Sign in to use this feature.

Years

Between: -

Subjects

remove_circle_outline
remove_circle_outline
remove_circle_outline
remove_circle_outline
remove_circle_outline
remove_circle_outline
remove_circle_outline
remove_circle_outline
remove_circle_outline

Journals

remove_circle_outline
remove_circle_outline
remove_circle_outline
remove_circle_outline
remove_circle_outline
remove_circle_outline
remove_circle_outline
remove_circle_outline
remove_circle_outline
remove_circle_outline
remove_circle_outline
remove_circle_outline
remove_circle_outline
remove_circle_outline
remove_circle_outline
remove_circle_outline
remove_circle_outline
remove_circle_outline
remove_circle_outline
remove_circle_outline
remove_circle_outline
remove_circle_outline
remove_circle_outline
remove_circle_outline
remove_circle_outline
remove_circle_outline

Article Types

Countries / Regions

remove_circle_outline
remove_circle_outline
remove_circle_outline
remove_circle_outline
remove_circle_outline
remove_circle_outline
remove_circle_outline
remove_circle_outline
remove_circle_outline
remove_circle_outline
remove_circle_outline

Search Results (6,341)

Search Parameters:
Keywords = bioinformatic analysis

Order results
Result details
Results per page
Select all
Export citation of selected articles as:
23 pages, 516 KB  
Article
Edge-Centric Federated Subgraph Isomorphism Counting via Residual Graph Neural Networks
by Jianjun Shi, Qinglong Wu and Xinming Zhang
Information 2026, 17(4), 375; https://doi.org/10.3390/info17040375 - 16 Apr 2026
Abstract
Subgraph isomorphism counting is a fundamental yet computationally challenging task in graph analysis, with broad applications in bioinformatics and social network mining. With the tightening of data privacy regulations and the emergence of data silos, traditional centralized Graph Neural Network (GNN) approaches face [...] Read more.
Subgraph isomorphism counting is a fundamental yet computationally challenging task in graph analysis, with broad applications in bioinformatics and social network mining. With the tightening of data privacy regulations and the emergence of data silos, traditional centralized Graph Neural Network (GNN) approaches face significant deployment hurdles. Existing federated subgraph counting methods are primarily designed for database federation scenarios, focusing on exact queries and the privacy and security concerns of databases. However, this rigid focus on exactness and heavy cryptographic security severely limits their scalability and generalizability to complex, arbitrary query patterns. To bridge this gap, we propose a general Federated Edge-Centric Framework for Subgraph Isomorphism Counting (FedCount), shifting the paradigm from exact querying on federated databases to neural approximate counting under federated architectures. Rather than relying on heavy cryptographic techniques, we exclusively leverage the inherent structural isolation of federated learning as a lightweight empirical privacy measure. While this framework does not theoretically defend against advanced gradient-based inference attacks, it successfully prevents the direct leakage of raw graph topology and node features, achieving high-precision approximate counting without the prohibitive cryptographic overheads. Specifically, we introduce two key technical innovations to enhance local counting capability: (1) we integrate a provable edge encoding scheme into the interaction-based GNN architecture, explicitly modeling edge-to-edge interactions to break the expressiveness bottleneck of standard message passing; (2) we design a Residual Edge-Centric Readout mechanism that mitigates the gradient vanishing problem, enabling the effective training of deeper networks to capture high-order topological dependencies. Extensive experiments on multiple benchmark datasets demonstrate that our framework significantly outperforms existing distributed enumeration baselines in terms of generalization and efficiency, approaching the performance of centralized state-of-the-art models. Full article
(This article belongs to the Special Issue Graph Learning and Graph Neural Networks: Techniques and Applications)
Show Figures

