholar] [CrossRef]
- Willekens, H.; Langebartels, C.; Tire, C.; Van Montagu, M.; Inze, D.; Van Camp, W. Differential Expression of Catalase Genes in Nicotiana plumbaginifolia (L.). Proc. Natl. Acad. Sci. USA 1994, 91, 10450–10454. [Google Scholar] [CrossRef]
- Chen, J.; Wang, G.; Cheng, S. Progress about Catalase Function in Plant Stress Reactions. Acta Bot. Boreali-Occident. Sin. 2008, 28, 188. [Google Scholar]
- Kamigaki, A.; Mano, S.; Terauchi, K.; Nishi, Y.; Tachibe-Kinoshita, Y.; Nito, K.; Kondo, M.; Hayashi, M.; Nishimura, M.; Esaka, M. Identification of Peroxisomal Targeting Signal of Pumpkin Catalase and the Binding Analysis with PTS1 Receptor. Plant J. 2003, 33, 161–175. [Google Scholar] [CrossRef]
- Tounsi, S.; Kamoun, Y.; Feki, K.; Jemli, S.; Saïdi, M.N.; Ziadi, H.; Alcon, C.; Brini, F. Localization and Expression Analysis of a Novel Catalase from Triticum Monococcum TmCAT1 Involved in Response to Different Environmental Stresses. Plant Physiol. Biochem. 2019, 139, 366–378. [Google Scholar] [CrossRef] [PubMed]
- Ang, L.-H.; Chattopadhyay, S.; Wei, N.; Oyama, T.; Okada, K.; Batschauer, A.; Deng, X.-W. Molecular Interaction between COP1 and HY5 Defines a Regulatory Switch for Light Control of Arabidopsis Development. Mol. Cell 1998, 1, 213–222. [Google Scholar] [CrossRef]
- Li, W.; Han, X.; Lan, P. Emerging Roles of Protein Phosphorylation in Plant Iron Homeostasis. Trends Plant Sci. 2022, 27, 908–921. [Google Scholar] [CrossRef] [PubMed]
- Hao, D.; Li, X.; Kong, W.; Chen, R.; Liu, J.; Guo, H.; Zhou, J. Phosphorylation Regulation of Nitrogen, Phosphorus, and Potassium Uptake Systems in Plants. Crop J. 2023, 11, 1034–1047. [Google Scholar] [CrossRef]
- Lin, H.; Wang, M.; Chen, Y.; Nomura, K.; Hui, S.; Gui, J.; Zhang, X.; Wu, Y.; Liu, J.; Li, Q. An MKP-MAPK Protein Phosphorylation Cascade Controls Vascular Immunity in Plants. Sci. Adv. 2022, 8, eabg8723. [Google Scholar] [CrossRef] [PubMed]
- Xing, Y.; Sun, W.; Sun, Y.; Li, J.; Zhang, J.; Wu, T.; Song, T.; Yao, Y.; Tian, J. MPK6-mediated HY5 Phosphorylation Regulates Light-induced Anthocyanin Accumulation in Apple Fruit. Plant Biotechnol. J. 2023, 21, 283–301. [Google Scholar] [CrossRef] [PubMed]
- Ghorbel, M.; Haddaji, N.; Feki, K.; Tounsi, S.; Chihaoui, M.; Alghamdi, A.; Mseddi, K.; Brini, F. Identification of a Putative Kinase Interacting Domain in the Durum Wheat Catalase 1 (TdCAT1) Protein. Heliyon 2023, 9, e18916. [Google Scholar] [CrossRef]
- Wang, Y.; Tan, J.; Sutton-Smith, M.; Ditto, D.; Panico, M.; Campbell, R.M.; Varki, N.M.; Long, J.M.; Jaeken, J.; Levinson, S.R. Modeling a Human Genetic Disease Involving a Glycosylation Defect in the Mouse: Conservation of N-Glycan Function and Insights into CDG-IIa Pathogenesis. Glycobiology 2001, 11, 874. [Google Scholar] [CrossRef] [PubMed]