Figure 1

20 pages, 2493 KB  
Article
Association Between Maternal Gestational Diabetes, Cord Blood DNA Methylation, and Offspring Neurodevelopment
by Nieves Luisa González-González, Marina Armas-González, Enrique González-Dávila, José Ramón Castro-Conde, Candelaria González-Campo, Carlos Flores, José Miguel Lorenzo-Salazar, Rafaela González-Montelongo, Adrián Muñoz-Barrera, Erika Padrón-Pérez, Laura Tascón-Padrón and Olivia Orribo-Morales
Int. J. Mol. Sci. 2026, 27(8), 3571; https://doi.org/10.3390/ijms27083571 - 16 Apr 2026
Abstract
The link between neurodevelopment in infants exposed to maternal gestational diabetes mellitus (GDM) and fetal DNA methylation remains unexplored. We conducted this hypothesis-generating study to investigate the association between fetal DNA methylation and neurodevelopmental outcomes in children of mothers with GDM. We carried [...] Read more.
The link between neurodevelopment in infants exposed to maternal gestational diabetes mellitus (GDM) and fetal DNA methylation remains unexplored. We conducted this hypothesis-generating study to investigate the association between fetal DNA methylation and neurodevelopmental outcomes in children of mothers with GDM. We carried out a prospective, observational pilot cohort study comparing infants exposed to maternal GDM with an unexposed control group. Umbilical cord blood DNA methylation was assessed using targeted methylome sequencing covering 3.34 million CpG sites. Infant neurodevelopment was evaluated at age two years using the Bayley-III Scales. Bioinformatics processing identified differentially methylated regions (DMRs), followed by multiple enrichment analyses of DMR-associated genes and partial correlation analyses. Multi-dimensional enrichment analysis of the 1053 identified DMR-associated genes revealed a significant convergence of pathways related to neurogenesis, synaptic components, and axonal guidance. Infants born to mothers with GDM exhibited lower scores in cognitive, language, and motor domains, which were associated with identifiable DNA methylation signatures at birth. Significant correlations were observed in genes essential for brain scaffolding and synaptic circuitry, most notably WNT4, the PCDHG alpha/beta clusters, and PALM. Additionally, methylation patterns in FOXF2 and CHFR suggest a potential impact on blood–brain barrier integrity, while associations with FSTL3 and H6PD highlight a systemic metabolic ‘cross-talk’ influencing neurodevelopment. Although these pilot findings are hypothesis-generating and require further functional validation, this study provides pioneering evidence that neurodevelopmental alterations in the offspring of mothers with GDM are potentially associated with intrauterine epigenetic modifications detectable at birth. Full article
(This article belongs to the Section Molecular Biology)
Show Figures

Figure 1

16 pages, 1246 KB  
Article
Proteomics in Cardiovascular Deaths, a Postmortem Pilot Study: The Diagnostic Efficacy of α-1 Antitrypsin and Apolipoprotein A-IV in Ischemic and Congestive Deaths
by Marina Invernón Monedero, María Esther Pérez Artiago, Juan Pedro Hernández del Rincón, María Dolores Fuentes, María D. Pérez-Cárceles, Eduardo Osuna and Diana Hernández-Romero
Diagnostics 2026, 16(8), 1192; https://doi.org/10.3390/diagnostics16081192 - 16 Apr 2026
Abstract
Background/Objectives: Determining the cardiovascular cause of death, particularly distinguishing ischemic from congestive mechanisms, remains challenging in forensic practice, especially in early ischemia without definitive histological findings. Proteomic techniques and molecular profiling may provide complementary diagnostic information beyond conventional autopsy. Methods: We [...] Read more.
Background/Objectives: Determining the cardiovascular cause of death, particularly distinguishing ischemic from congestive mechanisms, remains challenging in forensic practice, especially in early ischemia without definitive histological findings. Proteomic techniques and molecular profiling may provide complementary diagnostic information beyond conventional autopsy. Methods: We applied an untargeted high-resolution proteomic approach to postmortem cardiac tissue samples from cardiovascular (ischemic and congestive) and non-cardiovascular deaths. Identified proteins were analyzed using bioinformatic and differential expression workflows. Selected candidates were evaluated in peripheral blood samples for translational validation using statistical modeling, including regression analyses and receiver operating characteristic (ROC) curve assessment. Results: A total of 572 proteins were identified. Although no proteins fulfilled strict exclusivity criteria for a single cause-of-death group, differential expression analysis revealed distinct molecular patterns distinguishing ischemic, congestive, and non-cardiovascular deaths. Thirty-one proteins were differentially expressed between ischemic and congestive cases, including α-1 antitrypsin (AAT), plasma levels did not demonstrate statistically significant discrimination. In contrast, plasma Apolipoprotein A-IV (ApoA-IV) levels were significantly associated with ischemic death in regression models, and ROC analysis yielded a cutoff point with complete separation between ischemic and selected non-cardiovascular cases. However, the limited sample size warrants cautious interpretation due to potential overfitting. Conclusions: Postmortem cardiac proteomic profiling reveals biologically coherent molecular signatures associated with different cardiovascular causes of death. Although further validation in larger independent cohorts is required, ApoA-IV emerges as a promising candidate biomarker for ischemic cardiac death. Multimarker proteomic strategies may complement traditional autopsy to enhance diagnostic accuracy in forensic investigations, particularly in cases with equivocal morphological findings. Full article
(This article belongs to the Section Pathology and Molecular Diagnostics)
Show Figures