- Jiao, Q.; Chen, T.; Niu, G.; Zhang, H.; Zhou, C.; Hong, Z. N-Glycosylation Is Involved in Stomatal Development by Modulating the Release of Active Abscisic Acid and Auxin in Arabidopsis. J. Exp. Bot. 2020, 71, 5865–5879. [Google Scholar] [CrossRef]
- Jiao, Q.-S.; Niu, G.-T.; Wang, F.-F.; Dong, J.-Y.; Chen, T.-S.; Zhou, C.-F.; Hong, Z. N-Glycosylation Regulates Photosynthetic Efficiency of Arabidopsis Thaliana. Photosynthetica 2020, 58, 72–79. [Google Scholar] [CrossRef]
- de Oliveira, M.V.V.; Xu, G.; Li, B.; de Souza Vespoli, L.; Meng, X.; Chen, X.; Yu, X.; de Souza, S.A.; Intorne, A.C.; de, A. Manhães, A.M.E. Specific Control of Arabidopsis BAK1/SERK4-Regulated Cell Death by Protein Glycosylation. Nat. Plants 2016, 2, 15218. [Google Scholar] [CrossRef] [PubMed]
- Snedden, W.A.; Fromm, H. Calmodulin as a Versatile Calcium Signal Transducer in Plants. New Phytol. 2001, 151, 35–66. [Google Scholar] [CrossRef]
- Kudla, J.; Batistič, O.; Hashimoto, K. Calcium Signals: The Lead Currency of Plant Information Processing. Plant Cell 2010, 22, 541–563. [Google Scholar] [CrossRef] [PubMed]
- Dubrovina, A.S.; Aleynova, O.A.; Ogneva, Z.V.; Suprun, A.R.; Ananev, A.A.; Kiselev, K. V The Effect of Abiotic Stress Conditions on Expression of Calmodulin (CaM) and Calmodulin-like (CML) Genes in Wild-Growing Grapevine Vitis Amurensis. Plants 2019, 8, 602. [Google Scholar] [CrossRef]
- Iqbal, Z.; Shariq Iqbal, M.; Singh, S.P.; Buaboocha, T. Ca2+/Calmodulin Complex Triggers CAMTA Transcriptional Machinery under Stress in Plants: Signaling Cascade and Molecular Regulation. Front. Plant Sci. 2020, 11, 598327. [Google Scholar] [CrossRef] [PubMed]
- Ghorbel, M.; Zaidi, I.; Robe, E.; Ranty, B.; Mazars, C.; Galaud, J.-P.; Hanin, M. The Activity of the Wheat MAP Kinase Phosphatase 1 Is Regulated by Manganese and by Calmodulin. Biochimie 2015, 108, 13–19. [Google Scholar] [CrossRef] [PubMed]
- Ghorbel, M.; Zribi, I.; Missaoui, K.; Drira-Fakhfekh, M.; Azzouzi, B.; Brini, F. Differential Regulation of the Durum Wheat Pathogenesis-Related Protein (PR1) by Calmodulin TdCaM1. 3 Protein. Mol. Biol. Rep. 2021, 48, 347–362. [Google Scholar] [CrossRef] [PubMed]
- Yang, T.; Poovaiah, B.W. Hydrogen Peroxide Homeostasis: Activation of Plant Catalase by Calcium/Calmodulin. Proc. Natl. Acad. Sci. USA 2002, 99, 4097–4102. [Google Scholar] [CrossRef]
- Afiyanti, M.; Chen, H.-J. Catalase Activity Is Modulated by Calcium and Calmodulin in Detached Mature Leaves of Sweet Potato. J. Plant Physiol. 2014, 171, 35–47. [Google Scholar] [CrossRef] [PubMed]