Figure 1

22 pages, 1976 KB  
Article
Study on the Mechanism of Pyrimoxsulam Resistance in Highland Barley
by Yun-Zhuo Qin and Hua Weng
Agronomy 2026, 16(8), 819; https://doi.org/10.3390/agronomy16080819 - 16 Apr 2026
Abstract
Highland barley (Hordeum vulgare var. nudum), a member of the genus Hordeum in the family Poaceae, represents a unique cultivated crop adapted to the Qinghai–Tibet Plateau. Weed infestation has long posed a serious threat to the yield and quality of highland [...] Read more.
Highland barley (Hordeum vulgare var. nudum), a member of the genus Hordeum in the family Poaceae, represents a unique cultivated crop adapted to the Qinghai–Tibet Plateau. Weed infestation has long posed a serious threat to the yield and quality of highland barley, and the lack of effective weed management strategies has become a major constraint in its production. Pyroxsulam is an acetolactate synthase (ALS)-inhibiting herbicide widely used for weed control in highland barley fields. This study investigated the molecular mechanisms underlying the response of highland barley to pyroxsulam by integrating physiological, biochemical, and transcriptomic analyses. ALS activity assays showed that the resistant variety ‘Qing0306’ exhibited a significant increase in relative ALS activity within 1–4 days after pyroxsulam treatment. qRT-PCR analysis revealed a rapid induction of HvnALS expression, which was significantly higher in ‘Qing0306’ than in ‘Qing0160’ on the first day after treatment (p < 0.01), indicating that resistance is primarily associated with target-enzyme overexpression rather than target-site mutations. Moreover, transgenic Arabidopsis lines overexpressing HvnP450 and HvnGSTs displayed enhanced tolerance to pyroxsulam, as evidenced by an increased root length and fresh weight compared with wild-type plants. This study provides mechanistic insights that support the genetic improvement of pyroxsulam-resistant highland barley. Full article
(This article belongs to the Section Weed Science and Weed Management)
13 pages, 2172 KB  
Article
VD9136 Positively Modulates the Pathogenicity of Verticillium dahliae to Cotton
by Kailu Chen, Rui Tang, Qing Xu, Ziqi Li, Xuebin Wang, Shandang Shi, Fei Wang, Lingling Chen and Hongbin Li
Int. J. Mol. Sci. 2026, 27(8), 3558; https://doi.org/10.3390/ijms27083558 - 16 Apr 2026
Abstract
Histidine triad (HIT) family proteins contain a conserved histidine triad motif and play key roles in fungal metabolism and pathogenicity. This study focused on VD9136, a member of the HIT family in Verticillium dahliae, aiming to elucidate its biological function and [...] Read more.
Histidine triad (HIT) family proteins contain a conserved histidine triad motif and play key roles in fungal metabolism and pathogenicity. This study focused on VD9136, a member of the HIT family in Verticillium dahliae, aiming to elucidate its biological function and mechanism underlying its role in cotton pathogenesis. A systematic investigation of the VD9136 gene in V. dahliae was conducted using bioinformatics analysis, gene knockout, genetic complementation, and pathogenicity assays. The results showed that VD9136 protein consists of 136 amino acids and is a stable, neutral, and weakly hydrophilic protein that lacks transmembrane domains and signal peptides; it is localized to the extracellular space via a non-classical secretion pathway. Its secondary structure is predominantly composed of α-helices and random coils. Phylogenetic analysis revealed that VD9136 is closely related to VliHIT, a homologous protein from V. longisporum, the pathogen responsible for Verticillium wilt in rapeseed. The promoter region of VD9136 contains multiple cis-acting elements, including light-responsive, hormone-responsive, and stress-responsive elements, indicating that its transcription may be regulated by multiple signaling pathways. VD9136 was significantly upregulated during the early stage of cotton infection (6–24 h post-inoculation). Pathogenicity assays demonstrated that V. dahliae knockout mutants lacking VD9136 exhibited a significant reduction in virulence, as evidenced by a lower disease index, decreased fungal biomass within plant tissues, and attenuated vascular browning in cotton plants. The pathogenic phenotype was successfully restored in genetic complementation strains. This study identified VD9136 as a key regulatory factor in the pathogenic process of V. dahliae, and its loss of function reduces the pathogenicity of V. dahliae. The findings provide a theoretical basis for elucidating the pathogenic mechanism of cotton Verticillium wilt and for developing corresponding prevention and control strategies. Full article
(This article belongs to the Special Issue Cotton Breeding and Genetics: Advances and Perspectives)
Show Figures