- Chen, H.-J.; Wu, S.-D.; Huang, G.-J.; Shen, C.-Y.; Afiyanti, M.; Li, W.-J.; Lin, Y.-H. Expression of a Cloned Sweet Potato Catalase SPCAT1 Alleviates Ethephon-Mediated Leaf Senescence and H2O2 Elevation. J. Plant Physiol. 2012, 169, 86–97. [Google Scholar] [CrossRef] [PubMed]
- Sun, T.; Liu, F.; Wang, W.; Wang, L.; Wang, Z.; Li, J.; Que, Y.; Xu, L.; Su, Y. The Role of Sugarcane Catalase Gene ScCAT2 in the Defense Response to Pathogen Challenge and Adversity Stress. Int. J. Mol. Sci. 2018, 19, 2686. [Google Scholar] [CrossRef]
- Song, X.H.; Zhao, F.Y. Research Progress on Catalase in Plants. J Anhui Agric. Sci 2007, 35, 9824–9827. [Google Scholar]
- Lino-Neto, T.; Piques, M.C.; Barbeta, C.; Sousa, M.F.; Tavares, R.M.; Pais, M.S. Identification of Zantedeschia Aethiopica Cat1 and Cat2 Catalase Genes and Their Expression Analysis during Spathe Senescence and Regreening. Plant Sci. 2004, 167, 889–898. [Google Scholar] [CrossRef]
- Tajti, J.; Pál, M.; Janda, T. Validation of Reference Genes for Studying Different Abiotic Stresses in Oat (Avena sativa L.) by RT-qPCR. Plants 2021, 10, 1272. [Google Scholar] [CrossRef] [PubMed]
- Lee, S.H.; An, C.S. Differential Expression of Three Catalase Genes in Hot Pepper (Capsicum annuum L.). Mol. Cells 2005, 20, 247–255. [Google Scholar] [PubMed]
- Yates, A.D.; Allen, J.; Amode, R.M.; Azov, A.G.; Barba, M.; Becerra, A.; Bhai, J.; Campbell, L.I.; Carbajo Martinez, M.; Chakiachvili, M. Ensembl Genomes 2022: An Expanding Genome Resource for Non-Vertebrates. Nucleic Acids Res. 2022, 50, D996–D1003. [Google Scholar] [CrossRef]
- Paysan-Lafosse, T.; Blum, M.; Chuguransky, S.; Grego, T.; Pinto, B.L.; Salazar, G.A.; Bileschi, M.L.; Bork, P.; Bridge, A.; Colwell, L. InterPro in 2022. Nucleic Acids Res. 2023, 51, D418–D427. [Google Scholar] [CrossRef] [PubMed]
- Lu, S.; Wang, J.; Chitsaz, F.; Derbyshire, M.K.; Geer, R.C.; Gonzales, N.R.; Gwadz, M.; Hurwitz, D.I.; Marchler, G.H.; Song, J.S. CDD/SPARCLE: The Conserved Domain Database in 2020. Nucleic Acids Res. 2020, 48, D265–D268. [Google Scholar] [CrossRef]
- Potter, S.C.; Luciani, A.; Eddy, S.R.; Park, Y.; Lopez, R.; Finn, R.D. HMMER Web Server: 2018 Update. Nucleic Acids Res. 2018, 46, W200–W204. [Google Scholar] [CrossRef]
- Garg, V.K.; Avashthi, H.; Tiwari, A.; Jain, P.A.; Ramkete, P.W.; Kayastha, A.M.; Singh, V.K. MFPPI–multi FASTA ProtParam interface. Bioinformation 2016, 12, 74. [Google Scholar] [CrossRef] [PubMed]
- Teufel, F.; Almagro Armenteros, J.J.; Johansen, A.R.; Gíslason, M.H.; Pihl, S.I.; Tsirigos, K.D.; Nielsen, H. SignalP 6.0 predicts all five types of signal peptides using protein language models. Nat. Biotechnol. 2022, 40, 1023–1025. [Google Scholar] [CrossRef] [PubMed]
- Chen, C.; Chen, H.; Zhang, Y.; Thomas, H.R.; Frank, M.H.; He, Y.; Xia, R. TBtools: An integrative toolkit developed for interactive analyses of big biological data. Mol. Plant 2020, 13, 1194–1202. [Google Scholar] [CrossRef]
- Bailey, T.L.; Boden, M.; Buske, F.A.; Frith, M.; Grant, C.E.; Clementi, L.; Ren, J.; Li, W.W.; Noble, W.S. MEME SUITE: Tools for Motif Discovery and Searching. Nucleic Acids Res. 2009, 37, W202–W208. [Google Scholar] [CrossRef] [PubMed]
- Chao, J.; Li, Z.; Sun, Y.; Aluko, O.O.; Wu, X.; Wang, Q.; Liu, G. MG2C: A User-Friendly Online Tool for Drawing Genetic Maps. Mol. Hortic. 2021, 1, 16. [Google Scholar] [CrossRef] [PubMed]
- Tamura, K.; Stecher, G.; Kumar, S. MEGA11: Molecular evolutionary genetics analysis version 11. Mol. Biol. Evol. 2021, 38, 3022–3027. [Google Scholar] [CrossRef]
- Edgar, R.C. MUSCLE: A Multiple Sequence Alignment Method with Reduced Time and Space Complexity. BMC Bioinform. 2004, 5, 113. [Google Scholar] [CrossRef]
- Letunic, I.; Bork, P. Interactive Tree Of Life (ITOL) v5: An Online Tool for Phylogenetic Tree Display and Annotation. Nucleic Acids Res. 2021, 49, W293–W296. [Google Scholar] [CrossRef]
- Geourjon, C.; Deleage, G. SOPMA: Significant improvements in protein secondary structure prediction by consensus prediction from multiple alignments. Bioinformatics 1995, 11, 681–684. [Google Scholar] [CrossRef]
- Jumper, J.; Evans, R.; Pritzel, A.; Green, T.; Figurnov, M.; Tunyasuvunakool, K.; Hassabis, D. AlphaFold 2. In Fourteenth Critical Assessment of Techniques for Protein Structure Prediction; DeepMind: London, UK, 2020. [Google Scholar]
- Omasits, U.; Ahrens, C.H.; Müller, S.; Wollscheid, B. Protter: Interactive protein feature visualization and integration with experimental proteomic data. Bioinformatics 2014, 30, 884–886. [Google Scholar] [CrossRef] [PubMed]
- Yap, K.L.; Kim, J.; Truong, K.; Sherman, M.; Yuan, T.; Ikura, M. Calmodulin Target Database. J. Struct. Funct. Genom. 2000, 1, 8–14. [Google Scholar] [CrossRef] [PubMed]
- Lescot, M.; Déhais, P.; Thijs, G.; Marchal, K.; Moreau, Y.; Van de Peer, Y.; Rouzé, P.; Rombauts, S. PlantCARE, a Database of Plant Cis-Acting Regulatory Elements and a Portal to Tools for in Silico Analysis of Promoter Sequences. Nucleic Acids Res. 2002, 30, 325–327. [Google Scholar] [CrossRef] [PubMed]
- Horton, P.; Park, K.-J.; Obayashi, T.; Fujita, N.; Harada, H.; Adams-Collier, C.J.; Nakai, K. WoLF PSORT: Protein Localization Predictor. Nucleic Acids Res. 2007, 35, W585–W587. [Google Scholar] [CrossRef] [PubMed]
- Törönen, P.; Holm, L. PANNZER—A Practical Tool for Protein Function Prediction. Protein Sci. 2022, 31, 118–128. [Google Scholar] [CrossRef]
- Livak, K.J.; Schmittgen, T.D. Analysis of Relative Gene Expression Data Using Real-Time Quantitative PCR and the 2−ΔΔCT Method. Methods 2001, 25, 402–408. [Google Scholar] [CrossRef] [PubMed]