Figure 1

19 pages, 6464 KB  
Article
Genome-Wide Identification and Expression Analysis of the C3H Gene Family in Betula platyphylla
by Haoju Fan and Jiajie Yu
Forests 2026, 17(4), 491; https://doi.org/10.3390/f17040491 - 16 Apr 2026
Abstract
C3H-type zinc finger proteins play essential roles in plant responses to abiotic stresses, as well as in the regulation of growth, development, and signal transduction. Birch (Betula platyphylla Suk.), an ecologically adaptable tree species widely distributed in northern regions, has not [...] Read more.
C3H-type zinc finger proteins play essential roles in plant responses to abiotic stresses, as well as in the regulation of growth, development, and signal transduction. Birch (Betula platyphylla Suk.), an ecologically adaptable tree species widely distributed in northern regions, has not yet been systematically characterized for its C3H gene family. In this study, a total of 15 BpC3Hs were identified from a genome-wide analysis of birch. Their physiochemical properties, gene structures, conserved motifs and domains were systematically analyzed. Promoter analysis identified cis-acting elements associated with stress responses, hormone signaling, and developmental regulation. Transcriptome data further showed that most BpC3Hs were responsive to salt, drought, high/low-temperature stresses, and light/dark treatment, and showed differential expression patterns in tension wood and opposite wood. Additionally, they displayed stage-specific expression patterns during male inflorescence development. This study lays a foundation for future functional characterization of the C3H gene family in birch and its application in molecular breeding for stress resistance. Full article
(This article belongs to the Section Genetics and Molecular Biology)
Show Figures

Figure 1

21 pages, 7675 KB  
Article
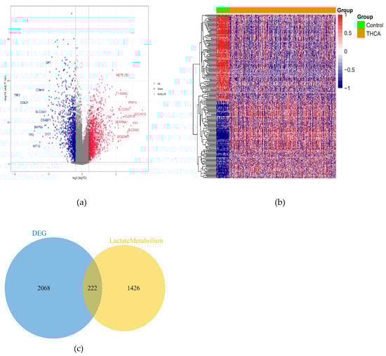
TIMP1 and DPP4 Promote Tumor Progression by Regulating Lactate Metabolism in Papillary Thyroid Carcinoma
by ShiJi Mu, Xue Jin, Fada Xia, Xiwu Ouyang, Guode Fu, Ruotong Gui, Haihong Wang and Ning Bai
Cancers 2026, 18(8), 1264; https://doi.org/10.3390/cancers18081264 - 16 Apr 2026
Abstract
Objectives: The mechanism of action of genes related to lactate metabolism in papillary thyroid carcinoma (PTC) is still unclear. In this study, key genes that play a role in PTC were selected from the known genes related to lactate metabolism, and their [...] Read more.
Objectives: The mechanism of action of genes related to lactate metabolism in papillary thyroid carcinoma (PTC) is still unclear. In this study, key genes that play a role in PTC were selected from the known genes related to lactate metabolism, and their roles in promoting lactate metabolism in PTC cells were investigated. Methods: Through bioinformatics analysis and cell experiments, the roles of the relevant genes in lactate metabolism and their roles in the occurrence and development of PTC were verified. Results: Through bioinformatics analysis, 12 candidate genes were obtained. Through qRT-PCR experiments, it was confirmed that the expressions of TIMP1 and DPP4 were higher in thyroid papillary carcinoma than in normal PTC cells. By inhibiting the expression of TIMP1 and DPP4 using siRNA, the invasion and proliferation abilities of PTC could be reduced. Compared with normal thyroid cells, the contents of lactic acid and LDHA in PTC cells were higher. Knocking down the expression of TIMP1 and DPP4 would reduce the lactate production ability of PTC cells, and TIMP1 and DPP4 promoted the accumulation of lactate in PTC cells.Conclusions: In this study, by screening the differentially expressed lactate metabolism genes in PTC, different prognostic subtypes were constructed based on the molecular expression patterns. Multi-group student’s t-tests were conducted on the differential signaling pathways and tumor immune regulation of the prognostic subtypes, and a PTC prognosis prediction model was constructed. It was further confirmed that the lactate metabolism genes TIMP1 and DPP4 are highly expressed in PTC and can regulate the proliferation, invasion, metastasis and lactate metabolism of PTC cells. Full article
(This article belongs to the Section Cancer Immunology and Immunotherapy)
Show Figures

Figure 1

26 pages, 2855 KB  
Article
FcLRR1 Regulates Hyphal Growth and Plant Infection in Fusarium circinatum
by Tingting Dai, Chao Chen, Fangyi Ju, Jiahui Zang, Zhongqiang Qi, Haiwen Wang, Xiaorui Zhang and Chun Yang
J. Fungi 2026, 12(4), 282; https://doi.org/10.3390/jof12040282 - 16 Apr 2026
Abstract
Pitch canker caused by the fungus Fusarium circinatum is a destructive disease that affects pines in Europe, South Africa, and North America, particularly along the southeastern and western coasts of the United States. This study systematically elucidated the function of the Leucine-rich repeat [...] Read more.
Pitch canker caused by the fungus Fusarium circinatum is a destructive disease that affects pines in Europe, South Africa, and North America, particularly along the southeastern and western coasts of the United States. This study systematically elucidated the function of the Leucine-rich repeat (LRR) protein FcLRR1 in the pine pitch canker pathogen Fusarium circinatum. A total of 13 LRR proteins were identified via bioinformatic analysis. Using a gene knockout system, we demonstrated that deletion of FcLRR1 significantly impaired vegetative growth, conidiation, and conidium germination; led to a complete loss of macroconidia production; and drastically reduced abiotic stress tolerance and virulence. Transcriptome profiling revealed 612 downregulated genes, which were significantly enriched in pathways such as starch and sucrose metabolism, indicating that FcLRR1 modulated energy supply and pathogenicity through carbon source utilization. Through genome-wide protein structure modeling and yeast two-hybrid assays, we identified and validated the interaction between FcLRR1 and ALG-11, among other candidate proteins, further supporting its involvement in carbon metabolism, cell wall integrity, and pathogenesis. This study represents the first functional characterization of an LRR-containing protein in a forest pathogenic fungus and provides a foundational basis for developing targeted disease control strategies. Full article
(This article belongs to the Section Fungal Cell Biology, Metabolism and Physiology)
Show Figures

Figure 1

17 pages, 2435 KB  
Article
Genome-Wide Identification and Expression Analysis of SS and SE Gene Families in Platycodon grandiflorum
by Meitong Pan, Junbai Ma, Denghua Wen, Lingyang Kong, Shan Jiang, Panpan Wang, Xiaozhuang Zhang, Weichao Ren, Wei Ma and Xiubo Liu
Biology 2026, 15(8), 620; https://doi.org/10.3390/biology15080620 - 16 Apr 2026
Abstract
At present, the characteristics of key enzyme genes in the upstream pathway for triterpenoid saponin biosynthesis in P. grandiflorum, as well as their expression patterns over the growth duration, have not been systematically analyzed. This study, at the whole-genome level, conducts the [...] Read more.
At present, the characteristics of key enzyme genes in the upstream pathway for triterpenoid saponin biosynthesis in P. grandiflorum, as well as their expression patterns over the growth duration, have not been systematically analyzed. This study, at the whole-genome level, conducts the first bioinformatics and expression analyses of the SS and SE gene families in P. grandiflorum. Four PgSS and seven PgSE genes were identified and distributed across six chromosomes. Members within the same subfamily exhibited highly conserved sequences and structures, while distinct structural divergence was observed between different subfamilies. Phylogenetic analysis showed that PgSS and PgSE genes were closely related to those of dicotyledons such as Panax ginseng and Polygala tenuifolia, suggesting high evolutionary conservation. Promoter analysis revealed abundant light- and hormone-responsive elements and MYB/MYC binding sites, indicating regulation by multiple signals. Protein secondary structures were dominated by the Alpha helix and were structurally stable. Quantitative real-time polymerase chain reaction (qPCR) demonstrated that expression levels of PgSS and PgSE in one-year-old Platycodonis Radix were significantly higher than in perennial Platycodonis Radix, especially for the PgSE family. This study characterized the basic biological features and growth-stage-dependent expression patterns of the SS and SE gene families in P. grandiflorum. The results identify key candidate genes and molecular targets for regulating triterpenoid saponin biosynthesis, and provide data supporting quality improvement and active metabolite research in this medicinal plant. Full article
(This article belongs to the Special Issue Advances in Plant Genomics and Genome Editing)
Show Figures