| Gene | Transcript ID | Chr | Chr Position Start…End | Strand | Gene Length (bp) | Number of Exons |
|---|---|---|---|---|---|---|
| AvCAT.1 | AVESA.00001b.r3.1Dg0003456.1 | 1D | 467,285,149… 467,289,077 | forward | 2357 | 6 |
| AvCAT.2 | AVESA.00001b.r3.4Ag0002488.4 | 4A | 349,469,107… 349,472,414 | forward | 1881 | 6 |
| AvCAT.3 | AVESA.00001b.r3.4Cg0001036.2 | 4C | 76,344,390… 76,347,638 | reverse | 1929 | 5 |
| AvCAT.4 | AVESA.00001b.r3.7Dg0000025.2 | 7D | 1,293,105… 1,296,851 | forward | 1959 | 7 |
| AvCAT.5 | AVESA.00001b.r3.7Dg0002783.2 | 7D | 468,933,423… 468,937,400 | reverse | 1873 | 8 |
| AvCAT.6 | AVESA.00001b.r3.7Dg0002783.1 | 7D | 468,933,423… 468,937,398 | reverse | 1958 | 9 |
| AvCAT.7 | AVESA.00001b.r3.6Cg0000037.1 | 6C | 3,581,105… 3,584,769 | forward | 1948 | 8 |
| AvCAT.8 | AVESA.00001b.r3.2Dg0000518.1 | 2D | 52,851,614… 52,853,761 | reverse | 1807 | 3 |
| AvCAT.9 | AVESA.00001b.r3.1Ag0002627.3 | 1A | 419,211,637… 419,213,810 | forward | 1823 | 3 |
| AvCAT.10 | AVESA.00001b.r3.6Cg0001322.3 | 6C | 125,235,002… 125,237,126 | reverse | 2016 | 2 |
| Protein | Protein Length (aa) | Molecular Weight (Da) | Theoretical pI: | The Instability Index (II) | Aliphatic Index | GRAVY | Hh (%) | Bb (%) | Ee (%) | Tt (%) | Cc (%) |
|---|---|---|---|---|---|---|---|---|---|---|---|
| AvCAT.1 | 492 | 56,645.85 | 6.54 | 35.40 Stable | 70.35 | −0.567 | 27.03 | 0 | 17.28 | 6.10 | 49.59 |
| AvCAT.2 | 501 | 57,723.10 | 6.66 | 35.86 Stable | 71.42 | −0.555 | 28.34 | 0 | 16.37 | 5.59 | 49.70 |
| AvCAT.3 | 546 | 62,231.45 | 7.79 | 42.16 Un stable | 74.45 | −0.481 | 24.54 | 0 | 15.38 | 4.95 | 55.13 |
| AvCAT.4 | 496 | 57,157.51 | 6.54 | 31.14 Stable | 68.19 | −0.493 | 28.02 | 0 | 16.94 | 6.25 | 48.79 |
| AvCAT.5 | 539 | 61,527.65 | 7.68 | 42.18 Un stable | 69.09 | −0.497 | 24.68 | 0 | 15.40 | 5.19 | 54.73 |
| AvCAT.6 | 460 | 53,278.63 | 6.54 | 33.68 stable | 72.04 | −0.471 | 31.74 | 0 | 14.57 | 6.52 | 47.17 |
| AvCAT.7 | 533 | 61,126.44 | 6.88 | 34.90 stable | 71.33 | −0.430 | 25.70 | 0 | 15.57 | 5.07 | 53.66 |
| AvCAT.8 | 494 | 57,009.54 | 6.53 | 31.62 stable | 66.46 | −0.554 | 27.73 | 0 | 13.65 | 5.87 | 52.83 |
| AvCAT.9 | 494 | 57,039.57 | 6.53 | 32.34 Stable | 66.46 | −0.555 | 26.11 | 0 | 14.78 | 6.07 | 53.04 |
| AvCAT.10 | 494 | 57,034.55 | 6.42 | 33.14 Stable | 66.86 | −0.537 | 27.13 | 0 | 15.18 | 5.67 | 50.02 |
| Gene Name | Length (aa) | N-Glycosylation Site | Number of Phosphorylated Sites | Disordered Regions | Signal Peptide |
|---|---|---|---|---|---|
| AvCAT1 | 492 | N-247 | 38 | 420–440 | No |
| AvCAT2 | 501 | N-256 | 39 | 415–435 | No |
| AvCAT3 | 546 | N-299 | 41 | 460–500 | No |