Figure 1

20 pages, 10570 KB  
Article
Precision Intervention of Isorhamnetin Total Flavonoids in Ischemic Heart Failure: Mechanistic Exploration Based on Signature Gene Targets
by Li-Juan Zhang, Xu Hu, Kader Kaderyea, Wen-Ling Su, Yue Wang, Di-Wei Liu, Rui-Fang Zheng and Jian-Guo Xing
Curr. Issues Mol. Biol. 2026, 48(4), 406; https://doi.org/10.3390/cimb48040406 - 15 Apr 2026
Abstract
Early identification of ischemic heart failure (IHF) is critical for improving patient prognosis and clinical outcomes. However, effective diagnostic biomarkers and targeted therapeutic strategies for IHF remain limited. Total flavonoids from Dracocephalum moldavica L. (TFDM) exert potential cardioprotective effects; however, the molecular mechanisms [...] Read more.
Early identification of ischemic heart failure (IHF) is critical for improving patient prognosis and clinical outcomes. However, effective diagnostic biomarkers and targeted therapeutic strategies for IHF remain limited. Total flavonoids from Dracocephalum moldavica L. (TFDM) exert potential cardioprotective effects; however, the molecular mechanisms by which TFDM acts against IHF have not been fully elucidated. Therefore, this study aims to identify diagnostic biomarkers for IHF and explore the potential therapeutic mechanism of TFDM targeting these key genes. Given the small sample size (n = 17) of the clinical dataset, LASSO regression and Random Forest were employed due to their superior performance in feature selection, noise reduction, and stability in small-sample scenarios. In this study, we screened key characteristic genes of IHF through bioinformatics analysis and further investigated the binding potential between these key genes and active components of TFDM using molecular docking, thus providing new targets for the early diagnosis of IHF and new evidence for the intervention mechanism of TFDM in IHF. Full article
Show Figures

Figure 1

59 pages, 6332 KB  
Review
IMGT® Nomenclature of Immunoglobulins (IG) or Antibodies and T Cell Receptors (TR): A Common Language for Immunoinformatics and Artificial Intelligence (AI)
by Marie-Paule Lefranc and Gérard Lefranc
Antibodies 2026, 15(2), 35; https://doi.org/10.3390/antib15020035 - 15 Apr 2026
Abstract
The immunoglobulins (IG) or antibodies and the T cell receptors (TR) are the antigen receptors of the adaptive immune responses (AIR) of jawed vertebrates (Gnathostomata). IMGT®, the international ImMunoGeneTics information system®, was created in 1989 by Marie-Paule [...] Read more.
The immunoglobulins (IG) or antibodies and the T cell receptors (TR) are the antigen receptors of the adaptive immune responses (AIR) of jawed vertebrates (Gnathostomata). IMGT®, the international ImMunoGeneTics information system®, was created in 1989 by Marie-Paule Lefranc (Laboratoire d’ImmunoGénétique Moléculaire (LIGM), Université de Montpellier and CNRS) to deal with and to manage the huge diversity of IG or antibodies and TR. The founding of IMGT® marked the advent of immunoinformatics, a new science which emerged at the interface between immunogenetics and bioinformatics. For the first time, the IG and TR variable (V), diversity (D), joining (J) and constant (C) genes were officially recognized as ‘genes’, as were the conventional genes. The IMGT-ONTOLOGY CLASSIFICATION axiom and the concepts of classification have generated the IMGT nomenclature and the IMGT Scientific chart rules for assigning IMGT names to IG and TR genes and alleles of Homo sapiens and of any other jawed vertebrate species. The IMGT nomenclature is used for genes in locus, in sequences (genomic or rearranged, expressed or not) and in structures enabling comparative immunology, evolutionary immunogenetics, standardized analysis and comparison of IG and TR repertoires analysis in normal or pathologic situations. IMGT nomenclature is used in basic, veterinary, and medical research, in clinical applications (mutation analysis in leukemia and lymphoma), and in therapeutic antibody design, engineering and humanization. By providing consistent and high standard biocuration for the description of the IG and TR loci, genes and alleles, and for the analysis of the IG or antibody and TR-expressed rearranged sequences and proteins and structures, the IMGT nomenclature is the common language for immunoinformatics and artificial intelligence (AI). Full article
(This article belongs to the Section Antibody Discovery and Engineering)
28 pages, 13875 KB  
Article
Bioinformatics Analysis of microRNAs Associated with Metastatic Potential in Breast Cancer
by Aleksandra Nikezić, Sanja Goč, Jovana Stevanović, Miloš Brkušanin, Olgica Nedić, Jovana Jovankić and Zorana Dobrijević
Biology 2026, 15(8), 617; https://doi.org/10.3390/biology15080617 - 14 Apr 2026
Abstract
Dysregulation of microRNA expression in breast cancer (BC) has been associated with molecular disturbances involved in cancer initiation, progression and metastasis. Specific microRNAs also act as endocrine modulators in BC, thereby influencing the biological behavior of the tumor and drug responses. Our objective [...] Read more.
Dysregulation of microRNA expression in breast cancer (BC) has been associated with molecular disturbances involved in cancer initiation, progression and metastasis. Specific microRNAs also act as endocrine modulators in BC, thereby influencing the biological behavior of the tumor and drug responses. Our objective was to employ bioinformatics tools to identify and characterize microRNAs acting as candidate players involved in epithelial–mesenchymal transition, migration, invasion, and/or hormonal regulation in BC. We systematically integrated microRNA profiling data from three different studies on BC cell lines with different invasive capabilities and from another study on lymph node metastases and matching primary BC, resulting in five microRNA hits—DE-microRNAs miR-146a-5p, miR-222-3p, miR-205-5p, miR-141-3p and miR-200c-3p. This set of microRNAs was evaluated for clinical significance in BC and subjected to target prediction, microRNA–mRNA network construction, functional enrichment analysis and quantification in BC cell lines by qPCR. An upregulated DE-microRNA, miR-222-3p, displayed distinctive pro-metastatic features, supported by its clinical relevance, as well as by the results of the functional enrichment analysis of its target genes. Downregulation of the members of the miR-200 family and miR-205-5p were significantly associated with negative clinical features, while their targets were enriched with genes that were relevant to cancer aggressiveness. These results are in line with the presumed functional relevance of the selected DE-microRNAs in BC. Full article
(This article belongs to the Special Issue Non-Coding RNA Research and Functional Insights)
19 pages, 2981 KB  
Article
A Comparative Bioinformatics Analysis of the Transcriptomic Profiles of Peri-Implantitis and Periodontitis and Their Common Signaling Pathways with Atherosclerosis
by Aleksandr V. Guskov, Anatoliy S. Utyuzh, Aleksandr A. Oleynikov, Aleksandr A. Nikiforov and Stanislav N. Kotlyarov
Curr. Issues Mol. Biol. 2026, 48(4), 401; https://doi.org/10.3390/cimb48040401 - 14 Apr 2026
Viewed by 44
Abstract
(1) Objective. To conduct a comparative bioinformatics analysis of the transcriptomic profiles of peri-implantitis and periodontitis to identify common and specific molecular signatures underlying their pathogenesis, as well as molecular parallels with atherosclerosis. (2) Methods: We used datasets from the Gene Expression Omnibus [...] Read more.
(1) Objective. To conduct a comparative bioinformatics analysis of the transcriptomic profiles of peri-implantitis and periodontitis to identify common and specific molecular signatures underlying their pathogenesis, as well as molecular parallels with atherosclerosis. (2) Methods: We used datasets from the Gene Expression Omnibus (GEO) database: dataset GSE223924 (30 gingival tissue samples from patients with peri-implantitis, periodontitis, and healthy subjects) and GSE100927 (atherosclerotic and control tissue; n = 104). Differentially expressed genes (DEGs) were identified based on the criteria: |logFC| > 1 and FDR < 0.05. To quantitatively assess the relative abundance of immune cells, we used the xCell deconvolution algorithm. (3) Results: In the peri-implantitis group, 3669 DEGs with upregulated expression and 3106 with downregulated expression were identified; in the periodontitis group, 1968 and 1250 DEGs, respectively. Functional analysis of the upregulated DEGs revealed activation of inflammatory processes, cell adhesion, and angiogenesis in both diseases. Key differences lay in the activation of adaptive immune mechanisms in peri-implantitis (enrichment of the “graft rejection” and “T-cell receptor signaling”) and innate immunity in periodontitis (enrichment of the “lipopolysaccharide response” and “Toll-like receptors (TLR) signaling” pathways). Analysis of downregulated DEGs revealed more profound disruptions in cytoskeletal organization and epithelial differentiation in periodontitis, as well as suppression of xenobiotic and lipid metabolism in both diseases. xCell deconvolution confirmed a significant increase in B cells, neutrophils, monocytes, M1 macrophages, and dendritic cells in peri-implantitis, and also revealed a trend toward an increase in these cells in periodontitis (p > 0.05), which is consistent with the activation of TLR signaling. In periodontitis, a significant increase in M2 macrophages and a decrease in Th1 cells were observed. Comparison with atherosclerosis revealed 272 common DEGs with peri-implantitis and 173 common DEGs with periodontitis. Functional analysis of the common genes confirmed their role in leukocyte transendothelial migration, cytokine production, and the “Lipids and Atherosclerosis” pathway. (4) Conclusions: Functional analysis and immune deconvolution consistently demonstrate that peri-implantitis is characterized by statistically significant activation of both adaptive and innate immunity, whereas in periodontitis, the activation of innate immunity manifests primarily at the level of signaling pathways. The significant overlap found between the transcriptional profiles of both diseases and atherosclerosis may indicate the presence of common pathogenetic links. Full article
(This article belongs to the Special Issue Bioinformatics in Human Disease Network Analysis)
Show Figures