| AvCAT4 | 496 | N-28 | 38 | 1–20 | No |
| AvCAT5 | 539 | N-35N-75 | 50 | 20–70 | Yes 24 aa (N-terminal region) |
| AvCAT6 | 460 | -- | 29 | -- | No |
| AvCAT7 | 533 | N-69 | 39 | 25–40 | No |
| AvCAT8 | 494 | N-247 | 34 | 5–27 404–423 | No |
| AvCAT9 | 494 | N-247 | 36 | 5–27 404–423 | No |
| AvCAT10 | 494 | N-247 | 37 | 5–27 404–423 | No |
| Gene Name | Number of Putative CaMBDs | Typical CaMBD | Position | IQ Motif | Position |
|---|---|---|---|---|---|
| AvCAT-1 | 4 | 3 | 58–79; 207–229; 462–486 | 1 | 296–315 |
| AvCAT-2 | 4 | 3 | 67–88; 214–238; 471–499 | 1 | 305–324 |
| AvCAT-3 | 4 | 3 | 112–133; 259–283; 516–544 | 1 | 350–369 |
| AvCAT-4 | 3 | 2 | 58–79; 204–224 | 1 | 296–315 |
| AvCAT-5 | 3 | 2 | 106–125; 251–271 | 1 | 343–362 |
| AvCAT-6 | 3 | 2 | 26–47; 172–192 | 1 | 264–283 |
| AvCAT-7 | 3 | 2 | 99–120; 235–265 | 1 | 337–356 |
| AvCAT-8 | 4 | 3 | 48–78; 204–227; 341–361 | 1 | 296–315 |
| AvCAT-9 | 4 | 3 | 48–78; 204–227; 341–361 | 1 | 296–315 |
| AvCAT10 | 4 | 3 | 48–78; 204–227; 341–361 | 1 | 296–315 |
Disclaimer/Publisher’s Note: The statements, opinions and data contained in all publications are solely those of the individual author(s) and contributor(s) and not of MDPI and/or the editor(s). MDPI and/or the editor(s) disclaim responsibility for any injury to people or property resulting from any ideas, methods, instructions or products referred to in the content. |
© 2023 by the authors. Licensee MDPI, Basel, Switzerland. This article is an open access article distributed under the terms and conditions of the Creative Commons Attribution (CC BY) license (https://creativecommons.org/licenses/by/4.0/).
Share and Cite
Ghorbel, M.; Zribi, I.; Chihaoui, M.; Alghamidi, A.; Mseddi, K.; Brini, F. Genome-Wide Investigation and Expression Analysis of the Catalase Gene Family in Oat Plants (Avena sativa L.). Plants 2023, 12, 3694. https://doi.org/10.3390/plants12213694
Ghorbel M, Zribi I, Chihaoui M, Alghamidi A, Mseddi K, Brini F. Genome-Wide Investigation and Expression Analysis of the Catalase Gene Family in Oat Plants (Avena sativa L.). Plants. 2023; 12(21):3694. https://doi.org/10.3390/plants12213694
Chicago/Turabian StyleGhorbel, Mouna, Ikram Zribi, Mejda Chihaoui, Ahmad Alghamidi, Khalil Mseddi, and Faiçal Brini. 2023. "Genome-Wide Investigation and Expression Analysis of the Catalase Gene Family in Oat Plants (Avena sativa L.)" Plants 12, no. 21: 3694. https://doi.org/10.3390/plants12213694
APA StyleGhorbel, M., Zribi, I., Chihaoui, M., Alghamidi, A., Mseddi, K., & Brini, F. (2023). Genome-Wide Investigation and Expression Analysis of the Catalase Gene Family in Oat Plants (Avena sativa L.). Plants, 12(21), 3694. https://doi.org/10.3390/plants12213694