Figure 1

15 pages, 3662 KB  
Article
Cellular and Molecular Profiling of Native Heart Valves in Infective Endocarditis: A Comparative Study with Calcific Aortic Valve Disease
by Anna Sinitskaya, Maria Khutornaya, Alyona Poddubnyak, Maxim Asanov, Alexander Kostyunin, Alexey Tupikin, Marsel Kabilov and Maxim Sinitsky
Biomedicines 2026, 14(4), 890; https://doi.org/10.3390/biomedicines14040890 - 14 Apr 2026
Viewed by 72
Abstract
Background: Infective endocarditis (IE) affects both native and prosthetic heart valves, the endocardial surface, as well as cardiac implantable electronic devices. Identifying specific IE biomarkers for its early risk stratification remains crucial, particularly in cases with blood culture-negative endocarditis. Methods: Eleven native heart [...] Read more.
Background: Infective endocarditis (IE) affects both native and prosthetic heart valves, the endocardial surface, as well as cardiac implantable electronic devices. Identifying specific IE biomarkers for its early risk stratification remains crucial, particularly in cases with blood culture-negative endocarditis. Methods: Eleven native heart valves obtained from IE and calcific aortic valve disease (CAVD) patients were analyzed. Immunohistochemical analysis of a pan-leukocyte marker (CD45), macrophage marker (CD68), T-lymphocyte marker (CD3), B-lymphocyte marker (CD19), neutrophil myeloperoxidase (MPO), and marker of vascular endothelial cells (CD31) was performed. Differentially expressed genes (DEGs) were identified by whole-transcriptome sequencing; proteomic profiling was performed by dot-blotting. Results: The immunophenotyping demonstrates the infiltration of macrophages and neutrophils, as well as occasional T-lymphocytes in the IE-affected aortic valves, and the CAVD-affected heart valves were characterized by the absence of neutrophils. For the whole-transcriptome sequencing, 157 DEGs were identified: 124 DEGs were upregulated, and 33 genes were downregulated in the IE-affected heart valves compared to the CAVD-affected ones. According to the dot-blotting, 35 cytokines were identified in the studied heart valves, but only 21 molecules were expressed in both IE and CAVD-affected heart valves. Analysis of proteases and their inhibitors allowed the identification of 13 protease molecules and 18 enzyme inhibitor molecules in all examined heart valves. Conclusions: The results of the present study can help to improve our understanding of the IE pathogenesis. In addition, we identified the candidate cellular and molecular-genetic features of IE-affected native heart valves. Full article
Show Figures

Figure 1

18 pages, 3953 KB  
Article
Population Genetic Architecture of the Streptococcus suis Antigen HP0197
by Guopeng Mei, Junfeng Zhang, Lijun Guan, Shangbo Ning, Yun Xue and Zhanqin Zhao
Vet. Sci. 2026, 13(4), 376; https://doi.org/10.3390/vetsci13040376 - 13 Apr 2026
Viewed by 175
Abstract
S. suis is a major zoonotic infectious disease whose serological diversity brings challenges to vaccine development. Based on the whole-genome data of 169 S. suis strains, this study conducted a systematic bioinformatics analysis of the surface antigen protein HP0197 that reveals its distribution [...] Read more.
S. suis is a major zoonotic infectious disease whose serological diversity brings challenges to vaccine development. Based on the whole-genome data of 169 S. suis strains, this study conducted a systematic bioinformatics analysis of the surface antigen protein HP0197 that reveals its distribution characteristics, sequence diversity, domain composition and antigenic epitope distribution. The results showed that the HP0197 gene, which has a detection rate of 91.72%, can be divided into seven major phylogroups (I–VII) and the following two structural types: short form (HP0197-S) and long form (HP0197-L). All sequences contained signal peptides, transmembrane structures, LPXTG anchoring motifs, as well as conserved GAGBD and G5 domains, among which tandem repeats of the G5 domain existed in the long HP0197-L type. Tertiary structure prediction indicated that HP0197 has a spatial architecture of “conserved at both ends and flexible in the middle”, in which B-cell epitopes are mainly enriched near the GAGBD and G5 domains, suggesting these regions are the key targets for inducing cross-immune protection. It systematically elucidates the diversity and structural characteristics of the HP0197 protein from the perspective of population genetics, which provides a theoretical basis for optimizing existing subunit vaccines, designing broad-spectrum multi-epitope vaccines and exploring novel anti-infection strategies. Full article
Show Figures

Figure 1

Back to TopTop